Abstract
The continuous changes in our society require adapted training that encompasses both technical and competency knowledge. There is a high level of demand, especially in areas such as engineering, which can affect the mental health of students, producing high levels of stress and psychological distress, hindering self-efficacy and academic performance. Embodied learning working on self-awareness, stress reduction and self-knowledge can help to generate healthier environments. Creative therapies can be a tool to promote the prevention of health problems in this group of the population. In particular, Dance Movement Therapy has demonstrated its effectiveness in improving health in clinical and non-clinical settings. In this work, a body awareness program based on Dance Movement Therapy is developed and implemented in engineering students. Through a mixed pre-post methodology, its impact is evaluated and analyzed in an experimental group of engineering students. Psychometric tests, physiological variables and reflective diaries are used as data sources. The results show that the experimental group, compared with the control group, increased their levels of body awareness and connectedness, well-being and life satisfaction and reduced their stress levels. The results were supported by cortisol measures. Likewise, the students acknowledged having increased their levels of self-awareness and self-knowledge and considered the inclusion of these bodily approaches in higher education to be necessary.
1. Introduction
Our society is changing quickly, mainly due to the phenomenon known as the “Internet of Things”. According to some authors, the social changes are the highest in our history []. These changes will require new professional profiles, of which we are unaware. As reported in the Adecco 2020 report, 90% of the professions that will exist in 2025 are yet to be discovered, so people will have to adapt to professional changes throughout their lives [].
It is now accepted by all educational institutions that technical training must go hand in hand with training in competencies such as the so-called soft skills that can help future graduates to adapt to new needs. To this end, students should complete their preparation at a holistic level, promoting the processes of self-knowledge and personal development as a platform from which to develop other competences more effectively [,].
This work of personal self-knowledge becomes even more important for students in engineering, architecture, and technology, whose curricula are not traditionally focused on learning in humanistic or artistic areas. The need for continuous updates in technical and technological aspects may risk neglecting humanistic knowledge and critical thinking. However, humanistic training is essential in engineering projects where working with large teams requires deep self-awareness to understand, adapt, and communicate with others.
Taking this in consideration, the Science, Technology, Engineering, and Mathematics (STEM) approach is progressively transforming into STEAM, including art (A) as a way to increase innovation and creativity in problem solving and increase social skills and adaptability [,,,].
On the other side, when talking about educational areas, mental health and its implications at all levels cannot be left aside. There are numerous studies that address the increase in mental health problems of college students in the last few decades [,]. In particular, high percentages of stress, psychological distress, and depression due to both internal and contextual causes have been detected. The problems derived from stress and discomfort have an effect on academic performance, motivation, and interpersonal relationships [,]. In traditionally demanding fields such as engineering and medicine, the levels of stress and psychological distress associated with physical disorders are worryingly high [,].
By paying attention to health, the concept of healthy universities and health promotion in academic environments is gaining momentum. Therefore, in recent years, some universities, in an attempt to improve the health of the entire educational community, have provided training aimed at providing students with resources to regulate their stress and the emotional response to it [,]. Some have incorporated the mind–body connection given the growing evidence of its contribution to better health []. In the same direction, creative approaches, such as somatic approaches, which focus on the body and its non-verbal expressions, can contribute significantly to achieving this goal. Neurologists have emphasized the biunivocal relationship between the body and mind as well as the importance that correct motor development and body work have on the functioning of different brain areas [,,]. The relationship between body awareness (BA) and the level of subjective well-being and stress is well known [,,], as well as its corresponding correlation with physiological markers []. In addition, there are studies that show that the increase in body awareness through so-called active learning [,] improves teaching and learning processes in educational contexts [,].
Dance Movement Therapy (DMT) is part of the creative therapies, which have demonstrated evidence of their effectiveness on health outcomes [,,,,,]. Although in the beginning its application was mainly clinical, there are increasing contributions in the field of learning and health promotion in socio-educational contexts [,,]. The fundamental principles of DMT are embodiment, the creative process, and symbolic and metaphoric meaning of movement [,]. It is based on the relationship between the different body structures and biological processes, supporting that changes in the movement patterns also produce changes at the physiological and psychological levels [,].
The general objective of the research presented here was to develop and test an embodied learning program based on DMT that could be implemented into the engineering curriculum in higher education universities in the future. The specific objectives consisted of (1) developing and implementing the program with a sample of engineering students, (2) evaluating the impact of this program on some physical-psychological variables, such as the level of stress, satisfaction with life, and well-being according to the students’ perceptions, and (3) reflecting about the introduction of an embodied training in the university to increase students’ self-awareness and self-knowledge.
2. Materials and Methods
The presented research is based on a mixed approach that increases the complexity of the study but allows for integrating information from both quantitative and qualitative data. This allows a deep understanding of the meaning of the process and experience []. An experimental pre-post design with a control group was combined with an exploratory qualitative approach [].
2.1. Sample
The participants were 37 engineering students (between 18 and 21 years old) who voluntarily agreed to participate in the experience. The criteria of inclusion were students of engineering with less than 150 min of moderate exercise per week as measured by the Global Physical Activity Questionnaire (GPAQ) and Metabolic Equivalent Task (MET) tools. The exclusion criteria were students who did not verify the Physical Activity Readiness Questionnaire (PARQ+) to assure the participants could engage in physical activity with security. These criteria were aimed at creating a homogeneous group. The total number of students was randomly divided in two groups: experimental (n = 19) and control (n = 18). Recruitment was performed through communication from the academic heads and teachers at the Engineering School of the Universidad Europea of Madrid as well as through posters announcing the proposal. All participants signed a consent form agreeing to the anonymized use of self-reporting questionnaires and physiological measures in the current study. Written approval was provided to the authors by two ethical committees (an external regional one and the university’s, codes 07/419788.9/19 and 2019-UEM21, respectively).
2.2. Measures
2.2.1. Quantitative Measures
The quantitative measures were intended to collect information in four dimensions: (1) body awareness and body connection, (2) psychological measurements (satisfaction with life, stress, empathy, and well-being), (3) physiological (cortisol and heart rate variability), and (4) variables related to academic performance (attention and problem-solving capabilities). Six self-reporting questionnaires were used for the quantitative part of the study.
The Satisfaction with Life Scale (SWLS []) is a short 5-item instrument designed to measure global cognitive judgments of satisfaction with one’s life. The SWLS is a 7-point Likert-style response scale ranging from 1 (strongly disagree) to 7 (strongly agree). The possible range of scores is 5–35, with a score of 20 representing a neutral point on the scale. Scores between 5 and 9 indicate that the respondent is extremely dissatisfied with life, whereas scores between 31 and 35 indicate that the respondent is extremely satisfied. The coefficient alpha for the scale ranged from 0.79 to 0.89, indicating that the scale has high internal consistency. The scale was also found to have good test-retest correlations (0.80 over a month interval) [,].
The Perceived Stress Scale (PSS []) is the most widely used psychological instrument for measuring the perception of stress. It is a measure of the degree to which situations in one’s life are appraised as stressful. It is a brief scale consisting of only 14 items that has shown adequate reliability (internal consistency, Cronbach’s alpha = 0.81 and r = 0.73) and good convergent validity and sensitivity [].
The Cognitive and Affective Empathy Test (TECA []) is a 30-item questionnaire which was developed to measure perspective taking, emotional understanding, personal distress, and empathic joy. It has adequate internal consistency and appropriate convergent and discriminant validity.
The Who (Five) Well-Being Index (WHO-5 []) is a short self-reported measure of current mental well-being that consists of five statements, which respondents rate according to the scale below (in relation to the past 2 weeks). It is scored on a 5-point Likert scale ranging from 0 (at no time) to 5 (all the time). The WHO-5 has been found to have adequate validity in screening for depression and in measuring outcomes in clinical trials. The measure has good construct validity as a unidimensional scale measuring well-being in younger and elderly populations. The total raw score, ranging from 0 to 25, is multiplied by 4 to give the final score, with 0 representing the worst imaginable well-being and 100 representing the best imaginable well-being.
