Multi-Point Contact Dynamics of a Novel Self-Centring Mechanism for In-Space Robotic Assembly
Abstract
1. Introduction
2. A Novel Self-Centring Mechanism
2.1. Theoretical Background and Design Methodology
2.2. Description of the Proposed Mechanism
2.3. Geometric Configuration
2.4. Working Principle
- (1)
- Approach
- (2)
- Self-centring process
- (3)
- Completion
3. Multi-Point Contact Dynamics
3.1. Multi-Point Contact Model
3.1.1. Virtual Sphere Layer
3.1.2. Contact Detection for Sphere Pairs
3.1.3. Normal Force
3.1.4. Frictional Force
3.1.5. Combined Contact Force and Torque
3.2. Numerical Solution Procedure
4. Grasping a Module with a Single Robotic Arm
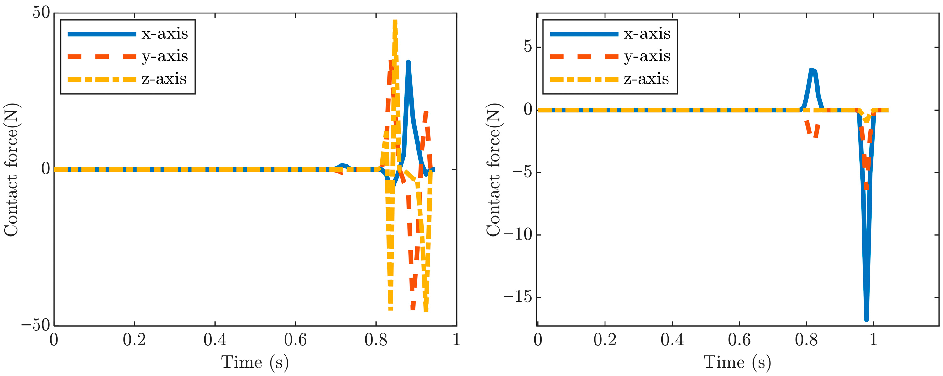
4.1. Numerical Simulations
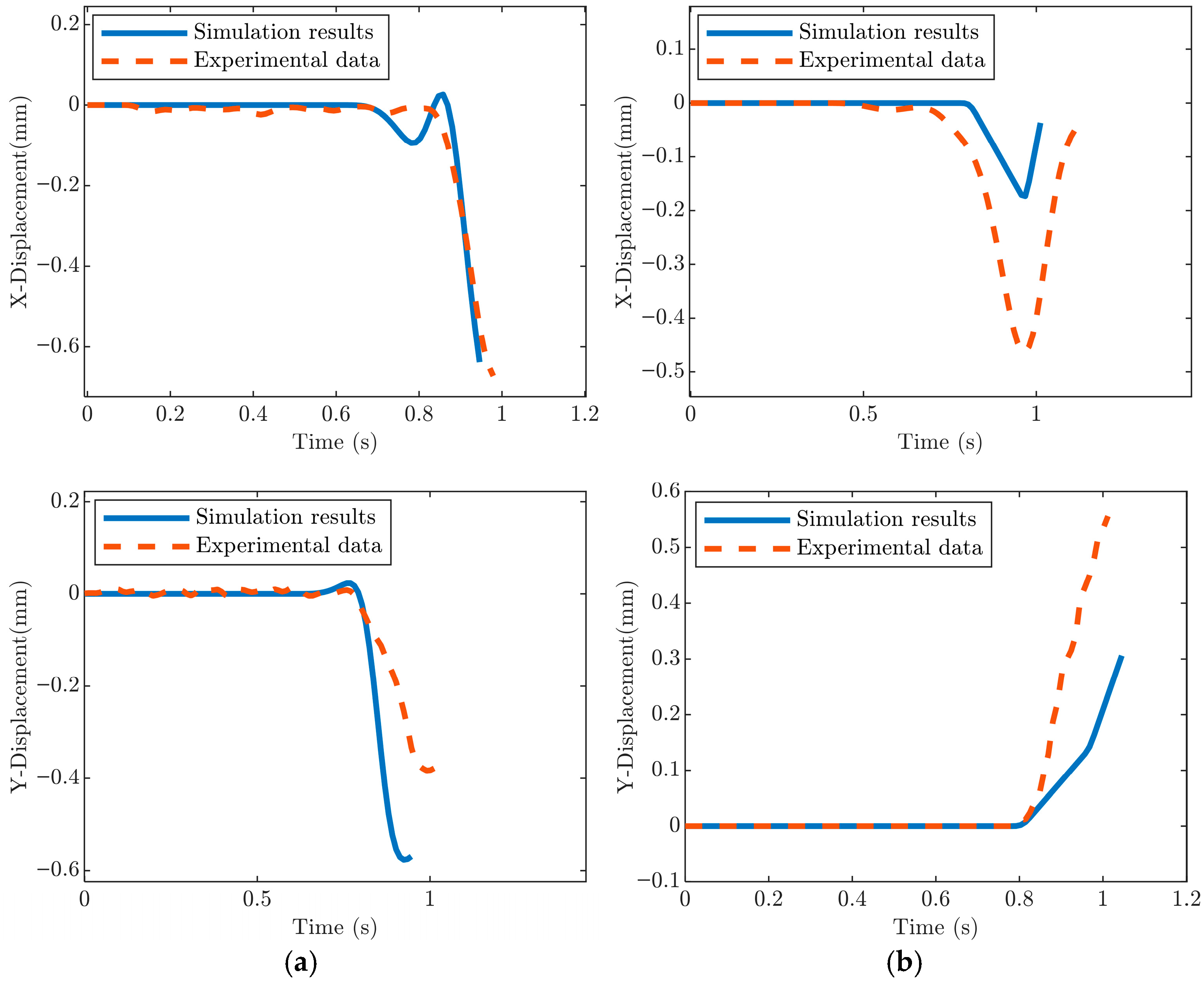
4.2. Experimental Validations
5. Grasping Two Modules with a Dual-Arm Robot
5.1. Numerical Simulations
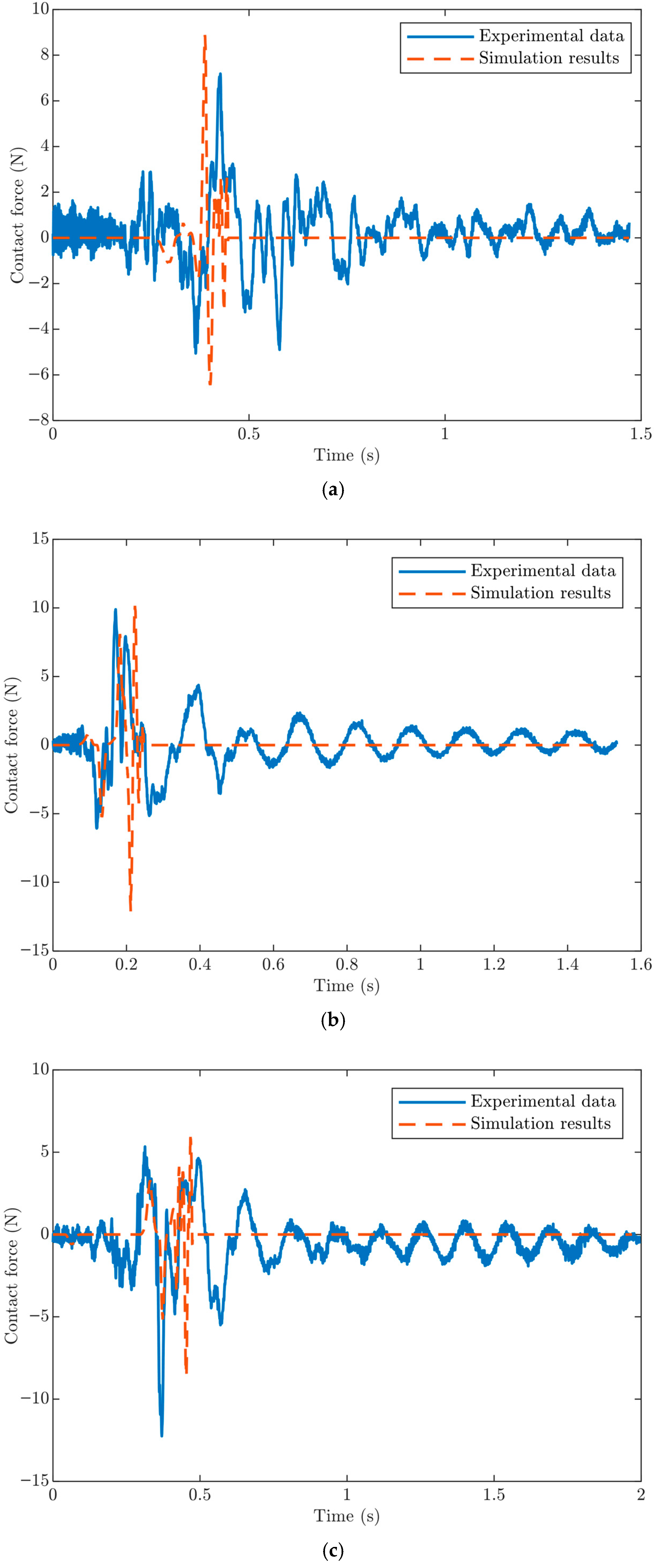
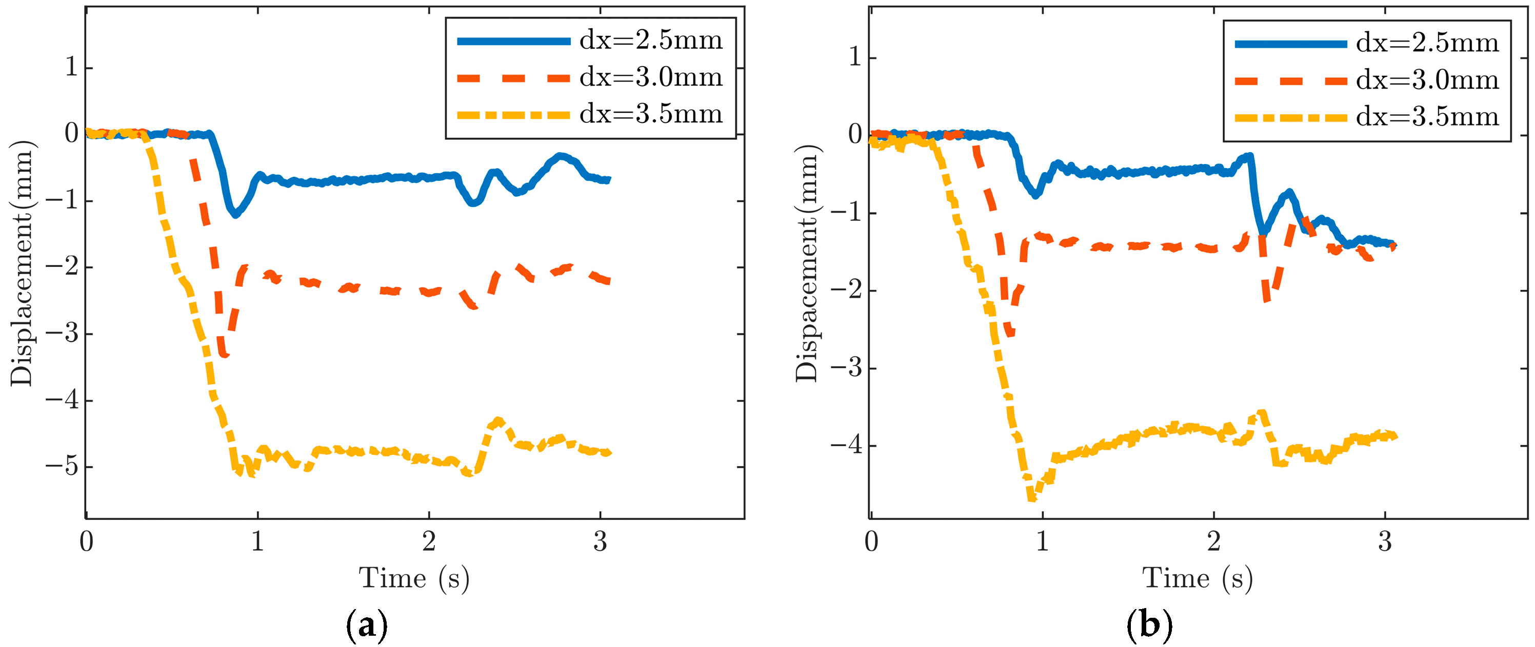
5.2. Experiment Validations
6. Conclusions
- (1)
- Existing paradigms have demonstrated robust performance under coarse-alignment conditions in large-scale manipulators and on-orbit servicing missions; however, this class of mechanisms is typically accompanied by increased mechanical complexity and bulky structural configurations, which to some extent limit their applicability to modular precision in-space assembly tasks. From a design perspective, the proposed self-centring mechanism integrates dual self-centring fingers with a double V-groove interface to jointly accommodate large initial pose deviations while achieving stable sub-millimetre pose convergence, thereby addressing the dual requirements of high alignment accuracy and low disturbance characteristics in precision assembly scenarios. Specifically, the mechanism tolerates parallel offsets of approximately mm along the and directions, and angular misalignments of , and in roll, yaw and pitch, respectively. The fixed-base single-arm experiments confirm a residual positioning error consistently within 0.5 mm after self-centring.
