Numerical Investigation on Particle Erosion Characteristics of the Elbow Pipe in Gas-Steam Ejection Power System
Abstract
1. Introduction
2. Engineering Problem Description
2.1. Structure and Working Condition
2.2. Material Parameter
3. Physical and Mathematical Modeling
3.1. Physical Model
3.2. Mathematical Model of Gas Phase
3.3. Mathematical Model of Particle Model
3.4. Mathematical Model of Solid Heat Transfer
3.5. Mathematical Model of Particle Erosion
4. Numerical Method and Validation
4.1. Numerical Method
4.2. Validation
4.2.1. Validation for Particle Erosion at Room Temperature
4.2.2. Validation for Heat Transfer in High Temperature Gas-Particle Flow
5. Result and Discussion
5.1. Influence of Temperature on Transient Erosion
5.2. Influence of Particle Size on Erosion
5.3. Influence of Inlet Condition
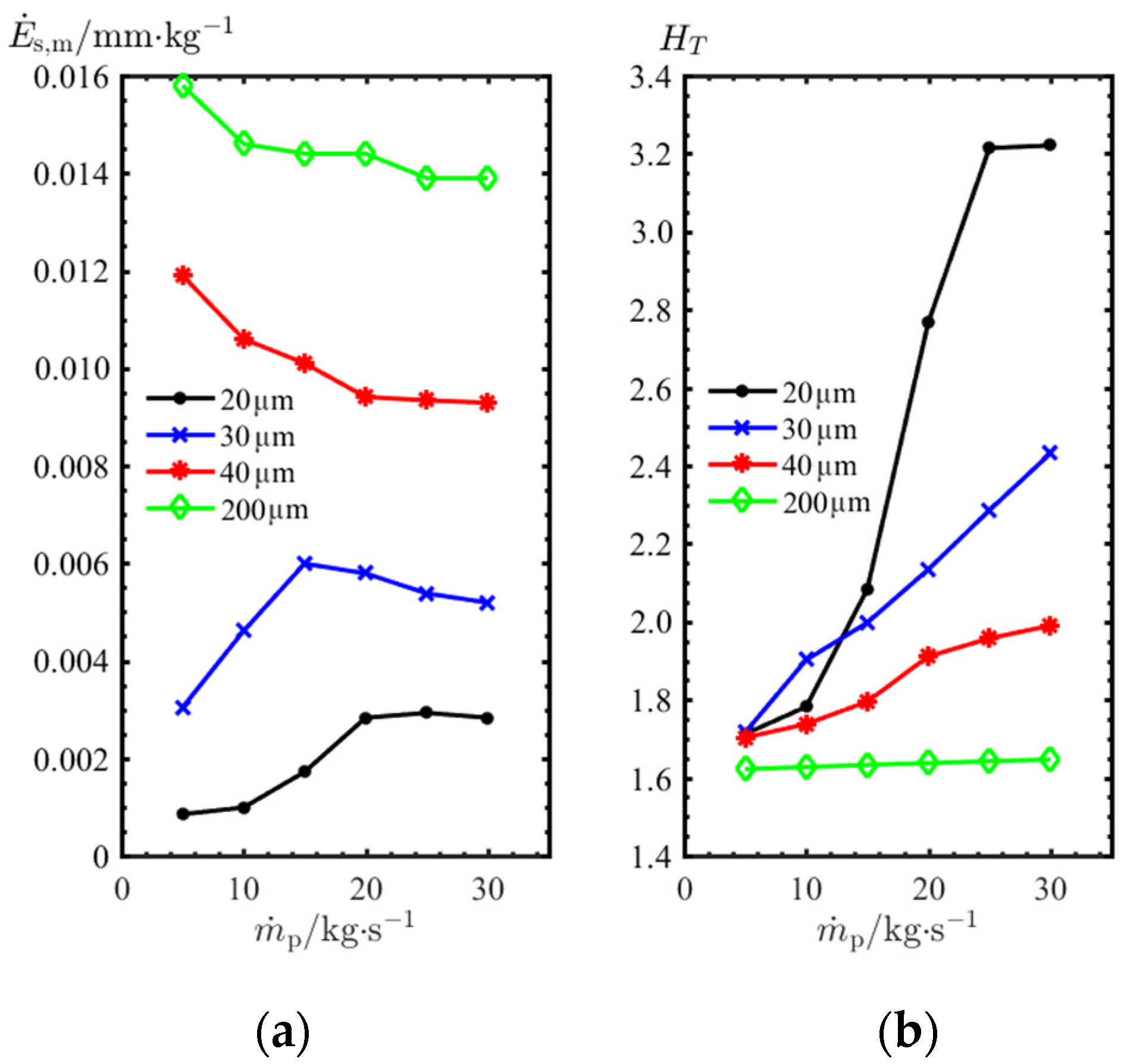
5.4. Influence of Mass Flow Rate of Particle
6. Conclusions
- By combining a discrete phase model with a flow-thermal coupling model and introducing wall temperature parameters into the erosion model, a modelling approach is developed to solve the problem of particle erosion in high temperature gas-particle flow, where the coupling of heat transfer and erosion has not been studied.
