Next Article in Journal
Vocational Education, Skill Formation, and Social Development
Previous Article in Journal
Computational Thinking for Science Positions Youth to Be Better Science Learners
 
 
Font Type:
Arial Georgia Verdana
Font Size:
Aa Aa Aa
Line Spacing:
Column Width:
Background:
Article

Risks in Work-Integrated Learning: A Data-Driven Analysis

by
Xiao Xu
School of Risk and Actuarial Studies, University of New South Wales, Sydney, NSW 2052, Australia
Educ. Sci. 2025, 15(1), 106; https://doi.org/10.3390/educsci15010106
Submission received: 6 November 2024 / Revised: 9 January 2025 / Accepted: 10 January 2025 / Published: 19 January 2025
(This article belongs to the Section Higher Education)

Abstract

This study employs advanced data-driven and machine learning techniques to critically assess the integration of Work-Integrated Learning (WIL) into academic programs, with a focus on psychological well-being, financial, and equity and inclusion risks. Using data from the 2018 National Graduates Survey in Canada, the analysis examines how WIL programs influence students’ academic and career trajectories, with particular emphasis on identifying key risk factors. The study explores psychological well-being risks associated with academic programs, financial burdens both during and after education, and equity and inclusion risks for institutions. By analysing variables related to work placements, student loans, financial assistance, and the alignment of WIL experiences with students’ post-graduation employment, this research provides critical insights into the effectiveness of WIL programs from a large-scale, survey-based, big data perspective. The findings highlight key areas for improvement to mitigate these risks and enhance the overall value of WIL for students across various disciplines.

1. Introduction

Work-Integrated Learning (WIL) programs are designed to enhance student experiences by seamlessly integrating real-world professional activities into the academic curriculum. These programs effectively bridge the gap between theoretical knowledge and practical application, aiming to enhance employability upon graduation. Research has shown that WIL aligns well with industry-relevant competencies, creating valuable employment opportunities. Additionally, WIL fosters career self-management skills, helps close the academic theory–practice gap and contributes to the development of future-ready, work-prepared graduates across diverse regions, including Australia, Canada, Asia and Africa (Jackson, 2024; Ng et al., 2022; Taylor & Govender, 2017; Turcotte et al., 2016).
While WIL programs offer considerable benefits, they also pose significant risks. Financial risks, such as debt accumulation and potential long-term financial constraints, are prominent concerns for students participating in these programs (Grant-Smith, 2023). Similarly, psychological well-being risks, including stress associated with the transition from academia to the workplace, have been identified as critical areas requiring attention (Fleming & Hay, 2021). Moreover, equity and inclusion risks emerge from systemic barriers that limit access to WIL opportunities for underrepresented groups, such as minority students and those with disabilities (Jackson et al., 2023). Addressing these risks is essential to designing WIL programs that maximize their benefits while minimizing unintended consequences.
This study examines these risks using data from the 2018 National Graduates Survey conducted in Canada (Statistics Canada, 2020). Specifically, it investigates the psychological well-being implications of WIL participation, focusing on academic and career satisfaction; the financial risks associated with debt levels at graduation and post-graduation; and equity and inclusion risks, particularly disparities in WIL access among minority groups and students with disabilities. The research is framed by the following risk hypotheses: psychological well-being during the transition to the workplace, financial risks, and equity and inclusion risks. By employing both statistical analyses and machine learning techniques, this study adopts a big data approach to provide a nuanced, data-driven understanding of these risks. The findings contribute to educational policy and practice, offering actionable insights to enhance the equity, sustainability and overall effectiveness of WIL programs.

2. Literature Review

WIL is recognized as a transformative approach that bridges curriculum-based learning with career development, fostering graduate employability and professional growth (Jackson et al., 2024; Rowe & Zegwaard, 2017). By integrating students, educators, and industry partners in authentic, work-related activities, WIL offers unparalleled opportunities for professional socialization, networking, and career planning (Jackson, 2017). Beyond the immediate benefits of employability, WIL can also provide global exposure through virtual or international placements, building cultural awareness and confidence while expanding students’ professional networks and global career opportunities (Potts, 2022). Industry mentoring programs within WIL frameworks can enhance students’ self-awareness, clarify career pathways, and foster meaningful professional relationships through dialogue and reflection (Jackson & Tomlinson, 2022). Embedding reflection and career planning helps students create personal narratives and construct professional identities (Jackson & Rowe, 2023). These benefits extend beyond employment outcomes, supporting a sense of connectedness and professional identity while contributing to strong employment outcomes.
While WIL can provide significant opportunities for student growth, it also carries inherent risks that need systematic attention. A comprehensive framework for managing various risks associated with WIL programs has been outlined by Cameron et al. (2023), identifying legal, ethical, strategic, reputational, operational, and financial affecting institutions, students, and host organizations alike. This research also provides best practices and suggested methods for mitigating these risks to ensure the sustainability of WIL programs and adequate student support.
From the university’s perspective, WIL-related risks can be categorized into legal and strategic domains. Legal risks primarily involve contractual challenges and program-specific obligations, whereas strategic risks revolve around the availability of WIL placements, competition within higher education, and fluctuating student demand (Cameron, 2017). Ethical risks, if left unaddressed, can escalate into significant financial, legal, and regulatory issues (Cameron et al., 2019), highlighting the importance of robust risk management strategies to protect institutions from potential legal and reputational damage. The legal complexities inherent in WIL programs call for stronger legal frameworks to mitigate institutional risks (Turcotte et al., 2016). Research also shows that university lawyers can help manage these legal risks by enhancing legal literacy and implementing best practices (Cameron, 2018; Cameron & Klopper, 2015).
Building on foundational work, Cameron et al. (2018) argue that Australian institutions must adopt structured, well-informed approaches to mitigate both legal and operational risks in WIL programs. A cross-institutional study by Cameron et al. (2020) reinforces the need for consistent risk management practices across universities. Adopting a stakeholder-centric approach, Effeney (2020) conceptualizes risk as a network of fragile relationships involving students and all WIL stakeholders. This perspective emphasizes the short timeframe in which stakeholders must understand their roles and responsibilities, presenting challenges for effective WIL risk management (Winchester-Seeto et al., 2024).
From the students’ perspective, Hay and Fleming (2021) highlight that WIL participants from universities in New Zealand report health and safety concerns, as well as financial risks associated with repeating courses, as key issues. Establishing the right learning environment can mitigate exploitation and enhance physical and psychological safety. Fleming and Hay (2021) further highlight significant physical and psychological safety risks for students, especially in high-risk industries. Pre-placement training can mitigate these risks, though unpaid placements often carry a higher risk of exploitation from a financial perspective (Grant-Smith et al., 2017). Financial stress is one of the most significant challenges for students participating in unpaid WIL programs, particularly in Australia, where it negatively impacts student participation, well-being and learning outcomes (Grant-Smith & de Zwaan, 2019).
Access to WIL programs presents another significant challenge, particularly for equity groups. Students with disabilities and those from disadvantaged backgrounds face significant barriers to accessing WIL opportunities (Universities Australia, 2022). Jackson and Dean (2023) emphasize that access is not equitable across all student groups, with disparities in participation across different WIL experiences. These findings underscore the need for universities to address barriers affecting marginalized students. The financial burden of WIL further complicates access; opportunity costs, such as the inability to pursue paid work while participating in WIL, exacerbate financial difficulties, particularly for disadvantaged students (Cameron & Hewitt, 2022). This calls for measures that alleviate financial strain and facilitate broader WIL access, addressing equity concerns. Supporting diversity and inclusive practices within WIL programs can enhance graduate employability, reduce anxieties for marginalized students, and promote more inclusive placement practices (Thompson & Brewster, 2023).
While existing research on WIL programs often relies on qualitative studies and small-scale quantitative methods focused on specific fields, few studies adopt a big data approach using large-scale national survey data to generate comprehensive and actionable insights. The interactions between these risks and their collective impact on overall student outcomes remain unclear, particularly the relationship between psychological well-being and financial stress in WIL participation. This study addresses these gaps by leveraging national survey data to rigorously assess the impact of WIL participation on key risk factors, including student satisfaction, financial stress, and equity and inclusion risks for universities. By providing evidence-based insights, this research aims to enhance student support and improve program effectiveness on a broader scale.