- (2)
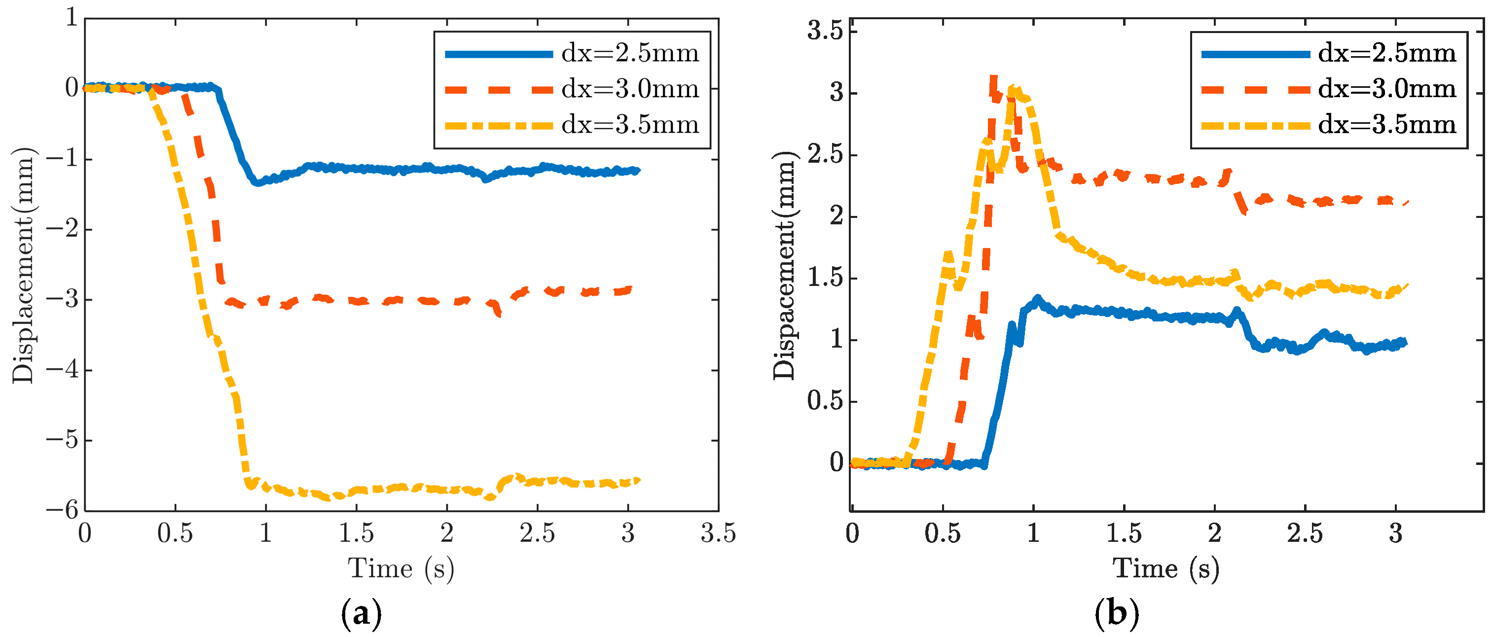
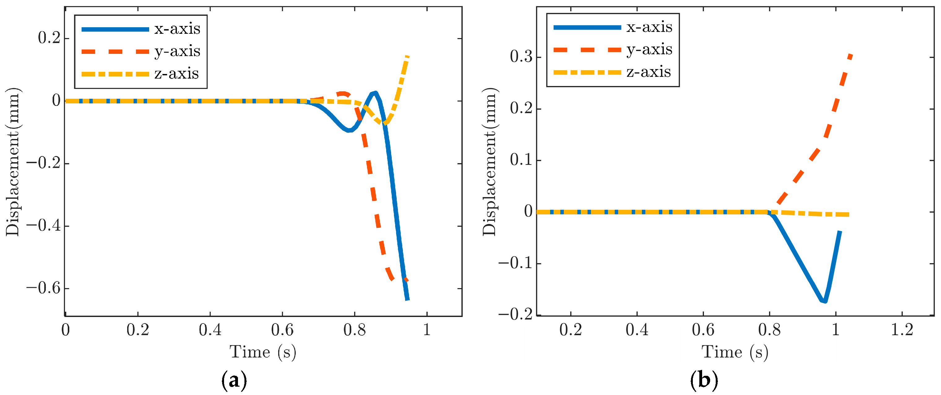
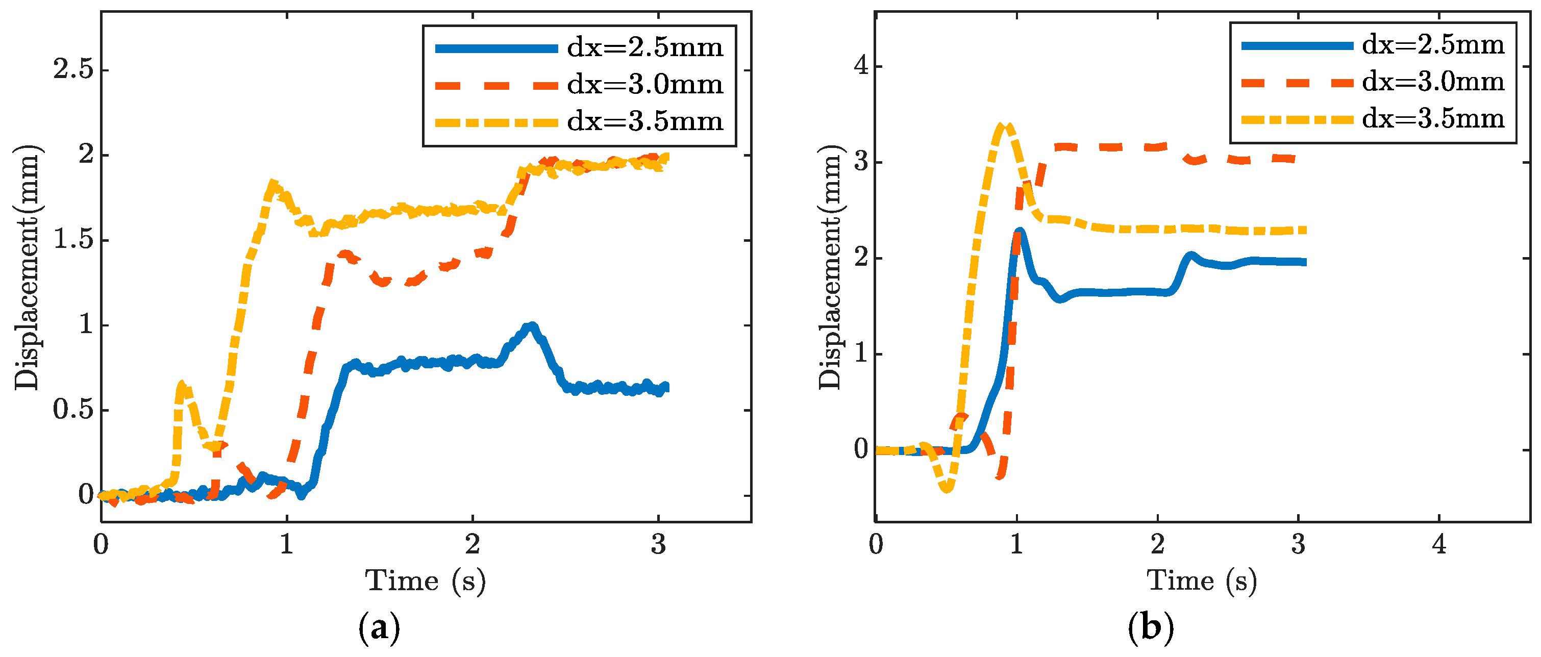
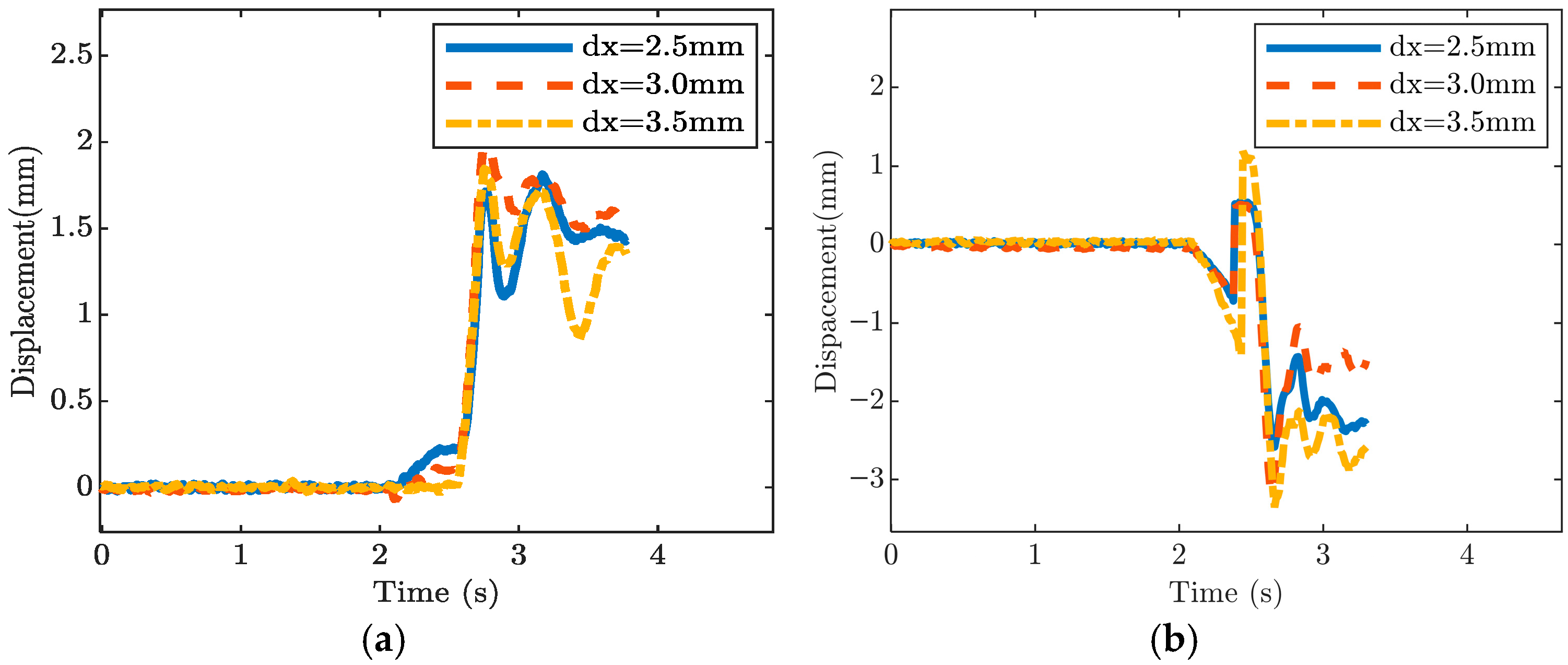
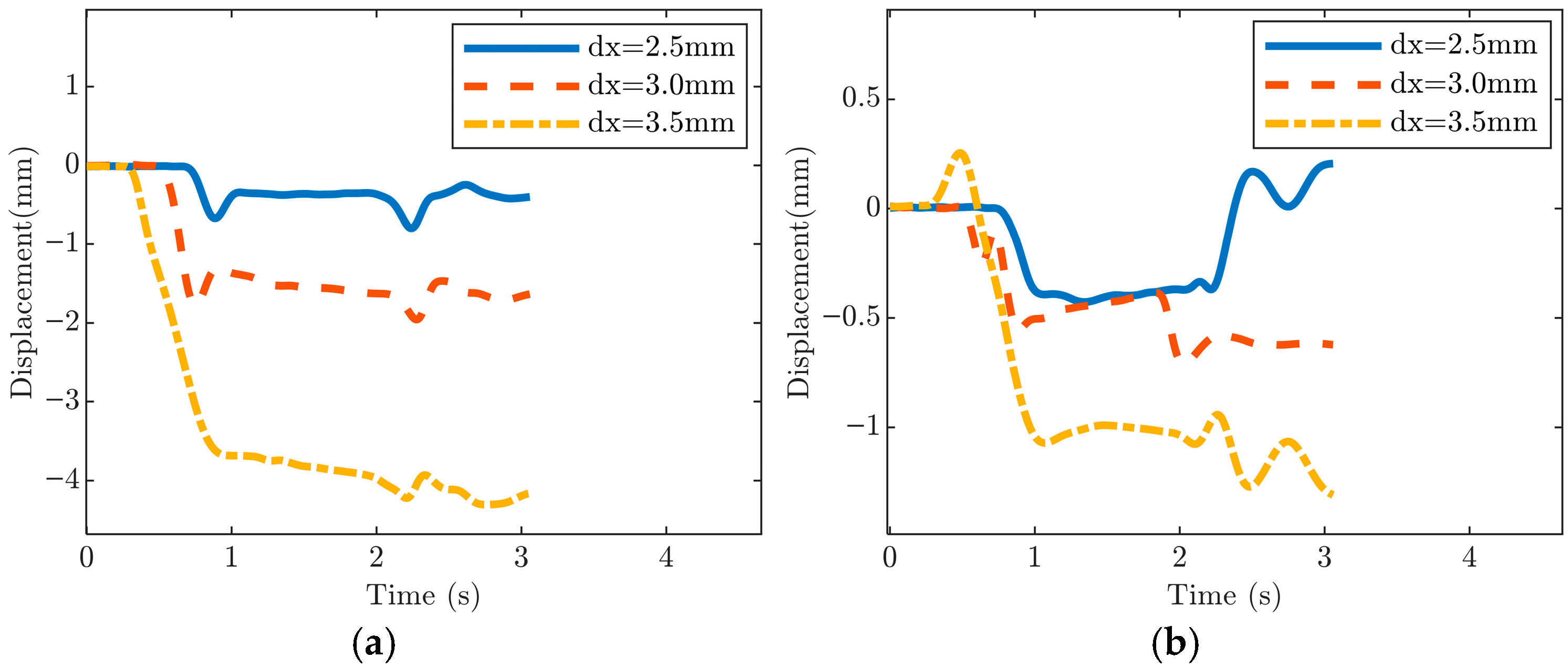
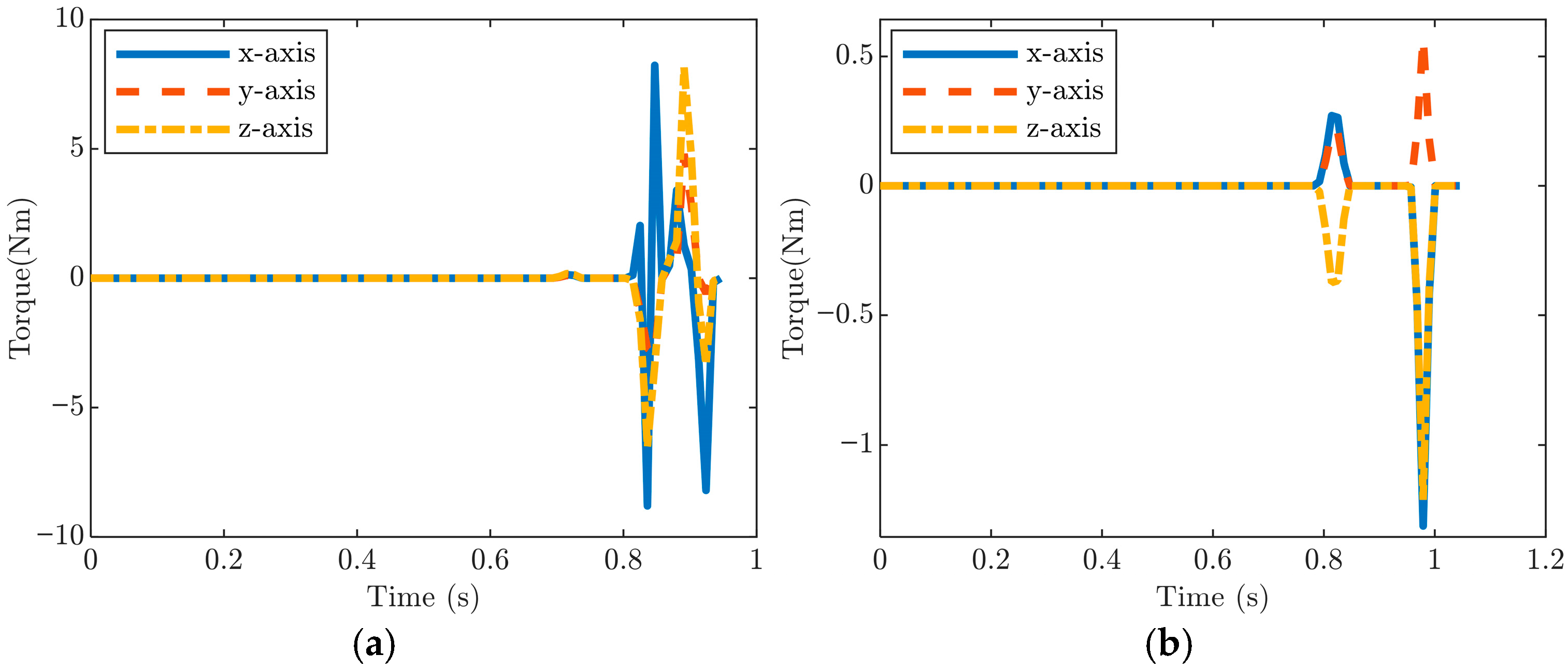
- From a modelling standpoint, the proposed virtual sphere layer-based multi-point contact formulation is more effective than conventional single-point or lumped-contact models in capturing the temporal evolution of distributed contact pairs, transient bouncing behaviours, and the transmission and coupling of contact forces across multiple contact locations. The simulations show that the end-effector closing speed significantly affects the target’s dynamic response, with peak contact forces reaching 12.26 N along the x-axis, 10.23 N along the y-axis, and 7.9 N along the z-axis. The measured contact force profiles show good agreement with simulation predictions, validating the accuracy of the proposed contact model. Moreover, sequential grasping simulations with a free-flying dual-arm robot reveal a pronounced centroid displacement, measured as [−0.637, −0.582, 0.146] mm during the first grasp, which reduces to [−0.173, 0.306, −0.05] mm during the second grasp due to increased effective inertia and