The Body Awareness Questionnaire (BAQ []) is an 18-item scale designed to assess self-reported attentiveness to normal, non-emotive body processes, specifically sensitivity to body cycles and rhythms, the ability to detect small changes in normal functioning, and the ability to anticipate bodily reactions. Multiple studies by various authors strongly support the reliability and validity of the test [,].
The Scale Body Connection (SBC []) is a 20-item self-reported measure designed to assess body awareness (SBCBA) and bodily dissociation (SBCBD) in mind–body intervention research. SBCBA is a multidimensional construct that includes the awareness of inner body sensations or interoceptive awareness []. Interoceptive awareness involves the sensory processes of receiving, accessing, and appraising internal bodily signals [,,]. In contrast, SBCBD is the sense of separation from the body, which may involve avoidance of physical and emotional sensations, and is the antithesis of awareness and presence in the body.
The heart rate variability (HRV []) measure determines the values of heart rate variability (R-R waves interval of the heartbeat). It was recorded using a Firstbeat Bodyguard 2 (BG2) heart rate monitor over a period of 24 h during daily routine activities, except time taking a shower or bath. The intervals between the individual R waves were calculated with a sampling frequency of 1000 Hz following the guidelines of the task forces []. The BG2 and disposable electrodes were set up on a subject’s body according to the user’s manual. When necessary, men were waxed in the area where the electrodes were set up. The skin was cleaned using alcohol before the placing of the electrodes. The disposable electrodes and cables were fastened with medical tape to decrease the level of possible motion artifacts. Data were analyzed using Kubios 3.5 premium version software (University of Kuopio, Finland), and artifact correction was carried out (settings: “custom” and “0.3”). Frequency analysis was conducted by using a Fast Fourier Transformation (FFT) on 1 block over the entire 24 h []. The frequency domain of heart rate variability (HRV) [] was determined by the following variables: the low-frequency (LF) component correlated with the activity of the sympathetic nervous system, high-frequency (HF) component with parasympathetic activity, and their ratio (LF/HF) for estimating the sympathetic-vagal equilibrium. More details about time domain parameters and nonlinear geometric measures can be consulted in File S1 in the Supplementary Materials.
The saliva cortisol level was determined in duplicate by an Elisa test (Demetec diagnostics GmbH, Kiel, Germany) using the EZread 400 microplate reader spectrophotometer (Biochrom Ltd., Cambridge, UK). On the first day of sampling, the participants were instructed on the correct way to take the sample at the same time of day (see details in the Supplementary Materials under File S2). When the participants arrived at the sessions at which saliva was sampled, they were provided with a 15-mL sterile tube and an indelible marker so that they could write their identification codes and the date on the outside of the tube. The participants deposited into the tube a saliva sample at least 1 mL in volume and delivered it to the person responsible for the research team. The samples of saliva remained frozen at −20 °C until the cortisol levels were determined in duplicate using an ELISA test (DeMeTec diagnostics, Kiel, Germany) on the EZread 400 microplate reader spectrophotometer (Biochrom Ltd., Cambridge, UK).
The D2 [] test measures selective attention and mind concentration, which is the capacity to selectively focus on certain aspects of a task while ignoring other irrelevant ones, as well as carrying the task out quickly and accurately. The validity has been documented by different studies, and the reliability has proven to be very high [].
The RP30 test measures problem-solving cognitive abilities. The items increase in difficulty as the respondent progresses through the test. High internal reliability and validity have been found [,].
2.2.2. Qualitative Measures
The participants in the experimental group completed a reflective diary after each practice session []. They had a personal and non-directed nature, in which they were invited to freely express aspects related to the thoughts, sensations, perceptions, and feelings they experienced during the sessions. A diary helped them to be aware of their learning process through the opportunity to express it, providing participants greater involvement in the program.
2.3. Procedure
All participants completed self-perception tests prior to the intervention. Some of the tests were completed online, while the TECA, R30, and D2 tests were completed in person in rooms set up for this purpose in the School of Engineering. The physiological measurements were taken in the Biomechanics Laboratory of the Faculty of Physical Activity and Sport Sciences:
- The experimental group, hereafter referred to as DMT, participated in a bodywork program through Dance Movement Therapy. They attended 10 sessions (2 each week). Each session lasted 90 min and was structured as follows;
- Check in: In this phase, cortisol was collected (in the already planned sessions) as well as the expectations and needs of the students as input to the work to be conducted during the session;
- Warm up: Based on the previous experiences of the research group, a structured warm up was designed following the characteristics Hatha Yoga;
- Development: Each session was prepared based on a specific theme aimed at increasing body awareness and connection, self-awareness, and self-knowledge, as well as increasing the well-being of the participants. Table 1 shows the themes in each session and some examples of the activities carried out;
- Closure: In this phase, time was devoted to personal writing in reflective diaries. There was also a group reflection where the experience in motion was expressed verbally, and the participants shared sensations, emotions, thoughts, and anything else that emerged during the work.

Table 1.
Themes and brief explanations of movement dynamics carried out during the development phase for each session.
2.4. Data Analysis
Following the confirmation of the parametric distribution of the quantitative variables, paired-sample t-tests were conducted to compare the differences pre- and post-intervention in each group. Cohen’s d effect sizes were calculated. Values of 0.2, 0.5, and 0.8 were interpreted as small, medium, and large effect sizes, respectively []. Given the small sample size, both statistically and clinically significant results were taken into account. An ANOVA model was also applied to study the group and time effect. Statistical Package for the Social Sciences (SPSS) version 21.0 for Windows was used for statistical analysis.
Inductive content analysis was employed to study the qualitative data. This approach is commonly used in research for retrieving meaning from verbal data in an objective and systematic manner []. The reflective diaries were transcribed and systematically read. They were organized by participant and the number of the session. Successive readings allowed extracting units of analysis that constituted independent elements of meaning about the phenomenon. After that, codes were extracted from the data. The codes were clustered into subcategories and later into domains. The diaries were reread until saturation to ensure that all aspects were covered in the categories. Research triangulation was applied, allowing a researcher outside the interventions to independently perform the qualitative analysis. Lastly, disagreements were discussed, and the items in question were jointly recoded. The analysis was performed using Nvivo 12 software.
3. Results and Discussion
3.1. Quantitative Results
Of the 39 students, 19 were randomly assigned to the DMT group and 20 to the control group. Two participants from the control group did not complete the follow-up questionnaires, so they were excluded from the sample. Finally, the DMT group consisted of 19 students aged between 18 and 26 years (M = 20.32; SD = 3.06), with 37% being male and 63% being female. The final control group consisted of 18 students aged between 18 and 26 years (M = 20.50; SD = 2.91), with 22% being male and 78% being female. Of the 37 students, 24% were freshmen, 46% studied the second course, and 30% studied superior courses.
3.1.1. Psychometric Measures
All the variables were normally distributed in both groups, so paired-sample t-tests were conducted to compare the pre- and post-intervention scores in each group. Descriptive statistics and t-test results are presented in Table 2. Previous t-tests also showed that the two groups were homogenous concerning the different variables before the intervention.

Table 2.
Results of paired-sample t-test pre- and post-intervention for all the variables in the DMT and control groups.
