Identification of Writing Strategies in Educational Assessments with an Unsupervised Learning Measurement Framework
Abstract
1. Introduction
- Can the proposed framework effectively identify distinct writing strategy patterns in examinees’ constructed responses?
- How do the identified writing strategies relate to the examinee’s writing performance?
2. Writing Strategies
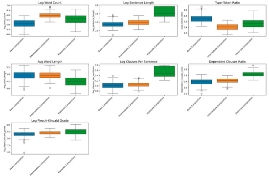
2.1. Text Complexity
2.2. Evidence Use
2.3. Argument Structure
3. Measurement Framework
3.1. Conceptual Framework for Identifying Writing Strategies
3.1.1. Text Complexity Analysis
3.1.2. Evidence Use Analysis
3.1.3. Argument Structure Analysis
3.2. Clustering Approach
3.3. One-Parameter Logistic Measurement Model
4. Methodology
4.1. Participants
4.2. Procedures
4.2.1. Feature Preprocessing
4.2.2. Text Complexity Analysis
4.2.3. Evidence Use Analysis
4.2.4. Argument Structure Analysis
4.2.5. Measurement of Student Writing Proficiency
5. Results
5.1. Writing Proficiency by Strategy Type
5.2. Heatmaps
5.3. Relationship Between Proficiency and Strategy Choice
6. Discussion
7. Conclusions
Author Contributions
Funding
Institutional Review Board Statement
Informed Consent Statement
Data Availability Statement
Conflicts of Interest
Abbreviations
| BERT | Bidirectional Encoder Representations from Transformers |
| 1PL | One-Parameter Logistic Measurement Model |
| PCM | Partial Credit Model |
| TF-IDF | Term Frequency–Inverse Document Frequency |
| TTR | Type–Token Ratio |
| PCA | Principal Component Analysis |
| NLTK | Natural Language Toolkit library |
| ELA | English Language Arts |
References
- Alharbi, W. (2023). AI in the foreign language classroom: A pedagogical overview of automated writing assistance tools. Education Research International, 2023, 4253331. [Google Scholar] [CrossRef]
- Beltagy, I., Peters, M. E., & Cohan, A. (2020). Longformer: The long-document transformer. arXiv, arXiv:2004.05150. [Google Scholar] [CrossRef]
- Ben-Porat, O., Hirsch, S., Kuchy, L., Elad, G., Reichart, R., & Tennenholtz, M. (2020). Predicting strategic behavior from free text. Journal of Artificial Intelligence Research, 68, 413–445. [Google Scholar] [CrossRef]
- Bereiter, C., & Scardamalia, M. (2013). The psychology of written composition. Routledge. Available online: https://www.taylorfrancis.com/books/mono/10.4324/9780203812310/psychology-written-composition-carl-bereiter-marlene-scardamalia (accessed on 6 April 2025).
- Chalmers, R. P. (2012). mirt: A multidimensional item response theory package for the R environment. Journal of Statistical Software, 48, 1–29. [Google Scholar] [CrossRef]
- Charters, E. (2003). The use of think-aloud methods in qualitative research an introduction to think-aloud methods. Brock Education Journal, 12(2), 68–82. [Google Scholar] [CrossRef]
- Chen, C., Kim, S., Bui, H., Rossi, R., Koh, E., Kveton, B., & Bunescu, R. (2018, October 22–26). Predictive analysis by leveraging temporal user behavior and user embeddings. 27th ACM International Conference on Information and Knowledge Management (pp. 2175–2182), Torino, Italy. [Google Scholar] [CrossRef]
- Chowdhary, K. R. (2020). Natural language processing. In K. R. Chowdhary (Ed.), Fundamentals of artificial intelligence (pp. 603–649). Springer India. [Google Scholar] [CrossRef]
- Chuang, P.-L., & Yan, X. (2022). An investigation of the relationship between argument structure and essay quality in assessed writing. Journal of Second Language Writing, 56, 100892. [Google Scholar] [CrossRef]
- Crammond, J. G. (1998). The uses and complexity of argument structures in expert and student persuasive writing. Written Communication, 15(2), 230–268. [Google Scholar] [CrossRef]
- Cumming, A., Lai, C., & Cho, H. (2016). Students’ writing from sources for academic purposes: A synthesis of recent research. Journal of English for Academic Purposes, 23, 47–58. [Google Scholar] [CrossRef]
- De Ayala, R. J. (1995). An investigation of the standard errors of expected a posteriori ability estimates. Available online: https://eric.ed.gov/?id=ED392840 (accessed on 6 April 2025).