- As particle diameter increase from 8 µm to 300 µm, the maximum erosion position moves to the inlet, and the erosion increases first and then decreases, with the peak value 0.418 mm around 100 µm particle diameter.
- As the total inlet temperature and pressure decrease from 1473 K and 4 MPa to 1273 K and 3.5 MPa, the particle trajectory changes slightly. The location of maximum erosion depth remains unchanged. Meanwhile, the maximum erosion decreases by 20–30% while the particle velocity decreases.
- On the outside of the elbow pipe, particles generate two counter-rotating vortices whose intensity is affected by particle size and mass flow rate. Influenced by the two vortices, the erosion per unit mass flow rate changes with the particle mass flow rate, which can even be up to double when the particle diameter is below 40 µm.
Author Contributions
Funding
Institutional Review Board Statement
Informed Consent Statement
Data Availability Statement
Conflicts of Interest
References
- Hillebrecht, H.A. Submarine Missile Eject System. U.S. Patent 4643072, 17 February 1987. [Google Scholar]
- Finnie, I. Erosion of surfaces by solid particles. Wear 1960, 3, 87–103. [Google Scholar] [CrossRef]
- Bitter, J.G.A. A Study of Erosion Phenomena. Wear 1963, 6, 5–21. [Google Scholar] [CrossRef]
- Levy, A.V. The solid particle erosion behavior of steel as a function of microstructure. Wear 1981, 68, 269–287. [Google Scholar] [CrossRef]
- Parsi, M.; Najmi, K.; Najafifard, F.; Hassani, S.; McLaury, B.S.; Shirazi, S.A. A comprehensive review of solid particle erosion modeling for oil and gas wells and pipelines applications. J. Nat. Gas Sci. Eng. 2014, 21, 850–873. [Google Scholar] [CrossRef]
- Fan, J.; Zhou, D.; Jin, J.; Cen, K. Numerical simulation of tube erosion by particle impaction. Wear 1991, 142, 171–184. [Google Scholar]
- Jun, Y.D.; Tabakoff, W. Numerical Simulation of a Dilute Particulate Flow (Laminar) over Tube Banks. ASME J. Fluids Eng. 1994, 116, 770–777. [Google Scholar] [CrossRef]
- Edwards, J.K. Development, Validation, and Application of a Three-Dimensional, CFD-Based Erosion Prediction Procedure. Ph.D. Thesis, The University of Tulsa, Ann Arbor, MI, USA, 2000. [Google Scholar]
- Lee, B.E.; Fletcher, C.A.J.; Behnia, M. Computational study of solid particle erosion for a single tube in cross flow. Wear 2000, 240, 95–99. [Google Scholar] [CrossRef]
- Yu, W.; Fede, P.; Climent, E.; Sanders, S. Multi-fluid approach for the numerical prediction of wall erosion in an elbow. Powder Technol. 2019, 354, 561–583. [Google Scholar] [CrossRef]
- Karimi, S.; Shirazi, S.A.; McLaury, B.S. Predicting fine particle erosion utilizing computational fluid dynamics. Wear 2017, 376, 1130–1137. [Google Scholar] [CrossRef]
- Darihaki, F.; Zhang, J.; Vieira, R.E.; Shirazi, S.A. The near-wall treatment for solid particle erosion calculations with CFD under gas and liquid flow conditions in elbows. Adv. Powder Technol. 2021, 32, 1663–1676. [Google Scholar] [CrossRef]
- Duarte, C.A.R.; de Souza, F.J.; dos Santos, V.F. Numerical investigation of mass loading effects on elbow erosion. Powder Technol. 2015, 283, 593–606. [Google Scholar] [CrossRef]
- Xu, L.; Zhang, Q.; Zheng, J.; Zhao, Y. Numerical prediction of erosion in elbow based on CFD-DEM simulation. Powder Technol. 2016, 302, 236–246. [Google Scholar]
- Peng, W.; Cao, X. Numerical prediction of erosion distributions and solid particle trajectories in elbows for gas–solid flow. J. Nat. Gas Sci. Eng. 2016, 30, 455–470. [Google Scholar] [CrossRef]
