Performance Evaluation of Multiflight Ground Handling Process
Abstract
1. Introduction
2. Materials and Methods
2.1. Frame of FGHP
- Certain synchronization and short-term continuity exist in the three operations of on/off block, bridge docking/withdrawal and opening/closing cabin (cargo) door. Thus, they are regarded as one node.
- The coupling effect is not considered, and the propagation effect of the guarantee resource allocation and scheduling is ignored generally because the initial moment of each ground handling node is greatly affected by external factors and cannot directly reflect the evolution of the entire process.
- The adjustment and correction of the FGHP of the dynamic queue sequencing of the ATC tower flight arrival/departure are not considered.
2.2. Time Prediction of FGHP Node
| Algorithm 1: Time prediction of FGHP nodes | |
| Input: Historical sample space , total number of samples , attribute set of pending FGHP node time prediction | |
| Output: FGHP node time prediction | |
| 1 | Initialize the sample space and the number of samples for the predicting FGHP; |
| 2 | , ; |
| 3 | While do |
| 4 | ; /*assign the attribute of sample in to */ |
| 5 | if |
| 6 | ;/*select same attributes samples */ |
| 7 | ; |
| 8 | end if |
| 9 | return ; |
| 10 | end while /*generate the probabilistic inference sample space*/ |
| 11 | for /*loop for each node*/ |
| 12 | for |
| 13 | /*extract sample set of each node*/ |
| 14 | /*updating node probability model*/ |
| 15 | end for |
| 16 | Probabilistic reasoning based on Bayesian network of FGHP; |
| 17 | /*maximize the conditional probability node of FGHP as predicted result*/ |
| 18 | |
| 19 | end for |
| 20 | return |
3. Dynamic Performance Evaluation Methods
3.1. Structure of Performance Evaluation System for Multi-FGHP
- Flight landings must be taxied to the designated stands strictly in accordance with the assigned path.
- The handover time or waiting time of the same piece of equipment in the same ground handling node is not considered in the performance evaluation method of multi-FGHP.
- Airport ground handling resource allocation, routing and scheduling are idealized.
3.2. Performance Evaluation of Single FGHP
3.3. Multi-FGHP Performance Evaluation Methods
4. Experimental Results
4.1. Dataset and Settings
- Fields with many vacancies and illogical and duplicate datasets are deleted, and datasets with one or two missing fields are complemented according to the time expectations of FGHP nodes.
- Inbound, ground and outbound handling datasets are linked and merged, and shared flight datasets are integrated according to the assigned airline.
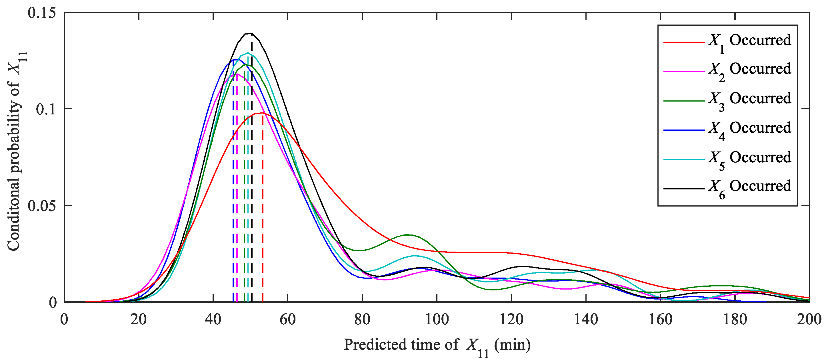
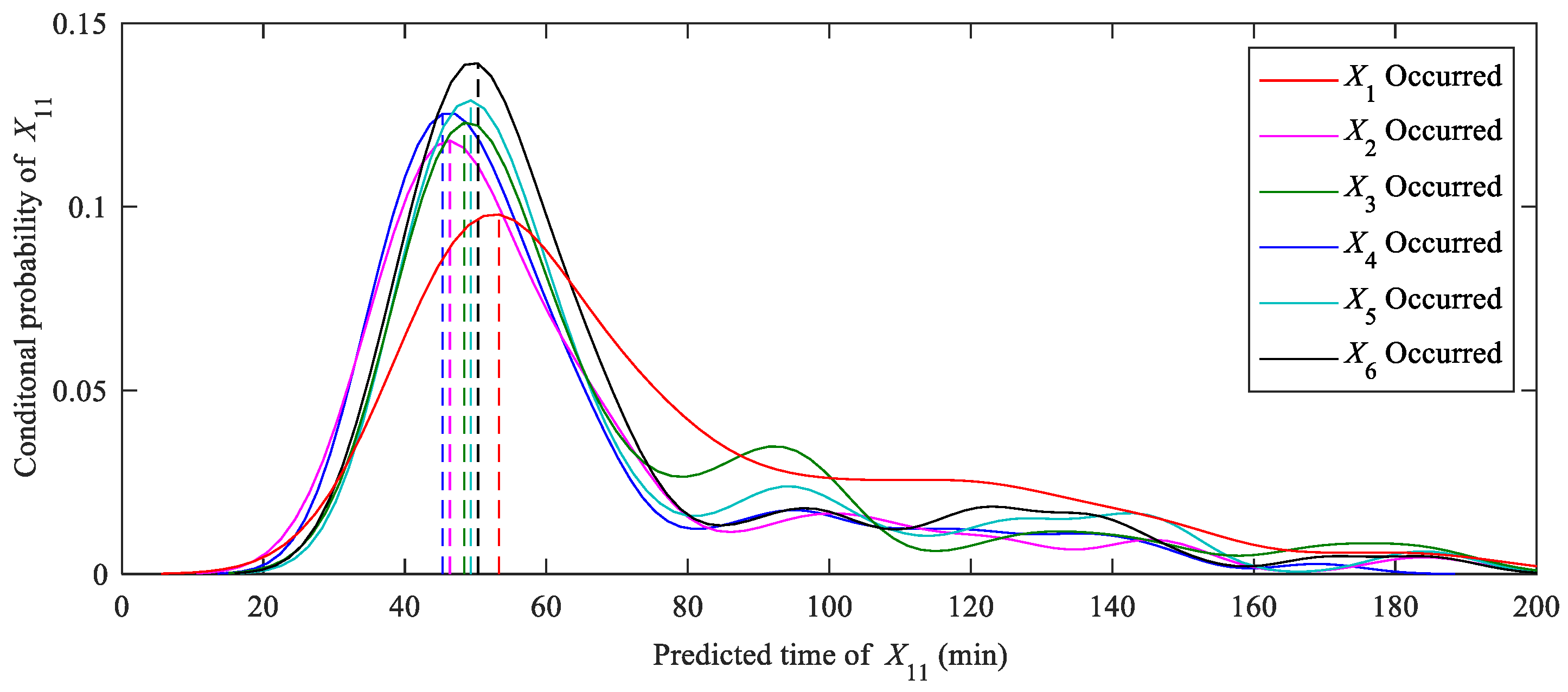
4.2. Results
5. Conclusions
Author Contributions
Funding
Institutional Review Board Statement
Informed Consent Statement