3. Methodology

This study investigates three key risks associated with WIL programs: psychological well-being risk, financial risk, and equity and inclusion risk. To investigate these dimensions, we formulate hypotheses and employ statistical and machine learning methods, leveraging data from the 2018 National Graduates Survey (NGS). This section outlines the research hypotheses, statistical and machine learning approaches, and data sources used.

3.1. Research Hypotheses and Statistical Methods

The following hypotheses are formulated (Figure 1) to correspond to job satisfaction and psychological well-being, financial risk and equity and inclusion risk, respectively:
H1: 
Participation in a WIL program is positively associated with job satisfaction, contributing to enhanced psychological well-being during the transition from academic to the workforce.
H2: 
Participation in a WIL program increases financial stress for students, leading to higher debt burdens and exacerbating short-term financial risks.
H3: 
Access to WIL programs demonstrates significant disparities for students from minority groups or with disabilities compared to their peers, highlighting systemic equity and inclusion risks.

3.1.1. Psychological Well-Being Hypotheses

To further analyse the psychological well-being, we draw on Keyes’ (2002) model of subjective well-being, which identifies three core components: emotional well-being, representing positive affect and overall emotional vitality; psychological well-being, encompassing dimensions such as autonomy, environmental mastery, personal growth, and self-acceptance; and social well-being, which reflects one’s connectedness and contribution to the social fabric. Among these, life satisfaction is a widely accepted global indicator of psychological well-being (Ryff & Keyes, 1995).
In this study, we focus on academic satisfaction (satisfaction with one’s field of study) and career satisfaction (job satisfaction) as specific and critical markers of psychological well-being for students during the transition from academia to the workforce. We adopt a twofold approach to analyse psychological well-being in the context of WIL participation. Academic satisfaction serves as a proxy for students’ experiences during their academic journey, reflecting their engagement and alignment with their chosen field of study. Additionally, career satisfaction focuses on students’ early job experiences and perceived career progress during their transition to the workforce. By examining these dimensions separately, we aim to provide a nuanced understanding of how WIL participation impacts psychological well-being.
To test Hypothesis H1, which posits that WIL participation is positively associated with job satisfaction and overall psychological well-being, we conduct both a Pearson Chi-square test and t-tests. The Chi-square test evaluates the association between WIL participation and academic satisfaction, while the t-tests examine differences in career satisfaction metrics, including overall job satisfaction, wage satisfaction, and job security. We also conduct a subgroup analysis to explore reasons for dissatisfaction and variations in satisfaction levels across different fields of study. Preliminary findings indicate that WIL participants consistently report higher satisfaction levels in both academic and career domains compared to non-participants, with field-specific variations providing additional insights into employment-related outcomes during the transition to the workplace.

3.1.2. Financial Risk Hypotheses

Financial stress is a significant concern in WIL programs, arising from unpaid internships, relocation expenses, and other associated costs. These challenges often result in short-term financial strain and limit students’ engagement in educational experiences (Grant-Smith et al., 2017). Additional living costs, such as transport and childcare, can exacerbate these pressures, complicating students’ ability to manage academic and work commitments during WIL placements (Grant-Smith & de Zwaan, 2019).
To analyse financial risks, we examine student debt at various stages, including graduation and three years post-graduation. Variables include total debt, government-sponsored student loans, and financial support through scholarships and awards. Subgroup analyses explore disparities across fields of study, offering insights into the financial stress associated with WIL participation.
Hypothesis H2 posits that WIL participants experience higher financial burdens compared to non-participants. To test this, we use independent samples t-tests to compare mean debt levels and apply Propensity Score Matching (PSM) to address selection bias. Propensity scores are estimated via logistic regression, incorporating demographic and academic characteristics such as gender, field of study, and parental education. Preliminary results indicate that WIL participants have higher debt levels at graduation but lower debt three years later, suggesting improved financial management. They also receive less support from scholarships and awards, which highlights funding disparities.

3.1.3. Equity and Inclusion Hypotheses

Numerous studies have investigated the barriers that equity students face in accessing WIL opportunities and their challenges in leveraging positive experiences and outcomes. While participation rates for graduates with disabilities across all course levels are only slightly lower than for those without disabilities, these small differences mask systemic inequities and barriers that disproportionately affect underrepresented groups (Jackson et al., 2023). Such disparities not only restrict access to opportunities for minority groups but also raise concerns about reputational risks for institutions failing to address meaningful inclusion (Baltaru, 2022).
To assess equity and inclusion risks, this study investigates disparities in WIL participation among demographic groups, particularly focusing on students identifying as members of visible minority groups and those reporting disabilities. Key variables include the presence and severity of disabilities, represented as the number of disability types reported (e.g., one, two to three, or more than three types), as well as self-identified minority group status.
Hypothesis H3 posits that significant disparities exist in WIL participation rates based on disability or minority status, reflecting systemic inequities that exist within educational systems. We also employ a Chi-square test to evaluate participation rates across groups with different disability levels and those without disabilities. Furthermore, we analyse participation rates among visible minority groups to identify potential discrepancies. These analyses are complemented by subgroup examinations to explore disparities across different academic programs, providing a detailed understanding of the equity challenges in WIL participation. By identifying these barriers, the findings underscore the importance of actionable measures to enhance equitable access to WIL opportunities and foster greater inclusivity within educational institutions.

3.2. Machine Learning Analytics Methods

To complement the statistical analysis, this study employs machine learning techniques to uncover complex patterns and predictors of WIL outcomes. Traditional statistical methods, such as t-tests and Chi-square tests, provide inferential insights into associations between individual variables and outcomes (e.g., the relationship between WIL participation and career satisfaction or financial stress). These approaches are valuable for identifying linear relationships and testing specific hypotheses but are limited in capturing interactions among multiple predictors. In contrast, machine learning methods, such as the Gradient Boosting Classifier (GBC), enable a more holistic examination by identifying complex, non-linear relationships and interactions across variables, offering a broader and more nuanced understanding of WIL participation.
A GBC model is utilized to predict factors influencing psychological well-being, financial risk, and equity and inclusion. GBC iteratively builds a predictive model by combining decision trees, effectively capturing non-linear relationships and interactions between variables (Friedman, 2001). This approach enables more accurate predictions by identifying complex patterns among variables. Key features included in the model were determined based on their importance in predicting these outcomes. The dataset comprises 51 variables selected, as detailed in Appendix A, providing a multidimensional perspective on WIL participation outcomes.
Key variables include demographic information such as gender, marital status, age at graduation, and self-identified minority status. Academic factors include overall grade average, level of education attained, field of study, and entrepreneurial skills. Financial metrics cover debt levels at graduation, government-sponsored loans, scholarships and awards, and total personal income. Employment-related variables include the relatedness of the first job to the program, occupational group, annual wage or salary, job security, and time to first job post-graduation. Other significant predictors include entrepreneurship skills, satisfaction with academic and job experiences, and language and regional characteristics.
To further interpret the model’s predictions and gain a transparent view into the decision-making process, we employ SHapley Additive exPlanations (SHAP), a widely recognized explainable artificial intelligence (AI) method (Lundberg & Lee, 2017). SHAP values provide a transparent view into the model’s predictions by highlighting critical factors influencing outcomes. SHAP values illustrate the contribution of individual features to model predictions, enabling a clearer understanding of the drivers behind observed results. This approach supports policy recommendations to improve equity and access in WIL programs. By combining GBC with SHAP, this study elucidates the intricate relationships between predictors and outcomes, offering a detailed understanding of the risks and benefits associated with WIL programs through a data-driven approach. These machine learning techniques enable the identification of the most critical factors affecting student success, particularly for underrepresented groups, and provide actionable insights that can guide policy adjustments to improve equity and access in WIL programs.

