Next Article in Journal
Methodological Approaches to Online Serbian Heritage Language Instruction
Previous Article in Journal
On Genre as the Primary Unit of Language (Not Only) in Law
Previous Article in Special Issue
Toward a Representation of Semantic Change in Linked Data
 
 
Font Type:
Arial Georgia Verdana
Font Size:
Aa Aa Aa
Line Spacing:
Column Width:
Background:
Article

Logical Spaces and Subjunctive Tenses

School of Arts and Humanities, University of Lisbon—FLUL/CLUL, 1600-214 Lisboa, Portugal
Languages 2024, 9(11), 334; https://doi.org/10.3390/languages9110334
Submission received: 15 January 2024 / Revised: 25 July 2024 / Accepted: 15 October 2024 / Published: 26 October 2024
(This article belongs to the Special Issue Semantics and Meaning Representation)

Abstract

Apparently, Subjunctive tenses express temporal location, and, in some constructions, the past subjunctive can also express modal values. A long-standing debate exists over whether—even in the latter case—verbal tenses are temporal operators or whether in some constructions they convey temporal meaning, and in others they have a modal value, maybe derived from their basic temporal meaning. The assumption that the basic meaning of subjunctive tenses are of a temporal nature is challenged by the fact that the future subjunctive, which exists in Portuguese, has the same temporal interpretation as the present subjunctive, with which it is in complementary distribution. Moreover, no clear modal difference is observed between the future and present subjunctive tenses. In this paper, I present arguments against the separation of the temporal and modal values of the subjunctive tenses. I posit, instead, that a semantic analysis of subjunctive morphemes must consider ordered pairs of times and possible worlds; only in this way can we adequately capture the observed data and allow a comprehensive view of the system of subjunctive tenses in Portuguese (which will be extendable to Romance languages in general). If we accept this proposal, then the modal as temporal information associated with subjunctive tenses follows naturally, including the systematic futurate reading of subjunctive temporal clauses.

1. Introduction

A large amount of literature on formal semantics has been devoted to the distribution of the subjunctive and indicative moods, but less attention has been paid to a comprehensive view of the different Subjunctive tenses. While the literature on the indicative tenses is abundant, less attention has been paid to forming a comprehensive view of the different subjunctive tenses. At the same time, there are many studies concerning the temporal and modal interpretations of different verbal tenses and how we might account for this variation in meaning. For example, there is a lot of debate concerning the future (of the indicative) tense and its temporal vs. modal interpretations (the so-called epistemic future) in different languages (see, for example, Giannakidou and Mari 2016; Mari 2015; Cunha 2023, and references therein), the temporal and non-temporal interpretations of the imperfect (see, for example, Ippolito 2004; Paula 2020), and—both in linguistics as in philosophy of language—the (at least apparently) non-temporal interpretation of past tenses in conditional clauses, an example of which is as follows.
(1)If you were in India now, you would be suffering from the heat.
In this example, past morphology does not convey past reference. As shown by Iatridou 2000, numerous languages use past morphology in constructions equivalent to (1). This is also the case in Portuguese, where, in (2), the verb of the antecedent clause inflects in the past subjunctive, and the verb of the main clause is in the imperfect or the conditional1:
(2)SeestivessemnaÍndiaagoraestavam/estariama
ifwere 3pl_past-subjin-theIndianowbe 3pl_imp/be 3sg_condto
sofrercomocalor.
sufferwiththeheat
‘If {you/they} were in India now, {you/they} would be suffering from the heat.’
By contrast, in examples such as (3a)–(3c), the same verbal forms have temporal interpretations:
(3)a.TalvezestivessemnaÍndianessaaltura.
maybewere 3pl_past-subjin-theIndiaat-thattime
‘Maybe {you/they} were in India at that time.’
b.nessaalturaestavamnaÍndia.
at-thattimewere 3pl_impin-theIndia
‘At the time {you/they} were in India.’
c.EstavacombinadoqueestariamnaÍndianodiaseguinte.
wasagreedthatwere 3pl_impin-theIndiain-thedaynext
‘It was agreed that {you/they} would be in India the next day’
The ways in which we can account for the divergence in interpretations of the same tenses in constructions such as (2) vs. (3) (or their equivalents in other languages) have been the subject of much debate. Two lines have been explored in the literature: the “past-as-past” view, followed by Ippolito (2003, 2013); Arregui (2005, 2007); Romero (2014); and Khoo (2015, 2022), among others, and the “past-as-modal” view, advocated by Iatridou (2000); Schulz (2014); and Mackay (2019), among others. As synthesized by von Fintel and Iatridou (2023), in the first view, the past tense in (1) is a past operator with scope over the conditional; in the second view, “the “past” morpheme has an underspecified meaning which yields different meanings depending on whether it is “fed” times or worlds” (von Fintel and Iatridou 2023, p. 15). As observed by these authors, the debate thus far has largely focused on the analysis of conditionals, and both views run into trouble when we turn our attention to other constructions from which the same morphology and meaning emerge.
Put simply, the debate has focused on whether verbal tenses such as the one in the antecedent of the conditional in (1) are always temporal operators or whether in some constructions they are temporal devices and modal operators in others. In this paper, I will consider this question on the basis of data from Portuguese, but I will focus only on the subjunctive tenses. That is, I will not detail the tenses occurring in (3b) and (3c), or in the main clause of example (2). Given that in Portuguese, unlike most other Romance languages, the subjunctive mood has a future tense (in addition to the tenses that also exist in other Romance languages), Portuguese is an interesting language through which to study the meaning of subjunctive tenses. In doing so, we can understand their semantic contribution, or what semantic value does each of them signal, even if the tenses themselves do not convey meaning but are instead marks of temporal concordance (see Iatridou 2000).
Two widespread ideas about subjunctive tenses are that subjunctive clauses are temporally dependent and that the distinction between the different subjunctive tenses is of a temporal nature. The first idea, which has been explored particularly within the framework of generative syntax (see, for example, Picallo 1984; Raposo 1987; and Ambar 1992), is contradicted by empirical evidence (see, for example, Vogel 1997; Laca 2010; and Marques et al. 2015, among others) and will not be considered here. As for the second idea, the assumption that subjunctive tenses convey temporal information is not usually subject to questioning outside the literature devoted to conditionals and counterfactuality. However, exactly what is the temporal difference between different subjunctive tenses and what is the meaning of each subjunctive tense is a matter that requires attention and form the basis of this paper’s enquiry.
The text is organized as follows. Section 2 provides a view of the distribution of each subjunctive tense in Portuguese and their temporal interpretations, showing that an analysis of the subjunctive tenses based solely on the temporal information associated with them (i.e., the assumption that subjunctive tenses are temporal operators) cannot provide a clear understanding of the system of subjunctive tenses in Portuguese. In Section 3, a proposal is made concerning the interpretation of these tenses. In Section 4, I consider the particularity of the temporal reading of subjunctive temporal clauses, which is different from the one observed in other subjunctive clauses and in indicative temporal clauses, showing that this particularity follows naturally from the proposal made in Section 3 alongside an analysis of the subjunctive mood. In Section 5, the conclusions are presented.