- Devlin, J., Chang, M.-W., Lee, K., & Toutanova, K. (2019). Bert: Pre-training of deep bidirectional transformers for language understanding. In Proceedings of the 2019 conference of the North American chapter of the association for computational linguistics: Human language technologies, volume 1 (long and short papers) (pp. 4171–4186). Association for Computational Linguistics. Available online: https://aclanthology.org/N19-1423/?utm_campaign=The%20Batch&utm_source=hs_email&utm_medium=email&_hsenc=p2ANqtz-_m9bbH_7ECE1h3lZ3D61TYg52rKpifVNjL4fvJ85uqggrXsWDBTB7YooFLJeNXHWqhvOyC (accessed on 6 April 2025).
- Driscoll, D. L., & Brizee, A. (2013). Quoting, paraphrasing, and summarizing. The Purdue OWL. Purdue U Writing Lab, 15. [Google Scholar]
- Engelhard, G., Jr. (2013). Invariant measurement: Using Rasch models in the social, behavioral, and health sciences. Routledge. Available online: https://www.taylorfrancis.com/books/mono/10.4324/9780203073636/invariant-measurement-george-engelhard-jr (accessed on 6 April 2025).
- Ericsson, K. A. (2017). Protocol analysis. In W. Bechtel, & G. Graham (Eds.), A companion to cognitive science (1st ed., pp. 425–432). Wiley. [Google Scholar] [CrossRef]
- Flesch, R. (1948). A new readability yardstick. Journal of Applied Psychology, 32(3), 221. [Google Scholar] [CrossRef]
- Graesser, A. C., McNamara, D. S., Louwerse, M. M., & Cai, Z. (2004). Coh-Metrix: Analysis of text on cohesion and language. Behavior Research Methods, Instruments, & Computers, 36(2), 193–202. [Google Scholar] [CrossRef]
- Hardeniya, N., Perkins, J., Chopra, D., Joshi, N., & Mathur, I. (2016). Natural language processing: Python and NLTK. Packt Publishing Ltd. Available online: https://books.google.com/books?hl=en&lr=&id=0J_cDgAAQBAJ&oi=fnd&pg=PP1&dq=NLTK+library&ots=lgstr0lzWT&sig=oVZ3c2gMUEp0_T1jZi2JmVTQ-lY (accessed on 6 April 2025).
- Hayes, J. R., & Flower, L. S. (1986). Writing research and the writer. American Psychologist, 41(10), 1106. [Google Scholar] [CrossRef]
- Hua, X., & Wang, L. (2022). Efficient argument structure extraction with transfer learning and active learning. arXiv, arXiv:2204.00707. [Google Scholar] [CrossRef]
- Jonsson, A., & Svingby, G. (2007). The use of scoring rubrics: Reliability, validity and educational consequences. Educational Research Review, 2(2), 130–144. [Google Scholar] [CrossRef]
- Kellogg, R. T. (2008). Training writing skills: A cognitive developmental perspective. Journal of Writing Research, 1(1), 1–26. [Google Scholar] [CrossRef]
- Kettunen, K. (2014). Can type-token ratio be used to show morphological complexity of languages? Journal of Quantitative Linguistics, 21(3), 223–245. [Google Scholar] [CrossRef]
- Kim, H., Baghestani, S., Yin, S., Karatay, Y., Kurt, S., Beck, J., & Karatay, L. (2024). ChatGPT for writing evaluation: Examining the accuracy and reliability of AI-generated scores compared to human raters. In Exploring artificial intelligence in applied linguistics (pp. 73–95). Iowa State University Digital Press. [Google Scholar]
- Kim, M., Tian, Y., & Crossley, S. A. (2021). Exploring the relationships among cognitive and linguistic resources, writing processes, and written products in second language writing. Journal of Second Language Writing, 53, 100824. [Google Scholar] [CrossRef]
- Kincaid, J. P., Fishburne, R. P., Jr., Rogers, R. L., & Chissom, B. S. (1975). Derivation of new readability formulas (automated readability index, fog count and flesch reading ease formula) for navy enlisted personnel. Available online: https://stars.library.ucf.edu/istlibrary/56/ (accessed on 6 April 2025).