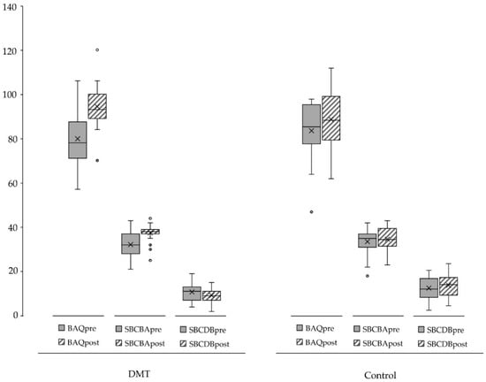
Regarding body awareness (BAQ), the values increased for both groups (Figure 1), but they were only significant for the DMT group (p < 0.05). The same situation occurred for the subscales of SBCD. The subscale SBCDA measured body awareness, which increased significantly after the intervention, resulting in coherence with the BAQ results. The subscale SBCDA measured an opposite construct (i.e., body disconnection). In this case, there was an increase for the control group and a decrease for the DMT group, which was also significant (see Figure 1). Our results are coherent with those from other authors [,]. As could be expected, an intervention focused on body awareness increased the values of this variable and diminished body disconnection.

Figure 1.
Results of BAQ and subscales SBCDA and SBCDB pre- and post-intervention for all the variables in the DMT and control groups.
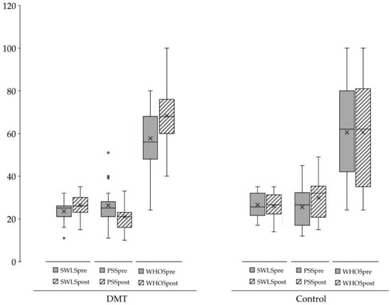
Prior to intervention, the results for life satisfaction (SWSL) showed average (23.42 ± 5.40) and high scores (26.50 ± 5.72) for the DMT and control group, respectively (Figure 2). According to Diener’s scores (2006), an average score (between 20 and 24) indicates that individuals are mostly satisfied with most areas of their lives but see the need for some improvement. A high score (between 25 and 29) means that the major domains of life are going well. After the intervention, the values for the DMT group increased (26.26 ± 4.86), changing from an average score to a high score, with this change being statistically significant (p value = 0.002). A medium effect size (0.553) was observed.

Figure 2.
Results of SWLS, PSS, and WHO-5 pre- and post-intervention for all the variables in the DMT and control groups.
The WHO-5 Well-Being Index indicated an acceptable overall perceived quality of life for both groups before the intervention, with values over the cut-off score of 50, which is used for the screening of depression []. The values for the control group remained unchanged over time, while there was a significant increase for the DMT group of more than 10 points on a scale of 100 (i.e., the value representing the maximum level of well-being according to the scale) (Figure 2). A high effect size (0.759) was also observed. These results confirm what other authors have found about the impact that dance and creative movement produce for the well-being of different populations [,].
Regarding the perceived stress measured by PSS, the results offered levels of moderate stress prior to intervention for both the DMT (26.21 ± 9.18) and control (25.39 ± 9.07) groups. After the intervention, stress levels diminished significantly to 21.00 ± 6.28 (p < 0.05) for the DMT group, while there was an increase for the control group (29.83 ± 9.34) and a high effect size (−0.666) (Figure 2). Although the authors of the scale [] did not consider the PSS as a diagnostic instrument, there were no cut-offs for its interpretation comparisons, with other studies showing a moderate level of stress for university students as happened in our sample []. The increase over time in the control group is noteworthy. These results are also coherent with studies that demonstrated that stress levels vary temporally, heightening as the exam period approaches [,]. Therefore, the intervention with DMT seemed to act as a health-protective factor, taking into account the proven relationship between stress and anxiety levels and psychosomatic ills, among others [,].
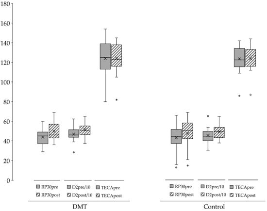
No significant changes were observed for empathy (TECA). A slight increase was observed after the intervention for the DMT group (Figure 3), but it was not statistically significant, and the effect size was also small.

Figure 3.
Results of RP30, D2, and TECA pre- and post-intervention for all the variables in the DMT and control groups.
When a mixed-effects ANOVA model was applied, the results for the time effect were consistent with previous results for the variables BAQ, SBCBA, SBCDB, WHO-5, RP30, and D2, as shown in Table 3. The time effect was not significant for SWLS, PSS, or TECA. A significant group–time interaction was found, with the DMT group showing lower stress values and higher well-being, satisfaction, and body awareness post-training.

Table 3.
Results of two-way repeated measures ANOVA.
In the last few decades, research based on evidence has proven the suitability of introducing art therapies for improving the well-being of different populations and contexts []. Art therapies share factors that contribute to health benefits, such as active participation, the use of imagery and visualization, self-awareness, and the development of embodiment. In particular, interventions with DMT with a non-clinic population has proven the impact on health variables such as satisfaction with life, levels of stress, and well-being [,,].
No significant changes appeared in the problem resolution or attention variables. This is relevant if we take into consideration that the training program was developed in parallel with the academic term, with the end of the term coinciding with the most demanding time due to exams and final deliveries. It seems that the program has a preventive effect on the increase of stress that occurs during demanding academic periods. However, the variables of attention and problem solving increased in both groups without showing differences in both groups, which could be explained only by the effect of the academic calendar []. A secondary but no less important explanation for this could be the fact that the training program was primarily designed for improving well-being and reducing stress. There were no specific dynamics developed for working attention or solving problems.
3.1.2. Cortisol
The cortisol levels determined for the students participating in the program were significantly lower than those of the control group (Table 4).

Table 4.
Comparison of cortisol means (Tukey test) between the DMT and control groups.
The program was developed throughout the first quarter of the academic year. Figure 4 shows the results of the cortisol measurements by sampling date and group. It shows that the highest level was found for the students belonging to the control group when they were sampled at the end of the term. It was significantly higher than any sampling of the experimental group throughout the program and not significantly different from the value for the control group before starting. Within the experimental group, 16 participants maintained stable cortisol levels throughout the program, 2 reduced theirs, and 1 increased theirs. Bearing in mind that the stress level has been shown to increase throughout the term and the course [], these results suggest that the program had a positive impact on the students’ stress management, keeping their cortisol levels stable even as the term progressed. The effect of body–mind interventions as creative movement and dance in stress reduction has also been confirmed by other studies [,,].

Figure 4.
Estimated marginal cortisol means (ng/mL) by sampling dates for every group (control versus ex-perimental) (DMT). Difference letters between columns means significant differences at 95% level of confidence.
3.1.3. Hear Rate Variability
The normality of the sample was calculated using the Shapiro–Wilk statistic. All the variables presented a non-normal distribution. A Wilcoxon signed-rank test (z-value) was performed. The correlation coefficient (r) was used to calculate the effect size. The significance level was set at p < 0.05. Of all the variables calculated, only the ratio between LF and HF showed significant differences, with an increase in the pre-post value. All the results are shown in File S1 in the Supplementary Materials.
High levels of heart rate variability (HRV) are associated with good health and low mortality, morbidity [], and stress [] as well as emotional management []. It is generally accepted that a drop in the LF/HF index reflects parasympathetic dominance, while a rise in this index indicates sympathetic dominance []. However, with respect to the LF/HF index, some authors have questioned this, arguing that on the one hand, LF is not a pure indicator of SNS, and the interaction between PNS and SNS is complex, nonlinear, and frequently non-reciprocal [].
Several studies have tried to relate mind–body exercise interventions and heart rate variability, trying to demonstrate that this type of exercise could help to improve the regulation of the autonomic nervous system and finally improve health. In this sense, the results are diverse. There are studies [,,] where the indicators of good regulation were greater with this type of intervention while, as in our study, no significant differences were found in others [,].