2. Subjunctive Tenses in Portuguese and Temporal Information

In Portuguese, the subjunctive mood has three simple tenses and three compound ones. Their official designations are given in Table 1, where an example of the verbal form of ter (“to have”) 3SG is also provided, in italic, for each tense.
Both the futuro imperfeito (lit. “imperfect future”) and the futuro perfeito (lit. “perfect future”) exist in Portuguese but not in other Romance languages. Concerning the compound tenses, two options are available. The first is to assume that each compound form is indeed a particular tense, which differs from all the others. The other one is to assume, following Kamp and Reyle (1993) and Peres (1993), that the compound forms have the same interpretation as their correspondent simple tenses, except that what is considered in the case of the compound forms is the result (or consequent) state of the basic situation. Consider the following example:
(4)Conhecesalgumapessoaquetenhatidoumacidentedemota?
knowanypersonwhohave_3sg_subjhadanaccidentofmotorycle
‘Do you know anyone who has had a motorcycle accident?’
According to the first option, the situation described by the embedded clause —to have a motorcycle accident— is located in the past; that is, the verbal tense expresses the information that the time of the situation precedes utterance time (t0). Equivalently, and according to the second option, one can say that the resultant state of having a motorcycle accident is located in the present (i.e., the resultant state overlaps t0).
I will adopt this second option and assume that the verbal tense in (4) is the same as in (5):
(5)ConhecesalgumapessoaquetenhaumacasaemLondres?
knowanypersonwhohave_3sg_subjahouseinLondon
‘Do you know anyone who has a house in London?’
Thus, the subjunctive mood will have three tenses in Portuguese—past, present and future. Other Romance languages do not have the future subjunctive, the opposition being between past and non-past subjunctive tenses.
The designations of the subjunctive tenses—pretérito, presente and futuro (lit. “past”, “present” and “future”)—suggest that their meaning is of a temporal nature; that is, the function of the verbal tenses is to indicate whether the situation is located in the past, in the present, or in the future. This assumption is usually taken for granted and unquestioned in Portuguese grammars. Indeed, the following examples show an association between subjunctive tenses and the information that the situation is located in the past, the present, or the future:
(6)a.Épenaquenaquelaalturaestivesseachover.
be_3sg_ind_prespitythatat-thattimebe_3sg_subj_pasttorain
‘It’s a pity that it was raining at that time.’
b.Épenaqueaindaestejaachover.
be_3sg_ind_prespitythatstillbe_3sg_subj_prestorain
‘It’s a pity that it still rains.’
c.Saímosquandoacabardechover.
leave_1pl_ind_preswhenfinish_3sg_subj_futofrain
‘We leave when it stops raining.’
In the first example, the situation described by the subjunctive clause temporally precedes t0 (i.e., the situation is located in the past); in the second example, its temporal location overlaps t0 (i.e., the situation is located in the present); and in the last example, t0 precedes the location of the situation described by the subjunctive clause (i.e., the situation is located in the future).
However, this association between past, present, and future tenses and the temporal location of the situation described by the subjunctive clause as preceding, overlapping or following utterance time, respectively, is not always observed. Consider the following examples:
(7)a.Sehojefossedomingo,aAnaestariaemcasa.
iftodaybe_3sg_subj_pastSundaytheAnabe_3sg_condathome
‘If today were Sunday, Ana would be home.’
b.Comestecaosaspessoasqueestiveremnotrânsito
withthischaosthepersonsthatbe_3pl_subj_futin-thetraffic
devemestarfuriosas.
mustbefurious
‘With this chaos, people in the traffic will be furious!’
c.Aviso-telogoquetenhanotícias.
notice-yousoonthathave_1sg_subj_presnews
‘I will let you know as soon as I have news.’
d.Daquiacemanos,seeleaindafossevivo,
From-heretohundredyearsifhestillbe_3sg_subj_pastalive
seriatestemunhademuitasmudanças.
be_3sg_condwitnessofmanychanges
‘A hundred years from now, if he were still alive, he would be witness to many changes’
In (7a) and (7b), the situation described by the subjunctive clause temporally overlaps the time of utterance. However, the verb in the subjunctive clause does not inflect in the present but instead in the past subjunctive (in (7a)) or in the future subjunctive (in (7b)). Examples (7c) and (7d) are cases in which the present subjunctive and the past subjunctive have futurate reference. Thus, as these examples show, it is not the case that the past subjunctive has always past reference, the present subjunctive present reference, and the future subjunctive futurate reference. In fact, the past subjunctive can occur in sentences that describe a situation that temporally precedes t0 (see (6a)) as well as sentences that describe a situation overlapping (see (7a)) or following t0 (see (7d)). Moreover, the present as the future subjunctive can occur in sentences that describe a situation overlapping t0 (see (6b) and (7b)) or following t0 (see (6c) and (7c)). In other words, if the situation described by the subjunctive clause overlaps t0 or follows t0, any of the subjunctive tenses can occur. Thus, concerning the temporal location of the situation described by the subjunctive clause and the subjunctive tenses, the only generalization that can be made is that past reference cannot be signaled by the present or the future subjunctive, and only by the past subjunctive:
(8)a.trezentosanos,umnavioqueapanhasse
isthree-hundredyears,ashipthatcatch_3sg_subj_past
umatempestadedestasnaufragavalogo!
astormof-thesesink_3sg_ind_pastimmediately
‘Three hundred years ago, a ship that caught a storm like this one would soon sink!’
b.*Hátrezentosanos,umnavioque
isthree-hundredyears,ashipthat
{apanhe/apanhar}umatempestadedestas
catch_3sg_subj_pres/catch_3sg_subj_futastormof-these
‘*Three hundred years ago, a ship that catches a storm like this …’
This being so, the assumption that subjunctive tenses are simply temporal locators is questionable.

3. What Subjunctive Tenses Signal

3.1. Past Subjunctive vs. Present/Future Subjunctive

The fact that the past subjunctive does not signal past temporal reference has been commonly observed in connection with counterfactual conditionals, as in the following example:
(9)Seosdinossaurosnãosetivessemextinguido,
ifthedinosaursnotthemhad_3pl_subj_pastextinct,
nãohaveriatantasespéciesdeMamíferos.
notbe_3sg_condso-manyspeciesofmammals
‘if dinosaurs had not become extinct, there would not be so many species of mammals.’
With present subjunctive, as in (10a), or future subjunctive, as in (10b), the construction is necessarily a hypothetical conditional:
(10)a.Oquedevodizercasoalguémpergunteporti?
thewhatmustsaycasesomeoneask_3sg_subj_presforyou?
‘What should I say in case someone asks for you?’
b.Nãoseicomoestáotempo;
notknow_1sg_ind_preshowistheweather;
seestiverachover,nãosaio.
ifis_3sg_subj_futtorainnotleave.
‘I do not know how the weather is; if it is raining, I will not go out.’
The past subjunctive might also occur on the antecedent of hypothetical conditionals, if the antecedent refers to a possibility that is unlikely, as in (11), or one that is new in discourse, as in (12a)2, in a context in which a medical diagnosis is sought, and in (12b):
(11)SeaLista Aganhasseaseleições(oqueé
iftheList Awin_3sg_subj_pasttheelections(thewhichis
extremamenteimprovável),aAnaseriaapróxima
extremelyimprobable)theAnabe-condthenext
PresidentedaAssociaçãodeEstudantes.
Presidentof-theAssociationofStudents
‘If List A won the elections (which is extremely unlikely), Ana would be the next President of the Student Association’
 
(12)a.Seelafossealérgicaàpenicilina,
ifshebe_3sg_subj_pastallergicto-thepenicillin,
teriaossintomasqueapresenta.
have_3sg condthesymptomsthatpresents
‘If she were allergic to penicillin, she would have the symptoms she has’
b.Esealmoçássemosaqui?
andiflunch_1pl_subj_pasthere?
‘What if we had lunch here?’
The observation that the past subjunctive is associated with modal values, and not expressing past reference, is valid not only for conditionals (as commonly observed3) but also for various syntactic constructions. In all of the following examples, the sentences with the past subjunctive have counterfactual interpretation or refer to unlikely possibilities; meanwhile, those with the present or future subjunctive refer to possibilities that are reasonable and available at the context of utterance:
(13)a.Oxaláchovessebrevemente!
God-wishesrain_3sg_subj_pastsoon
‘I wish it would rain soon!’
b.Oxaláchovabrevemente!
God-wishesrain_3sg_subj_pressoon
‘I wish it rains soon!’
 