3.3. Data Overview

We use data from the 2018 National Graduates Survey (NGS), conducted by Statistics Canada (2020), which collects comprehensive information from individuals who graduated from public postsecondary institutions in Canada. The survey includes detailed questions about the graduates’ academic paths, funding sources for postsecondary education and their transition into the labour market. The extensive coverage of graduates in the dataset makes it an invaluable resource for analysing the impacts of WIL programs on employment times and the quality of job matches.
The dataset consists of 19,564 records, using the variable ‘Did you have any work placements as part of your program?’ to determine if a WIL program was integrated into the course. According to Statistics Canada (2020), the dataset includes co-op programs, internships, practicums, clinical placements, field experiences, community service learning, and other work placements that were officially part of the program. It excludes work placements or experiences that were not officially part of the program, such as the Federal Student Work Experience Program (FSWEP), teaching assistantships, research assistantships, and thesis work. Of the total responses, 9131 were ‘Yes’, 10,406 were ‘No’, and 27 were marked as ‘N/A’. Therefore, 47% of survey respondents reported having WIL experience in their programs. Table 1 details the participation rates by field of study. It reveals that the programs in ‘Agriculture, Natural Resources and Conservation’, and ‘Education’ have the highest WIL participation rates, at 79% and 61% respectively. Conversely, the fields of ‘Physical and Life Sciences and Technologies’ and ‘Humanities’, exhibit the lowest participation rates, at 21% and 15%, respectively.

4. Results

In this section, we present the results from the statistical tests conducted during our data analysis, along with key summaries of these results. The analysis revealed a strong association between participation in WIL programs and overall positive experiences post-graduation. Despite concerns, the temporary financial burden associated with these programs did not significantly affect graduates in the long term. However, the data highlight that from the university’s perspective, students from minority groups and those with disabilities are underrepresented in WIL cohorts.

4.1. Psychological Well-Being Risk Analysis

Our analysis reveals a significant association between WIL participation and academic satisfaction. The Chi-square test results, as detailed in Table 22 = 52.10, p-value < 0.0001), indicate that students who participated in WIL programs were more likely to express satisfaction with their field of study compared to non-participants. Specifically, WIL participants were more likely to state that they would select the same field of study again, highlighting a potential association between WIL participation and academic satisfaction.
In addition to academic satisfaction, t-tests were conducted to assess career satisfaction, focusing on metrics such as overall job satisfaction, satisfaction with wages or salary, and job security. The results indicate statistically significant differences between WIL participants and non-participants across all three metrics (Table 3). WIL participants reported higher levels of satisfaction with their overall job experience, salary, and job security compared to their non-participant counterparts. For instance, the mean overall job satisfaction for WIL participants was 4.14, compared to 4.04 for non-participants (t-statistic = 7.17, p-value < 0.0001). These findings suggest that WIL participation is associated with higher levels of satisfaction in students’ early career experiences.
Figure 2 highlights the differences in the proportions of reasons for not selecting the same field of study between students who participated in WIL programs and those who did not. For example, ‘Not satisfied with current job’ is noticeably more prevalent among WIL participants. This could reflect their heightened career ambitions or expectations, shaped by the practical exposure and opportunities gained during WIL participation. While WIL participants tend to report higher overall job satisfaction, their experiences might also make them more critical of jobs that do not align with their enhanced career aspirations or perceived potential. Conversely, reasons such as ‘Not enough jobs available in this field’ are more commonly cited by non-participants, pointing to potential gaps in career readiness or available opportunities for this group. These findings highlight the different challenges each group faces, shedding light on how WIL participation influences career satisfaction and choices.
Field-specific variations in T-statistics (Figure 3) highlight that the association between WIL participation and satisfaction varies across disciplines. For instance, WIL participants in ‘Agriculture, Natural Resources, and Conservation’ and ‘Social and Behavioural Sciences and Law’ are more likely to select the same field of study, while ‘Visual and Performing Arts, and Communications Technologies’ and ‘Architecture, Engineering, and Related Technologies’ are less likely. These differences may reflect underlying variations in program structures, industry alignment, or student expectations, which are not directly measured in this study.

4.2. Financial Risk Analysis

This section evaluates Hypothesis H2, which posits that WIL participation is associated with increased financial risk. Debt levels at graduation and post-graduation, along with financial support metrics, were analysed to understand the financial implications of WIL participation.
The t-test results in Table 4 indicate that WIL participants incur significantly higher debt at graduation compared to non-participants. The mean debt for WIL participants is CAD 19,158.50, whereas non-participants report CAD 15,457.52 (t-statistic: 5.09, p < 0.0001). Similarly, government-sponsored loans at graduation follow a comparable pattern, with a mean of CAD 17,418.30 for WIL participants versus CAD 13,488.56 for non-participants (t-statistic: 4.05, p < 0.0001). While WIL participants exhibit lower debt levels three years post-graduation, particularly for government-sponsored loans (mean: CAD 9983.66 vs. CAD 13,660.13; t-statistic: −1.48, p = 0.138), these differences are not statistically significant. Nevertheless, the trend suggests potential advantages in financial resilience or repayment capabilities among WIL participants. It is important to note, however, that these results may be influenced by unmeasured confounding factors, such as students’ financial literacy, employment opportunities, or parental support.
Significant disparities are also observed in financial support metrics. Table 5 shows that WIL participants receive less financial aid through scholarships and awards, with a mean of CAD 7483.66 compared to CAD 10,825.16 for non-participants (t-statistic: −4.61, p < 0.0001). Similarly, RESPs (Registered Education Savings Plans) provide slightly less support for WIL participants (CAD 12,802.29 vs. CAD 14,256.54; t-statistic: −2.89, p = 0.0039). These findings highlight disparities in financial support systems, potentially exacerbating financial stress.
To address potential selection bias, PSM was employed specifically for financial outcomes. The rationale for focusing PSM on this aspect is the availability of detailed financial variables in the dataset, such as debt levels at graduation and interview, and funding sources like government loans and scholarships. Key covariates included demographic factors (e.g., gender and parental education levels), academic characteristics (e.g., overall grade average and field of study), and funding sources for postsecondary education (as detailed in Appendix A). These variables provided a strong foundation for estimating propensity scores and balancing covariates between WIL and non-WIL participants. By creating balanced groups through nearest-neighbour matching, this approach ensured more robust and interpretable comparisons of financial outcomes while addressing potential confounding factors.
Table 6 summarizes the matched sample analysis, which underscores both statistical significance and effect sizes (Cohen’s d) for each financial metric.
From Table 6, it is evident that WIL participants face higher debt at graduation, particularly from government-sponsored loans (Cohen’s d = 0.34), likely due to additional costs such as relocation or unpaid internships. Post-graduation, WIL participants show lower debt levels, with significant reductions in government-sponsored loans (Cohen’s d = −0.32). These trends indicate enhanced financial management or repayment capabilities, potentially tied to improved employment outcomes associated with WIL. However, disparities in scholarships and RESP funding (Cohen’s d = −0.37 and −0.17, respectively) highlight systemic inequities that may place WIL participants at a disadvantage.
Figure 4 highlights the variation in financial outcomes across fields of study. For example, participants in ‘Agriculture, natural resources, and conservation’ exhibit the highest positive impact on debt levels at graduation (Cohen’s d = 0.68). Conversely, participants in ‘Visual and performing arts’ experience negative effect sizes, reflecting higher post-graduation debt relative to non-participants. These variations underscore the influence of program structure and industry alignment on the financial implications of WIL participation.