In the meta-analysis conducted in [], yoga and Tai chi interventions were examined, and they found that 7 of the 12 participants analyzed showed significant reductions in the LF/HF ratio, while only 4 showed increases in HF and 5 showed reductions in LF. With respect to the LF/HF ratio, we found a significantly increased value with a small effect size. These results could indicate worse regulation, but this small effect size limits this conclusion. Furthermore, considering that the LF/HF value is not a clearly accurate measure of cardiac sympatho-vagal balance [] and the contradictory results of some studies related to this variable, this leads to us not having a clear interpretation of our results. Overall, it seems that the results of the studies are still inconsistent, and it is necessary to know in depth the mechanisms of regulation of the cardiovascular and autonomic nervous system in this type of intervention.
3.2. Qualitative Results
The qualitative analysis resulted in 19 subcategories later grouped into 6 domains, which are presented in Table 5.

Table 5.
Domains and categories extracted from the qualitative analysis.
3.2.1. Embodiment
The embodiment domain collected all the evidence provided by participants directly related to the body as a living and enactive organism, which feels, learns, and grows in relation with the environment []. There were three categories under this domain. First, body awareness is the conscious of the own body, including movement, its different qualities, and the connection with affective states. “The difference I noticed between the two (working with flow polarities) was mainly in mood. In the free flow I felt indeed free and happy; in contrast, in the restricted one, I felt trapped, rigid and upset” (P9, 19 November 2019). Another participant said “When we combined the different qualities of weight, time and space on the partner’s back, my sensations were very different: relaxed, calm and as if I was being caressed when it was indirect space, light weight and sustained time. It was very pleasant. On the other hand, when we practiced the other end, I wanted the exercise to end; everything seemed aggressive and not pleasant at all. The feeling was of discussion without listening to each other“ (P3, 18 November 2019). Secondly, for experiencing the body, it was said that “I feel very grateful to be able to move every part of my body. I have learned to appreciate this today” (P3, 15 November 2019) and “Paying attention to my body distresses me a bit as I don’t like to stand still without doing something, I’m trying to relax more in that part” [P2, 22 November 2019]. The experience of the body allows to the participants to increase their body–mind connection. The participants recognized that the movement experience promoted stronger body–mind unity, which means a wholeness of being []: “I’m more of a heavyweight than a lightweight. I prefer to exert pressure rather than let myself go. I guess it’s linked to the fact that I have a hard time trusting“ (P6, 19 November 2019); “I had the sensation of how my mind is connected with my posture” (P12, 11 December 2019). The connection also facilitates a relaxation of disturbing thoughts: “I am very relaxed right now, while we were doing the relaxation, some problems came to my mind, but in a much simpler way to solve, it is the first time that happens to me” (P28, 5 November 2019). Through the experience of movement, the awareness of the body as a unit can be increased. This is consistent with the increase in body awareness recorded in the BAQ and SBCDA variables that increased after the intervention with DMT. Likewise, a decrease was observed in the SBDB scale of body dissociation at the end of the program, which was related to a greater integration at the body level. This mind–body integration characterizes and explains the effectiveness of interventions such as the one performed in the health field [,,].
3.2.2. Well-Being and Pleasure
The results are consistent with the growing and numerous evidence in the literature on the relationship between art, body awareness, and health [,,]. Under this domain, three types of evidence were found: release and relaxation, self-care, and playfulness and vitality. The participants recognized that the sessions contributed to feeling release and relaxation. “I loved all the sessions, if it were up to me I would do them all the time. I come out relaxed, happy, stress free and a little sleepy” (P2, 2 December 2019). At the same time, they were aware of the importance of self-caring and the benefits of the proposal for the students: “I think if everyone could take out at least one hour a week and do these types of activities, the level of stress and stiffness in movement would change in school students. I think everyone should try activities like this” (P3, 2 December 2019]. In fact, they suggested including it as a regular activity: “I will miss this. I think that apart from the research project, these workshops should be added as an extracurricular activity, it would be very beneficial for many” (P23, 2 December 2019]. Numerous participant observations of feelings of relaxation were consistent with decreased self-perceived stress (PSS) in the DMT group, which has been also confirmed by other studies [,,,]. In addition, with the cortisol results, there were also multiple examples of evidence about the joy and playfulness felt during the activity and connection with sensations of well-being and health contribution: “After the first exercises, we had a lot of fun and laughed together. I enjoyed every activity without feeling uncomfortable” (P3, 28 October 2019). There were also positive emotions connected with this playfulness: “I feel happy and relaxed” (P2, 25 November 2019). This is coherent with the significant increase observed at the end of the intervention in the life satisfaction and well-being variables. The moments of connection through play were experienced as a way to improve the relationships and trust in the group: “I laughed a lot and it helped me to get to know myself and my partner a little better” (P04, 29 November 2019). Play is one factor of effectiveness in art therapies []. It increases well-being sensations and vitality []. At the same time, play contributes to establishing new types of relationships and confidence in the group [], allowing the person to be open to explore new ways to inhabit the world.
3.2.3. Symbolic and Metaphor
Two categories emerged under this domain: remembering and meaning-making. The experience in movement can bring some memories from early infancy to the present moment [,]: “I don’t know if it’s important or not, but I remembered my grandmother and it made me relax me even more” (P4, 28 October 2019). Other participants connected the experience with pleasurable moments: “This has taken me back to vacation, rested and disconnected lying on some rocks while the waves were breaking” (P01, 28 October 2019). The participants found meaning to the experience in movement, and the meanings became known with verbal expression: “I found it very curious how with some flexion we anchor ourselves much better to the ground than if we are rigid. I see it as a metaphor for how things work out better if I am flexible than if I keep my rigidity” (P6, 19 November 2019); “Something as simple as walking we can get so much information about ourselves. I have been able to see my way of being through the movement of another person” (P04, 29 November 2019); “The game of escape-room made me see that I can’t make all alone no matter how many original ideas I have; the union is the strength, both to give and to receive” (P28, 14 November 2019). Others could extract meanings applied to different situations: “I really liked the kinesphere and cube activity. I feel that it is applicable to many situations; right now I can apply it to my in-laws’ problems that should not affect me. I will try to leave them out of my personal cube or protect myself if I feel they are hurting me” (P35, 4 November 2019). Meaning-making is one of the groups of factors present in creative therapies that promotes health in people [].
Symbolizing and movement metaphors are two of the distinctive characteristics that all the creative therapies share and are key points in Dance Movement Therapy. There is a continuous movement from nonverbal symbols to verbal ones, which can help people to approach some issues that might be really difficult to manage only through the verbal path [,]. The movement metaphors could help people to understand their behaviors, feelings, and thoughts through a direct and transforming experience [].
3.2.4. Emotional Elicitation and Processing
Students related the emotions felt and expressed through the analyzed movement patterns. For instance, when working with the polarities in the quality of flow, a student said “The difference I noticed between the two was mainly in mood. In the free flow I felt indeed free and happy; in contrast, in the restricted one, I felt trapped, rigid and upset” (P6, 25 November 2019). They also considered that the sessions gave them the possibility to change and transform their emotions: “The truth is that today I was more tired than other times, a little angry and annoyed by everything. The sessions calm me down and I leave happier and calmer than how I came in” (P24, 22 November 2019). Other authors have emphasized the function of art as self-expression [,]. Thus, all creative therapies are characterized by promoting the authentic and distinct expression of each individual. Emotional expression is necessary to become aware of the mechanisms that generate emotions and their relationship with behaviors and actions []. Expression thus becomes a channel that makes it possible to work toward healthy emotional regulation for the individual [,].