(14)a.Duvidoquealguémconsigadesatarestenó.
doubt_1sg_ind_presthatanyonecan_3sg_subj_presuntiethisknot
‘I doubt anyone will be able to untie this knot.’
b.Duvidoquealguémconseguissedesatarestenó.
doubt_1sg_ind_presthatanyonecan_3sg_subj_pastuntiethisknot
‘I doubt anyone would be able to untie this knot.’
 
(15)a.Comestetemporalosautomobilistasqueestiverem
withthisstormthecar driverswhobe_3sg_subj_pres
naponteestãoaflitos!
at-thebridgebe_3pl_ind_presafflicted
‘With this storm, the drivers that are at the bridge are in trouble.’
b.Comestetemporalosautomobilistasqueestivessem
withthisstormthecar driverswhobe_3sg_subj_past
naponteestariamaflitos!
at-thebridgebe_3pl_condafflicted
‘With this storm, the drivers that were at the bridge would be in trouble.’
 
(16)a.Comestebarulho,mesmoquegrites
withthisnoiseeventhatshout_2sg_subj_pres
ninguémouve!
nobodyhear_3sg_ind_pres
‘With this noise, even if you shout noone will hear you!’
b.Comestebarulho,mesmoquegritasses
withthisnoiseeventhatshout_2sg_subj_past
ninguémouviria!
nobodyhear_3sg_cond
‘With this noise, even if you’d shout noone would hear you!’
 
(17)a.Comesteburaconatelha,assimquechover
withthisholein-thetilesoonthatrain_3sg_subj_fut
acozinhaficainundada!
thekitchenget_3sg_ind_presflooded
‘With this hole in the roof tile, the kitchen will get flooded as soon as it rains!’
b.Comesteburaconatelha,assimquechovesse
withthisholein-thetilesoonthatrain_3sg_subj_past
acozinhaficavainundada!
thekitchenget_3sg_ind_impflooded
‘With this hole in the roof tile, the kitchen would get flooded as soon as it rained!’
On the face of examples of the same kind as (11) and (13) in Spanish, Laca 2010, after describing as temporal locators the two subjunctive tenses of Spanish (present and past4), posits that the ones above “can be assimilated to the numerous instances of past tenses used for signaling counterfactuality or non-realistic modal bases (see Iatridou 2000)” (Laca 2010, p. 5).
In addition to Spanish, other Romance languages have two subjunctive tenses (‘Present’ and ‘Past’), the semantic opposition between them either concerning temporal location or being of the same kind as the contrast observed in English between the so-called subjunctive and indicative conditionals5, as also shown in examples (13)–(17).
As observed above, and largely concerning English, two lines have been pursued in the literature to account for the modal readings of subjunctive conditionals. One of the lines—that is usually referred to as the “past-as-past” hypothesis—is that even in these constructions, the verbal tense is a temporal operator. The other one, known as ‘past-as-modal’, is that in some cases, the verbal tense is a temporal operator, and in others, it is a modal operator. In the first case, time points (or intervals) are considered in the interpretation of the construction; in the second case, the interpretation involves the consideration of possible worlds. This line of reasoning is based on Stalnaker’s proposal that the role of the morphology of Subjunctive conditionals is to signal an enlargement of the context set (see Stalnaker 1968, 1975, 2014). More precisely, Stalnaker proposes that “I take it that the subjunctive mood in English and some other languages is a conventional device for indicating that presuppositions are being suspended” (Stalnaker 1975, p. 276). That is, when interpreting an indicative conditional, one considers the set of worlds defined by what is being presupposed in a conversation, i.e., the context set. Subjunctive conditionals signal that possible worlds outside the context set are taken into consideration.
There are different analyses that try to capture both the counterfactual reading as other modal values of subjunctive conditionals (see von Fintel 1998; Iatridou 2000; Schulz 2014; and Mackay 2019, among others). All of them have in common the assumption that modal and temporal values of the verbal tense that occurs in subjunctive conditionals are mutually exclusive. That is, the morphology has either a modal value or (in other constructions) a temporal value. I question this assumption on the basis of the following arguments:
(i)
Modal and temporal values might coexist. Consider the following examples:
(18)a.Naquelaaltura,seelefossemaisvelhoteria
at-thattimeifhebe_3sg_subj_pastmoreoldhave_3sg_cond
tomadoumaatitudediferentedaquetomou
takenanattitudedifferentof-thewhattook
‘At that time, were he older, he would have taken a different attitude.’
b.Duranteoconfinamento,sealguémestivesse
duringthelockdownifsomeonebe_3sg_subj_past
narua,podiaterproblemas
in-thestreetcan_3sg_imperfhaveproblems,
‘During the lockdown, if someone {was/were} on the street, he could have problems.’
Example (18a) is a counterfactual conditional; (18b) might also be counterfactual (as shown by the possibility of continuing the sentence by saying, for example, but no one took the risk and went out) or not (as shown by the possibility of continuing the sentence by saying, for example, I don’t know if anyone took the risk and went out). In either case, the temporal location of the situation is in the past. That is, in these examples, the verbal tense is associated with the expression of both past reference and a modal value. Thus, it is not the case that temporal and modal values are always apart. If one assumes that the verbal tense that occurs in the antecedent of these conditionals either expresses past reference or expresses a modal value, one could say that in (18a) it has a modal value, signaling counterfactuality, the temporal information being conveyed by the temporal adjunct at that time. However, this would lead to the prediction that (18b), which has the same morphology as (18a), would be interpreted as counterfactual as well. However, out of context, both the counterfactual and the non-counterfactual interpretations of (18b) are available.
(ii)
In Portuguese, as in many other languages, there is not one morpheme of tense separated from one of mood. Instead, the same morpheme is a tense and mood morpheme. Assuming that mood is related to modality, and that tense is related to temporal location, it is only natural that the same morpheme would be associated with the expression of both temporal location and modality, as seen in (18a,b).
(iii)
In most Romance languages, there are two subjunctive tenses (the “present” and the “past”), but in Portuguese, there is an additional tense: the future subjunctive. If the semantic opposition between past and present subjunctive is either of temporal or modal nature, as assumed in the literature, one would expect a temporal or a modal difference between the future tense and the other subjunctive tenses in Portuguese. However, this does not seem to be the case.
Notably, these counter arguments are valid both from the ‘past-as-modal’ perspective on subjunctive conditionals and from the ‘past-as-past’ perspective. Any analysis that separates the modal from the temporal values of the subjunctive tenses faces the problems stated above. Analyses that assume only a temporal interpretation of verbal tenses lead to the prediction that differences of temporal nature can be observed between the future and other subjunctive tenses. However, such a prediction is not validated. The temporal information conveyed by (or associated with) the future subjunctive is no different from the one conveyed by the present subjunctive. As seen above, neither of these tenses may have past reference, but both of them may express temporal location in the present or in the future. Likewise, no difference of modal values is observed between present and future subjunctive tenses.

