Cognitive Profiles in Preschool Children at Risk for Co-Occurring Dyslexia and ADHD
Abstract
1. Introduction
1.1. Dyslexia
1.2. ADHD
1.3. Co-Occurring Dyslexia and ADHD
1.4. Current Study
2. Materials and Methods
2.1. Participants
2.1.1. Selection
2.1.2. Group Designation
2.1.3. Demographic Characteristics of Sample
2.2. Procedure
2.3. Materials
2.3.1. Preliteracy Measures
2.3.2. Executive Functioning
2.3.3. Vocabulary
2.3.4. Processing Speed
2.4. Statistical Analyses
3. Results
3.1. Validity of Group Designation
3.2. Component Structure of Executive Functioning Tasks
3.3. Group Differences
4. Discussion
Strengths, Limitations, and Implications
5. Conclusions
Supplementary Materials
Author Contributions
Funding
Institutional Review Board Statement
Informed Consent Statement
Data Availability Statement
Acknowledgments
Conflicts of Interest
References
- Sexton, C.C.; Gelhorn, H.L.; Bell, J.A.; Classi, P.M. The co-occurrence of reading disorder and ADHD: Epidemiology, treatment, psychosocial impact, and economic burden. J. Learn. Disabil. 2012, 45, 538–564. [Google Scholar] [CrossRef] [PubMed]
- Dupaul, G.J.; Gormley, M.J.; Laracy, S.D. Comorbidity of LD and ADHD: Implications of DSM-5 for assessment and treatment. J. Learn. Disabil. 2013, 46, 43–51. [Google Scholar] [CrossRef] [PubMed]
- Willcutt, E.G.; Pennington, B.F.; DeFries, J.C. Twin study of the etiology of comorbidity between reading disability and attention-deficit/hyperactivity disorder. Am. J. Med. Genet. 2000, 96, 293–301. [Google Scholar] [CrossRef] [PubMed]
- Thomas, R.; Sanders, S.; Doust, J.; Beller, E.; Glasziou, P. Prevalence of Attention-Deficit/Hyperactivity Disorder: A systematic review and meta-analysis. Pediatrics 2015, 135, e994–e1001. [Google Scholar] [CrossRef] [PubMed]
- Polanczyk, G.V.; Willcutt, E.G.; Salum, G.A.; Kieling, C.; Rohde, L.A. ADHD prevalence estimates across three decades: An updated systematic review and meta-regression analysis. Int. J. Epidemiol. 2014, 43, 434–442. [Google Scholar] [CrossRef] [PubMed]
- Yang, L.; Li, C.; Li, X.; Zhai, M.; An, Q.; Zhang, Y.; Zhao, J.; Weng, X. Prevalence of developmental dyslexia in primary school children: A systematic review and meta-analysis. Brain Sci. 2022, 12, 240. [Google Scholar] [CrossRef]
- American Psychiatric Association. Diagnostic and Statistical Manual of Mental Disorders, 5th ed.; American Psychiatric Association: Washington, DC, USA, 2013. [Google Scholar]
- Barry, T.D.; Lyman, R.D.; Klinger, L.G. Academic underachievement and Attention-Deficit/Hyperactivity Disorder: The negative impact of symptom severity on school performance. J. Sch. Psychol. 2002, 40, 259–283. [Google Scholar] [CrossRef]
- Willcutt, E.G.; Pennington, B.F. Comorbidity of reading disability and attention-deficit/hyperactivity disorder: Differences by gender and subtype. J. Learn. Disabil. 2000, 33, 179–191. [Google Scholar] [CrossRef] [PubMed]
- Carroll, J.M.; Maughan, B.; Goodman, R.; Meltzer, H. Literacy difficulties and psychiatric disorders: Evidence for comorbidity. J. Child Psychol. Psychiatry 2005, 46, 524–532. [Google Scholar] [CrossRef]
- Tirosh, E.; Berger, J.; Cohen-Ophir, M.; Davidovitch, M.; Cohen, A. Learning disabilities with and without attention-deficit hyperactivity disorder: Parents’ and teachers’ perspectives. J. Child Neurol. 1998, 13, 270–276. [Google Scholar] [CrossRef]
- Willcutt, E.G.; Pennington, B.F.; Boada, R.; Ogline, J.S.; Tunick, R.A.; Chhabildas, N.A.; Olson, R.K. A comparison of the cognitive deficits in reading disability and attention-deficit/hyperactivity disorder. J. Abnorm. Psychol. 2001, 110, 157–172. [Google Scholar] [CrossRef] [PubMed]
- Biederman, J.; Monuteaux, M.C.; Doyle, A.E.; Seidman, L.J.; Wilens, T.E.; Ferrero, F.; Morgan, C.L.; Faraone, S.V. Impact of executive function deficits and Attention-Deficit/Hyperactivity Disorder (ADHD) on academic outcomes in children. J. Consult. Clin. Psychol. 2004, 72, 757–766. [Google Scholar] [CrossRef] [PubMed]
- Lyon, G.R.; Shaywitz, S.E.; Shaywitz, B.A. Defining dyslexia, comorbidity, teacher’s knowledge of language and reading. A definition of dyslexia. Ann. Dyslexia 2003, 53, 1–14. [Google Scholar] [CrossRef]
- Vellutino, F.R.; Fletcher, J.M.; Snowling, M.J.; Scanlon, D.M. Specific reading disability (dyslexia): What have we learned in the past four decades? J. Child Psychol. Psychiatry 2004, 45, 2–40. [Google Scholar] [CrossRef] [PubMed]
- Lonergan, A.; Doyle, C.; Cassidy, C.; MacSweeney Mahon, S.; Roche, R.A.P.; Boran, L.; Bramham, J. A meta-analysis of executive functioning in dyslexia with consideration of the impact of comorbid ADHD. J. Cogn. Psychol. 2019, 31, 725–749. [Google Scholar] [CrossRef]