4.3. Equity and Inclusion Risk Analysis

H3 examines whether disparities in WIL participation among minority groups and students with disabilities pose reputational risks for universities. The results presented in Table 7 provide evidence of significant disparities, revealing barriers to equitable access to WIL programs.
The Chi-square test (Table 7) for minority status yielded a statistic of 157.81 (p < 0.0001), indicating a strong association between minority status and WIL participation. Specifically, students who do not identify as members of visible minority groups are significantly more likely to participate in WIL programs. The Chi-square test for disability status demonstrates a statistically significant relationship between disability status and WIL participation (Chi-square = 13.88, p = 0.0002). Students without disabilities are more likely to participate in WIL programs compared to their peers with disabilities. Further analysis of disability severity reveals additional insights. The Chi-square test for severity categories yielded a statistic of 18.67 (p = 0.0003), indicating that the level of disability significantly impacts WIL participation. Using a detailed severity mapping (‘Does not have a disability’ as 0, ‘Mild’ as 1, ‘Moderate’ as 2, and ‘Severe/Very severe’ as 3), the analysis highlights that students with greater disability severity face notable barriers in accessing WIL programs.
Field-specific analyses (Figure 5) highlight notable disparities in WIL participation across various disciplines. For instance, ‘Architecture, engineering, and related technologies’ exhibits a significant disparity, with a Chi-square statistic of 117.77 (p < 0.0001), indicating substantial differences in participation based on minority status. Similarly, ‘Business, management, and public administration’ shows a significant Chi-square statistic of 30.59 (p < 0.0001), further underscoring inequities. In contrast, fields such as ‘Agriculture, natural resources, and conservation’ and ‘Social and behavioural sciences and law’ present more balanced participation rates. These findings point to the need for discipline-specific strategies to address barriers and enhance inclusivity in WIL programs, ensuring equitable access for all students.

4.4. Machine Learning Analytics Results

We employ the GBC, a widely recognized ensemble technique in machine learning, to analyse the influence of WIL programs using a comprehensive dataset comprising over 30 variables (Appendix A, excluding main funding resource variables). During the final model selection process, variables related to main funding resources (e.g., scholarships, RESP, and loans) were excluded due to potential multicollinearity and their weaker predictive power in preliminary tests. This refinement ensured the model’s interpretability and performance.
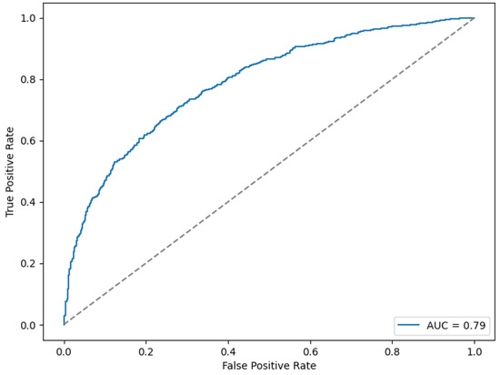
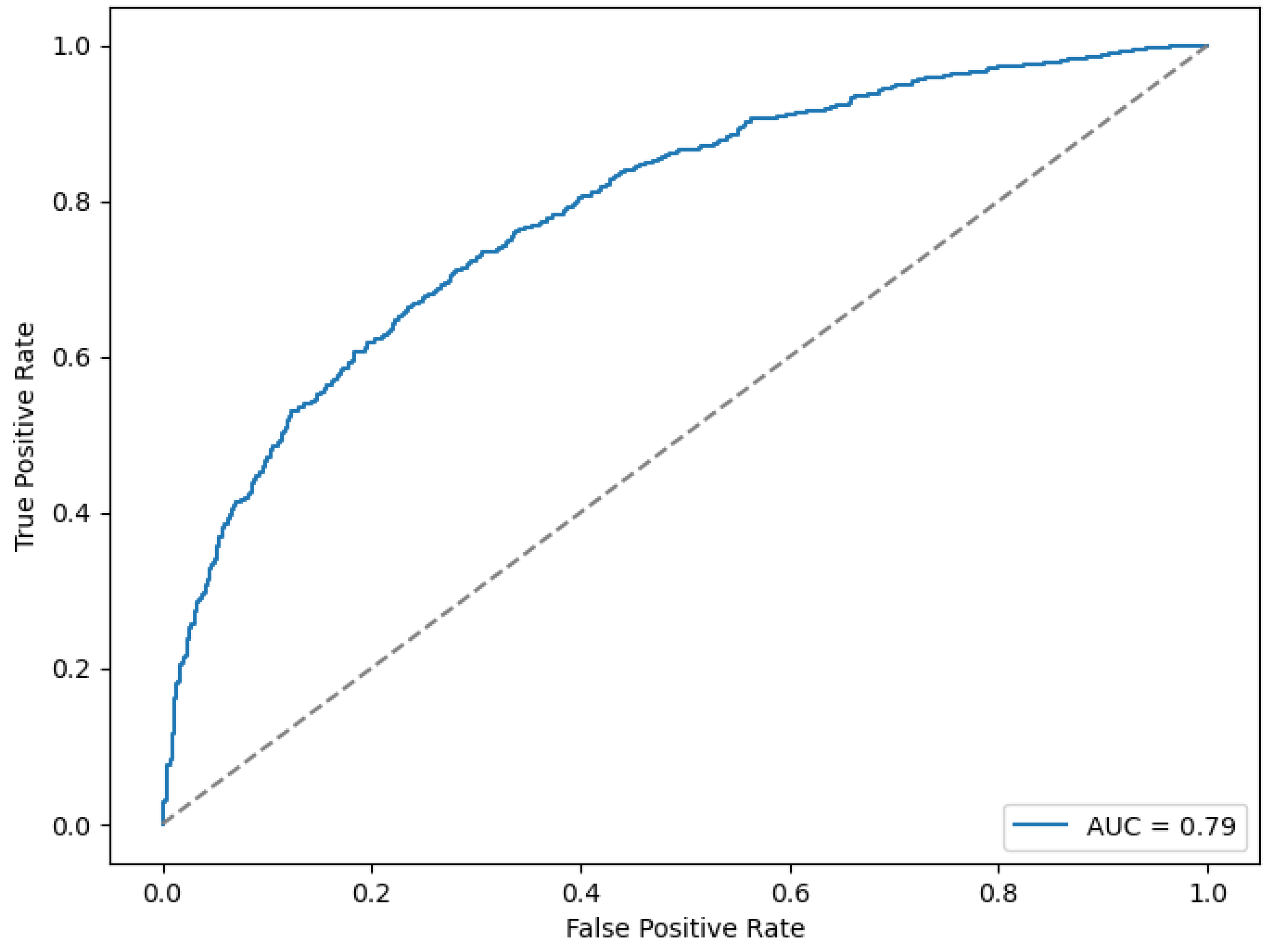
The GBC model is particularly effective due to its sequential approach, enhancing accuracy by addressing challenging cases in subsequent iterations. Specific tree configurations prioritized key features, such as job-relatedness and demographic variables, reflecting their significant impact on WIL participation outcomes. The GBC’s use of gradient descent to minimize errors further refines predictions at each stage, progressively improving performance by fine-tuning tree splits. This iterative approach mitigates overfitting through the use of shallow trees while maintaining flexibility. With a 90:10 train-to-test data split, the model achieved a predictive accuracy of 71%. The AUC-ROC score of 0.79 (Figure 6) demonstrates good model performance by balancing true positive and false positive rates across classification thresholds.
The interpretability of the GBC model is enhanced through SHAP analysis, which quantifies the contribution of each feature to the model’s predictions. SHAP provides insights into the underlying relationships captured by the GBC model, allowing us to identify the most significant variables influencing WIL participation. Figure 7 presents a SHAP dot plot summarizing the top 20 features influencing participation in WIL programs. The figure illustrates not only the relative importance of these features but also their directional effects on participation likelihood. Positive SHAP values (dots positioned rightward on the x-axis) indicate that a feature increases the probability of WIL participation, while negative SHAP values (dots positioned leftward) signify a reduction in participation likelihood.
As shown in Figure 7, the most influential feature, ‘Field of Study (encoded)’ (mean SHAP value = 0.60), underscores the significance of academic discipline in shaping WIL engagement. Similarly, ‘Relatedness of first job or business to 2015 program’ (mean SHAP value = 0.42) and ‘Full-time or part-time student (encoded)’ (mean SHAP value = 0.31) emerge as strong predictors, highlighting the alignment of WIL experiences with career pathways and academic status. These features resonate with earlier findings in Section 4.1, where WIL participants reported higher levels of job satisfaction, salary satisfaction, and job security compared to non-participants.
Financial metrics also play a critical role. For example, ‘Annual wage or salary for job held last week’ (mean SHAP value = 0.25) and ‘Total personal income in 2017’ (mean SHAP value = 0.13) suggest that economic outcomes post-graduation are linked to WIL participation. These findings align with earlier observations of financial risks in Section 4.2, indicating that while WIL participants incur higher initial debt, they often secure better-paying jobs shortly after graduation.
Demographic factors, such as ‘Self-identified as a member of a visible minority group’ (mean SHAP value = 0.15) and ‘Father’s education level’ (mean SHAP value = 0.09), highlight disparities in program access and impact, emphasizing the diverse effects of WIL programs across student populations. This observation aligns with the findings on equity and inclusion risks in Section 4.3, where Chi-square tests revealed significant barriers to WIL participation for students from minority groups and those with disabilities (Table 7).