3.2. Present vs. Future Subjunctive

The present and future subjunctive are in complementary distribution. Future subjunctive occurs only in if-clauses, temporal clauses, and relative clauses, as shown by the following examples:
(19)a.Se{chover/*chova},nãosaio.
ifrain_3sg_subj_fut/_*presnotleave_1sg_ind_pres
‘If it rains, I will not go out.’
b.Quando{começar/*comece}achover,fechaajanela.
whenstart_3sg_subj_fut/_*prestorain,close_2sg_imperthewindow
‘When it starts raining, close the window.’
c.Todasaspessoasque{estiverem/?estejam}doentes
allthepersonsthatbe_3pl_subj_fut/?presill
devemficaremcasa.
must_3sg_ind_presstayathome
‘All people that are ill must stay home.’
In other kinds of construction, such as, for example, complement clauses, concessives or without-clauses, Present Subjunctive is allowed, but the Future Subjunctive is ruled out:
(20)a.Esperoque{*estiver/esteja}emcasa.
hopethatbe_3sg_subj_*fut/_presathome
‘I hope (s)he is home.’
b.Embora{*for/seja}tarde,aindapodestentar.
althoughbe_3sg_subj_*fut/_preslatestillcan_2sg_ind_prestry
‘Although it is late, you can still try.’
c.Saisemqueninguémte{*vir/veja}
leave_2sg_imperwithoutthatno oneyousee_3pl_subj_*fut/pres
‘Leave without anyone seeing you.’
Even in conditional, temporal, and relative clauses, the occurrence of the future subjunctive is restricted. It occurs in conditionals introduced by se (“if”) but not in those introduced by caso (“in case”):
(21)Aconselho-teaverestefilme,caso{*gostares/gostes}
Advise-youtoseethismoviecaselike_2sg_subj_*fut/_pres
dogénero.
of-thegender
‘I advise you to watch this film if you like the genre.’
In temporal clauses, the future subjunctive may occur in those introduced by some temporal connections, as quando (“when”) (see 15b), enquanto (“while”), sempre que (“always”), or assim que (“as soon as”), but it is ruled out of other temporal clauses, such as those introduced by até (“until”):
(22)a.Chama-mesempreque{precisares/*precises}.
Call_2sg_imper -mealwaysthatneed_2sg_subj_fut/_*pres
‘Call me whenever you need.’
b.Esperaatéquete{*chamarem/chamem}.
wait_2sg_imperuntilthatyoucall_2pl_subj_*fut/_pres
‘Wait until you’re called.’
In relative clauses, the future subjunctive is allowed only in those under the scope of some determiners or quantifiers. In particular, the distinction between cardinal and proportional quantifiers (see, for example, Kamp and Reyle 1993), or quantifiers of absolute quantification and quantifiers of relative quantification (see Peres 2013), is relevant. The first class contains quantifiers as, for example, five, none, or some. They express a quantity that is independent of the size of the domain of quantification (for instance, five penguins is the same quantity as five Siberian tigers, regardless of the fact that there are more penguins than Siberian tigers). The second class contains quantifiers as, for example, every, most, or less than half. They express a quantity that is relative to the size of the domain of quantification (for instance, half of the penguins is not the same quantity as half of the Siberian tigers). The future subjunctive is allowed in relative clauses under the scope of proportional quantifiers, but not under the scope of cardinal quantifiers:
(23)a.Precisode{dez/algumas}bicicletasque
need_1sg_ind_presof{ten/some}bicyclesthat
{*estiverem/estejam}embomestado
be_3pl_subj_*fut/_presingoodstate
‘I need {ten/some} bicycles that are in good condition.’
b.Precisode{todas/metadede}asbicicletasque
need_1sg_ind_presof{all/halfof}thebicyclesthat
{estiverem/?estejam}embomestado
be_3pl_subj_fut/_?presingoodstate
‘I need {all/half of} the bicycles that are in good condition.’
Unlike cardinal quantifiers, in the case of proportional quantifiers, the whole domain of quantification has to be taken into consideration. That is, given that nominal quantifiers denote relations between sets of entities, as stated by Generalized Quantifiers Theory (Barwise and Cooper 1981), the truth conditions of [QAB] depend solely on #(A ∩ B) in the case of cardinal quantifiers and on #(A ∩ B) plus (A − B) in the case of proportional quantifiers.
Relative clauses, if-clauses, and temporal clauses are also restrictors of quantifier domains (see, for example, von Fintel 1994), as synthesized on Table 2:
To summarize, the future subjunctive occurs only in the clauses that are restrictors of quantifier domains and, as shown by the examples in (23), in those cases where the whole domain of quantification is considered.