3.2.5. Connection with the Self
This domain contains the practice of focusing on oneself: “I’ve also noticed that it’s becoming less and less difficult for me to stay focused on my breathing when we do the relaxation” (P3, 5 November 2019). As the process progresses, there is an increase in self-awareness of one’s own strengths and limitations: “I’m very relaxed right now; I’ve realized that I have a hard time trusting others to hold me; I’m used to giving affection, but I don’t know how to receive it, and that’s been quite a shock to me” (P28, 7 November 2019). In parallel, there is an increase in self-knowledge that in turn generates a greater sense of self-efficacy, of being able to improve, of observing a change, and positive evolution. Some evidence of these two last categories include the following: “I am a very impatient and nervous person in my day to day life. I feel that with these activities I begin to control a little more the waiting for situations” (P4, 4 November 2019); “I believe that I know myself better inside, that I have learned to relax and to be aware of myself. I have also learned to gain confidence with a group of mostly unknown people, and in a very short period of time” (P1, 2 December 2019); “With the passing of the sessions I have a less rigid posture and I am able to feel more confident in the group. Little by little I see an evolution” (P3, 15 November 2019). For Koch [], this increase in self-efficacy was related to a function of authenticity and a feeling of body–mind unity and wholeness. As with other creative approaches, the use of creative movement, imagery, visualization, and the embodied experience allows participants to connect with the self [].
3.2.6. Developing Skills
Within this domain, three categories appear to be related to skills that could help the daily activities and relationships. Learning new ways to live in the body relates to self-knowledge in terms of recognizing body awareness as a way for learning through one’s own body [,,]: “I’ve never done this before so it’s a good experience to listen to my body” (P2, 28 December 2019). This could contribute to creating better and more quality dialoguing (interacting with others): “I notice that “group” feeling of getting to know each other a little better and gaining confidence by leaps and bounds” (P1, 8 November 2019). Another participant mentioned the following: “From the beginning of the session until the end, we had to be aware of what the other person was asking for, what we were asking for, and that there was a balance between the two. It has been wonderful to be able to share with this group, and a pity that the sessions are ending” (P9, 2 December 2019). In an academic context, the development of new competencies is important for lifelong learning. It is observed in this domain that the program generates significant learning, as has been observed in other experiences of nonverbal language-based training in education [,].
Mirroring activities [] help to see and be seen in an open way moving forward with the ability to empathize with others: “I can now understand many behaviors of people I know outside of here, including how I am and act myself in many circumstances” (P4, 11 November 2019). Although the TECA test did not bring about significant changes in the empathy variable, the participants profusely mentioned the perception of having increased their ability to put themselves in the other person’s place.
4. Conclusions
This study provides relevant information on the suitability of incorporating body awareness programs in an engineering school setting. An intervention with Dance Movement Therapy was implemented with the aim of promoting and improving the health of students, and this appears to have been achieved. The results obtained from psychometric tests and the participants’ reflections showed improvements in the level of stress, well-being, and life satisfaction, along with an increase in the levels of self-awareness and self-knowledge. In our opinion, the initial warm up was approached as a ritual, with a rhythmic sequence of movement repeated in all sessions helping participants to increase their confidence in their own bodies and in the work, as well as their self-efficacy. As Koch [] highlighted, rituals and rhythm give structure to the experience and reduce the anxiety until the unknown arrives. Feelings and sensations of relaxation and trust help the participants to be open to explore new patterns of movements and motor actions. They also could play and enjoy moving and dancing, increasing self-awareness and self-knowledge. They mentioned frequently the connection to the group and the benefits perceived for themselves and the others. In fact, they suggest incorporating a proposal such as the one carried out permanently within the engineering school, with the conviction that the students’ states of mind and physical condition would improve. Some limitations should be taken into consideration. The sample size was limited, and some of the tests used, such as the RP30 and D2, did not seem to be adequate for an approach that incorporates creativity and movement from one’s own pattern as a tool for self-awareness. Even though, at the beginning of each session, a ritual was incorporated that generated improvement in self-efficacy and self-confidence in themselves and in the group, no changes were seen in the attention and problem-solving capacities. On the other hand, the students knew that the research team would read the reflective diaries. Thus, presumptions both conscious and unconscious as well as the desire to please others may have influenced their writing.
We underline the importance of designing the work sessions carefully, adapting them to the reality of the participants (e.g., schedules and spaces) and to the objectives set. The number of sessions carried out (10), according to our experience from previous work, is the minimum necessary to detect significant changes. Especially when the participants have no previous experience with body work, it is very important to respect the time of each one and the group itself. Establishing trust in the work is a prerequisite for people to accept their vulnerability and be open to explore movement without prejudices or preconceived ideas. The participants also must recognize the importance of listening to others and building trust as important elements.
In summation, and as the participants themselves pointed out, it would be interesting for academic authorities to provide spaces for listening and paying attention to one’s own body, especially in particularly demanding academic environments such as engineering studies. Dedicating time and resources to interventions such as the one carried out can help our young people to increase their level of awareness and health as well as generate healthier educational environments.
Supplementary Materials
The following supporting information can be downloaded at https://www.mdpi.com/article/10.3390/educsci12020111/s1. File S1: Heart Rate Variability; File S2: Cortisol: requirements for saliva collection
Author Contributions
Conceptualization, R.-M.R.-J.; methodology, R.-M.R.-J. and M.C.; formal analysis, R.-M.R.-J.; investigation, R.-M.R.-J., S.G.-M. and M.C.; resources, R.-M.R.-J., P.J.L.B. and M.C.; data curation, R.-M.R.-J., S.G.-M., G.D.-U. and M.C.; writing—original draft preparation, R.-M.R.-J., S.G.-M. and M.C.; writing—review and editing, R.-M.R.-J. and M.C.; supervision, R.-M.R.-J.; project administration, R.-M.R.-J.; funding acquisition, R.-M.R.-J. and M.C. All authors have read and agreed to the published version of the manuscript.
Funding
This research was funded by Universidad Europea de Madrid, grant number 2019UEM21.
Institutional Review Board Statement
The study was conducted in accordance with the Declaration of Helsinki, and approved by the Ethics Committee of AUTONOMOUS REGION OF MADRID (protocol code 07/419788.9/19, 14 March 2019) and the Institutional Review Board of the UNIVERSIDAD EUROPEA DE MADRID (protocol code 2019-UEM21, 12 February 2019).
Informed Consent Statement
Informed consent was obtained from all subjects involved in the study. Written informed consent has been obtained from all the subjects involved in the study to publish this paper.
Acknowledgments
The authors thank to Elias Collado, María-José Terrón-López, Clara Sánchez del Valle, Ada-Inés Simonnet and Paloma-Julia Velasco-Quintana for their suggestions and support during the entire project. They also thank the participation and confidence of all the students that participated in the study. Carmona thanks the Spanish Ministry of Science, Innovation and Universities for the Ramón y Cajal Fellowships [RyC-2014-16307].
Conflicts of Interest
The authors declare no conflict of interest.