- Booth, J.N.; Boyle, J.M.E.; Kelly, S.W. Do tasks make a difference? Accounting for heterogeneity of performance of children with reading difficulties on tasks of executive function: Findings from a meta-analysis. Br. J. Dev. Psychol. 2010, 28, 133–176. [Google Scholar] [CrossRef] [PubMed]
- Swanson, H.L.; Zheng, X.; Jerman, O. Working memory, short-term memory, and reading disabilities: A selective meta-analysis of the literature. J. Learn. Disabil. 2009, 42, 260–287. [Google Scholar] [CrossRef] [PubMed]
- Lezak, M. Neuropsychological Assessment, 3rd ed.; Oxford University Press: New York, NY, USA, 1995. [Google Scholar]
- Diamond, A. Executive functions. Annu. Rev. Psychol. 2013, 64, 135–168. [Google Scholar] [CrossRef]
- Miyake, A.; Friedman, N.P.; Emerson, M.J.; Witzki, A.H.; Howerter, A.; Wager, T.D. The unity and diversity of executive functions and their contributions to complex “Frontal Lobe” tasks: A latent variable analysis. Cogn. Psychol. 2000, 41, 49–100. [Google Scholar] [CrossRef]
- Boets, B.; de Smedt, B.; Cleuren, L.; Vandewalle, E.; Wouters, J.; Ghesquière, P. Towards a further characterization of phonological and literacy problems in Dutch-speaking children with dyslexia. Br. J. Dev. Psychol. 2010, 28, 5–31. [Google Scholar] [CrossRef]
- De Jong, P.F.; Van der Leij, A. Developmental changes in the manifestation of a phonological deficit in dyslexic children learning to read a regular orthography. J. Educ. Psychol. 2003, 95, 22–40. [Google Scholar] [CrossRef]
- Puolakanaho, A.; Ahonen, T.; Aro, M.; Eklund, K.; Leppänen, P.H.T.; Poikkeus, A.M.; Tolvanen, A.; Torppa, M.; Lyytinen, H. Very early phonological and language skills: Estimating individual risk of reading disability. J. Child Psychol. Psychiatry 2007, 48, 923–931. [Google Scholar] [CrossRef] [PubMed]
- Lyytinen, H.; Erskine, J.; Hämäläinen, J.; Torppa, M.; Ronimus, M. Dyslexia—Early identification and prevention: Highlights from the Jyväskylä Longitudinal Study of Dyslexia. Curr. Dev. Disord. Rep. 2015, 2, 330–338. [Google Scholar] [CrossRef] [PubMed]
- Pennington, B.F.; Lefly, D.L. Early reading development in children at family risk for dyslexia. Child Dev. 2001, 72, 816–833. [Google Scholar] [CrossRef] [PubMed]
- Hulme, C.; Bowyer-Crane, C.; Carroll, J.M.; Duff, F.J.; Snowling, M.J. The causal role of phoneme awareness and letter-sound knowledge in learning to read: Combining intervention studies with mediation analyses. Psychol. Sci. 2012, 23, 572–577. [Google Scholar] [CrossRef] [PubMed]
- Barkley, R.A. Behavioral inhibition, sustained attention, and executive functions: Constructing a unifying theory of ADHD. Psychol. Bull. 1997, 121, 65–94. [Google Scholar] [CrossRef] [PubMed]
- Willcutt, E.G.; Pennington, B.F.; Olson, R.K.; Chhabildas, N.; Hulslander, J. Neuropsychological analyses of comorbidity between reading disability and attention deficit hyperactivity disorder: In search of the common deficit. Dev. Neuropsychol. 2005, 27, 35–78. [Google Scholar] [CrossRef] [PubMed]
- Baddeley, A.D. The episodic buffer: A new component of working memory? Trends Cogn. Sci. 2000, 4, 417–423. [Google Scholar] [CrossRef] [PubMed]
- Baddeley, A.D. Working memory: Looking back and looking forward. Nat. Rev. Neurosci. 2003, 4, 829. [Google Scholar] [CrossRef]
- Dovis, S.; Van der Oord, S.; Wiers, R.W.; Prins, P.J.M. What part of working memory is not working in ADHD? Short-term memory, the central executive and effects of reinforcement. J. Abnorm. Child Psychol. 2013, 41, 901–917. [Google Scholar] [CrossRef]
- Nyman, A.; Taskinen, T.; Grönroos, M.; Haataja, L.; Lähdetie, J.; Korhonen, T. Elements of working memory as predictors of goal-setting skills in children with attention-deficit/hyperactivity disorder. J. Learn. Disabil. 2010, 43, 553–562. [Google Scholar] [CrossRef] [PubMed]
- Martinussen, R.; Hayden, J.; Hogg-Johnson, S.; Tannock, R. A meta-analysis of working memory impairments in children with attention-deficit/hyperactivity disorder. J. Am. Acad. Child Adolesc. Psychiatry 2005, 44, 377–384. [Google Scholar] [CrossRef] [PubMed]
- Demurie, E.; Roeyers, H.; Baeyens, D.; Sonuga-Barke, E. Temporal discounting of monetary rewards in children and adolescents with ADHD and autism spectrum disorders. Dev. Sci. 2012, 15, 791–800. [Google Scholar] [CrossRef] [PubMed]
- Sagvolden, T.; Aase, H.; Zeiner, P.; Berger, D. Altered reinforcement mechanisms in attention-deficit/hyperactivity disorder. Behav. Brain Res. 1998, 94, 61–71. [Google Scholar] [CrossRef] [PubMed]