5. Discussion

Our data-driven analysis aimed to validate hypotheses concerning potential psychological well-being risks, financial risks, and the university’s reputational risks, utilizing existing national student survey data.

5.1. Psychological Well-Being and WIL Identity

H1 examines the connection between academic program satisfaction, job satisfaction, and psychological well-being, with a particular focus on the transition from academia to the workplace among WIL participants. Findings indicate that students engaged in WIL programs report higher satisfaction with their field of study and early job experiences, which collectively contribute to enhanced psychological well-being during this critical transition. This relationship can be contextualized using Ryff and Keyes’ (1995) framework of psychological well-being, particularly the dimension of purpose in life. This framework defines purpose as having meaningful goals and a clear sense of direction. For WIL participants, practical experiences that integrate academic knowledge with future career opportunities strengthen this sense of purpose, enhancing their confidence and fulfillment.
The increased satisfaction levels observed among WIL participants during their transition to the workplace align with Dewey’s (1938) experiential learning theory, which emphasizes the transformative power of real-world experiences. WIL provides students with opportunities to directly apply their academic training in professional settings, validating their learning and reinforcing their sense of purpose. This validation fosters psychological well-being by creating a strong connection between academic studies and early career outcomes. This alignment also supports the development of a pre-professional identity (PPI), a concept central to Biesta’s (2009) framework on the purposes of education. Biesta identifies three domains of educational purpose: qualification, socialization, and subjectification. Qualification involves acquiring the skills and knowledge required for specific roles, while socialization refers to integration into societal norms and professional cultures. Subjectification, the most nuanced domain, emphasizes the development of students as autonomous individuals capable of engaging meaningfully and responsibly with the world.
Through WIL, students not only gain technical competencies (qualification) and integrate into professional cultures (socialization), but they also cultivate the capacity to reflect on their role within these structures, fostering individuality and agency (subjectification). These experiences promote the formation of a pre-professional identity rooted in purpose and direction, preparing students to contribute meaningfully to the workplace and society. This identity enhances their employability and enables them to effectively apply their knowledge and skills as they transition into the graduate labour market (Jackson, 2016, 2017). Ultimately, WIL facilitates a more meaningful and directed educational journey, contributing to higher satisfaction and improved psychological well-being.
While the findings suggest a positive association between WIL participation and academic satisfaction, they should be interpreted cautiously. The cross-sectional design does not allow for causal conclusions, and unmeasured factors, such as inherent student motivation or academic support systems, may influence these outcomes. Additionally, the absence of control variables, such as socio-economic background or academic performance, limits the ability to account for confounding variables. These constraints highlight the need for longitudinal studies and multivariate models to validate these associations and better understand the underlying mechanisms.

5.2. Financial Risks and Long-Term Outcomes

Financial risk is another significant concern addressed by H2, particularly regarding the short-term financial burden faced by WIL participants. The findings in Section 4.2 reveal that WIL participants experience greater financial stress in the short term, as evidenced by higher overall debt levels at graduation compared to non-WIL participants. Table 8 highlights disparities in major funding sources, revealing that WIL participants rely more on government student loans (43.18%) than non-participants (35.56%). Conversely, non-WIL participants benefit more from scholarships and research assistantships (30.35% combined versus 17.58% for WIL participants). This reliance on government loans underscores the financial trade-offs inherent in WIL participation.
As Grant-Smith and de Zwaan (2019) note, reliance on government loans reflects the financial trade-offs inherent in WIL participation, including the need to cover unpaid placements and relocation expenses. These trade-offs can result in opportunity costs, such as forgoing income-generating roles like research assistantships. This pattern is evident in our findings, which highlights lower scholarships and awards received by WIL students, as shown in Table 6. These financial pressures are further compounded by the limited eligibility and capped amounts of government loans, which often fail to address the full costs of WIL participation. The systemic inequities in funding structures disproportionately impact students from lower-income backgrounds, exacerbating financial challenges. This issue will be further explored in Section 5.3, which discusses inequitable access to WIL opportunities.
However, our findings suggest that these financial challenges do not persist in the long term. As presented in Table 6 in Section 4.2, three years post-graduation, WIL participants exhibit stronger financial resilience, as evidenced by higher initial salaries and reduced debt levels. The SHAP analysis (Figure 7) further highlights that factors such as the alignment between job-related experiences and academic goals play a pivotal role in fostering these long-term benefits. For example, WIL participants were more likely to secure employment within their field of study six months after graduation, contributing to financial stability and professional growth. This aligns with evidence from Grant-Smith and de Zwaan (2019) on the long-term career advantages of WIL participation and the financial resilience it builds for WIL students.
The integration of machine learning through SHAP analysis adds depth to these findings by uncovering nuanced relationships that traditional statistical methods may overlook. SHAP values reveal the extent to which job alignment and academic discipline contribute to post-graduation financial stability, offering insights into how WIL participants navigate their early careers. While WIL programs introduce short-term financial challenges, their long-term benefits, including improved employability and financial resilience, outweigh these difficulties. Addressing these funding disparities through targeted policy interventions could further enhance the accessibility and equity of WIL programs for all students.

5.3. Equitable Access to WIL

H3 focuses on the critical issue of equitable access to WIL for minority and disabled students, addressing the underrepresentation of these groups in WIL programs. The findings in this study, as outlined in Section 4.3 and further corroborated by SHAP analysis (Figure 7), highlight minority status and disability severity as significant predictors of WIL participation. These results align with broader literature on systemic barriers in higher education (Australian Collaborative Education Network, 2023; Jackson et al., 2023). The existing literature highlights barriers such as limited availability of accessible placements, unconscious bias within organizational practices, and structural inequities in recruitment processes, which disproportionately affect marginalized groups, exacerbating post-graduation employment disparities (Jackson et al., 2023; Peach et al., 2016).
Universities must acknowledge that diversity, equity, and inclusion (DEI) initiatives are not only essential to fostering equitable educational experiences but are also integral to their reputation and social responsibility frameworks. Public perceptions increasingly evaluate higher education institutions based on their demonstrated commitment to equity and inclusion (Baltaru, 2022; Campbell et al., 2019). Baltaru (2022) further emphasizes the role of agentic inclusion practices in maintaining institutional reputation, particularly in UK universities. Addressing these gaps requires a tripartite approach to WIL—collaboration among academic institutions, industry partners, and students—as advocated for by Zegwaard et al. (2023). Proactive measures, such as mentorship programs tailored for minority students and those with disabilities, can effectively close participation gaps. Additionally, partnerships with organizations that prioritize workplace diversity, along with curriculum adjustments fostering inclusive practices, are essential to creating equitable opportunities (Peach et al., 2016).
The significant disparities observed in certain fields, such as ‘Architecture, Engineering, and Related Technologies,’ further underscore how industry-specific practices may exacerbate inequities. In contrast, more balanced participation rates in fields like ‘Social and Behavioral Sciences and Law’ suggest that targeted interventions can mitigate these barriers. These findings highlight the need for discipline-specific strategies and governance frameworks to address equity challenges in WIL program. Poorly governed WIL systems, as highlighted by Dollinger et al. (2023) and Hewitt (2022), can exacerbate accessibility issues and create risks of exploitation. Students with disabilities may encounter inaccessible placements, while international students may face exploitation due to their reliance on employer sponsorships. Targeted policy interventions are crucial to addressing these systemic barriers and ensuring equitable access to WIL opportunities for all students.
Finally, the limitations of this study warrant cautious interpretation of the findings. While the dataset provides valuable insights, it does not capture systemic or contextual variables, such as institutional policies, that may influence WIL participation. Furthermore, the cross-sectional design limits causal inferences. Future research should employ longitudinal studies and integrate richer datasets to explore these dynamics more comprehensively. This will provide deeper insights into the effectiveness of DEI initiatives and support evidence-based interventions that promote equitable WIL participation.