reduced initial misalignments. Ground-based experiments conducted on the Space Proximity Operations Testing (SPOT) facility under different initial prescribed y-axis offsets of 2.5, 3, 3.5 mm show that the displacements of the centroid of the free-flying dual-arm robot closely match the simulation results, further validating the accuracy of the proposed multi-point contact model.
Author Contributions
Funding
Data Availability Statement
Conflicts of Interest
References
- Li, W.J.; Cheng, D.Y. On-orbit service (OOS) of spacecraft: A review of engineering developments. Prog. Aerosp. Sci. 2019, 108, 32–120. [Google Scholar] [CrossRef]
- Belvin, W.K.; Dorsey, J.T.; Watson, J.J. Technology challenges and opportunities for very large in-space structural systems. In Proceedings of the International Symposium on Solar Energy from Space, Toronto, ON, Canada, 8–10 September 2009; p. LF99-9135. [Google Scholar]
- Hu, W.; Deng, Z. A review of dynamic analysis on space solar power station. Astrodynamics 2023, 7, 115–130. [Google Scholar] [CrossRef]
- Okasha, M.; Park, C.; Park, S.-Y. Guidance and control for satellite in-orbit-self-assembly proximity operations. Aerosp. Sci. Technol. 2015, 41, 289–302. [Google Scholar] [CrossRef]