- Kisselev, O., Soyan, R., Pastushenkov, D., & Merrill, J. (2022). Measuring writing development and proficiency gains using indices of lexical and syntactic complexity: Evidence from longitudinal Russian learner corpus data. The Modern Language Journal, 106(4), 798–817. [Google Scholar] [CrossRef]
- Kormos, J. (2011). Task complexity and linguistic and discourse features of narrative writing performance. Journal of Second Language Writing, 20(2), 148–161. [Google Scholar] [CrossRef]
- Kyle, K. (2016). Measuring syntactic development in L2 writing: Fine grained indices of syntactic complexity and usage-based indices of syntactic sophistication. Available online: https://scholarworks.gsu.edu/items/8046a5d0-2d60-44c8-9ab7-207f263ce8b5 (accessed on 6 April 2025).
- Kyle, K., & Crossley, S. (2016). The relationship between lexical sophistication and independent and source-based writing. Journal of Second Language Writing, 34, 12–24. [Google Scholar] [CrossRef]
- Lahmann, C., Steinkrauss, R., & Schmid, M. S. (2019). Measuring linguistic complexity in long-term L2 speakers of English and L1 attriters of German. International Journal of Applied Linguistics, 29(2), 173–191. [Google Scholar] [CrossRef]
- Lawrence, J., & Reed, C. (2015, June 4). Combining argument mining techniques. 2nd Workshop on Argumentation Mining (pp. 127–136), Denver, CO, USA. Available online: https://aclanthology.org/W15-0516.pdf (accessed on 6 April 2025).
- Lawrence, J., & Reed, C. (2020). Argument mining: A survey. Computational Linguistics, 45(4), 765–818. [Google Scholar] [CrossRef]
- Lippi, M., & Torroni, P. (2015). Argument mining: A machine learning perspective. In E. Black, S. Modgil, & N. Oren (Eds.), Theory and applications of formal argumentation (Vol. 9524, pp. 163–176). Springer International Publishing. [Google Scholar] [CrossRef]
- Lu, C., Bu, Y., Dong, X., Wang, J., Ding, Y., Larivière, V., Sugimoto, C. R., Paul, L., & Zhang, C. (2019). Analyzing linguistic complexity and scientific impact. Journal of Informetrics, 13(3), 817–829. [Google Scholar] [CrossRef]
- Lu, X. (2010). Automatic analysis of syntactic complexity in second language writing. International Journal of Corpus Linguistics, 15(4), 474–496. [Google Scholar] [CrossRef]
- Lu, X. (2012). The relationship of lexical richness to the quality of ESL learners’ oral narratives. The Modern Language Journal, 96(2), 190–208. [Google Scholar] [CrossRef]
- Lyu, J., Chishti, M. I., & Peng, Z. (2022). Marked distinctions in syntactic complexity: A case of second language university learners’ and native speakers’ syntactic constructions. Frontiers in Psychology, 13, 1048286. [Google Scholar] [CrossRef] [PubMed]
- Mann, W. C., & Thompson, S. A. (1988). Rhetorical structure theory: Toward a functional theory of text organization. Text—Interdisciplinary Journal for the Study of Discourse, 8(3), 243–281. [Google Scholar] [CrossRef]
- Masters, G. N. (1982). A Rasch model for partial credit scoring. Psychometrika, 47(2), 149–174. [Google Scholar] [CrossRef]
- Mayahi, A. J., & Alshatti, E. N. (2023, October 29–30). Assessing English language writing and readability skills using long short-term memory model. 2023 Computer Applications & Technological Solutions (CATS) (pp. 1–4), Mubarak Al-Abdullah, Kuwait. Available online: https://ieeexplore.ieee.org/abstract/document/10424106/?casa_token=jTPotnF7lWEAAAAA:8CJNyt7CwqPiG5LMd6LpqH7Y3KPx9EzTrM4Kb4lqdVI3lRYk8mKud4RqPr2LZYn7gQV-qZ2YxUk (accessed on 6 April 2025).