Data Availability Statement
Conflicts of Interest
References
- A-CDM Milestones, Mainly the Target off Block Time (TOBT). Available online: http://www.eurocontrol.int/articles/air-port-collaborative-decision-making-cdm (accessed on 10 July 2021).
- Corrigan, S.; Mårtensson, L.; Kay, A.; Okwir, S.; Ulfvengren, P.; McDonald, N. Preparing for airport collaborative decision making (A-CDM) implementation: An evaluation and recommendations. Cog. Technol. Work. 2015, 17, 207–218. [Google Scholar] [CrossRef]
- Wei, K.J.; Vikrant, V.; Alexandre, J. Airline timetable development and fleet assignment incorporating passenger choice. Transp. Sci. 2020, 54, 139–163. [Google Scholar]
- Jung, Y.; Hoang, T.; Montoya, J.; Gupta, G.; Malik, W.; Tobias, L.; Wang, H. Performance evaluation of a surface traffic management tool for Dallas/Fort Worth International Airport. In Proceedings of the 9th USA/Europe Air Traffic Management Research and Development Seminar, (ATM2011), Berlin, Germany, 14–17 June 2011; The European Organization for the Safety of Air Navigation: Brussels, Belgium, 2013; pp. 321–330. [Google Scholar]
- Fricke, H.; Schultz, M. Turnaround performance evaluation for optimal time buffering. Inter. Rev. Aero. Eng. 2009, 2, 12–20. [Google Scholar]
- Ip, W.H.; Wang, D.; Cho, V. Aircraft ground service scheduling problems and their genetic algorithm with hybrid assignment and sequence encoding scheme. IEEE Syst. J. 2013, 7, 649–657. [Google Scholar]
- Mitra, S.; Savvides, M.; Brockwell, A. Statistical performance evaluation of biometric authentication systems using random effects models. IEEE Trans. Patt. Anal. Mach. Intell. 2007, 29, 517–530. [Google Scholar] [CrossRef]
- Simaiakis, I.; Sandberg, M.; Balakrishnan, H. Dynamic control of airport departures: Algorithm development and field evaluation. IEEE Trans. Intell. Transp. Syst. 2014, 15, 285–295. [Google Scholar] [CrossRef]
- Simaiakis, I.; Balakrishnan, H. A queuing model of the airport departure process. Transp. Sci. 2016, 50, 94–109. [Google Scholar] [CrossRef]
- Sandberg, M.; Simaiakis, I.; Balakrishnan, H.; Reynolds, T.G.; Hansman, R.J. A decision support tool for the pushback rate control of airport departures. IEEE Trans. Hum-Mach. Syst. 2014, 44, 416–421. [Google Scholar]
- Chati, Y.S.; Hamsa, B. Modelling of aircraft take-off weight using Gaussian processes. Air Traf. Cont. Quar. 2018, 26, 70–79. [Google Scholar]
- Peng, Q.; Wan, L.; Zhang, T.; Wang, Z.; Tian, Y. A system dynamics prediction model of airport environmental carrying capacity: Airport development mode planning and case study. Aerospace 2021, 8, 397. [Google Scholar] [CrossRef]
- Li, M.Z.; Megan, S.R.; Hamsa, B. Topological data analysis for aviation applications. Transp. Res. E Log. Transp. Rev. 2019, 128, 149–174. [Google Scholar] [CrossRef]