- Gralla, E.L. Strategies for Launch and Assembly of Modular Spacecraft. Ph.D. Thesis, Massachusetts Institute of Technology, Cambridge, MA, USA, 2006; pp. 97–101. [Google Scholar]
- Watson, J.J.; Collins, T.J.; Bush, H.G. A history of astronaut construction of large space structures at NASA Langley Research Center. In Proceedings, IEEE Aerospace Conference; IEEE: New York, NY, USA, 2002; Volume 7, p. 7. [Google Scholar] [CrossRef]
- Bluethmann, W.; Ambrose, R.; Diftler, M.; Askew, S.; Huber, E.; Goza, M.; Rehnmark, F.; Lovchik, C.; Magruder, D. Robonaut: A Robot Designed to Work with Humans in Space. Auton. Robot. 2003, 14, 179–197. [Google Scholar] [CrossRef]
- Hirzinger, G.; Brunner, B.; Dietrich, J.; Heindl, J. ROTEX-the first remotely controlled robot in space. In Proceedings of the 1994 IEEE International Conference on Robotics and Automation; IEEE: New York, NY, USA, 1994; pp. 2604–2611. [Google Scholar] [CrossRef]
- Diftler, M.A.; Mehling, J.S.; Abdallah, M.E.; Radford, N.A.; Bridgwater, L.B.; Sanders, A.M. Robonaut 2-the first humanoid robot in space. In 2011 IEEE International Conference on Robotics and Automation; IEEE: New York, NY, USA, 2011; pp. 2178–2183. [Google Scholar] [CrossRef]