- Kalff, A.C.; Hendriksen, J.G.M.; Kroes, M.; Vles, J.S.H.; Steyaert, J.; Feron, F.J.M.; van Zeben, T.M.C.B.; Jolles, J. Neurocognitive performance of 5- and 6-year-old children who met criteria for attention deficit/hyperactivity disorder at 18 months follow-up: Results from a prospective population study. J. Abnorm. Child Psychol. 2002, 30, 589–598. [Google Scholar] [CrossRef]
- Sonuga-Barke, E.; Dalen, L.; Daley, D.; Remington, B. Are planning, working memory, and inhibition associated with individual differences in preschool ADHD symptoms? Dev. Neuropsychol. 2002, 21, 255–272. [Google Scholar] [CrossRef] [PubMed]
- Sonuga-Barke, E.; Dalen, L.; Remington, B. Do executive deficits and delay aversion make independent contributions to preschool attention-deficit/hyperactivity disorder symptoms? J. Am. Acad. Child Adolesc. Psychiatry 2003, 42, 1335–1342. [Google Scholar] [CrossRef] [PubMed]
- Dalen, L.; Sonuga-Barke, E.; Hall, M.; Remington, B. Inhibitory deficits, delay aversion and preschool AD/HD: Implications for the dual pathway model. Neural Plast. 2004, 11, 412083. [Google Scholar] [CrossRef]
- Ramus, F.; Rosen, S.; Dakin, S.; Day, B.L.; Castellote, J.M.; White, S.; Frith, U. Theories of developmental dyslexia: Insights from a multiple case study of dyslexic adults. Brain 2003, 126, 841–865. [Google Scholar] [CrossRef]
- Vandermosten, M. De neurobiologische basis van dyslexie. In Handboek Dyslexieonderzoek. Wetenschappelijke Inzichten in Diagnostiek, Oorzaken, Preventie en Behandeling van Dyslexie; Van den Broeck, W., Ed.; Acco: Leuven, Belgium, 2016; pp. 55–70. [Google Scholar]
- Sonuga-Barke, E. Psychological heterogeneity in AD/HD—A dual pathway model of behaviour and cognition. Behav. Brain Res. 2002, 130, 29–36. [Google Scholar] [CrossRef]
- Sonuga-Barke, E.; Bitsakou, P.; Thompson, M. Beyond the dual pathway model: Evidence for the dissociation of timing, inhibitory, and delay-related impairments in attention-deficit/hyperactivity disorder. J. Am. Acad. Child Adolesc. Psychiatry 2010, 49, 345–355. [Google Scholar] [CrossRef]
- Purvis, K.L.; Tannock, R. Phonological processing, not inhibitory control, differentiates ADHD and reading disability. J. Am. Acad. Child Adolesc. Psychiatry 2000, 39, 485–494. [Google Scholar] [CrossRef]
- Kibby, M.Y.; Cohen, M.J. Memory functioning in children with reading disabilities and/or attention deficit/hyperactivity disorder: A clinical investigation of their working memory and long-term memory functioning. Child Neuropsychol. 2008, 14, 525–546. [Google Scholar] [CrossRef] [PubMed]
- Rhee, S.H.; Hewitt, J.K.; Corley, R.P.; Willcutt, E.G.; Pennington, B.F. Testing hypotheses regarding the causes of comorbidity: Examining the underlying deficits of comorbid disorders. J. Abnorm. Psychol. 2005, 114, 346–362. [Google Scholar] [CrossRef]
- Bental, B.; Tirosh, E. The relationship between attention, executive functions and reading domain abilities in attention deficit hyperactivity disorder and reading disorder: A comparative study. J. Child Psychol. Psychiatry 2007, 48, 455–463. [Google Scholar] [CrossRef]
- Germano, E.; Gagliano, A.; Curatolo, P. Comorbidity of ADHD and dyslexia. Dev. Neuropsychol. 2010, 35, 475–493. [Google Scholar] [CrossRef] [PubMed]
- Rucklidge, J.; Tannock, R. Neuropsychological profiles of adolescents with ADHD: Effects of reading difficulties and gender. J. Child Psychol. Psychiatry 2002, 43, 988–1003. [Google Scholar] [CrossRef]
- Mayes, S.D.; Calhoun, S.L.; Crowell, E.W. Learning disabilities and ADHD: Overlapping spectrum disorders. J. Learn. Disabil. 2000, 33, 417–424. [Google Scholar] [CrossRef]
- de Jong, C.; Voorde, S.; Roeyers, H.; Raymaekers, R.; Oosterlaan, J.; Sergeant, J. How distinctive are ADHD and RD? Results of a double dissociation study. J. Abnorm. Child Psychol. 2009, 37, 1007–1017. [Google Scholar] [CrossRef] [PubMed]
- McGrath, L.M.; Pennington, B.F.; Shanahan, M.A.; Santerre-Lemmon, L.E.; Barnard, H.D.; Willcutt, E.G.; Defries, J.C.; Olson, R.K. A multiple deficit model of reading disability and attention-deficit/hyperactivity disorder: Searching for shared cognitive deficits. J. Child Psychol. Psychiatry 2011, 52, 547–557. [Google Scholar] [CrossRef]
- Shanahan, M.A.; Pennington, B.F.; Yerys, B.E.; Scott, A.; Boada, R.; Willcutt, E.G.; Olson, R.K.; DeFries, J.C. Processing speed deficits in attention deficit/hyperactivity disorder and reading disability. J. Abnorm. Child Psychol. 2006, 34, 585–602. [Google Scholar] [CrossRef] [PubMed]