- Noboru, T. Adaptive prediction of flight time uncertainty for ground-based 4D trajectory management. Transp. Res. C Emerg. Technol. 2018, 95, 335–345. [Google Scholar]
- Sharpanskykh, A.; Haest, R. An agent-based model to study compliance with safety regulations at an airline ground service organization. Appl. Intell. 2016, 45, 881–903. [Google Scholar] [CrossRef][Green Version]
- Hossain, M.M.; Alam, S.; Delahaye, D. An evolutionary computational framework for capacity-safety trade-off in an air transportation network. Chin. J. Aero. 2019, 32, 233–244. [Google Scholar] [CrossRef]
- Chen, D.; Ahn, S. Capacity-drop at extended bottlenecks: Merge, diverge, and weave. Transp. Res. B Meth. 2018, 108, 1–20. [Google Scholar] [CrossRef]
- Caterina, M.; Luca, M.; Vasco, R. Aircraft turnaround and industrial actions: How ground handlers’ strikes affect airport airside operational efficiency. J. Air Transp. Manag. 2019, 78, 23–32. [Google Scholar]
- Türeli, N.Ş.; Durmaz, V.; Bahçecik, Y.S.; Akay, S.S. An analysis of importance of innovative behaviors of ground handling human resources in ensuring customer satisfaction. Proc. Comp. Sci. 2019, 158, 1077–1087. [Google Scholar] [CrossRef]
- Postorino, M.N.; Mantecchini, L.; Malandri, C.; Paganelli, F. A methodological framework to evaluate the impact of disruptions on airport turnaround operations: A case study. Case Stud. Transp. Pol. 2020, 8, 429–439. [Google Scholar] [CrossRef]
- Naganawa, J.; Miyazaki, H.; Tajima, H. Measurement-based evaluation on detection probability of extended squitter for air-to-ground surveillance. IEEE Trans. Vehic. Technol. 2017, 66, 8883–8894. [Google Scholar] [CrossRef]
- Mota, M.M.; Boosten, G.; De Bock, N.; Jimenez, E.; de Sousa, J.P. Simulation-based turnaround evaluation for Lelystad Airport. J. Air Transp. Manag. 2017, 64, 21–32. [Google Scholar] [CrossRef]
- Mekić, A.; Mohammadi Ziabari, S.S.; Sharpanskykh, A. Systemic Agent-Based Modeling and Analysis of Passenger Discretionary Activities in Airport Terminals. Aerospace 2021, 8, 162. [Google Scholar] [CrossRef]
- Barratt, S.T.; Kochenderfer, M.J.; Boyd, S.P. Learning probabilistic trajectory models of aircraft in terminal airspace from position data. IEEE Trans. Intell. Transp. Syst. 2018, 9, 3536–3545. [Google Scholar] [CrossRef]
- Tang, F.; Liu, S. Research of aircraft ground service scheduling problems. In Proceedings of the Chinese Control and Decision Conference, Yinchuan, China, 1 May 2016; IEEE: Piscataway, NJ, USA; pp. 1–4. [Google Scholar]
- Luis, C.; Celis, D.R. Integrated airline planning: Robust update of scheduling and fleet balancing under demand uncertainty. Transp. Res. C Emer. Technol. 2017, 81, 227–245. [Google Scholar]
- International Air Transport Association. AHM 810; Standard Ground Handling Agreement. International Air Transport Association: Montréal, QC, Canada, 2013.