References
- Holler, J.; Tsiatsis, V.; Mulligan, C.; Karnouskos, S.; Avesand, S.; Boyle, D. Internet of Things; Academic Press: Cambridge, MA, USA, 2014. [Google Scholar]
- The Adecco Group. Adecco Annual Report; The Adecco Group: Zurich, Switzerland, 2020. [Google Scholar]
- Arms, V.M. Personal and Professional Enrichment: Humanities in the Engineering Curriculum. J. Eng. Educ. 1993, 82, 141–146. [Google Scholar] [CrossRef]
- Passow, H.J.; Passow, C.H. What Competencies Should Undergraduate Engineering Programs Emphasize? A Systematic Review. J. Eng. Educ. 2017, 106, 475–526. [Google Scholar] [CrossRef]
- Bush, S.B.; Cook, K.L. Constructing Authentic and Meaningful STEAM Experiences Through University, School, and Community Partnerships. J. STEM Teach. Educ. 2016, 51, 7. [Google Scholar] [CrossRef]
- Fulton, L.A.; Simpson-Steele, J. Reconciling the Divide: Common Processes in Science and Arts Education. STEAM J. 2016, 2, 3. [Google Scholar] [CrossRef]
- Gross, K.; Gross, S. Transformation: Constructivism, Design Thinking, and Elementary STEAM. Art Educ. 2016, 69, 36–43. [Google Scholar] [CrossRef]
- Erwin, H.E. Full STEAM Ahead in Physical Education. J. Phys. Educ. Recreat. Dance 2017, 88, 3–4. [Google Scholar] [CrossRef]
- Milojevich, H.M.; Lukowski, A.F. Sleep and Mental Health in Undergraduate Students with Generally Healthy Sleep Habits. PLoS ONE 2016, 11, e0156372. [Google Scholar] [CrossRef]
- Saleh, D.; Camart, N.; Romo, L. Predictors of stress in college students. Front. Psychol. 2017, 8, 19. [Google Scholar] [CrossRef]
- Akgun, S.; Ciarrochi, J. Learned Resourcefulness Moderates the Relationship between Academic Stress and Academic Performance. Educ. Psychol. 2003, 23, 287–294. [Google Scholar] [CrossRef]
- Struthers, C.W.; Perry, R.P.; Menec, V.H. An Examination of the Relationship Among Academic Stress, Coping, Motivation, and Performance in College. Res. High. Educ. 2000, 41, 581–592. [Google Scholar] [CrossRef]
- Balaji, N.K.; Murthy, P.S.; Kumar, D.N.; Chaudhury, S. Perceived stress, anxiety, and coping states in medical and engineering students during examinations. Ind. Psychiatry J. 2019, 28, 86. [Google Scholar] [CrossRef] [PubMed]
- Hensel, R.; Dygert, J.; Morris, M. Work in Progress: Understanding Student Perceptions of Stress as part of Engineering Culture. In Proceedings of the American Society of Engineering Education Conference Proceedings, Pittsburgh, PA, USA, 24–27 January 2018. [Google Scholar] [CrossRef]
- Bettis, A.H.; Coiro, M.J.; England, J.; Murphy, L.K.; Zelkowitz, R.L.; Dejardins, L.; Eskridge, R.; Adery, L.H.; Yarboi, J.; Pardo, D.; et al. Comparison of two approaches to prevention of mental health problems in college students: Enhancing coping and executive function skills. J. Am. Coll. Health 2017, 65, 313–322. [Google Scholar] [CrossRef] [PubMed]
- Crum, A.J.; Jamieson, J.P.; Akinola, M. Optimizing stress: An integrated intervention for regulating stress responses. Emotion 2020, 20, 120–125. [Google Scholar] [CrossRef]
- Huberty, J.; Green, J.; Glissmann, C.; Larkey, L.; Puzia, M.; Lee, C. Efficacy of the Mindfulness Meditation Mobile App “Calm” to Reduce Stress Among College Students: Randomized Controlled Trial. JMIR mHealth uHealth 2019, 7, e14273. [Google Scholar] [CrossRef] [PubMed]
- Damasio, A. The Feeling of What Happens: Body and Emotion in the Making of Consciousness; Harcourt Inc.: London, UK, 1999. [Google Scholar]
- Rizzolatti, G.; Sinigaglia, C. Mirrors in the Brain: How Our Minds Share Actions, Emotions, and Experience; Oxford University Press: London, UK, 2008. [Google Scholar]
- Ramachandran, V. The Emergind Mind; Profile Books: London, UK, 2003. [Google Scholar]
- Mehling, W.E.; Wrubel, J.; Daubenmier, J.J.; Price, C.J.; Kerr, C.E.; Silow, T.; Gopisetty, V.; Stewart, A.L. Body Awareness: A phenomenological inquiry into the common ground of mind-body therapies. Philos. Ethics, Humanit. Med. 2011, 6, 1–12. [Google Scholar] [CrossRef] [PubMed]
- Tihanyi, B.T.; Bör, P.; Emanuelsen, L.; Köteles, F. Mediators between yoga practiceand psychological Well-Being mindfulness, body awareness and satisfaction with body image. Eur. J. Ment. Health 2016, 11, 112–127. [Google Scholar] [CrossRef]
- Gyllensten, A.L.; Skr, L.; Miller, M.; Gard, G. Embodied identity—A deeper understanding of body awareness. Physiother. Theory Pract. 2010, 26, 439–446. [Google Scholar] [CrossRef] [PubMed]
- Khalsa, M.K.; Greiner-Ferris, J.M.; Hofmann, S.G.; Khalsa, S.B.S. Yoga-Enhanced Cognitive Behavioural Therapy (Y-CBT) for Anxiety Management: A Pilot Study. Clin. Psychol. Psychother. 2015, 22, 364–371. [Google Scholar] [CrossRef]
- Varela, F.J.; Thompson, E.; Rosch, E.; Kabat-Zinn, J. The Embodied Mind: Cognitive Science and Human Experience; The MIT Press: Cambridge, MA, USA, 2016; ISBN 9780262335492. [Google Scholar]
- Fernros, L.; Furhoff, A.K.; Wändell, P.E. Improving quality of life using compound mind-body therapies: Evaluation of a course intervention with body movement and breath therapy, guided imagery, chakra experiencing and mindfulness meditation. Qual. Life Res. 2008, 17, 367–376. [Google Scholar] [CrossRef]
- Shapiro, S.L.; Brown, K.W.; Astin, J. Toward the integration of meditation into higher education: A review of research evidence. Teach. Coll. Rec. 2011, 113, 493–528. [Google Scholar] [CrossRef]
- Koch, S.; Kunz, T.; Lykou, S.; Cruz, R. Effects of dance movement therapy and dance on health-related psychological outcomes: A meta-analysis. Arts Psychother. 2014, 41, 46–64. [Google Scholar] [CrossRef]
- Koch, S.C. Arts and health: Active factors and a theory framework of embodied aesthetics. Arts Psychother. 2017, 54, 85–91. [Google Scholar] [CrossRef]
- Koch, S.C.; Riege, R.F.F.; Tisborn, K.; Biondo, J.; Martin, L.; Beelmann, A. Effects of Dance Movement Therapy and Dance on Health-Related Psychological Outcomes. A Meta-Analysis Update. Front. Psychol. 2019, 10, 1806. [Google Scholar] [CrossRef] [PubMed]
- Meekums, B.; Karkou, V.; Nelson, E.A. Dance movement therapy for depression. Cochrane Database Syst. Rev. 2015, 2, CD00989. [Google Scholar] [CrossRef] [PubMed]
- Lyons, S.; Karkou, V.; Roe, B.; Meekums, B.; Richards, M. What research evidence is there that dance movement therapy improves the health and wellbeing of older adults with dementia? A systematic review and descriptive narrative summary. Arts Psychother. 2018, 60, 32–40. [Google Scholar] [CrossRef]
- Karkou, V.; Aithal, S.; Zubala, A.; Meekums, B. Effectiveness of dance movement therapy in the treatment of adults with depression: A systematic review with meta-analyses. Front. Psychol. 2019, 10, 936. [Google Scholar] [CrossRef]