- Mazgutova, D., & Kormos, J. (2015). Syntactic and lexical development in an intensive English for Academic Purposes programme. Journal of Second Language Writing, 29, 3–15. [Google Scholar] [CrossRef]
- McCutchen, D. (2000). Knowledge, processing, and working memory: Implications for a theory of writing. Educational Psychologist, 35(1), 13–23. [Google Scholar] [CrossRef]
- McNamara, D. S., Crossley, S. A., & McCarthy, P. M. (2010). Linguistic features of writing quality. Written Communication, 27(1), 57–86. [Google Scholar] [CrossRef]
- Mikolov, T., Chen, K., Corrado, G., & Dean, J. (2013). Efficient estimation of word representations in vector space. arXiv, arXiv:1301.3781. [Google Scholar] [CrossRef]
- Nussbaum, E. M., & Schraw, G. (2007). Promoting argument-counterargument integration in students’ writing. The Journal of Experimental Education, 76(1), 59–92. [Google Scholar] [CrossRef]
- Pedregosa, F., Varoquaux, G., Gramfort, A., Michel, V., Thirion, B., Grisel, O., Blondel, M., Prettenhofer, P., Weiss, R., & Dubourg, V. (2011). Scikit-learn: Machine learning in Python. The Journal of Machine Learning Research, 12, 2825–2830. [Google Scholar]
- Peng, Y., Sun, J., Quan, J., Wang, Y., Lv, C., & Zhang, H. (2023). Predicting Chinese EFL learners’ human-rated writing quality in argumentative writing through multidimensional computational indices of lexical complexity. Assessing Writing, 56, 100722. [Google Scholar] [CrossRef]
- Pennington, J., Socher, R., & Manning, C. D. (2014, October 25–29). Glove: Global vectors for word representation. 2014 Conference on Empirical Methods in Natural Language Processing (EMNLP) (pp. 1532–1543), Doha, Qatar. Available online: https://aclanthology.org/D14-1162.pdf (accessed on 6 April 2025).
- Pun, J., & Li, W. K. (2024). A structural equation investigation of linguistic features as indices of writing quality in assessed secondary-level EMI learners’ scientific reports. Assessing Writing, 62, 100897. [Google Scholar] [CrossRef]
- Ramos, J. (2003). Using tf-idf to determine word relevance in document queries. Proceedings of the First Instructional Conference on Machine Learning, 242(1), 29–48. [Google Scholar]
- R Core Team. (2010). R: A language and environment for statistical computing. Available online: https://cir.nii.ac.jp/crid/1370294721063650048 (accessed on 6 April 2025).
- Reimers, N., & Gurevych, I. (2019). Sentence-BERT: Sentence embeddings using Siamese BERT-networks. arXiv, arXiv:1908.10084. [Google Scholar] [CrossRef]
- Sagredo-Ortiz, S., & Kloss, S. (2025). Academic writing strategies in university students from three disciplinary areas: Design and validation of an instrument. Frontiers in Education, 10, 1600497. [Google Scholar] [CrossRef]
- Seifert, K., & Sutton, R. (2009). Educational psychology. Available online: http://117.250.119.200:8080/jspui/bitstream/123456789/112/1/Kelvin%20Seifert_Educational%20Psychology.pdf (accessed on 6 April 2025).
- Shahapure, K. R., & Nicholas, C. (2020, October 6–9). Cluster quality analysis using silhouette score. 2020 IEEE 7th International Conference on Data Science and Advanced Analytics (DSAA) (pp. 747–748), Sydney, Australia. Available online: https://ieeexplore.ieee.org/abstract/document/9260048/?casa_token=7vv0LNndPKQAAAAA:ZOS9it2int31pwL_8KBy16vsxHLL8nh0VxhJOBEao-7wQ_hLjs8aBtBpnCiy4EgZWtXAJSuQdPk (accessed on 6 April 2025).
- Shi, C., Wei, B., Wei, S., Wang, W., Liu, H., & Liu, J. (2021). A quantitative discriminant method of elbow point for the optimal number of clusters in clustering algorithm. EURASIP Journal on Wireless Communications and Networking, 2021(1), 31. [Google Scholar] [CrossRef]
- Sinaga, K. P., & Yang, M.-S. (2020). Unsupervised K-means clustering algorithm. IEEE Access, 8, 80716–80727. [Google Scholar] [CrossRef]
- Talebinamvar, M., & Zarrabi, F. (2022). Clustering students’ writing behaviors using keystroke logging: A learning analytic approach in EFL writing. Language Testing in Asia, 12(1), 6. [Google Scholar] [CrossRef]
- Thorndike, R. L. (1953). Who belongs in the family? Psychometrika, 18(4), 267–276. [Google Scholar] [CrossRef]
- Toth, Z. (2025). The measurement of text quality: Current methods and open challenges. Open Research Europe, 5(98), 98. [Google Scholar] [CrossRef]
- Toulmin, S. E. (2003). The uses of argument. Cambridge University Press. Available online: https://books.google.com/books?hl=en&lr=&id=8UYgegaB1S0C&oi=fnd&pg=PR7&dq=Toulmin,+S.+E.+(2003).+The+uses+of+argument+(Updated+edition).+Cambridge+University+Press.&ots=Xg20shCPuU&sig=RJqKcvgV-puC5OeiWPYBmw7J6eg (accessed on 6 April 2025).