- Szabo, S.; Pilát, M.; Makó, S.; Korba, P.; Čičváková, M.; Kmec, L’. Increasing the efficiency of aircraft ground handling—A case study. Aerospace 2022, 9, 2. [Google Scholar] [CrossRef]
- ISO 10842; Aircraft Ground Service Connections—Locations and Types. ISO: Geneva, Switzerland, 2017.
- Wang, J.; Guo, H.; Bakker, M.; Tsui, K.-L. An integrated approach for surgery scheduling under uncertainty. Comp. Indus. Eng. 2018, 118, 1–8. [Google Scholar] [CrossRef]
- Cheung, T.K.-Y.; Wong, W.-H.; Zhang, A.; Wu, Y. Spatial panel model for examining airport relationships within multi-airport regions. Transp. Res. A Policy Pr. 2020, 133, 148–163. [Google Scholar] [CrossRef]
- Zhang, T.; Ding, M.; Zuo, H. Improved approach for time-based taxi trajectory planning towards conflict-free, efficient and fluent airport ground movement. IET Intell. Transp. Syst. 2018, 12, 1360–1368. [Google Scholar] [CrossRef]
- Contaldi, C.; Vafaee, F.; Nelson, P. Bayesian network hybrid learning using an elite-guided genetic algorithm. Arti. Intell. Rev. 2018, 293, 245–272. [Google Scholar] [CrossRef]
- Malandri, C.; Mantecchini, L.; Paganelli, F.; Postorino, M.N. Impacts of unplanned aircraft diversions on airport ground operations. Transp. Res. Proc. 2020, 47, 537–544. [Google Scholar] [CrossRef]
- Cai, P.; Wang, Y.; Lu, G.; Chen, P.; Ding, C.; Sun, J. A spatiotemporal correlative k-nearest neighbor model for short-term traffic multistep forecasting. Transp. Res. C Emer. Technol. 2016, 62, 21–34. [Google Scholar] [CrossRef]
- Burgain, P.; Kim, S.H.; Feron, E. Valuating surface surveillance technology for collaborative multiple-spot control of airport departure operations. IEEE Trans. Intell. Transp. Syst. 2014, 15, 710–722. [Google Scholar] [CrossRef]









| Parameters | A320 Series | B737 Series |
|---|---|---|
| 0.1952 | 0.1876 | |
| 0.0056 | 0.0059 | |
| 23.9430 | 25.7765 | |
| 25.9954 | 27.3665 |
| Attributes | |
|---|---|
| flight number | MU2836 |
| date | 1 June 2019 |
| aircraft type | A320 |
| nature of airline | domestic short-haul routes |
| boarding | 244 |
| sorting of inbound | 6 |
| sorting of departure | 5 |
| Node | Actual Time | Converted Result (min) |
|---|---|---|
| 11:28 | 0.00 | |
| 11:37 | 9.00 | |
| 11:44 | 16.00 | |
| 11:56 | 28.00 | |
| 11:58 | 30.00 | |
| 11:45 | 17.00 | |
| 11:52 | 24.00 | |
| 12:03 | 35.00 | |
| 11:58 | 30.00 | |
| 11:51 | 23.00 | |
| 12:14 | 46.00 | |
| 12:20 | 50.00 |
| Attributes | |||||||||||
|---|---|---|---|---|---|---|---|---|---|---|---|
| A1 | 7.62 | 21.36 | 31.48 | 41.25 | 35.54 | 79.93 | 88.82 | 90.13 | 47.80 | 103.72 | 105.02 |
| A2 | 6.03 | 13.38 | 22.67 | 26.01 | 15.57 | 26.34 | 30.35 | 31.39 | 25.35 | 50.10 | 54.54 |