- Izzo, D.; Pettazzi, L.; Ayre, M. Mission Concept for Autonomous on-orbit Assembly of a large Reflector in Space. In Proceedings of the 56th International Astronautical Congress of the International Astronautical Federation, the International Academy of Astronautics, and the International Institute of Space Law, Fukuoka, Japan, 17–21 October 2005; pp. D1–D4. [Google Scholar] [CrossRef]
- Di Pippo, S.; Colombina, G.; Boumans, R.; Putz, P. Future potential applications of robotics for the International Space Station. Robot. Auton. Syst. 1998, 23, 37–43. [Google Scholar] [CrossRef]
- Flores-Abad, A.; Ma, O.; Pham, K.; Ulrich, S. A review of space robotics technologies for on-orbit servicing. Prog. Aerosp. Sci. 2014, 68, 1–26. [Google Scholar] [CrossRef]
- Li, K.; Tian, Q.; Shi, J.W.; Liu, D.L. Assembly dynamics of a large space modular satellite antenna. Mech. Mach. Theory 2019, 142, 103601. [Google Scholar] [CrossRef]
- Boning, P.; Dubowsky, S. Coordinated control of space robot teams for the on-orbit construction of large flexible space structures. Adv. Robot. 2012, 24, 303–323. [Google Scholar] [CrossRef]
- Rhodes, M.D.; Will, R.W.; Wise, M.A. A Telerobotic System for Automated Assembly of Large Space Structures; No. NASA-TM-101518; National Aeronautics and Space Administration, Glenn Research Center: Cleveland, OH, USA, 1989.