6. Further Research and Limitations

The scope of this study is specifically focused on data-driven risk assessments, leveraging variables available within the 2018 National Graduates Survey dataset to examine psychological well-being during the academic-to-workplace transition, financial risks, and equity and inclusion risks. While this approach provides valuable insights into predefined factors influencing WIL participation, it inherently limits the exploration of interactions between these dimensions. For instance, financial risks may exacerbate psychological challenges, while minority groups facing equity and inclusion barriers may also experience heightened financial stress and lower psychological well-being due to socio-economic factors.
One methodological limitation is the selective application of PSM. While PSM effectively analysed financial outcomes due to the dataset’s comprehensive financial covariates, its application to psychological well-being and equity and inclusion risks was constrained. As detailed in Appendix A, critical covariates—such as personal motivation, mental health history, or systemic equity barriers—were absent, making it difficult to balance groups adequately. The prior literature has emphasized that psychological well-being is shaped by multifaceted factors, including intrinsic motivation and social support systems (Ryff & Keyes, 1995). Similarly, equity and inclusion outcomes are influenced by systemic barriers and unconscious biases, which require detailed, contextualized data to quantify accurately (Baltaru, 2022). However, these critical dimensions were not captured in our dataset, limiting our ability to analyse individual differences or systemic inequities comprehensively. For example, our data lacked measures for personal motivation, mental health support, or institutional practices, which are crucial for understanding disparities (Jackson et al., 2023). The absence of such variables in this study underscores the limitations of the dataset and the challenges inherent in analysing complex, multidimensional outcomes.
This study leverages cross-sectional data from the Canadian National University Survey, which captures a snapshot in time but may not fully depict the longitudinal dynamics of WIL outcomes. As a result, the study is limited in its ability to establishing causal relationships between WIL participation and key outcomes. Traditional statistical tests (e.g., t-tests, chi-square) and machine learning techniques (e.g., GBC and SHAP) to analyse WIL outcomes. While machine learning methods like the GBC and SHAP analysis revealed significant predictors of WIL participation, these findings must be interpreted as associative rather than causal. Future research should incorporate longitudinal designs to track individual trajectories over time, providing deeper insights into how WIL participation influences long-term outcomes such as financial resilience and psychological well-being. Addressing these limitations also requires integrating mixed-method approaches that complement quantitative analyses with qualitative insights, such as interviews or focus groups. These approaches could uncover relational and systemic factors influencing WIL outcomes, complementing the current reliance on data-driven approaches. By providing a more holistic understanding of how WIL impacts students, future studies can address existing gaps in the dataset and generate more actionable insights.
While this research provides insights specific to the Canadian context, WIL programs operate globally across diverse educational systems and cultural landscapes. Comparative studies involving different regions or educational systems could illuminate best practices and foster innovative approaches to WIL. By examining these variations, researchers could identify which program elements are most effective and which might be adapted or reformed to enhance the design and delivery of WIL programs worldwide. Future research should also focus on interdisciplinary collaborations that incorporate emerging methodologies, such as AI-driven analytics or real-time monitoring tools, to further refine WIL program evaluation. Addressing the methodological and contextual limitations identified in this study will allow for a more comprehensive understanding of WIL programs and their impacts. Such efforts will ultimately contribute to designing equitable, sustainable, and impactful WIL experiences for diverse student populations.

7. Conclusions

This study leveraged a big data approach to critically examine the multifaceted risks associated with WIL programs, focusing on psychological well-being during the academic-to-workplace transition, financial risks, and equity and inclusion challenges. By analysing data from the 2018 National Graduates Survey conducted in Canada, this research highlights how WIL participation, while offering substantial benefits such as enhanced job relevance and accelerated post-graduation employment opportunities, also introduces significant risks. These risks, including heightened financial burdens and disparities in access for marginalized groups, underscore the complexities of designing equitable and effective WIL programs.
The financial strain associated with WIL, evidenced by higher debt levels at graduation, highlights the need for targeted policy interventions to mitigate these burdens. This study also reveals the underrepresentation of minority students and students with disabilities in WIL programs, raising critical concerns about systemic inequities in access. Addressing these disparities requires a multi-stakeholder approach involving educational institutions, policymakers, industry partners, and community organizations. By fostering partnerships that prioritize DEI, stakeholders can work collaboratively to create accessible and inclusive WIL opportunities.
Future research should build on these findings by incorporating more diverse variables into predictive models, such as student motivations and qualitative feedback on WIL experiences. Additionally, longitudinal studies are essential to uncover the long-term effects of WIL participation on career progression, psychological well-being, and financial outcomes. Comparative studies across different educational systems and regions could further identify best practices for minimizing risks and maximizing the benefits of WIL programs globally.
In conclusion, while the advantages of WIL programs are evident, this study emphasizes the urgent need for continuous evaluation and refinement to address associated risks effectively. By adopting a data-driven, inclusive approach and engaging a broad range of stakeholders, educational institutions can design WIL programs that not only enhance career readiness but also promote equity and financial sustainability for all participants. This holistic approach ensures that WIL programs remain transformative and equitable, supporting the diverse needs of students in a rapidly evolving global workforce.

Funding

This research received no external funding.

Institutional Review Board Statement

Not applicable.

Informed Consent Statement

Not applicable.

Data Availability Statement

This study utilizes publicly available data from the National Graduates Survey-Public Use Microdata File, 2015 (time of graduation) and 2018 (time of interview), provided by Statistics Canada. The Public Use Microdata File (catalogue number 81M0011X2019001) contains anonymized data on postsecondary graduates in Canada, covering topics such as employment outcomes, program–employment alignment, job qualifications, sources of educational funding, and student debt. The data are publicly accessible and can be found at https://www150.statcan.gc.ca/n1/en/catalogue/81M0011X2019001.

Conflicts of Interest

The authors declare no conflicts of interest.

Appendix A

This section provides the details of 51 variables in the study.
Table A1. Variables in GBC and SHAP analysis.
Table A1. Variables in GBC and SHAP analysis.
CategoryVariables
Demographic InformationMale or female
Self-identified as a member of a visible minority group
Whether or not the respondent has a disability
Global disability severity class
Number of disabilities
Father’s education level
Mother’s education level
Academic InformationField of Study
Full-time or part-time student
Main factor in choice of program
Main factor in choice of postsecondary institution
Program included components taken outside of Canada
Overall grade average
Employment InformationRelatedness of first job or business to 2015 program
Annual wage or salary for job held last week
Unit group of occupation for job last week
Employee or self-employed last week
Labour force status last week
Job last week permanent or not permanent
Length of time until first job or business after 2015 program
Number of jobs or businesses since 2015 program
First job after graduation
Satisfaction MetricsSatisfied with overall job last week
Satisfied with job security of job last week
Satisfied with wage or salary of job last week
Would select same field of study or specialization
Main reason would not select the same field of study
Financial InformationTotal personal income in 2017
Debt size of all loans at time of interview
Debt size of all loans at time of graduation
Main source of funding postsecondary: Government student loans
Main source of funding postsecondary: Employment earnings or savings
Main source of funding postsecondary: Scholarships or prizes
Main source of funding postsecondary: RESP
Main source of funding postsecondary: Research or teaching assistant
Main source of funding postsecondary: Government grants or bursaries
Main source of funding postsecondary: Parents, family, friends
Main source of funding postsecondary: Bank or institution loans
Main source of funding postsecondary: Employer
Main source of funding postsecondary: Credit cards
Main source of funding postsecondary: Non-government grants or bursaries
Sources of funding postsecondary: Other
Entrepreneurial SkillsEntrepreneurial skills: Business plan or pitch competition
Entrepreneurial skills: Completed courses
Entrepreneurial skills: Worked on an entrepreneurship project
Entrepreneurial skills: Started a business
Entrepreneurial skills: Visited an entrepreneurship centre
Entrepreneurial skills: None of the above
Program Participation InformationWorked during 2015 program
Volunteer activities during 2015 program
Sources of funding used for all postsecondary education