- Laasonen, M.; Leppämäki, S.; Tani, P.; Hokkanen, L. Adult Dyslexia and Attention Deficit Disorder in Finland—Project DyAdd:WAIS-III Cognitive Profiles. J. Learn. Disabil. 2009, 42, 511–527. [Google Scholar] [CrossRef] [PubMed]
- Pennington, B.F. From single to multiple deficit models of developmental disorders. Cognition 2006, 101, 385–413. [Google Scholar] [CrossRef] [PubMed]
- Kibby, M.Y.; Newsham, G.; Imre, Z.; Schlak, J.E. Is executive dysfunction a potential contributor to the comorbidity between basic reading disability and attention-deficit/hyperactivity disorder? Child Neuropsychol. 2021, 27, 888–910. [Google Scholar] [CrossRef] [PubMed]
- Al Dahhan, N.Z.; Halverson, K.; Peek, C.P.; Wilmot, D.; D’Mello, A.; Romeo, R.R.; Meegoda, O.; Imhof, A.; Wade, K.; Sridhar, A.; et al. Dissociating executive function and ADHD influences on reading ability in children with dyslexia. Cortex 2022, 153, 126–142. [Google Scholar] [CrossRef] [PubMed]
- Verwimp, C.; Bempt, F.V.; Kellens, S.; Economou, M.; Vandermosten, M.; Wouters, J.; Ghesquière, P.; Vanderauwera, J. Pre-literacy heterogeneity in Dutch-speaking kindergartners: Latent profile analysis. Annals of Dyslexia 2020, 70, 275–294. [Google Scholar] [CrossRef] [PubMed]
- Smidts, D.P.; Oosterlaan, J. GvK. Gedragsvragenlijst voor Kleuters [Preschool Behavior Questionnaire]; Harcourt Assessment: Amsterdam, The Netherlands, 2014. [Google Scholar]
- Kadesjö, C.; Kadesjö, B.; Hägglöf, B.; Gillberg, C. ADHD in Swedish 3- to 7-year-old children. J. Am. Acad. Child Adolesc. Psychiatry 2001, 40, 1021–1028. [Google Scholar] [CrossRef]
- Smidts, D.P.; Oosterlaan, J. How common are symptoms of ADHD in typically developing preschoolers? A study on prevalence rates and prenatal/demographic risk factors. Cortex 2007, 43, 710–717. [Google Scholar] [CrossRef]
- Lahey, B.B.; Pelham, W.E.; Loney, J.; Lee, S.S.; Willcutt, E. Instability of the DSM-IV subtypes of ADHD from preschool through elementary school. Arch. Gen. Psychiatry 2005, 62, 896–902. [Google Scholar] [CrossRef]
- Willcutt, E.G.; Nigg, J.T.; Pennington, B.F.; Solanto, M.V.; Rohde, L.A.; Tannock, R.; Loo, S.K.; Carlson, C.L.; McBurnett, K.; Lahey, B.B. Validity of DSM-IV attention deficit/hyperactivity disorder symptom dimensions and subtypes. J. Abnorm. Psychol. 2012, 121, 991–1010. [Google Scholar] [CrossRef]
- Evers, A.; Lucassen, W.; Meijer, R.; Sijtsma, K. COTAN Beoordelingssysteem voor de Kwaliteit van Tests [The Revised Dutch Rating System for Test Quality]; Nederlands Instituut van Psychologen/Commissie Testaangelegenheden Nederland: Amsterdam, The Netherlands, 2009. [Google Scholar]
- Leblanc, N.; Boivin, M.; Dionne, G.; Brendgen, M.; Vitaro, F.; Tremblay, R.E.; Pérusse, D. The development of hyperactive–impulsive behaviors during the preschool years: The predictive validity of parental assessments. J. Abnorm. Child Psychol. 2008, 36, 977–987. [Google Scholar] [CrossRef] [PubMed]
- Lovett, M.W.; Steinbach, K.A.; Frijters, J.C. Remediating the core deficits of developmental reading disability: A double-deficit perspective. J. Learn. Disabil. 2000, 33, 334–358. [Google Scholar] [CrossRef] [PubMed]
- Norton, E.S.; Black, J.M.; Stanley, L.M.; Tanaka, H.; Gabrieli, J.D.E.; Sawyer, C.; Hoeft, F. Functional neuroanatomical evidence for the double-deficit hypothesis of developmental dyslexia. Neuropsychologia 2014, 61, 235–246. [Google Scholar] [CrossRef] [PubMed]
- Shaywitz, B.A.; Shaywitz, S.E.; Pugh, K.R.; Mencl, W.E.; Fulbright, R.K.; Skudlarski, P.; Constable, R.T.; Marchione, K.E.; Fletcher, J.M.; Lyon, G.R.; et al. Disruption of posterior brain systems for reading in children with developmental dyslexia. Biol. Psychiatry 2002, 52, 101–110. [Google Scholar] [CrossRef] [PubMed]
- Vanderauwera, J.; Wouters, J.; Vandermosten, M.; Ghesquière, P. Early dynamics of white matter deficits in children developing dyslexia. Dev. Cogn. Neurosci. 2017, 27, 69–77. [Google Scholar] [CrossRef] [PubMed]
- Raven, J.C.; van Bon, W. Raven Coloured Progressive Matrices: CPM; Swets en Zeitlinger: Lisse, The Netherlands, 1984. [Google Scholar]
- OECD; European Union; UNESCO Institute for Statistics. ISCED 2011 Operational Manual: Guidelines for Classifying National Education Programmes and Related Qualifications; OECD Publishing: Paris, France, 2015. [Google Scholar]
- Eurostat. International Standard Classification of Education (ISCED). Statistics Explained. Available online: https://ec.europa.eu/eurostat/statistics-explained/index.php?title=International_Standard_Classification_of_Education_(ISCED)#:~:text=ISCED%201%3A%20Primary%20education,Post%2Dsecondary%20non%2Dtertiary%20education (accessed on 12 February 2024).