| A3 | 5.31 | 14.17 | 24.20 | 26.81 | 18.33 | 31.40 | 35.26 | 36.62 | 26.09 | 50.84 | 56.07 |
| A4 | 6.92 | 16.79 | 31.63 | 38.26 | 39.13 | 80.71 | 84.67 | 87.21 | 43.21 | 102.17 | 109.67 |
| A5 | 6.36 | 14.84 | 25.79 | 27.46 | 30.69 | 28.64 | 43.71 | 47.97 | 26.14 | 66.16 | 70.56 |
| A6 | 6.08 | 14.86 | 25.50 | 27.71 | 21.78 | 30.25 | 36.91 | 38.51 | 26.50 | 55.94 | 61.00 |
| A7 | 8.87 | 17.10 | 46.65 | 52.78 | 49.73 | 91.13 | 91.57 | 93.31 | 54.08 | 110.14 | 120.39 |
| A8 | 5.78 | 32.99 | 38.42 | 38.47 | 40.97 | 45.09 | 53.14 | 59.11 | 36.11 | 73.46 | 77.79 |
| A9 | 8.93 | 32.33 | 45.33 | 63.67 | 50.33 | 50.86 | 77.33 | 77.03 | 41.33 | 96.37 | 103.33 |
| A10 | 7.82 | 24.85 | 51.83 | 45.19 | 56.70 | 90.97 | 101.26 | 103.61 | 64.56 | 123.47 | 127.99 |
| A11 | 8.67 | 16.54 | 27.83 | 33.67 | 74.33 | 43.29 | 88.33 | 91.33 | 30.36 | 110.88 | 120.83 |
| A12 | 6.79 | 15.43 | 32.07 | 32.64 | 27.93 | 55.21 | 50.36 | 56.36 | 64.86 | 76.93 | 88.57 |
| Evolution of FGHP | Occurred | Occurred | Occurred | Occurred | Occurred | Occurred |
|---|---|---|---|---|---|---|
| of MU2836 | 0.7472 | 0.7187 | 0.7347 | 0.7132 | 0.6844 | 0.6979 |
| Flight | 3U8953 | HU7335 | MU2836 | MU2124 | FM9327 |
|---|---|---|---|---|---|
| for multi-FGHP | 0.6954 | 0.7582 | 0.6979 | 0.7235 | 0.5146 |
| Singularity | Delayed/Total | Average Punctuality | |
|---|---|---|---|
| 3 | 0.4738 | 1/5 | 0.8933 |
| 6 | 0.4256 | 1/7 | 0.8476 |
| 7 | 0.4766 | 1/6 | 0.8861 |
| 16 | 0.3721 | 2/6 | 0.8111 |
| 17 | 0.4801 | 1/4 | 0.8913 |
| 21 | 0.4998 | 0/6 | 1 |
| 22 | 0.4110 | 1/8 | 0.8833 |
Publisher’s Note: MDPI stays neutral with regard to jurisdictional claims in published maps and institutional affiliations. |
© 2022 by the authors. Licensee MDPI, Basel, Switzerland. This article is an open access article distributed under the terms and conditions of the Creative Commons Attribution (CC BY) license (https://creativecommons.org/licenses/by/4.0/).
Share and Cite
Li, B.; Wang, L.; Xing, Z.; Luo, Q. Performance Evaluation of Multiflight Ground Handling Process. Aerospace 2022, 9, 273. https://doi.org/10.3390/aerospace9050273
Li B, Wang L, Xing Z, Luo Q. Performance Evaluation of Multiflight Ground Handling Process. Aerospace. 2022; 9(5):273. https://doi.org/10.3390/aerospace9050273
Chicago/Turabian StyleLi, Biao, Liwen Wang, Zhiwei Xing, and Qian Luo. 2022. "Performance Evaluation of Multiflight Ground Handling Process" Aerospace 9, no. 5: 273. https://doi.org/10.3390/aerospace9050273
APA StyleLi, B., Wang, L., Xing, Z., & Luo, Q. (2022). Performance Evaluation of Multiflight Ground Handling Process. Aerospace, 9(5), 273. https://doi.org/10.3390/aerospace9050273