3.3. Proposal

The data considered thus far allow us to observe the following observations:
  • The past subjunctive can express past reference, counterfactuality, or unlikeliness; it is also used in propositions that describe (likely) possibilities new in discourse;
  • The present subjunctive expresses present or futurate reference and occurs in propositions that describe possibilities available in discourse;
  • The future subjunctive is identical to the present subjunctive, except that it occurs only in restrictors of quantifier domains, being in complementary distribution with the present subjunctive.
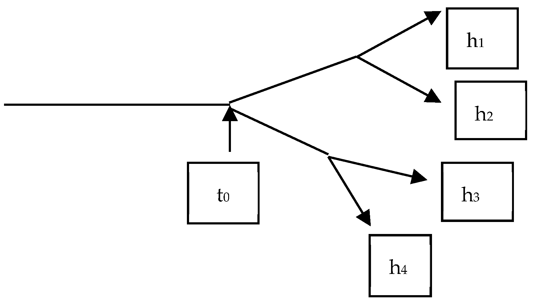
These facts suggest that an analysis of the subjunctive tenses based solely on the temporal interpretation of the tenses can hardly allow for a comprehension of their semantics. The “past-as-modal” approaches to subjunctive conditionals, which separate the modal from the temporal interpretations, lead to predictions that are unconfirmed (among other problems, such a line of reasoning would not explain the absence of different modal or temporal values separating the present and future subjunctive). A better understanding of the semantic contribution of the subjunctive tenses might be achieved if ordered pairs of times and possible worlds (<w’,t’>) are taken into consideration, as shown in Figure 1, below, instead of either only considering the time line in the interpretation of the tenses or treating the temporal and modal values of the same tenses as totally separate values:
An utterance takes place at a time, t0, and within a possible world, that, by default, is the real world (w0). Thus, the pair <t0,w0> is available at the context of utterance. I propose that the non-past tenses—the present and future subjunctive—point to logical spaces that contain the pair <t0,w0>. They are deictic tenses. The future subjunctive also signals in addition that the wholly considered logical space is to be taken into account6. The past subjunctive, on its side, is the complementary tense; it signals that a logical space that does not contain t0 or w0 is taken into consideration.
Consider the following examples:
(24)a.Precisodasbicicletasqueestiveremembomestado.
need_1sg_ind_presof-thebicyclesthatbe_3pl_subj_futingoodstate
‘I need the bicycles that are in good condition.’
b.Precisodeumabicicletaqueestejaembomestado.
need_1sg_ind_presofabicyclethatbe_3sg_subj_presingoodstate
‘I need a bicycle that is in good condition.’
c.Nestaaltura,precisariasdeumabicicletaqueestivesse
At-thistimeneed_3sg_condofabicyclethatbe_3sg_subj_past
embomestado.
ingoodstate
‘Right now, you would need a bicycle in good condition.’
In all these examples, the relative clause has non-past reference; that is, in these examples a timespan that includes or follows t0 is considered. The truth conditions of (24a), which features the future subjunctive, can be stated as follows: the sentence is true iff every possible world doxastically accessible from the context of utterance in which there is a bicycle in good condition is a possible world in which the speaker needs that bicycle. Sentence (24b), which features the present subjunctive, has similar truth conditions, except that it does not involve universal quantification. The computation of the NP uma bicicleta que esteja em bom estado (“a bicycle in good condition”) involves the consideration of one possible world (anyone) that is doxastically accessible from the context of utterance in which there is a bicycle in good condition, rather than every possible world that satisfies these conditions. Thus, the computation of both (24a) and (24b) requires the consideration of a set of possible worlds that includes w0. On the contrary, (24c) signals an enlargement of the context set7—the set of possible worlds compatible with what is assumed at the context of utterance. Thus, the past subjunctive triggers a displacement from the context of utterance, signaling the consideration of possible worlds other than w0.
In the following example, the past subjunctive also signals a displacement from the context of utterance, given that the meaning of the sentence does not involve the consideration of the pair <t0,w0>. The computation of the NP uma bicicleta que estivesse em bom estado (“a bicycle in good condition”) involves the consideration of possible worlds doxastically accessible from a point in the past, identified by naquela altura (“at that time”):
(25)Naquelaaltura,euprecisavadeumabicicletaqueestivesse
at-thattimeIneed_1sg_impofabicyclethatbe_3sg_subj_past
embomestado.
ingoodstate
‘At that time, you would need a bicycle in good condition.’
Thus, the past subjunctive signals a displacement from the context of utterance, be it a displacement from the real world (w0) or from utterance time (t0).
Apparently, futurate reference, as in the following examples, also implies displacement from the context of utterance:
(26)a.Daquiaummês,precisareideumabicicleta
from-heretoamonthneed_1sg_ind_futofabicycle
queestejaem bomestado.
thatbe_3sg_subj_presingoodstate
‘Next month, I will need a bicycle in good condition.’
b.Daquiaummês,precisareidasbicicletasque
from-heretoamonthneed_1sg_ind_futof-thebicycles that
estiveremembomestado.
be_3pl_subj_futingoodstate
‘Next month, I will need the bicycles that will be in good condition.’
The situation described by the subjunctive clause does not necessarily overlap with t0, only with reference time (next month), a t’ > t0. Thus, the meaning of these constructions seems also to not involve the consideration of the pair <t0,w0>. Nevertheless, the present subjunctive (in (26a)) or the future subjunctive (in (26b)) occurs, rather than the past subjunctive. Thus, even though Portuguese has a future subjunctive tense, unlike other Romance languages, it does not have a specific subjunctive tense that signals futurate reference; both the present and future subjunctive may occur in sentences with present reference and in sentences with futurate reference. Hence, subjunctive tenses are another example of asymmetry (as often observed in the literature) between past and future reference.
If, as proposed in this paper, non-past subjunctive tenses indicate that the logical space considered in the interpretation of the sentence includes the pair <t0,w0>, the logical space taken into account in the interpretation of sentences with futurate reference, as in (26a) and (26b), will also include t0. This seems problematic. The truth conditions of (26a) and (26b) do not require the situation described by the subjunctive clause to overlap with t0. However, the consideration of an interval that includes t0 does not imply that the situation covers the entire interval. Following Dowty (1986), Gennari (1999, 2002) defends the existence of a pragmatic implication that leads to consider superintervals in the interpretation of stative sentences. Concerning the sentence Juan estará en casa ahora (“Juan will be at home now”), Gennari (2002) rejects the standard account according to which the sentence “is true iff there is a future interval i later than the ST at which Juan will be at home” (p. 8) and proposes that
“given the implication associated with states, i.e., that there is a superinterval i’ that contains i at which Juan is home, it follows that both the ST [Speech Time] and the interval of being home can [but do not have to] overlap. This is exemplified below where the slashes represent the superinterval inferred around the future interval specified by the tense:
_____________/_/_/_/_/_|_/_/_/_/_/_/_/_/_/_/_/_||||||||||/_/_/_/_/_________
STbe-home”
Adopting Gennari’s proposal would account for cases as (26a) and (26b); given that a stative predicate occurs in the subjunctive clause, it follows from the Gennari’s pragmatic implication that a superinterval containing both t0 and the interval at which the bicycle is in good condition can be taken into account. However, that pragmatic implication only occurs with stative predicates. With eventive predicates, the problem would remain. Consider the following examples:
(27)a.Amanhã,qualquercarroqueestacioneaqui
tomorrowanycarthatpark_3sg_subj_preshere
serárebocado
be_3sg_ind_futtowed
‘Tomorrow, any car that parks here will be towed.’
b.Amanhã,oscarrosqueestacionaremaqui
tomorrowthecarsthatpark_3pl_subj_futhere
serãorebocados
be_3pl_ind_futtowed
‘Tomorrow, the cars that park here will be towed.’
These sentences make reference to future events that might take place. Why, then, is t0 (more precisely, a set of pairs that includes <w0,t0>) taken into account? The reason why in the cases of futurate reference an interval that includes t0 is considered would not follow from Aktionsart matters, affecting equally stative and eventive predicates.
To summarize, the interpretation of subjunctive sentences with past reference would lead to consider an interval that might exclude t0 (more precisely, a set of pairs of times and worlds that might exclude <t0,w0>), thus implying a displacement from the context of utterance, marked by the past subjunctive; meanwhile, the interpretation of subjunctive sentences with future reference would lead to consider an interval that includes t0. The reason for this asymmetry between past and futurate reference can be this: the future is a development of the present (it does not exist without the present), unlike the past, which is not dependent on the present; i.e., whatever happens in the future may not have happened if the present were different, but the past is unaffected by the present (that is, current events do not change the past). Thus, the consideration of a set of pairs <t’,w0> such that [t’ > t0] requires this set to include <t0,w0>, while the consideration of a set of pairs <t’,w0> such that [t’ < t0] does not have this requirement. In other words, a logical space that contains a situation located in the past and that includes w0 does not have to include t0 (as the past exists without the present), but a logical space that contains a situation located in the future and that includes w0 has to include t0 (as the future does not exist without the present).