- Henrich, J.; Heine, S.J.; Norenzayan, A. The weirdest people in the world? Behav. Brain Sci. 2010, 33, 61–83. [Google Scholar] [CrossRef] [PubMed]
- Cooper, H.; Nye, B.; Charlton, K.; Lindsay, J.; Greathouse, S. The effects of summer vacation on achievement test scores: A narrative and meta-analytic review. Rev. Educ. Res. 1996, 66, 227–268. [Google Scholar] [CrossRef]
- Boets, B.; Wouters, J.; van Wieringen, A.; Ghesquière, P. Auditory temporal information processing in preschool children at family risk for dyslexia: Relations with phonological abilities and developing literacy skills. Brain Lang. 2006, 97, 64–79. [Google Scholar] [CrossRef]
- van den Bos, K.P.; Zijlstra, B.J.H.; Spelberg, H.C. Life-span data on continuous-naming speeds of numbers, letters, colors, and pictured objects, and word-reading speed. Sci. Stud. Read. 2002, 6, 25–49. [Google Scholar] [CrossRef]
- Lehto, J.E.; Juujarvi, P.; Kooistra, L.; Pulkkinen, L. Dimensions of executive functioning: Evidence from children. Br. J. Dev. Psychol. 2003, 21, 59. [Google Scholar] [CrossRef]
- Vandenbroucke, L.; Verschueren, K.; Baeyens, D. The development of executive functioning across the transition to first grade and its predictive value for academic achievement. Learn. Instr. 2017, 49 (Suppl. C), 103–112. [Google Scholar] [CrossRef]
- Mullane, J.C.; Corkum, P.V.; Klein, R.M.; McLaughlin, E. Interference control in children with and without ADHD: A systematic review of flanker and simon task performance. Child Neuropsychol. 2009, 15, 321–342. [Google Scholar] [CrossRef] [PubMed]
- Casey, B.J.; Orendi, J.L.; Trainor, R.J.; Schubert, A.B.; Noll, D.C. A functional MRI study of sex differences in prefrontal activation during performance of a go-no-go task. NeuroImage 1996, 3, S174. [Google Scholar] [CrossRef]
- Durston, S.; Thomas, K.M.; Worden, M.S.; Yang, Y.; Casey, B.J. The effect of preceding context on inhibition: An event-related fMRI study. NeuroImage 2002, 16, 449–453. [Google Scholar] [CrossRef] [PubMed]
- Wiersema, R.; Van Der Meere, J.; Roeyers, H.; Van, C.R.; Baeyens, D. Event rate and event-related potentials in ADHD. J. Child Psychol. Psychiatry 2006, 47, 560–567. [Google Scholar] [CrossRef] [PubMed]
- Lewis, F.C.; Reeve, R.A.; Kelly, S.P.; Johnson, K.A. Sustained attention to a predictable, unengaging Go/No-Go task shows ongoing development between 6 and 11 years. Atten. Percept. Psychophys. 2017, 79, 1726–1741. [Google Scholar] [CrossRef] [PubMed]
- Castellanos, F.X.; Sonuga-Barke, E.J.S.; Scheres, A.; Di Martino, A.; Hyde, C.; Walters, J.R. Varieties of attention-deficit/hyperactivity disorder-related intra-individual variability. Biol. Psychiatry 2005, 57, 1416–1423. [Google Scholar] [CrossRef] [PubMed]
- Johnson, K.A.; Kelly, S.P.; Robertson, I.H.; Barry, E.; Mulligan, A.; Daly, M.; Lambert, D.; McDonnell, C.; Connor, T.J.; Hawi, Z.; et al. Absence of the 7-repeat variant of the DRD4 VNTR is associated with drifting sustained attention in children with ADHD but not in controls. Am. J. Med. Genet. Part B Neuropsychiatr. Genet. 2008, 147, 927–937. [Google Scholar] [CrossRef] [PubMed]
- Kofler, M.J.; Rapport, M.D.; Sarver, D.E.; Raiker, J.S.; Orban, S.A.; Friedman, L.M.; Kolomeyer, E.G. Reaction time variability in ADHD: A meta-analytic review of 319 studies. Clin. Psychol. Rev. 2013, 33, 795–811. [Google Scholar] [CrossRef]
- Pievsky, M.A.; McGrath, R.E. The neurocognitive profile of attention-deficit/hyperactivity disorder: A review of meta-analyses. Arch. Clin. Neuropsychol. 2018, 33, 143–157. [Google Scholar] [CrossRef]
- Alloway, T.P.; Pickering, S.J.; Gathercole, S.E. Verbal and visuospatial short-term and working memory in children: Are they separable? Child Dev. 2006, 77, 1698–1716. [Google Scholar] [CrossRef]