References

  1. Australian Collaborative Education Network. (2023). Student participation in work integrated learning in higher education—A three-year review. Australian Collaborative Education Network. [Google Scholar]
  2. Baltaru, R. D. (2022). The rise of agentic inclusion in the UK universities: Maintaining reputation through (formal) diversification. Studies in Higher Education, 47(1), 229–242. [Google Scholar] [CrossRef]
  3. Biesta, G. (2009). Good education in an age of measurement: Ethics, politics, democracy. Routledge. [Google Scholar]
  4. Cameron, C. (2017). The strategic and legal risks of work-integrated learning: An enterprise risk management perspective. Asia-Pacific Journal of Cooperative Education, 18(3), 243–256. [Google Scholar]
  5. Cameron, C. (2018). The student as inadvertent employee in work-integrated learning: A risk assessment by university lawyers. International Journal of Work-Integrated Learning, 19(4), 337–348. [Google Scholar]
  6. Cameron, C., Ashwell, J., Connor, M., Duncan, M., Mackay, W., & Naqvi, J. (2020). Managing risks in work-integrated learning programmes: A cross-institutional collaboration. Higher Education, Skills and Work-Based Learning, 10(2), 325–338. [Google Scholar] [CrossRef]
  7. Cameron, C., Dodds, C., & Maclean, C. (2019). Ethical risks in work-integrated learning: A study of Canadian practitioners. International Journal of Work-Integrated Learning, 20(1), 83–95. [Google Scholar]
  8. Cameron, C., Fleming, J., Hay, K., & Hewitt, A. (2023). Risk management of work-integrated learning. In The routledge international handbook of work-integrated learning (pp. 413–427). Routledge. [Google Scholar] [CrossRef]
  9. Cameron, C., Freudenberg, B., Giddings, J., & Klopper, C. (2018). The program risks of work-integrated learning: A study of Australian university lawyers. Journal of Higher Education Policy and Management, 40(1), 67–80. [Google Scholar] [CrossRef]
  10. Cameron, C., & Hewitt, A. (2022). Designing financial support for students in australian work-integrated learning programs. International Journal of Work-Integrated Learning, 23(3), 359–373. [Google Scholar]
  11. Cameron, C., & Klopper, C. (2015). University lawyers: A study of legal risk, risk management and role in work integrated learning programmes. Journal of Higher Education Policy and Management, 37(3), 344–360. [Google Scholar] [CrossRef]
  12. Campbell, M., Russell, L., McAllister, L., Smith, L., Tunny, R., Thomson, K., & Barrett, M. (2019). A framework to support assurance of institution-wide quality in WIL. Australian Collaborative Education Network (ACEN). [Google Scholar]
  13. Dewey, J. (1938). Experience and education. Macmillan. [Google Scholar]
  14. Dollinger, M., Finneran, R., & Ajjawi, R. (2023). Exploring the experiences of students with disabilities in work-integrated learning. Journal of Higher Education Policy and Management, 45(1), 3–18. [Google Scholar] [CrossRef]
  15. Effeney, G. (2020). Risk in work integrated learning: A stakeholder centric model for higher education. Journal of Higher Education Policy and Management, 42(4), 388–403. [Google Scholar] [CrossRef]
  16. Fleming, J., & Hay, K. (2021). Understanding the risks in work-integrated learning. International Journal of Work-Integrated Learning, 22(2), 167–181. [Google Scholar]
  17. Friedman, J. H. (2001). Greedy function approximation: A gradient boosting machine. The Annals of Statistics, 29(5), 1189–1232. [Google Scholar] [CrossRef]
  18. Grant-Smith, D. (2023). The impact of financial stress and hardship on work-integrated learning wellbeing. Queensland University of Technology. [Google Scholar] [CrossRef]
  19. Grant-Smith, D., & de Zwaan, L. (2019). Don’t spend, eat less, save more: Responses to the financial stress experienced by nursing students during unpaid clinical placements. Nurse Education in Practice, 35, 1–6. [Google Scholar] [CrossRef]
  20. Grant-Smith, D., Gillett-Swan, J., & Chapman, R. (2017). WIL wellbeing: Exploring the impacts of unpaid practicum on student wellbeing. New Zealand Association for Cooperative Education. [Google Scholar]
  21. Hay, K., & Fleming, J. (2021). Keeping students safe: Understanding the risks for students undertaking work-integrated learning. International Journal of Work-Integrated Learning, 22(4), 539–552. [Google Scholar]
  22. Hewitt, A. (2022). Is Legislation Governing Tertiary Work Experience Effective? Exploring the Regulatory Role Played by Australian Universities. Federal Law Review, 50(1), 62–85. [Google Scholar] [CrossRef]
  23. Jackson, D. (2016). Re-conceptualising graduate employability: The importance of pre-professional identity. Higher Education Research and Development, 35(5), 925–939. [Google Scholar] [CrossRef]
  24. Jackson, D. (2017). Developing pre-professional identity in undergraduates through work-integrated learning. Higher Education, 74(5), 833–853. [Google Scholar] [CrossRef]
  25. Jackson, D. (2024). Work-integrated learning: Opportunities and challenges in Australia. In Higher education research and development. Routledge. [Google Scholar] [CrossRef]
  26. Jackson, D., & Dean, B. A. (2023). The contribution of different types of work-integrated learning to graduate employability. Higher Education Research and Development, 42(1), 93–110. [Google Scholar] [CrossRef]
  27. Jackson, D., Dean, B. A., & Eady, M. (2023). Equity and inclusion in work-integrated learning: Participation and outcomes for diverse student groups. Educational Review, 1–22. [Google Scholar] [CrossRef]
  28. Jackson, D., Lambert, C., Sibson, R., Bridgstock, R., & Tofa, M. (2024). Student employability-building activities: Participation and contribution to graduate outcomes. Higher Education Research and Development, 43(6), 1308–1324. [Google Scholar] [CrossRef]
  29. Jackson, D., & Rowe, A. (2023). Impact of work-integrated learning and co-curricular activities on graduate labour force outcomes. Studies in Higher Education, 48(3), 490–506. [Google Scholar] [CrossRef]
  30. Jackson, D., & Tomlinson, M. (2022). The relative importance of work experience, extra-curricular and university-based activities on student employability. Higher Education Research and Development, 41(4), 1119–1135. [Google Scholar] [CrossRef]
  31. Keyes, C. L. M. (2002). The mental health continuum: From languishing to flourishing in life. Journal of Health and Social Behavior, 43(2), 207. [Google Scholar] [CrossRef] [PubMed]
  32. Lundberg, S., & Lee, S.-I. (2017). A unified approach to interpreting model predictions. arXiv, arXiv:1705.07874. Available online: http://arxiv.org/abs/1705.07874 (accessed on 16 October 2024).
  33. Ng, P. M. L., Wut, T. M., & Chan, J. K. Y. (2022). Enhancing perceived employability through work-integrated learning. Education and Training, 64(4), 559–576. [Google Scholar] [CrossRef]
  34. Peach, D., Moore, K., Campbell, M., Winchester-Seeto, T., Ferns, S., Mackaway, J., & Groundwater, L. (2016). Building institutional capacity to enhance access participation and progression in WIL. Australian Government. [Google Scholar]
  35. Potts, D. (2022). Employability development and career outcomes from short-term learning abroad programmes. Higher Education Research and Development, 41(4), 1215–1230. [Google Scholar] [CrossRef]
  36. Rowe, A. D., & Zegwaard, K. E. (2017). Developing graduate employability skills and attributes: Curriculum enhancement through work-integrated learning. Asia-Pacific Journal of Cooperative Education, Special Issue, 18(2), 87–99. [Google Scholar]