4. If and When

As seen above, the present subjunctive and future subjunctive cannot be associated with past reference, but the past subjunctive may have both past reference and present or futurate reference. In other words, the present subjunctive and future subjunctive take as Temporal Perspective point (TPP), or Reference Time, either t0 or a t’ that follows t0, while past subjunctive accepts as TPP t0 both as a time t’ that precedes t0 and one that follows t0. In most kinds of clauses, the interval occupied by the situation overlaps the TPP in the case of stative predicates and follows it in the case of eventive predicates, as illustrated by the following examples of conditional clauses.
Stative predicates:
(28)a.Sehojefossedomingo, …
iftodaybe_3sg_subj_pastSunday, …
‘If today were Sunday, …’[TPP ○ s]
b.Seestiveralguémemcasa, …
ifbe_3sg_subj_futsomeoneathome, …
‘If someone is home, ….’[TPP ○ s]
c.Casoalguémestejadoente, …
casesomeonebe_3sg_subj_presill, …
‘In case someone is ill, …’[TPP ○ s]
Eventive predicates:
(29)a.Sehojechovesse, …
iftodayrain_3sg_subj_past, …
‘If it would rain today, …’[TPP < s]
b.Sehojechover, …
iftodayrain_3sg_subj_fut, …
‘If it rains today, …’[TPP < s]
c.Casoalguémbataàporta, …
casesomeoneknock_3sg_subj_presat-thedoor, …
‘In case someone knocks at the door, …’[TPP < s]
The same temporal relations between TPP and the temporal location of the situation can be observed in most other constructions but not in temporal subjunctive clauses, in which the temporal location of the situation always follows the TPP, regardless of whether the predicate is eventive or stative.
Stative predicates:
(30)a.{Quando/enquanto/sempreque/…}estivesse
{when/while/alwaysthat/…}be_3sg_subj_past
achover, …
torain, …
‘{When/while/anytime/…} it would be raining, …’[TPP < s]
b.{Quando/enquanto/sempreque/…}estiverachover, …
{when/while/alwaysthat/…}be_3sg_subj_futtorain, …
‘{When/while/anytime/…} it will be raining, ….’[TPP < s]
c.Logoqueestejaachover, …
soonthatbe_3sg_subj_prestorain, …
‘As soon as it is raining, …’[TPP < s]
Eventive predicates:
(31)a.{Quando/enquanto/sempreque/…}chovesse, …
{when/while/alwaysthat/…}rain_3sg_subj_past, …
‘{When/while/anytime/…} it would rain, …’[TPP < s]
b.{Quando/enquanto/sempreque/…}chover, …
{when/while/alwaysthat/…}rain_3sg_subj_fut, …
‘{When/while/anytime/…} it rains, …’[TPP < s]
c.Logoquechova, …
soonthatrain_3sg_subj_pres, …
‘As soon as it rains, …’[TPP < s]
In other words, temporal subjunctive clauses always express futurity, while in the other kinds of clauses, Aktionsart plays a role. Stative predicates lead to an overlapping reading, unlike eventive predicates.
A systematic reading of futurity is observed in temporal subjunctive clauses but not in indicative temporal clauses:
(32)a.{Quando/enquanto/sempreque/…}{choveu/chovera}, …
{when/while/alwaysthat/…}rain_3sg_ind_past, …
‘{When/while/anytime/…} it rained/had rain, …’[TPP > s]
b.{Quando/enquanto/sempreque/…}estavaachover, …
{when/while/alwaysthat/…}be_3sg_ind_pasttorain, …
‘{When/while/anytime/…} it was raining, …’[TPP ○ s]
c.Nãosesabiaquandochoverianovamente.
notoneknow_3sg_ind_imperfwhenrain_3sg_ind_futagain
‘Nobody knew when it would rain again’[TPP < s]
The necessary futurity reading in temporal subjunctive clauses follows naturally from the combination of two issues: first, temporal connectors are triggers of presupposition (see, for example, Levinson 1983); they trigger the presupposition that the clause they introduce is true. Second, subjunctive mood signals the consideration of non-p worlds8 (i.e., possible worlds in which the proposition p is false). Thus, one piece of the construction—the temporal connector—indicates that the proposition is true in the real world (w0 ⊆ [[p]]), and another piece—the subjunctive mood—leads to consider the possibility that p is false (i.e., it indicates that the considered logical space includes non-p worlds). That is, the interpretation of a temporal subjunctive clause has to include a Modal Base (a set of possible worlds) that contains w0, plus the information that w0 ⊆ [[p]], and non-p worlds. The only way to make these pieces of information compatible is to consider developments of the real word into different futures, as shown in Figure 2:
In some of the developments of the real world from a given point onward, the state of affairs described by a given proposition p holds, while in other developments, it does not. Hence, in at least one of the ramifications of the real world, p is true; thus, the presupposition introduced by the temporal connector is satisfied, and in other ramifications p is false, thus the possibility that the sentence is false being also considered. In other words, the fact that subjunctive temporal clauses always have a futurity reading follows straightforwardly if the assumption is made that a temporal connector will select a historical Modal Base, as defined in Werner (2006):
(33)For any world w and time t, ∩ f (w,t) = the set of worlds which are identical to w up through time t. (Werner 2006)
The aforementioned presupposition does not exist in other subjunctive clauses, such as restrictive relatives or if-clauses. Consider the following examples:
(34)a.Aqui,umapessoaquegostedecerejasestá
Hereapersonthatlike_3sg_subj_presofcheriesbe_3sg_ind_presnoparaíso.
in-theparadise
‘Here, anyone who likes cherries is in paradise.’
b.Aqui,seumapessoagostardecerejasestá
Hereifapersonlike_3sg_subj_futofcheriesbe_3sg_ind_pres
noparaíso.
in-theparadise
‘Here, if one likes cherries, one is in paradise.’
Both the relative clause in (34a) and the conditional clause in (34b) denote a set of possible worlds in which someone likes cherries. The subjunctive indicates that non-p worlds (i.e., worlds in which no one likes cherries) are also taken into consideration. Moreover, the present and the future subjunctive indicate that the pair <w0,t0> is part of the logical space considered in the interpretation of the sentences. Thus, if the logical space considered in the interpretation of these sentences is the set {<w0,t0>, <w1,t0>, <w2,t0>, <w2,t’>, …}, all these requisites are fulfilled. In some of the considered pairs of <w’,t’>, the sentence is true, while in others, it is not; the pair <w0,t0> belongs to the considered logical space and may belong to the subset where the sentence is true or to the complementary subset. Thus, the requirement that non-p worlds are taken into consideration in the interpretation of subjunctive clauses can be satisfied without resorting to the future.

5. Conclusions

Generally, verbal tenses are seen as temporal operators, and the modal values associated with them are seen as non-basic values. There are different verbal tenses linked to modal values, among which the past (or imperfect) subjunctive, a form used in many languages to express counterfactuality (and keen modal values). The literature on this subject has largely focused on conditional constructions, but the scope of this domain is much wider. Both in English and different Romance languages, the past subjunctive semantically contrasts with the present tense (of the indicative in English and of the subjunctive in Romance languages such as Spanish), the former signaling some kind of displacement from the context of utterance, as observed in Stalnaker’s seminal work. Analyses of subjunctive conditionals in English largely fall into two groups: the ‘past-as-modal’ view and the “past-as-past” view. The first one sees this shift from the context of utterance as either being a displacement from utterance time—giving rise to temporal readings of the past tense—or else as being a displacement from what is presupposed in context—giving rise to modal readings, such as counterfactuality. In other words, this kind of approach holds that the interpretation of the past subjunctive either involves the consideration of points (or intervals) of time or the consideration of possible worlds. The second view seeks an analysis of the past subjunctive as always being a temporal operator, even in cases in which it signals counterfactuality or other modal values. Neither of these views seem promising if we wish to enhance our understanding of the tense system of the subjunctive in Portuguese. In this language, in addition to the past and present, there is also a future tense of the subjunctive; no temporal difference being observable between the present and future tenses, nor is it the case that some modal value is associated with one but not the other of these forms.
The proposal made in this paper differs from both the ‘past-as-past’ view, rejecting the assumption that verbal tenses are simply temporal operators, and the ‘past-as-modal’ view, discarding the idea that each verbal tense either has a temporal or a modal interpretation. Instead, the proposal was made that subjunctive verbal tenses are devices to indicate the logical space that is to be taken into consideration in the interpretation of the sentence. A logical space is conceived of as a set of ordered pairs of times and worlds. Both the present and the future tenses of the subjunctive point to a logical space that includes the pair <w0,t0>, thus being deictic tenses, while the past subjunctive points to a logical space that might not include the pair <w0,t0>. Additionally, Portuguese, unlike other Romance languages, has two non-past tenses, one of them signaling that the entire logical space is to be taken into consideration. Hence, the subjunctive tenses of Portuguese are complementary. They are marks that guide the listener in interpreting the sentence by indicating to him/her which logical space is to be considered. From the point of view of the speaker, the system of subjunctive tenses of Portuguese can be understood through the following questions. (1) Do I want the hearer to consider a logical space that necessarily includes <w0,t0>? If no, use the past subjunctive; if yes, proceed to the second question. (2) Do I want the hearer to consider the entire logical space (i.e., does the tense occur in a sentence that is a restrictor in a tripartite quantificational structure)? If yes, use the future subjunctive; if not, use the present subjunctive.
Prior to these questions, the speaker has to consider another one: should I use the indicative or the subjunctive mood? This question has been the focus of much literature, and currently there seems to be a consensus that the subjunctive mood signals the consideration of possible worlds in which the subjunctive clause is false. That is, the Modal Base (or Model of Evaluation; see, for example, Giannakidou and Mari 2021) against which the subjunctive clause is evaluated contains non-p worlds. Given that the same morpheme expresses mood and tense, it makes sense that the subjunctive morphemes point to pairs of possible worlds and times, as proposed in this paper. That is, an analysis along these lines better aligns with the evidence that, in Portuguese as in other languages, mood and tense are conveyed by the same morpheme (i.e., it is not the case that there is one morpheme of tense and another of mood) than an analysis that separates temporal and modal interpretations of verbal tenses.
Given that only subjunctive tenses were considered in this paper, the question emerges as to whether tenses of other moods also indicate pairs of times and worlds, not just points (or intervals) of time. Though I remain agnostic about this question, I see no reason in principle to exclude this possibility. In the case of the indicative tenses, it might just be the case that, in most instances, only one world is considered in the interpretation of indicative clauses and, therefore, it is useless to consider the w variable of the ordered pairs <w,t>. Whether an analysis departing from this assumption is tenable and might be useful to understand modal values of verbal tenses other than those considered in this paper is a matter for further discussion.