- De Smedt, B.; Janssen, R.; Bouwens, K.; Verschaffel, L.; Boets, B.; Ghesquière, P. Working memory and individual differences in mathematics achievement: A longitudinal study from first grade to second grade. J. Exp. Child Psychol. 2009, 103, 186–201. [Google Scholar] [CrossRef]
- Scheltinga, F. The Dutch nonword repetition test. University of Amsterdam: Amsterdam, The Netherlands, 2003; unpublished manuscript. [Google Scholar]
- Gray, S.; Green, S.; Alt, M.; Hogan, T.; Kuo, T.; Brinkley, S.; Cowan, N. The structure of working memory in young children and its relation to intelligence. J. Mem. Lang. 2017, 92, 183–201. [Google Scholar] [CrossRef]
- de Pontes Nobre, A.; de Carvalho Rodrigues, J.; Sbicigo, J.B.; de Rosa Piccolo, L.; Zortea, M.; Duarte Junior, S.; Fumagalli de Salles, J. Tasks for assessment of the episodic buffer: A systematic review. Psychol. Neurosci. 2013, 6, 331–343. [Google Scholar] [CrossRef][Green Version]
- Newcombe, F. Missile Wounds of the Brain; Oxford University Press: London, UK, 1969. [Google Scholar]
- Delis, D.C.; Kaplan, E.; Kramer, J.H. Delis-Kaplan Executive Function System (D-KEFS); The Psychological Corporation: San Antonio, TX, USA, 2001. [Google Scholar]
- Dunn, L.M.; Dunn, L.M. Peabody Picture Vocabulary Test (III-NL); Dutch Version; Schlichting, L., Ed.; Hartcourt Assessment: Amsterdam, The Netherlands, 2005. [Google Scholar]
- Leffard, S.A. Processing Speed Quotient (WPPSI-III). In Encyclopedia of Clinical Neuropsychology; Kreutzer, J.S., DeLuca, J., Caplan, B., Eds.; Springer: New York, NY, USA, 2011; pp. 2036–2038. [Google Scholar] [CrossRef]
- RStudio Team. RStudio: Integrated Development for R. Inc. 2019. Available online: http://www.rstudio.com (accessed on 12 February 2024).
- Garon, N.; Bryson, S.E.; Smith, I.M. Executive function in preschoolers: A review using an integrative framework. Psychol. Bull. 2008, 134, 31–60. [Google Scholar] [CrossRef] [PubMed]
- Dennis, M.; Francis, D.J.; Cirino, P.T.; Schachar, R.; Barnes, M.A.; Fletcher, J.M. Why IQ is not a covariate in cognitive studies of neurodevelopmental disorders. J. Int. Neuropsychol. Soc. 2009, 15, 331–343. [Google Scholar] [CrossRef]
- Miller, G.A.; Chapman, J.P. Misunderstanding analysis of covariance. J. Abnorm. Psychol. 2001, 110, 40–48. [Google Scholar] [CrossRef]
- Durston, S.; Tottenham, N.T.; Thomas, K.M.; Davidson, M.C.; Eigsti, I.-M.; Yang, Y.; Ulug, A.M.; Casey, B.J. Differential patterns of striatal activation in young children with and without ADHD. Biol. Psychiatry 2003, 53, 871–878. [Google Scholar] [CrossRef]
- Michel, E.; Bimmüller, A. The factorial structure of executive functions in kindergarten children: An explorative study. Child Neuropsychol. 2023, 29, 862–885. [Google Scholar] [CrossRef] [PubMed]
- Wagner, R.K.; Torgesen, J.K. The nature of phonological processing and its causal role in the acquisition of reading skills. Psychol. Bull. 1987, 101, 192. [Google Scholar] [CrossRef]
- Durston, S.; Thomas, K.M.; Yang, Y.; Uluğ Aziz, M.; Zimmerman, R.D.; Casey, B.J. A neural basis for the development of inhibitory control. Dev. Sci. 2002, 5, F9–F16. [Google Scholar] [CrossRef]
- Solanto, M.V.; Abikoff, H.; Sonuga-Barke, E.; Schachar, R.; Logan, G.D.; Wigal, T.; Hechtman, L.; Hinshaw, S.; Turkel, E. The ecological validity of delay aversion and response inhibition as measures of impulsivity in AD/HD: A supplement to the NIMH Multimodal Treatment Study of AD/HD. J. Abnorm. Child Psychol. 2001, 29, 215–228. [Google Scholar] [CrossRef] [PubMed]
- Willcutt, E.G.; Doyle, A.E.; Nigg, J.T.; Faraone, S.V.; Pennington, B.F. Validity of the executive function theory of attention-deficit/hyperactivity disorder: A meta-analytic review. Biol. Psychiatry 2005, 57, 1336–1346. [Google Scholar] [CrossRef]