- Zhao, X.; Cao, X.; Xie, Z.; Cao, H.; Wu, C.; Bian, J. Numerical study on the particle erosion of elbows mounted in series in the gas-solid flow. J. Nat. Gas Sci. Eng. 2022, 99, 104423. [Google Scholar] [CrossRef]
- Hong, B.; Li, X.; Li, Y.; Li, Y.; Yu, Y. Numerical Simulation of Elbow Erosion in Shale Gas Fields under Gas-Solid Two-Phase Flow. Energies 2021, 14, 3804. [Google Scholar] [CrossRef]
- Haider, G.; Othayq, M.; Zhang, J.; Vieira, R.E.; Shirazi, S.A. Effect of particle size on erosion measurements and predictions in annular flow for an elbow. Wear 2021, 476, 203579. [Google Scholar] [CrossRef]
- Thakre, P.; Rawat, R.; Clayton, R.; Yang, V. Mechanical erosion of graphite nozzle in solid-propellant rocket motor. J. Propuls. Power 2013, 29, 593–601. [Google Scholar] [CrossRef]
- Wirzberger, H.; Yaniv, S. Prediction of erosion in a solid rocket motor by alumina particles. In Proceedings of the 41st AIAA/ASME/SAE/ASEE Joint Propulsion Conference & Exhibit, Tucson, AZ, USA, 10–13 July 2005. [Google Scholar]
- Song, X.; Guan, K.; Peng, C.; Zeng, Q.; Liu, Y.; Wang, J.; Liu, J.; Li, J. A Dual-scale Model for Estimating the Ablation Rate of C/C Composite Nozzle. Appl. Compos. Mater. 2022, 29, 1653–1673. [Google Scholar] [CrossRef]
- Zhang, X.; Wang, Z.; Wang, R.; Lu, C.; Yu, R.; Tian, H. Numerical simulation of chemical ablation and mechanical erosion in hybrid rocket nozzle. Acta Astronaut. 2022, 192, 82–96. [Google Scholar] [CrossRef]
- Lan, R.; Tan, H.; Zhang, Z. Numerical Simulation of Gas-particle Flow in Solid Rocket Motor and Erosion Damage in Launch Container. Tactical Missile Technol. 2017, 38, 84–91. [Google Scholar]
- Wagner, W.; Cooper, J.R.; Dittmann, A.; Takaishi, Y.; Tanishita, I. The IAPWS Industrial Formulation 1997 for the Thermodynamic Properties of Water and Steam. J. Eng. Gas Turbines Power 2000, 122, 150–184. [Google Scholar] [CrossRef]
- Schiller, L.; Naumann, A. A drag coefficient correlation. Zeit. Ver. Deutsch. Ing. 1933, 77, 318–320. [Google Scholar]
- Grant, G.; Tabakoff, W. Erosion prediction in turbomachinery resulting from environmental solid particles. J. Aircr. 1975, 12, 471–478. [Google Scholar] [CrossRef]
- Ranz, W.E.; Marshall, W.R. Evaporation from Droplets: Part I and II. Chem. Eng. Prog. 1952, 48, 141–173. [Google Scholar]
- Li, J.; Mason, D.J. A computational investigation of transient heat transfer in pneumatic transport of granular particles. Powder Technol. 2000, 112, 273–282. [Google Scholar] [CrossRef]
- Rousta, F.; Lessani, B. Near-Wall heat transfer of solid particles in particle-laden turbulent flows. Int. Commun. Heat Mass Transf. 2020, 112, 104475. [Google Scholar] [CrossRef]
- Zhang, Y.; Reuterfors, E.P.; McLaury, B.S.; Rybicki, E.F. Comparison of computed and measured particle velocities and erosion in water and air flows. Wear 2007, 263, 330–338. [Google Scholar] [CrossRef]
- Oka, Y.I.; Okamura, K.; Yoshida, T. Practical estimation of erosion damage caused by solid particle impact: Part 1: Effects of impact parameters on a predictive equation. Wear 2005, 259, 95–101. [Google Scholar] [CrossRef]
- Oka, Y.I.; Yoshida, T. Practical estimation of erosion damage caused by solid particle impact: Part 2: Mechanical properties of materials directly associated with erosion damage. Wear 2005, 259, 102–109. [Google Scholar] [CrossRef]
- Das, S.K.; Mandal, D.; Sahoo, K.L. Neural modeling and experimental investigation of the erosion characteristics of boiler grade steels impacted by fly ash. J. Mater. Eng. Perform. 2015, 24, 3513–3526. [Google Scholar] [CrossRef]
- Uzi, A.; Levy, A. On the relationship between erosion, energy dissipation and particle size. Wear 2019, 428, 404–416. [Google Scholar] [CrossRef]