Funding

This research was funded by Portuguese national funds through Fundação para a Ciência e a Tecnologia, under project UIDB/00214/2020 (https://doi.org/10.54499/UIDB/00214/2020 accessed on 24 July 2024).

Institutional Review Board Statement

Not applicable.

Informed Consent Statement

Not applicable.

Data Availability Statement

The original contributions presented in the study are included in the article, further inquiries can be directed to the corresponding author.

Conflicts of Interest

The author declares no conflict of interest.

Notes

1
Also called Futuro do Pretérito (“Future of the Past”).
2
Adapted from an example of (Karttunen and Peters 1979).
3
Iatridou (2000) and, more emphatically, (von Fintel and Iatridou 2023) also observe that the issue is not restricted to conditionals.
4
She uses the term “Imperfect”.
5
As, for example, von Fintel and Iatridou observe, both the terms “subjunctive conditionals” and “counterfactual conditionals” are misleading. I will keep using the terms indicative/subjunctive conditionals only for simplicity.
6
As a reviewer observes, this raises the following questions: how does this explain why the future subjunctive occurs in some if-clauses but not in other conditional clauses, such as (10a)—O que devo dizer caso alguém pergunte por ti? (“What should I say in case someone askes for you?”)? And why does the future subjunctive occur in temporal clauses introduced by assim que (“as soon as”), as shown by (17a)—Com este buraco na telha, assim que chover a cozinha fica inundada! (“With this hole in the roof tile, the kitchen will get flooded as soon as it rains!”)—but is ruled out of temporal clauses introduced by logo que, which seems to have the same meaning as assim que? Concerning conditional clauses, I propose that if-clauses are restrictors of a quantificational domain, as assumed in the literature and stated above, while conditional clauses introduced by caso (lit. “case”) have a free-choice interpretation. That is, “se-p, (então) q” (“if-p, (then) q”) indicates that every p-world doxastically accessible from the context of utterance is a q-world, while “caso-p, q” (lit., “case-p, q”) indicates the following: if we pick up any p-world doxastically accessible from the context of utterance, such a world will be a q-world. Thus, in if-clauses, the whole set of p-worlds doxastically available is taken into account, and hence the future subjunctive will occur, unlike in case-clauses, caso (“case”) being a free-choice item. In other words, the present subjunctive occurs in case-conditionals and the future subjunctive will occur in if-clauses for the same reason that the present subjunctive occurs in relative clauses in cases such as qualquer estudante que se inscreva_1sg_subj_pres (“any student that assigns”), with the free-choice item qualquer (“any”), and future subjunctive occurs in relative clauses in cases such as os estudantes que se inscreverem_3pl_subj_fut (“the students that assign”), wherein the entire set of students that assign is considered. As for temporal clauses with logo (+subj_pres) and assim que (+subj_fut), both operators can be translated by as soon as, but I think that there is a subtle difference between the meanings of these temporal operators. My intuition is that “p assim que q” (“p as soon as q”) expresses temporal ordenation, and “p logo que q” (“p immediately after q”) expresses the ordenation of events. More precisely, I believe that the former is equivalent to “the moment at which p, q”, expressing contiguity between the temporal location of p and that of q, while “p logo que q” indicates that between the events p and q, there is no other relevant event. Thus, telefono ao médico assim que receber_1sg_fut_subj os resultados das análises (I will phone the doctor as soon as I receive the results of the analyses) indicates that the time of the phone call will immediately follow the reception of the results, while telefono ao médico logo que receba_1sg_subj_pres os resultados das análises means that the first thing to be done after receiving the results of the analyses is phoning the doctor (between p and q, there will be no other relevant event, but this does not imply that the phone call will be made immediately after receiving the results; maybe the speaker will first wait a while, or maybe (s)he will have a glass of water, take a break, or perform some other action that is irrelevant to the context of the test results). If this is so, then “p assim que q” will involve universal quantification over the single set formed by the time at which the results are received (being equivalent to “p at the moment which q”), while “p logo que q” will express the ordering of events, but no universal quantification. In other words, “p asim que q” is of the same kind as when, and “p logo que q” is of the same kind as after.
7
Or of the domain of quantification (see von Fintel 1998).
8
Some authors, such as Godard (2012) and Giannakidou and Mari (2021), propose that the subjunctive signals the consideration of both p and non-p worlds, the indicative occurring if only p or only non-p worlds are taken into consideration; others, such as Marques (2024), argue that the subjunctive signals the consideration of non-p worlds, regardless of whether p-worlds are also taken into consideration or not.