- Doggett, W. Robotic assembly of truss structures for space systems and future research plans. In Proceedings, IEEE Aerospace Conference; IEEE: New York, NY, USA, 2002; Volume 7, p. 7. [Google Scholar] [CrossRef]
- Doggett, W.R.; Dorsey, J.; Teter, J. Persistent assets in zero-g and on planetary surfaces: Enabled by modular technology and robotic operations. In Proceedings of the 2018 AIAA SPACE and Astronautics Forum and Exposition, Orlando, FL, USA, 17–19 September 2018; p. 5305. [Google Scholar] [CrossRef]
- Lee, N.; Backes, P.; Burdick, J. Architecture for in-space robotic assembly of a modular space telescope. J. Astron. Telesc. Instrum. Syst. 2016, 2, 041207. [Google Scholar] [CrossRef]
- Han, F.; Liu, Y.; Sun, K.; Liu, H. Development of the Interchangeable Devices for Space Robot System. In 2013 IEEE International Conference on Robotics and Biomimetics (ROBIO); IEEE: New York, NY, USA, 2013; pp. 2055–2061. [Google Scholar] [CrossRef]
- Feng, F.; Liu, Y.W.; Liu, H.; Cai, H.G. Design Schemes and Comparison Research of the End-effector of Large Space Manipulator. Chin. J. Mech. Eng. 2012, 25, 674–687. [Google Scholar] [CrossRef]
- Boumans, R.; Heemskerk, C. The European robotic arm for the international space station. Robot. Auton. Syst. 1998, 23, 17–27. [Google Scholar] [CrossRef]
- Krenn, A.; Stewart, M.; Mitchell, D.; Dixon, K.; Mierzwa, M.; Breon, S. Flight servicing of robotic refueling mission 3. In Proceedings of the Space Cryogenics Workshop, Southbury, CT, USA, 17–19 July 2019. [Google Scholar]
- Sun, K.; Liu, H.; Xie, Z.; Ni, F. Structure design of an end effector for the Chinese space station experimental module manipulator. In Proceedings of the 12th International Symposium on Artificial Intelligence, Robotics and Automation in Space; Canadian Space Agency: Montrea, QC, Canada, 2014; pp. 1–8. [Google Scholar]
- Rekleitis, I.; Martin, E.; Rouleau, G. Autonomous Capture of a Tumbling Satellite. J. Field Robot. 2007, 24, 275–296. [Google Scholar] [CrossRef]
- Williams, J.R.; Pentland, A.P. Superquadrics and modal dynamics for discrete elements in interactive design. Eng. Comput. 1992, 9, 115–127. [Google Scholar] [CrossRef]
- Wriggers, P. Finite element algorithms for contact problems. Arch. Comput. Methods Eng. 1995, 2, 1–49. [Google Scholar] [CrossRef]
- Zhong, Z.H.; Nilsson, L. A contact searching algorithm for general contact problems. Comput. Struct. 1989, 33, 197–209. [Google Scholar] [CrossRef]
- Chen, P.; Liu, J.Y.; Hong, J.Z. Contact-impact formulation for multi-body systems using component mode synthesis. Acta Mech. Sin. 2013, 29, 437–442. [Google Scholar] [CrossRef]
- Ma, O.; Flores-Abad, A.; Boge, T. Use of industrial robots for hardware-in-the-loop simulation of satellite rendezvous and docking. Acta Astronaut. 2012, 81, 335–347. [Google Scholar] [CrossRef]
- Brach, R.M. Mechanical Impact Dynamics: Rigid Body Collisions; John Wiley and Sons: New York, NY, USA, 1991. [Google Scholar]
- Mirza, K.; Hanes, M.D.; Orin, D.E. Dynamic simulation of enveloping power grasps. In [1993] Proceedings IEEE International Conference on Robotics and Automation; IEEE: New York, NY, USA, 1993; pp. 430–435. [Google Scholar] [CrossRef]
- Gilardi, G.; Sharf, I. Literature survey of contact dynamics modelling. Mech. Mach. Theory 2002, 37, 1213–1239. [Google Scholar] [CrossRef]
- Yu, Z.W.; Liu, X.F.; Cai, G.P. Dynamics modeling and control of a 6-DOF space robot with flexible panels for capturing a free floating target. Acta Astronaut. 2016, 128, 560–572. [Google Scholar] [CrossRef]
- Zang, Y.; Zhang, Y.; Zhang, J. Multipoint contact dynamics and the detumbling strategy for a fast-tumbling target. IEEE Trans. Aerosp. Electron. Syst. 2020, 56, 3113–3122. [Google Scholar] [CrossRef]
- Hunt, K.H.; Crossley, F.R.E. Coefficient of restitution interpreted as damping in vibroimpact. J. Appl. Mech. 1975, 42, 440–445. [Google Scholar] [CrossRef]
- Wu, S.; Mou, F.; Liu, Q. Contact dynamics and control of a space robot capturing a tumbling object. Acta Astronaut. 2018, 151, 532–542. [Google Scholar] [CrossRef]
- Hsu, J.M.; Peters, S.C. Extending open dynamics engine for the DARPA virtual robotics challenge. In Proceedings of the International Conference on Simulation, Modeling, and Programming for Autonomous Robots, Bergamo, Italy, 20–23 October 2014; pp. 37–48. [Google Scholar] [CrossRef]