- Sergeant, J.A.; Geurts, H.; Oosterlaan, J. How specific is a deficit of executive functioning for Attention-Deficit/Hyperactivity Disorder? Behav. Brain Res. 2002, 130, 3–28. [Google Scholar] [CrossRef]
- Hurks, P.P.M.; Hendriksen, J.G.M.; Vles, J.S.H.; Kalff, A.C.; Feron, F.J.M.; Kroes, M.; van Zeben, T.M.C.B.; Steyaert, J.; Jolles, J. Verbal fluency over time as a measure of automatic and controlled processing in children with ADHD. Brain Cogn. 2004, 55, 535–544. [Google Scholar] [CrossRef] [PubMed]
- Takács, Á.; Kóbor, A.; Tárnok, Z.; Csépe, V. Verbal fluency in children with ADHD: Strategy using and temporal properties. Child Neuropsychol. 2014, 20, 415–429. [Google Scholar] [CrossRef]
- Cuevas, K.; Hubble, M.; Bell, M.A. Early childhood predictors of post-kindergarten executive function: Behavior, parent report, and psychophysiology. Early Educ. Dev. 2012, 23, 59–73. [Google Scholar] [CrossRef]
- Welsh, J.A.; Nix, R.L.; Blair, C.; Bierman, K.L.; Nelson, K.E. The development of cognitive skills and gains in academic school readiness for children from low-income families. J. Educ. Psychol. 2010, 102, 43–53. [Google Scholar] [CrossRef]
- Morgan, P.L.; Li, H.; Farkas, G.; Cook, M.; Pun, W.H.; Hillemeier, M.M. Executive functioning deficits increase kindergarten children’s risk for reading and mathematics difficulties in first grade. Contemp. Educ. Psychol. 2017, 50, 23–32. [Google Scholar] [CrossRef]
- Blair, C.; Razza, R.P. Relating effortful control, executive function, and false belief understanding to emerging math and literacy ability in kindergarten. Child Dev. 2007, 78, 647–663. [Google Scholar] [CrossRef]
- Best, J.R.; Miller, P.H. A developmental perspective on executive function. Child Dev. 2010, 81, 1641–1660. [Google Scholar] [CrossRef]
- Spiegel, J.A.; Goodrich, J.M.; Morris, B.M.; Osborne, C.M.; Lonigan, C.J. Relations between executive functions and academic outcomes in elementary school children: A meta-analysis. Psychol. Bull. 2021, 147, 329–351. [Google Scholar] [CrossRef]
- Richardson, J.T.E. Eta squared and partial eta squared as measures of effect size in educational research. Educ. Res. Rev. 2011, 6, 135–147. [Google Scholar] [CrossRef]
- Melby-Lervåg, M.; Lyster, S.-A.H.; Hulme, C. Phonological skills and their role in learning to read: A meta-analytic review. Psychol. Bull. 2012, 138, 322–352. [Google Scholar] [CrossRef]


| Risk Group | |||
|---|---|---|---|
| Dyslexia Risk (n = 51) | Dyslexia + ADHD Risk (n = 50) | No Risk (n = 48) | |
| Age in months (SD) | 66.6 (3.0) | 66.3 (2.9) | 68.1 (3.0) |
| Biological sex (%) | |||
| Male | 27 (52.9%) | 26 (52.0%) | 24 (50.0%) |
| Nonverbal IQ (SD) | 95.9 (13.2) | 94.0 (13.1) | 102 (15.1) |
| SES (%) | |||
| Low | 1 (2.0%) | 1 (2.0%) | 0 (0%) |
| Middle | 12 (23.5%) | 13 (26.0%) | 6 (12.5%) |
| High | 35 (68.6%) | 34 (68.0%) | 42 (87.5%) |
| Unknown | 2 (3.9%) | 2 (4.0%) | - |
| Clinical ADHD symptom domains (%) | |||
| Attention | - | 12 (24.0%) | - |
| Hyperactivity | - | 10 (20.0%) | - |
| Impulsivity | - | 8 (16.0%) | - |
| Combined | - | 20 (40.0%) | - |
| Mean normed scores on PBQ (range) | |||
| Attention | 9.2 (3–14) | 13.9 (7–19) | 9.4 (5–14) |
| Hyperactivity | 9.6 (6–14) | 14.3 (6–19) | 9.7 (6–14) |
| Impulsivity | 9.3 (5–14) | 14.1 (6–19) | 9.4 (3–14) |
| Family risk dyslexia (%) | 9 (17.6%) | 5 (10.0%) | - |
| Family risk ADHD (%) | - | 4 (8.0%) | - |
| Risk Group | |||||
|---|---|---|---|---|---|
| DR | DAR | NR | F-Statistic | Post Hoc | |
| M (SD) | M (SD) | M (SD) | All p’s < 0.001 | All p’s < 0.001 | |
| Letter knowledge total score | 9.0 (6.1) | 7.1 (3.7) | 22.1 (8.0) | F(2, 146) = 86.07, ŋ2 = 0.54 | NR > DR = DAR |
| Active letter knowledge | 3.9 (3.2) | 2.9 (2.2) | 10.6 (4.2) | F(2, 146) = 79.87, ŋ2 = 0.52 | NR > DR = DAR |
| Passive letter knowledge | 5.1 (3.3) | 4.2(2.1) | 11.5 (4.0) | F(2, 146) = 74.37, ŋ2 = 0.50 | NR > DR = DAR |