- Van Rossum, G., & Drake, F. L. (1995). Python reference manual (Vol. 111). Centrum voor Wiskunde en Informatica Amsterdam. Available online: http://www.cs.cmu.edu/afs/cs.cmu.edu/project/gwydion-1/OldFiles/OldFiles/python/Doc/ref.ps (accessed on 6 April 2025).
- Vasiliev, Y. (2020). Natural language processing with Python and spaCy: A practical introduction. No Starch Press. Available online: https://books.google.com/books?hl=en&lr=&id=Au-_DwAAQBAJ&oi=fnd&pg=PR15&dq=spacy+library&ots=0oalSVonWQ&sig=lxuMaNqfaCqc93ac-XXfcdRfw2E (accessed on 6 April 2025).
- Verspoor, M., Lowie, W., Chan, H. P., & Vahtrick, L. (2017). Linguistic complexity in second language development: Variability and variation at advanced stages. Recherches En Didactique Des Langues et Des Cultures. Les Cahiers de l’Acedle, 14(14-1). Available online: https://journals.openedition.org/rdlc/1450 (accessed on 6 April 2025).
- Weaver, D. H., Hopkins, W. W., Billings, W. H., & Cole, R. R. (1974). Quotes vs. paraphrases in writing: Does it make a difference to readers? Journalism Quarterly, 51(3), 400–404. [Google Scholar] [CrossRef]
- Wolf, T., Debut, L., Sanh, V., Chaumond, J., Delangue, C., Moi, A., Cistac, P., Rault, T., Louf, R., & Funtowicz, M. (2020, November 16–20). Transformers: State-of-the-art natural language processing. 2020 Conference on Empirical Methods in Natural Language Processing: System Demonstrations (pp. 38–45), Online. Available online: https://aclanthology.org/2020.emnlp-demos.6/ (accessed on 6 April 2025).
- Xiong, J., Engelhard, G., & Cohen, A. S. (2024). Analysis of mixed-format assessments using measurement models and topic modeling. Measurement: Interdisciplinary Research and Perspectives, 23, 101–115. [Google Scholar] [CrossRef]
- Yasuda, S. (2024). Does “more complexity” equal “better writing”? Investigating the relationship between form-based complexity and meaning-based complexity in high school EFL learners’ argumentative writing. Assessing Writing, 61, 100867. [Google Scholar] [CrossRef]
- Yoon, H.-J., & Polio, C. (2017). The linguistic development of students of English as a second language in two written genres. TESOL Quarterly, 51(2), 275–301. [Google Scholar] [CrossRef]
- Zenker, F., & Kyle, K. (2021). Investigating minimum text lengths for lexical diversity indices. Assessing Writing, 47, 100505. [Google Scholar] [CrossRef]
- Zhang, L. J., & Zhang, J. (2024). EFL students’ syntactic complexity development in argumentative writing: A latent class growth analysis (LCGA) approach. Assessing Writing, 61, 100877. [Google Scholar] [CrossRef]
- Zhou, C., Qiu, C., Liang, L., & Acuna, D. E. (2024). Paraphrase identification with deep learning: A review of datasets and methods. arXiv, arXiv:2212.06933. [Google Scholar] [CrossRef]
















| Number 1 | Writing Proficiency 2 | ||
|---|---|---|---|
| Mean | SD | ||
| Text Complexity Type | |||
| Intermediate Composition | 215 | 0.498 | 0.688 |
| Basic Composition | 130 | −0.364 | 0.687 |
| Elaborate Composition | 61 | −0.414 | 0.617 |
| Evidence Use Type | |||
| Paraphrase | 56 | 0.491 | 0.682 |
| Direct Quote | 116 | 0.468 | 0.856 |
| Original Content | 234 | −0.202 | 0.680 |
| Argument Structure Type | |||
| Linear Progression | 153 | 0.127 | 0.828 |
| Contrast-Based | 129 | 0.106 | 0.729 |
| Index | Text Complexity | Evidence Use | Argument Structure | Number 1 | Mean Proficiency |
|---|---|---|---|---|---|
| 1 | Intermediate Composition | Direct Quote | Linear Progression | 43 | 0.685 |