- Benvenuto, R.; Salvi, S.; Lavagna, M. Dynamics analysis and GNC design of flexible systems for space debris active removal. Acta Astronaut. 2015, 110, 247–265. [Google Scholar] [CrossRef]
- Haessig, D.A., Jr.; Friedland, B. On the modeling and simulation of friction. J. Dyn. Sys. Meas. Control. 1991, 113, 354–362. [Google Scholar] [CrossRef]
- Liang, J.; Fillmore, S.; Ma, O. An extended bristle friction force model with experimental validation. Mech. Mach. Theory 2012, 56, 123–137. [Google Scholar] [CrossRef]
- Slocum, A. Kinematic couplings: A review of design principles and applications. Int. J. Mach. Tools Manuf. 2010, 50, 310–327. [Google Scholar] [CrossRef]
- Slocum, A.H. Design of three-groove kinematic couplings. Precis. Eng. 1992, 14, 67–76. [Google Scholar] [CrossRef]
- Whitney, D.E. Quasi-static assembly of compliantly supported rigid parts. J. Dyn. Syst. Meas. Control. 1982, 104, 65–77. [Google Scholar] [CrossRef]
- Zhang, L.; Jia, Q.X.; Chen, G. Impact analysis of space manipulator collision with soft environment. In 2014 9th IEEE Conference on Industrial Electronics and Applications; IEEE: New York, NY, USA, 2014; pp. 1965–1970. [Google Scholar] [CrossRef]






























| Parameter | Symbol | Value |
|---|---|---|
| Young’s modulus of the finger (N/m2) | ||
| Young’s modulus of the V-groove mechanism (N/m2) | ||
| Poisson’s ratio of the grasper | 0.25 | |
| Poisson’s ratio of the V-groove mechanism | 0.25 | |
| The mass of target module (kg) | 2.768 | |
| Moments of inertia of the target module () | ||
| Parameter | Symbol | Value |
|---|---|---|
| Kinetic friction coefficient | 0.26 | |
| Static friction coefficient | 0.3 | |
| Bristle stiffness | ||
| Bristle damping coefficient (N/m) | 80 | |
| Velocity deadband (N/m) | 0.001 |
| Case | Closing Speed (m/s) | Initial Parallel Offset (mm) | Computational Time (s) |
|---|---|---|---|
| I | 0.014 | (0, −3, 0) | 15.23 |
| II | 0.018 | (0, −3, 0) | 11.32 |
| III | 0.022 | (0, −3, 0) | 9.21 |
| Case | Final Offset x (m/s) | Final Offset y (mm) | Final Offset z (mm) | (mm) |
|---|---|---|---|---|
| I | 0.083 | 0.097 | −0.011 | 0.128 |
| II | 0.082 | 0.101 | −0.0034 | 0.131 |
| III | 0.080 | 0.102 | −0.00113 | 0.129 |
| i th Body | Mass (kg) | ) | ||
|---|---|---|---|---|
| 1 | 30.531 | 0.533 | 0.397 | 0.308 |
| 2 | 10.567 | 0.318 | 0.199 | 0.190 |
| 3 | 47.037 | 3.561 | 3.521 | 3.450 |
| 4 | 77.568 | 10.459 | 8.039 | 13.471 |
| Joint 1 | Joint 2 | Joint 3 | Joint 4 | Joint 5 | Joint 6 | |
|---|---|---|---|---|---|---|
| Arm-1 (rad) | 0.556 | 0.481 | 1.41 | 2.40 × 10−7 | 1.25 | 0.555 |
| Arm-2 (rad) | −0.511 | 0.998 | 0.479 | 4.00 × 10−6 | 1.66 | −0.511 |
Disclaimer/Publisher’s Note: The statements, opinions and data contained in all publications are solely those of the individual author(s) and contributor(s) and not of MDPI and/or the editor(s). MDPI and/or the editor(s) disclaim responsibility for any injury to people or property resulting from any ideas, methods, instructions or products referred to in the content. |
© 2026 by the authors. Licensee MDPI, Basel, Switzerland. This article is an open access article distributed under the terms and conditions of the Creative Commons Attribution (CC BY) license.
Share and Cite
Wang, Y.; Liu, J.; Ma, S.; Jiang, J.; Li, Y.; Wang, X. Multi-Point Contact Dynamics of a Novel Self-Centring Mechanism for In-Space Robotic Assembly. Aerospace 2026, 13, 188. https://doi.org/10.3390/aerospace13020188
Wang Y, Liu J, Ma S, Jiang J, Li Y, Wang X. Multi-Point Contact Dynamics of a Novel Self-Centring Mechanism for In-Space Robotic Assembly. Aerospace. 2026; 13(2):188. https://doi.org/10.3390/aerospace13020188
Chicago/Turabian StyleWang, Yuanxin, Jiafu Liu, Shujie Ma, Jianping Jiang, Yuanyuan Li, and Xing Wang. 2026. "Multi-Point Contact Dynamics of a Novel Self-Centring Mechanism for In-Space Robotic Assembly" Aerospace 13, no. 2: 188. https://doi.org/10.3390/aerospace13020188
APA StyleWang, Y., Liu, J., Ma, S., Jiang, J., Li, Y., & Wang, X. (2026). Multi-Point Contact Dynamics of a Novel Self-Centring Mechanism for In-Space Robotic Assembly. Aerospace, 13(2), 188. https://doi.org/10.3390/aerospace13020188