References

  1. Ambar, Manuela. 1992. Temps et structure de la phrase en portugais. In Structure de la Phrase et Théorie du Liage. Edited by Hans Obenhauer and Anne Zribi-Hertz. Saint-Denis: Presses Universitaires de Vincennes, pp. 29–49. [Google Scholar]
  2. Arregui, Ana. 2005. On the Accessibility of Possible Worlds: The Role of Tense and Aspect. Ph.D. thesis, University of Massachusetts at Amherst, Amherst, MA, USA. Available online: https://scholarworks.umass.edu/dissertations/AAI3163647 (accessed on 24 July 2024).
  3. Arregui, Ana. 2007. When aspect matters: The case of would-conditionals. Natural Language Semantics 15: 221–64. [Google Scholar] [CrossRef]
  4. Barwise, John, and Robin Cooper. 1981. Generalized Quantifiers and Natural Language. Linguistics and Philosophy 4: 159–219. [Google Scholar] [CrossRef]
  5. Cunha, Luís Filipe. 2023. Towards a unified analysis of past and future tenses: The case of European Portuguese. Isogloss 9: 1–38. [Google Scholar] [CrossRef]
  6. Dowty, David. 1986. The effects of aspectual class on the temporal structure of discourse: Semantics or pragmatics? Linguistics and Philosophy 9: 37–61. [Google Scholar] [CrossRef]
  7. Gennari, Silvia. 1999. Tense, Aktionsart and Sequence of Tense. In Empirical Issues in Formal Syntax and Semantics. Edited by Fraçois Corblin, Carmen Dobrovie-Sorin and Jean-Marie Marandin. Berne: Peter Lang, vol. II, pp. 309–32. [Google Scholar]
  8. Gennari, Silvia. 2002. Spanish past and future tenses: Less (semantics) is more. In From Words to Discourse: Trends in Spanish Semantics and Pragmatics. Edited by Javier Gutiérrez-Rexach. Oxford and New York: Elsevier Science, pp. 21–36. [Google Scholar]
  9. Giannakidou, Anastasia, and Alda Mari. 2016. Epistemic Future and Epistemic MUST: Nonveridicality, Evidence, and Partial Knowledge. Mood, Aspet and Modality Revisited: New Answers to Old Questions. Edited by Joanna Blaszczak, Anastasia Giannakidou, Dorota Klimek-Jankowska and Krzysztof Migdalski. Chicago: The University of Chicago Press, pp. 75–117. [Google Scholar]
  10. Giannakidou, Anastasia, and Alda Mari. 2021. Truth and Veridicality in Grammar and Thought. Chicago: The University of Chicago Press. [Google Scholar]
  11. Godard, Danièle. 2012. Indicative and subjunctive mood in complement clauses: From formal semantics to grammar writing. In Empirical Issues in Syntax and Semantics. Edited by Christopher Piñón. Paris: CSSP, vol. 9, pp. 129–48. [Google Scholar]
  12. Iatridou, Sabine. 2000. The grammatical ingredients of counterfactuality. Linguistic Inquiry 31: 231–70. [Google Scholar] [CrossRef]
  13. Ippolito, Michela. 2003. Presuppositions and implicatures in counterfactuals. Natural Language Semantics 11: 145–86. [Google Scholar] [CrossRef]
  14. Ippolito, Michela. 2004. Imperfect Modality. In The Syntax of Time. Edited by Jacqueline Guéron and Jacqueline Lecarme. Cambridge: MIT Press, pp. 359–87. [Google Scholar]
  15. Ippolito, Michela. 2013. Subjunctive Conditionals: A Linguistic Analysis. Cambridge: The MIT Press. [Google Scholar]
  16. Kamp, Hans, and Uwe Reyle. 1993. From Discourse to Logic. Introduction to Modeltheoretic Semantics of Natural Language, Formal Logic and Discourse Representation Theory. Dordrecht: Kluwer. [Google Scholar]
  17. Karttunen, Lauri, and Stanley Peters. 1979. Conventional Implicature. Implicature. In Syntax and Semantics. Edited by Choon-Kyu Oh and David A. Dinneen. New York: Academic Press, vol. 11, pp. 1–56. [Google Scholar]
  18. Khoo, Justin. 2015. On indicative and subjunctive conditionals. Philosophers’ Imprint 15: 32. [Google Scholar]
  19. Khoo, Justin. 2022. The Meaning of If. New York: Oxford University Press. [Google Scholar]
  20. Laca, Brenda. 2010. Mood in Spanish. In Mood in the Languages of Europe. Edited by Björn Rothstein and Rolf Thieroff. Amsterdam: John Benjamins, pp. 198–220. [Google Scholar]
  21. Levinson, Stephen. 1983. Pragmatics. Cambridge: Cambridge University Press. [Google Scholar]
  22. Mackay, John. 2019. Modal interpretation of tense in subjunctive conditionals. Semantics and Pragmatics 12: 1–34. [Google Scholar] [CrossRef]
  23. Mari, Alda. 2015. Modalités et Temps: Des Modèles aux Données. Lausanne: Peter Lang. [Google Scholar]
  24. Marques, Rui. 2024. Explaining the Subjunctive in factive contexts. Isogloss. Open Journal of Romance Linguistics 10: 1–27. [Google Scholar] [CrossRef]
  25. Marques, Rui, Purificação Silvano, Anabela Gonçalves, and Ana Lúcia Santos. 2015. Sequence of tenses in complementation structures: Lexical restrictions and effects on language acquisition. In Hispanic Linguistics at the Crossroads—Theoretical Linguistics, Language Acquisition and Language Contact. Edited by Rachel Klassen, Juana M. Liceras and Elena Valenzuela. Amsterdam and Philadelphia: John Bejamins, pp. 69–88. [Google Scholar]
  26. Paula, Bruno. 2020. Valores Semânticos e Pragmáticos do Pretérito Imperfeito do Indicativo em Português: Uma revisão e proposta de classificação. Unpublished Master’s thesis, Faculdade de Letras da Lisboa, Lisbon, Portugal. [Google Scholar]
  27. Peres, João. 1993. Towards an Integrated View of the Expression of Time in Portuguese. In Cadernos de Semântica. Lisbon: Faculdade de Letras da Universidade de Lisboa, vol. 14. [Google Scholar]
  28. Peres, João. 2013. Semântica do Sintagma Nominal. In Gramática do Português. Edited by Eduardo Paiva Raposo, Maria Fernanda Bacelar do Nascimento, Maria Antónia Coelho da Mota, Luísa Segura and Amália Mendes. Lisboa: F. Calouste Gulbenkian, pp. 735–815. [Google Scholar]
  29. Picallo, Carmen. 1984. The Infl node and the Null Subject Parameter. Linguistic Inquiry 15: 75–102. [Google Scholar]
  30. Raposo, Eduardo. 1987. Case Theory and Infl-to-Comp: The inflected infinitive in European Portuguese. Linguistic Inquiry 18: 85–109. [Google Scholar]
  31. Romero, Maribel. 2014. ‘Fake tense’ in counterfactuals: A temporal remoteness approach. In The Art and Craft of Semantics: A Festschrift for Irene Heim. Edited by Luka Crnič and Uli Sauerland. MIT Working Papers in Linguistics. Cambridge: The MIT Press, vol. 2, pp. 47–63. [Google Scholar]
  32. Schulz, Katrin. 2014. Fake tense in conditional sentences: A modal approach. Natural Language Semantics 22: 117–44. [Google Scholar] [CrossRef]
  33. Stalnaker, Robert. 1968. A theory of conditionals. In Studies in Logical Theory. American Philosophical Quarterly Monograph Series 2; Edited by Nicholas Rescher. Oxford: Blackwell, pp. 98–112. [Google Scholar]
  34. Stalnaker, Robert. 1975. Indicative conditionals. Philosophia 5: 269–86. [Google Scholar] [CrossRef]
  35. Stalnaker, Robert. 2014. Context. Oxford: Oxford University Press. [Google Scholar]
  36. Vogel, Roos. 1997. Aspects of Tense. Ph.D. dissertation, Holland Academic Graphics, The Hague, The Netherland. [Google Scholar]
  37. von Fintel, Kai. 1994. Restrictions on Quantifier Domains. Ph.D. dissertation, MIT, Cambridge, MA, USA. [Google Scholar]
  38. von Fintel, Kai. 1998. The presupposition of subjunctive conditionals. In The Interpretive Tract. Edited by Uli Sauerland and Orin Percus. MIT Working Papers in Linguistics. Cambridge: The MIT Press, vol. 25, pp. 29–44. [Google Scholar]
  39. von Fintel, Kai, and Sabine Iatridou. 2023. Prolegomena to a theory of X-marking. Linguistics and Philosophy 46: 1467–510. [Google Scholar] [CrossRef]
  40. Werner, Tim. 2006. Future and non-future modal sentences. Natural Language Semantics 14: 235–55. [Google Scholar] [CrossRef]
Figure 1. Pairs of possible worlds and times.
Figure 1. Pairs of possible worlds and times.
Languages 09 00334 g001
Figure 2. Branched future.
Figure 2. Branched future.
Languages 09 00334 g002
Table 1. Subjunctive tenses in Portuguese.
Table 1. Subjunctive tenses in Portuguese.
Simple TensesCompound Tenses
Pretérito Imperfeito
(“Past Imperfect”)
tivesse
Pretérito Mais-Que-Perfeito
(lit. “Past more-than-Perfect”)
tivesse tido
Presente
(“Present”)
tenha
Pretérito Perfeito
(“Past Perfect”)
tenha tido
Futuro Imperfeito
(“Imperfect Future”)
tiver
Futuro Composto
(“Perfect Future”)
tiver tido
Table 2. Tripartite structures of quantification.
Table 2. Tripartite structures of quantification.
OperatorRestrictorNuclear Scope
AllRelative clauseNoun
AlwaysTemporal clauseMain clause
MustConditional clauseMain clause
Disclaimer/Publisher’s Note: The statements, opinions and data contained in all publications are solely those of the individual author(s) and contributor(s) and not of MDPI and/or the editor(s). MDPI and/or the editor(s) disclaim responsibility for any injury to people or property resulting from any ideas, methods, instructions or products referred to in the content.

Share and Cite

MDPI and ACS Style

Marques, R. Logical Spaces and Subjunctive Tenses. Languages 2024, 9, 334. https://doi.org/10.3390/languages9110334

AMA Style

Marques R. Logical Spaces and Subjunctive Tenses. Languages. 2024; 9(11):334. https://doi.org/10.3390/languages9110334

Chicago/Turabian Style

Marques, Rui. 2024. "Logical Spaces and Subjunctive Tenses" Languages 9, no. 11: 334. https://doi.org/10.3390/languages9110334

APA Style

Marques, R. (2024). Logical Spaces and Subjunctive Tenses. Languages, 9(11), 334. https://doi.org/10.3390/languages9110334

Article Metrics

Back to TopTop