| 2 | Basic Composition | Original Content | Linear Progression | 37 | −0.673 |
| 3 | Intermediate Composition | Direct Quote | Contrast-based | 32 | 0.621 |
| 4 | Intermediate Composition | Original Content | Contrast-based | 31 | 0.204 |
| 5 | Intermediate Composition | Original Content | Discrete Arguments | 29 | 0.143 |
| 6 | Basic Composition | Original Content | Contrast-based | 27 | −0.318 |
| 7 | Intermediate Composition | Original Content | Linear Progression | 27 | 0.220 |
| 8 | Basic Composition | Original Content | Discrete Arguments | 26 | −0.220 |
| 9 | Elaborate Composition | Original Content | Discrete Arguments | 24 | −0.650 |
| 10 | Elaborate Composition | Original Content | Linear Progression | 21 | −0.164 |
| 11 | Intermediate Composition | Direct Quote | Discrete Arguments | 18 | 0.828 |
| 12 | Intermediate Composition | Paraphrase | Linear Progression | 13 | 0.892 |
| 13 | Elaborate Composition | Original Content | Contrast-based | 12 | −0.456 |
| 14 | Intermediate Composition | Paraphrase | Contrast-based | 11 | 0.487 |
| 15 | Intermediate Composition | Paraphrase | Discrete Arguments | 11 | 0.867 |
| 16 | Basic Composition | Direct Quote | Contrast-based | 9 | −0.281 |
| 17 | Basic Composition | Direct Quote | Discrete Arguments | 7 | −0.880 |
| 18 | Basic Composition | Paraphrase | Discrete Arguments | 7 | −0.134 |
| 19 | Basic Composition | Paraphrase | Contrast-based | 6 | −0.062 |
| 20 | Basic Composition | Paraphrase | Linear Progression | 6 | 0.416 |
| 21 | Basic Composition | Direct Quote | Linear Progression | 5 | −0.117 |
| 22 | Elaborate Composition | Direct Quote | Contrast-based | 1 | −0.835 |
| 23 | Elaborate Composition | Direct Quote | Discrete Arguments | 1 | 0.220 |
| 24 | Elaborate Composition | Paraphrase | Discrete Arguments | 1 | 1.031 |
| 25 | Elaborate Composition | Paraphrase | Linear Progression | 1 | −1.175 |
| A. Text Complexity | B. Evidence Use | C. Argument Type |
|---|---|---|
![]() | ![]() | ![]() |
Disclaimer/Publisher’s Note: The statements, opinions and data contained in all publications are solely those of the individual author(s) and contributor(s) and not of MDPI and/or the editor(s). MDPI and/or the editor(s) disclaim responsibility for any injury to people or property resulting from any ideas, methods, instructions or products referred to in the content. |
© 2025 by the authors. Licensee MDPI, Basel, Switzerland. This article is an open access article distributed under the terms and conditions of the Creative Commons Attribution (CC BY) license (https://creativecommons.org/licenses/by/4.0/).
Share and Cite
Tang, C.; Xiong, J.; Engelhard, G. Identification of Writing Strategies in Educational Assessments with an Unsupervised Learning Measurement Framework. Educ. Sci. 2025, 15, 912. https://doi.org/10.3390/educsci15070912
Tang C, Xiong J, Engelhard G. Identification of Writing Strategies in Educational Assessments with an Unsupervised Learning Measurement Framework. Education Sciences. 2025; 15(7):912. https://doi.org/10.3390/educsci15070912
Chicago/Turabian StyleTang, Cheng, Jiawei Xiong, and George Engelhard. 2025. "Identification of Writing Strategies in Educational Assessments with an Unsupervised Learning Measurement Framework" Education Sciences 15, no. 7: 912. https://doi.org/10.3390/educsci15070912
APA StyleTang, C., Xiong, J., & Engelhard, G. (2025). Identification of Writing Strategies in Educational Assessments with an Unsupervised Learning Measurement Framework. Education Sciences, 15(7), 912. https://doi.org/10.3390/educsci15070912