- Millrod, E.; Goodill, S.; Giguere, M.; Kaimal, G.; Wilkins, E.; Chang, M. Movement Based Experiential Learning and Competency Development in Dance/Movement Therapy Graduate Education: Early Practitioner Perspectives. Am. J. Danc. Ther. 2021, 1–35. [Google Scholar] [CrossRef]
- Sheppard, A.; Broughton, M.C. Promoting wellbeing and health through active participation in music and dance: A systematic review. Int. J. Qual. Stud. Health Well-Being 2020, 15, 1732526. [Google Scholar] [CrossRef]
- Payne, H. The body speaks its mind: The BodyMind Approach® for patients with medically unexplained symptoms in primary care in England. Arts Psychother. 2015, 42, 19–27. [Google Scholar] [CrossRef][Green Version]
- Payne, H. Dance Movement Therapy: Theory and Practice; Routledge: London, UK, 2003; ISBN 9781134934263. [Google Scholar]
- Koch, S.C.; Fuchs, T. Embodied arts therapies. Arts Psychother. 2011, 38, 276–280. [Google Scholar] [CrossRef]
- Jeong, Y.J.; Hong, S.C.; Myeong, S.L.; Park, M.C.; Kim, Y.K.; Suh, C.M. Dance Movement Therapy improves emotional responses and modulates neurohormones in adolescents with mild depression. Int. J. Neurosci. 2009, 115, 1711–1720. [Google Scholar] [CrossRef] [PubMed]
- Curry, L.; Nuñez-Smith, M. Mixed Methods in Health Sciences Research: A Practical Primer; SAGE Publications: Thousand Oaks, CA, USA, 2015. [Google Scholar]
- Rodríguez-Jiménez, R.M.; Carmona, M. Mixed methods for evaluating embodied processes in higher education. In The Art and Science of Embodied Research Design: Concepts, Methods and Cases; Tantia, J., Ed.; Routledge Press: New York, NY, USA, 2020; pp. 229–241. [Google Scholar]
- Diener, E.D.; Emmons, R.A.; Sem, R.J.L.; Griffin, S. The Satisfaction With Life Scale. J. Pers. Assess. 1985, 49, 1. [Google Scholar] [CrossRef] [PubMed]
- Pavot, W.; Diener, E.; Colvin, C.R.; Sandvik, E. Further Validation of the Satisfaction With Life Scale: Evidence for the Cross-Method Convergence of Well-Being Measures. J. Pers. Assess. 2010, 57, 149–161. [Google Scholar] [CrossRef]
- Pavot, W.; Diener, E. The Satisfaction With Life Scale and the emerging construct of life satisfaction. J. Posit. Psychol. 2008, 3, 137–152. [Google Scholar] [CrossRef]
- Cohen, S.; Kamarck, T.; Mermelstein, R. A Global Measure of Perceived Stress. J. Health Soc. Behav. 1983, 24, 385–396. [Google Scholar] [CrossRef] [PubMed]
- Remor, E. Psychometric Properties of a European Spanish Version of the Perceived Stress Scale (PSS). J. Psychol. 2006, 9, 86–93. [Google Scholar] [CrossRef] [PubMed]
- López-Pérez, B.; Ambrona, T.; Márquez-González, M. Adaptación y validación de un instrumento para la evaluación de la empatía en niños y adolescentes: TECA-NA. Behav. Psychol. Psicol. Conduct. 2014, 22, 5–18. [Google Scholar]
- Topp, C.W.; Østergaard, S.D.; Søndergaard, S.; Bech, P. The WHO-5 Well-Being Index: A Systematic Review of the Literature. Psychother. Psychosom. 2015, 84, 167–176. [Google Scholar] [CrossRef]
- Shields, S.A.; Mallory, M.E.; Simon, A. The Body Awareness Questionnaire: Reliability and Validity. J. Pers. Assess. 1989, 53, 802–815. [Google Scholar] [CrossRef]
- Mehling, W.E.; Gopisetty, V.; Daubenmier, J.; Price, C.J.; Hecht, F.M.; Stewart, A. Body awareness: Construct and self-report measures. PLoS ONE 2009, 4, e5614. [Google Scholar] [CrossRef]
- Price, C.J.; Thompson, E.A.; Cheng, S.C. Scale of Body Connection: A multi-sample construct validation study. PLoS ONE 2017, 12, e0184757. [Google Scholar] [CrossRef]
- Cameron, O.G. Interoception: The inside story—A model for psychosomatic processes. Psychosom. Med. 2001, 63, 697–710. [Google Scholar] [CrossRef] [PubMed]
- Craig, A.D. How do you feel? Interoception: The sense of the physiological condition of the body. Nat. Rev. Neurosci. 2002, 3, 655–666. [Google Scholar] [CrossRef] [PubMed]
- Malik, M.; Camm, A.J.; Bigger, J.T.; Breithardt, G.; Cerutti, S.; Cohen, R.J.; Coumel, P.; Fallen, E.L.; Kennedy, H.L.; Kleiger, R.E.; et al. Heart rate variability. Standards of measurement, physiological interpretation, and clinical use. Eur. Heart J. 1996, 17, 354–381. [Google Scholar] [CrossRef]
- Sammito, S.; Böckelmann, I. Reference values for time- and frequency-domain heart rate variability measures. Heart Rhythm 2016, 13, 1309–1316. [Google Scholar] [CrossRef] [PubMed]
- Brickenkamp, R.; Zillmer, E. D2 Test of Attention; Hogrefe and Huber Publishing: Seattle, WA, USA, 1998. [Google Scholar]
- Bates, M.E.; Lemay, E.P. The d2 Test of Attention: Construct validity and extensions in scoring techniques. J. Int. Neuropsychol. Soc. 2004, 10, 392–400. [Google Scholar] [CrossRef]
- Seisdedos, N. RP-30: Resolución de Problemas: Manual (No.248); Hogrefe Tea Ediciones: Madrid, Spain, 2002. [Google Scholar]
- Román-González, M.; Pérez-González, J.C.; Jiménez-Fernández, C. Which cognitive abilities underlie computational thinking? Criterion validity of the Computational Thinking Test. Comput. Human Behav. 2017, 72, 678–691. [Google Scholar] [CrossRef]
- Rosenthal, R. Parametric measures of effect size. In The Handbook of Research Synthesis; Cooper, H., Hedges, L.V., Eds.; Russell Sage Foundation: New York, NY, USA, 1994. [Google Scholar]
- Krippendorff, K. Reliability in content analysis: Some common misconceptions and recommendations. Hum. Commun. Res. 2004, 30, 411–433. [Google Scholar] [CrossRef]
- Fonow, M.M.; Cook, J.A.; Goldsand, R.S.; Burke-Miller, J.K. Using the Feldenkrais Method of Somatic Education to Enhance Mindfulness, Body Awareness, and Empathetic Leadership Perceptions Among College Students. J. Leadersh. Educ. 2016, 15, 116–130. [Google Scholar] [CrossRef]
- Karkou, V.; Oliver, S.; Lycouris, S.; MacDonald, R.A.R.; Chaiklin, S. The Oxford Handbook of Dance and Wellbeing; Oxford University Press: Oxford, UK, 2017; ISBN 9780199949298. [Google Scholar]
- Cohen, S. Perceived stress in a probability sample of the United States. In The Social Psychology of Health; Spacapan, S., Oskam, S., Eds.; Sage Publications, Inc.: Thousand Oaks, CA, USA, 1988; Volume 13, pp. 31–67. ISBN 080393162X. [Google Scholar]
- Robotham, D.; Julian, C. Stress and the higher education student: A critical review of the literature. J. Furth. High. Educ. 2006, 30, 107–117. [Google Scholar] [CrossRef]
- Guarino, L.; Gavidia, I.; Antor, M.; Caballero, H. Stress, mental health and immunologic changes in college students. Psicol. Conductual 2000, 8, 57–71. [Google Scholar]
- Baghurst, T.; Kelley, B.C. An Examination of Stress in College Students Over the Course of a Semester. Health Promot. Pract. 2014, 15, 438–447. [Google Scholar] [CrossRef]
- Keogh, E.; French, C.C. Test anxiety, evaluative stress, and susceptibility to distraction from threat. Eur. J. Pers. 2001, 15, 123–141. [Google Scholar] [CrossRef]