| Phonological awareness total score | 6.8 (3.6) | 6.3 (2.8) | 13.0 (5.1) | F(2, 146) = 43.55, ŋ2 = 0.37 | NR > DR = DAR |
| Begin phoneme identification | 3.6 (2.4) | 3.2 (2.2) | 6.9 (2.8) | F(2, 146) = 32.41, ŋ2 = 0.31 | NR > DR = DAR |
| End phoneme identification | 3.3 (1.9) | 3.1 (1.7) | 6.1 (2.6) | F(2, 146) = 32.87, ŋ2 = 0.31 | NR > DR = DAR |
| RAN average score | 0.6 (0.1) | 0.6 (0.1) | 0.8 (0.2) | F(2, 146) = 49.89, ŋ2 = 0.41 | NR > DR = DAR |
| RAN colors score | 0.6 (0.1) | 0.6 (0.1) | 0.8 (0.2) | F(2, 146) = 41.41, ŋ2 = 0.36 | NR > DR = DAR |
| RAN objects score | 0.6 (0.1) | 0.6 (0.2) | 0.8 (0.1) | F(2, 146) = 40.62, ŋ2 = 0.36 | NR > DR = DAR |
| Loadings | ||
|---|---|---|
| Component 1: Verbal Short-Term Memory | Component 2: Executive Functioning | |
| Digit span forward | 0.857 | |
| Nonword repetition task | 0.891 | |
| Digit span backward | 0.523 | |
| Block recall forward | 0.823 | |
| Block recall backward | 0.797 | |
| Semantic fluency | 0.698 | |
| Reaction time variability (go/no-go) | −0.737 | |
| Risk Group | |||||
|---|---|---|---|---|---|
| DR | DAR | NR | Statistic | Post Hoc | |
| M (SD) | M (SD) | M (SD) | |||
| Verbal short-term memory component | −0.27 (0.76) | −0.40 (0.88) | 0.7 (0.99) | F(2, 146) = 22.92, p < 0.001, ŋ2 = 0.24 | NR > DR = DAR |
| Executive functioning component | −0.24 (0.85) | −0.55 (0.83) | 0.82 (0.77) | F(2, 146) = 37.43, p < 0.001, ŋ2 = 0.34 | NR > DR ≥ DAR |
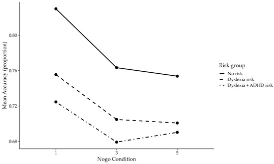
| No-go accuracy (go/no-go) | 0.72 (0.20) | 0.70 (0.17) | 0.78 (0.13) | F(2, 146) = 3.082, p = 0.048, ŋ2 = 0.04 | NR = DR DR = DAR NR > DAR |
| Number of delayed rewards (delay of gratification) | 2.59 (0.88) | 2.47 (0.92) | 2.56 (0.89) | χ2(2) = 0.896, p = 0.639 | |
| Shifting accuracy/difference | 0.30 (0.11) | 0.28 (0.11) | 0.40 (0.11) | F(2, 143) = 16.84, p < 0.001, ŋ2 = 0.19 | NR > DR = DAR |
| Flanker accuracy difference | 0.22 (0.18) | 0.17 (0.13) | 0.21 (0.13) | F(2, 142) = 1.581, p = 0.209, ŋ2 = 0.02 | |
| Processing speed index score | 99.53 (11.79) | 96.38 (13.65) | 107.88 (12.89) | F(2, 146) = 10.52, p < 0.001, ŋ2 = 0.13 | NR > DR = DAR |
| Receptive vocabulary | 103.63 (17.62) | 100.90 (16.74) | 111.52 (11.50) | F(2, 146) = 6.11, p < 0.01, ŋ2 = 0.08 | NR > DR = DAR |
Disclaimer/Publisher’s Note: The statements, opinions and data contained in all publications are solely those of the individual author(s) and contributor(s) and not of MDPI and/or the editor(s). MDPI and/or the editor(s) disclaim responsibility for any injury to people or property resulting from any ideas, methods, instructions or products referred to in the content. |
© 2024 by the authors. Licensee MDPI, Basel, Switzerland. This article is an open access article distributed under the terms and conditions of the Creative Commons Attribution (CC BY) license (https://creativecommons.org/licenses/by/4.0/).
Share and Cite
Kellens, S.; Baeyens, D.; Ghesquière, P. Cognitive Profiles in Preschool Children at Risk for Co-Occurring Dyslexia and ADHD. Educ. Sci. 2024, 14, 435. https://doi.org/10.3390/educsci14040435
Kellens S, Baeyens D, Ghesquière P. Cognitive Profiles in Preschool Children at Risk for Co-Occurring Dyslexia and ADHD. Education Sciences. 2024; 14(4):435. https://doi.org/10.3390/educsci14040435
Chicago/Turabian StyleKellens, Silke, Dieter Baeyens, and Pol Ghesquière. 2024. "Cognitive Profiles in Preschool Children at Risk for Co-Occurring Dyslexia and ADHD" Education Sciences 14, no. 4: 435. https://doi.org/10.3390/educsci14040435
APA StyleKellens, S., Baeyens, D., & Ghesquière, P. (2024). Cognitive Profiles in Preschool Children at Risk for Co-Occurring Dyslexia and ADHD. Education Sciences, 14(4), 435. https://doi.org/10.3390/educsci14040435