- Menter, F.R. Two-equation eddy-viscosity turbulence models for engineering applications. AIAA J. 1994, 32, 1598–1605. [Google Scholar] [CrossRef]
- Yang, L.; Gao, Y.; Zhu, P.; Zou, Y.; Dong, Z. Study on heat transfer model of roughness wall in supersonic two-phase flow of solid rocket motor. Int. Commun. Heat Mass Transf. 2022, 138, 106319. [Google Scholar] [CrossRef]
- Solnordal, C.B.; Wong, C.Y.; Boulanger, J. An experimental and numerical analysis of erosion caused by sand pneumatically conveyed through a standard pipe elbow. Wear 2015, 336, 43–57. [Google Scholar] [CrossRef]
- Wang, Q.; Huang, Q.; Wang, N.; Wen, Y.; Ba, X. An experimental and numerical study of slurry erosion behavior in a horizontal elbow and elbows in series. Eng. Fail. Anal. 2021, 130, 105779. [Google Scholar] [CrossRef]
- Vieira, R.E.; Mansouri, A.; McLaury, B.S.; Shirazi, S.A. Experimental and computational study of erosion in elbows due to sand particles in air flow. Powder Technol. 2016, 288, 339–353. [Google Scholar] [CrossRef]
- Liu, Z.; Li, S.; Liu, M.; Guan, D.; Sui, X.; Wang, N. Experimental investigation of the combustion products in an aluminised solid propellant. Acta Astronaut. 2017, 133, 136–144. [Google Scholar]
- Li, Z.; Wang, N.; Shi, B.; Yang, R. Effects of particle size on two-phase flow loss in aluminized solid rocket motors. Acta Astronaut. 2019, 159, 33–40. [Google Scholar] [CrossRef]
- Vester, A.K.; Orlu, R.; Alfredsson, P.H. Turbulent flows in curved pipes: Recent advances in experiments and simulations. Appl. Mech. Rev. 2016, 68, 050802. [Google Scholar] [CrossRef]
- Liang, C.; Sun, M.; Huang, Y.; Xiong, D.; Yu, J.; Yang, Y.; Wang, H.; Sun, Y.; Ma, G. Mechanism of development of turbulent boundary layer in a curved circular pipe under supersonic conditions. AIP Adv. 2022, 12, 035039. [Google Scholar] [CrossRef]



























| C | Si | Mn | Cr | Mo | V | P | S | Cu |
|---|---|---|---|---|---|---|---|---|
| 0.12 | 0.17–0.37 | 0.4–0.7 | 1 | 0.25–0.35 | 0.15–0.3 | <0.35 | <0.35 | <0.25 |
| Materials | /Wm−1K−1 | /Jkg−1K−1 | /kgm−3 | ||||||
|---|---|---|---|---|---|---|---|---|---|
| 12Cr1MoV | 293K | 473K | 673K | 873K | 293K | 473K | 673K | 873K | 7860 |
| 45.2 | 45.2 | 40.5 | 35.5 | 560 | 586 | 653 | 729 | ||
| Mesh Size at Fluid-Solid Interface/mm | Wall Temperature/K |
|---|---|
| 0.18 | 522.3 |
| 0.36 | 520.7 |
| 0.09 | 522.9 |
Publisher’s Note: MDPI stays neutral with regard to jurisdictional claims in published maps and institutional affiliations. |
© 2022 by the authors. Licensee MDPI, Basel, Switzerland. This article is an open access article distributed under the terms and conditions of the Creative Commons Attribution (CC BY) license (https://creativecommons.org/licenses/by/4.0/).
Share and Cite
Chen, Q.; Liang, G. Numerical Investigation on Particle Erosion Characteristics of the Elbow Pipe in Gas-Steam Ejection Power System. Aerospace 2022, 9, 635. https://doi.org/10.3390/aerospace9110635
Chen Q, Liang G. Numerical Investigation on Particle Erosion Characteristics of the Elbow Pipe in Gas-Steam Ejection Power System. Aerospace. 2022; 9(11):635. https://doi.org/10.3390/aerospace9110635
Chicago/Turabian StyleChen, Qifei, and Guozhu Liang. 2022. "Numerical Investigation on Particle Erosion Characteristics of the Elbow Pipe in Gas-Steam Ejection Power System" Aerospace 9, no. 11: 635. https://doi.org/10.3390/aerospace9110635
APA StyleChen, Q., & Liang, G. (2022). Numerical Investigation on Particle Erosion Characteristics of the Elbow Pipe in Gas-Steam Ejection Power System. Aerospace, 9(11), 635. https://doi.org/10.3390/aerospace9110635