- Vrinceanu, T.; Esmail, A.; Berryman, N.; Predovan, D.; Vu, T.T.M.; Villalpando, J.M.; Pruessner, J.C.; Bherer, L. Dance your stress away: Comparing the effect of dance/movement training to aerobic exercise training on the cortisol awakening response in healthy older adults. Stress 2019, 22, 687–695. [Google Scholar] [CrossRef] [PubMed]
- Hopkins, L.B.; Medina, J.L.; Baird, S.O.; Rosenfield, D.; Powers, M.B.; Smits, J.A.J. Heated hatha yoga to target cortisol reactivity to stress and affective eating in women at risk for obesity-related illnesses: A randomized controlled trial. J. Consult. Clin. Psychol. 2016, 84, 558–564. [Google Scholar] [CrossRef]
- Chong, C.S.; Tsunaka, M.; Chan, E.P. Effects of yoga on stress management in healthy adults: A systematic review. Altern. Ther. Health Med. 2011, 17, 32–38. [Google Scholar]
- Jarczok, M.N.; Kleber, M.E.; Koenig, J.; Loerbroks, A.; Herr, R.M.; Hoffmann, K.; Fischer, J.E.; Benyamini, Y.; Thayer, J.F. Investigating the Associations of Self-Rated Health: Heart Rate Variability Is More Strongly Associated than Inflammatory and Other Frequently Used Biomarkers in a Cross Sectional Occupational Sample. PLoS ONE 2015, 10, e0117196. [Google Scholar] [CrossRef]
- Thayer, J.F.; Åhs, F.; Fredrikson, M.; Sollers, J.J.; Wager, T.D. A meta-analysis of heart rate variability and neuroimaging studies: Implications for heart rate variability as a marker of stress and health. Neurosci. Biobehav. Rev. 2012, 36, 747–756. [Google Scholar] [CrossRef]
- Holzman, J.B.; Bridgett, D.J. Heart rate variability indices as bio-markers of top-down self-regulatory mechanisms: A meta-analytic review. Neurosci. Biobehav. Rev. 2017, 74, 233–255. [Google Scholar] [CrossRef]
- Shaffer, F.; Ginsberg, J.P. An Overview of Heart Rate Variability Metrics and Norms. Front. Public Health. 2017, 5, 258. [Google Scholar] [CrossRef]
- Billman, G.E. The LF/HF ratio does not accurately measure cardiac sympatho-vagal balance. Front. Physiol. 2013, 4, 26. [Google Scholar] [CrossRef] [PubMed]
- Liu, J.; Xie, H.; Liu, M.; Wang, Z.; Zou, L.; Yeung, A.S.; Hui, S.S.C.; Yang, Q. The Effects of Tai Chi on Heart Rate Variability in Older Chinese Individuals with Depression. Int. J. Environ. Res. Public Health 2018, 15, 2771. [Google Scholar] [CrossRef] [PubMed]
- Markil, N.; Whitehurst, M.; Jacobs, P.L.; Zoeller, R.F. Yoga Nidra Relaxation Increases Heart Rate Variability and is Unaffected by a Prior Bout of Hatha Yoga. J. Altern. Complement. Med. 2012, 18, 953–958. [Google Scholar] [CrossRef] [PubMed]
- Chang, M.Y. Qigong Effects on Heart Rate Variability and Peripheral Vasomotor Responses. West. J. Nurs. Res. 2015, 37, 1383–1403. [Google Scholar] [CrossRef]
- Cheema, B.S.; Marshall, P.W.; Chang, D.; Colagiuri, B.; MacHliss, B. Effect of an office worksite-based yoga program on heart rate variability: A randomized controlled trial. BMC Public Health 2011, 11, 578. [Google Scholar] [CrossRef]
- Telles, S.; Singh, D.; Naveen, K.V.; Pailoor, S.; Singh, N.; Pathak, S. P300 and Heart Rate Variability Recorded Simultaneously in Meditation. Clin. EEG Neurosci. 2019, 50, 161–171. [Google Scholar] [CrossRef]
- Zou, L.; Yeung, A.; Quan, X.; Boyden, S.; Wang, H. A Systematic Review and Meta-Analysis of Mindfulness-Based (Baduanjin) Exercise for Alleviating Musculoskeletal Pain and Improving Sleep Quality in People with Chronic Diseases. Int. J. Environ. Res. Public Health 2018, 15, 206. [Google Scholar] [CrossRef]
- Schwender, T.M.; Spengler, S.; Oedl, C.; Mess, F. Effects of Dance Interventions on Aspects of the Participants’ Self: A Systematic Review. Front. Psychol. 2018, 9, 1130. [Google Scholar] [CrossRef]
- Martin, L.; Oepen, R.; Bauer, K.; Nottensteiner, A.; Mergheim, K.; Gruber, H.; Koch, S.C. Creative arts interventions for stress management and prevention-a systematic review. Behav. Sci. 2018, 8, 28. [Google Scholar] [CrossRef]
- Stuckey, H.L.; Nobel, J. The connection between art, healing, and public health: A review of current literature. Am. J. Public Health 2010, 100, 254–263. [Google Scholar] [CrossRef]
- De Witte, M.; Orkibi, H.; Zarate, R.; Karkou, V.; Sajnani, N.; Malhotra, B.; Ho, R.T.H.; Kaimal, G.; Baker, F.A.; Koch, S.C. From Therapeutic Factors to Mechanisms of Change in the Creative Arts Therapies: A Scoping Review. Front. Psychol. 2021, 12, 2525. [Google Scholar] [CrossRef] [PubMed]
- Payne, H. The BodyMind Approach® to support students in higher education: Relationships between student stress, medically unexplained physical symptoms and mental health. Innov. Educ. Teach. Int. 2021, 1–12. [Google Scholar] [CrossRef]
- Rodríguez-Jiménez, R.-M.; Carmona, M. A Rationale for Teacher Change from a Bodyfulness Paradigm: An Experience in Higher Education. Educ. Sci. 2021, 11, 460. [Google Scholar] [CrossRef]
- Zou, L.; Sasaki, J.E.; Wei, G.X.; Huang, T.; Yeung, A.S.; Neto, O.B.; Chen, K.W.; Hui, S.S.C. Effects of Mind–Body Exercises (Tai Chi/Yoga) on Heart Rate Variability Parameters and Perceived Stress: A Systematic Review with Meta-Analysis of Randomized Controlled Trials. J. Clin. Med. 2018, 7, 404. [Google Scholar] [CrossRef] [PubMed]
- Jones, P. The Arts Therapies: A Revolution in Healthcare; Routledge: London, UK, 2020; ISBN 9781315536989. [Google Scholar]
- Ellis, R. Movement metaphor as mediator: A model for the dance/movement therapy process. Arts Psychother. 2001, 28, 181–190. [Google Scholar] [CrossRef]
- Panhofer, H.; Payne, H. Languaging the embodied experience. Body, Mov. Danc. Psychother. 2011, 6, 215–232. [Google Scholar] [CrossRef][Green Version]
- Bas, T.; Fischman, D.; Rodríguez-Jiménez, R.M. Modulating Verbal and Non-Verbaal Languages in Dance Movement Therapy. In The Routledge International Handbook of Embodied Perspectives in Psychotherapy; Payne, H., Koch, S., Tantia, J., Eds.; Routledge: London, UK, 2019; p. 440. [Google Scholar]
- Shafir, T.; Tsachor, R.P.; Welch, K.B. Emotion regulation through movement: Unique Sets of Movement Characteristics are Associated with and Enhance Basic Emotions. Front. Psychol. 2016, 6, 2030. [Google Scholar] [CrossRef]
- Shafir, T. Movement-based strategies for emotion regulation. In Handbook on Emotion Regulation; Bryant, M.L., Ed.; Nova Science Publishers: Hapog, NY, USA, 2015; pp. 231–249. [Google Scholar]
- Payne, H.; Roberts, A.; Jarvis, J. The BodyMind Approach® as Transformative Learning to Promote Self-Management for Patients With Medically Unexplained Symptoms. J. Transform. Educ. 2019, 1–24. [Google Scholar] [CrossRef]
Publisher’s Note: MDPI stays neutral with regard to jurisdictional claims in published maps and institutional affiliations. |
© 2022 by the authors. Licensee MDPI, Basel, Switzerland. This article is an open access article distributed under the terms and conditions of the Creative Commons Attribution (CC BY) license (https://creativecommons.org/licenses/by/4.0/).