  37. Ryff, C. D., & Keyes, C. L. M. (1995). The structure of psychological well-being revisited. Journal of Personality and Social Psychology, 69(4), 719–727. [Google Scholar] [CrossRef]
  38. Statistics Canada. (2020). National graduates survey—Public use microdata file, 2015 (time of graduation), 2018 (time of interview) (Issue V1). Abacus Data Network. Available online: https://hdl.handle.net/11272.1/AB2/G5MVZW (accessed on 16 October 2024).
  39. Taylor, S., & Govender, C. M. (2017). Increasing employability by implementing a work-integrated learning partnership model in South Africa—A student perspective. Africa Education Review, 14(1), 105–119. [Google Scholar] [CrossRef]
  40. Thompson, D., & Brewster, S. (2023). Inclusive placement learning for diverse higher education students: Anxiety, uncertainty and opportunity. Educational Review, 75(7), 1406–1424. [Google Scholar] [CrossRef]
  41. Turcotte, J. F., Nichols, L., & Philipps, L. (2016). Maximizing opportunity, mitigating risk: Aligning law, policy and practice to strengthen work-integrated learning in Ontario. Higher Education Quality Council of Ontario. [Google Scholar]
  42. Universities Australia. (2022). Universities australia work integrated learning in universities: Final report. Universities Australia. [Google Scholar]
  43. Winchester-Seeto, T. M., Ferns, S. J., Lucas, P., Piggott, L., & Rowe, A. (2024). Intensive work-integrated learning (WIL): The benefits and challenges of condensed and compressed WIL experiences. Journal of University Teaching and Learning Practice, 21(2), 6. [Google Scholar] [CrossRef]
  44. Zegwaard, K., Pretti, T., Rowe, A., & Ferns, S. (2023). Defining WIL. In K. Zegwaard, & T. Pretti (Eds.), The routledge international handbook of work-integrated learning (pp. 29–48). Routledge. [Google Scholar]
Figure 1. Research hypotheses.
Figure 1. Research hypotheses.
Education 15 00106 g001
Figure 2. Reasons for not selecting the same field of study by WIL participation.
Figure 2. Reasons for not selecting the same field of study by WIL participation.
Education 15 00106 g002
Figure 3. T-statistics by field of study with significance levels.
Figure 3. T-statistics by field of study with significance levels.
Education 15 00106 g003
Figure 4. Effect size (Cohen’s d) by field of study.
Figure 4. Effect size (Cohen’s d) by field of study.
Education 15 00106 g004
Figure 5. p-value by field of study.
Figure 5. p-value by field of study.
Education 15 00106 g005
Figure 6. ROC curve for GBC model.
Figure 6. ROC curve for GBC model.
Education 15 00106 g006
Figure 7. SHAP value feature importance.
Figure 7. SHAP value feature importance.
Education 15 00106 g007
Table 1. Participation in Work-Integrated Learning programs by field of study.
Table 1. Participation in Work-Integrated Learning programs by field of study.
WIL Program ParticipationYesNoTotal
Agriculture, natural resources and conservation79%21%3322
Education61%39%1598
Mathematics, computer and information sciences47%53%756
Other47%53%1094
Architecture, engineering, and related technologies45%55%2640
Social and behavioural sciences and law40%60%3035
Business, management and public administration38%62%4318
Visual and performing arts, and communications technologies36%64%723
Physical and life sciences and technologies21%79%1208
Humanities15%85%852
Total47%53%19,564
Table 2. Chi-square test between WIL and study satisfaction.
Table 2. Chi-square test between WIL and study satisfaction.
DescriptionValue
Chi-Square Statistic52.10
Degrees of Freedom1
p-value<0.0001
Sample SizeN = 19,496
Expected Frequencies
- No WIL, Would Select Same Field2863.76
- No WIL, Would Not Select Same Field7520.24
- Had WIL, Would Select Same Field2513.24
- Had WIL, Would Not Select Same Field6599.76
Table 3. T-test results for career satisfaction metrics.
Table 3. T-test results for career satisfaction metrics.
MetricMean (WIL)Mean
(No WIL)
T-Statp-Value
Satisfied with overall job last week4.1434.0437.17<0.0001
Satisfied with wage or salary of job3.6073.5632.5610.0104
Satisfied with job security 3.9993.9622.2950.0217
Table 4. T-test results for debt size metrics.
Table 4. T-test results for debt size metrics.
MetricMean (WIL)Mean
(No WIL)
T-Statp-Value
Debt size of all loans at graduationCAD 19,158.50 CAD 15,457.52 5.09<0.0001
Debt size of all government-sponsored loans at graduationCAD 17,418.30 CAD 13,488.56 4.05<0.0001
Debt size of all loans at interviewCAD 12,734.21 CAD 14,872.43 −1.540.124
Debt size of all government-sponsored loans at interviewCAD 9983.66 CAD 13,660.13 −1.480.138
Table 5. Financial support metrics.
Table 5. Financial support metrics.
MetricMean (WIL)Mean
(No WIL)
T-Statp-Value
Total amount from scholarships/awardsCAD 7483.66 CAD 10,825.16 −4.61<0.0001
Total amount from RESPsCAD 12,802.29 CAD 14,256.54 −2.890.0039
Table 6. Financial outcomes post matching.
Table 6. Financial outcomes post matching.
Outcome VariableMean (WIL)Mean
(No WIL)
T-Statsp-ValueCohen’s d
Debt size of all loans at graduationCAD 19,158.50 CAD 15,457.52 3.95<0.00010.32
Debt size of all government-sponsored loans at graduationCAD 17,418.30 CAD 13,488.56 4.26<0.00010.34
Debt size of all loans at interviewCAD 11,936.27 CAD 15,457.52 −3.540.0004−0.29
Debt size of government loans at interviewCAD 9983.66 CAD 13,660.13 −3.90.0001−0.32
Total amount from RESPsCAD 12,802.29 CAD 14,256.54 −2.080.038−0.17
Total amount from scholarships/awardsCAD 7483.66 CAD 10,825.16 −4.61<0.0001−0.37
Table 7. Chi-square test between WIL and minority and disability status.
Table 7. Chi-square test between WIL and minority and disability status.
DescriptionMinority StatusDisability Status
Chi-Square Statistic157.8113.88
Degrees of Freedom11
p-value<0.00010.0002
Expected Frequencies
- No WIL, Yes Group2705.402528.93
- No WIL, No Group7299.607877.07
- Had WIL, Yes Group2386.602219.07
- Had WIL, No Group6439.406911.93
Table 8. Major funding source for the study.
Table 8. Major funding source for the study.
Funding SourceWIL (%)Non-WIL (%)
Government student loans43.1835.56
Registered Education Savings Plan (RESP)13.5613.02
Government grants or bursaries10.468.63
Non-govt grants or bursaries2.503.09
Scholarships or prizes14.4820.99
Research or teaching assistant3.109.36
Parents, family, friends34.9333.99
Bank or institution loans17.4715.07
Credit cards3.013.09
Employer2.675.03
Disclaimer/Publisher’s Note: The statements, opinions and data contained in all publications are solely those of the individual author(s) and contributor(s) and not of MDPI and/or the editor(s). MDPI and/or the editor(s) disclaim responsibility for any injury to people or property resulting from any ideas, methods, instructions or products referred to in the content.

Share and Cite

MDPI and ACS Style

Xu, X. Risks in Work-Integrated Learning: A Data-Driven Analysis. Educ. Sci. 2025, 15, 106. https://doi.org/10.3390/educsci15010106

AMA Style

Xu X. Risks in Work-Integrated Learning: A Data-Driven Analysis. Education Sciences. 2025; 15(1):106. https://doi.org/10.3390/educsci15010106

Chicago/Turabian Style

Xu, Xiao. 2025. "Risks in Work-Integrated Learning: A Data-Driven Analysis" Education Sciences 15, no. 1: 106. https://doi.org/10.3390/educsci15010106

APA Style

Xu, X. (2025). Risks in Work-Integrated Learning: A Data-Driven Analysis. Education Sciences, 15(1), 106. https://doi.org/10.3390/educsci15010106

Note that from the first issue of 2016, this journal uses article numbers instead of page numbers. See further details here.

Article Metrics

Back to TopTop