Finite-Time RBFNN-Based Observer for Cooperative Multi-Missile Tracking Control Under Dynamic Event-Triggered Mechanism
Abstract
1. Introduction
- 1.
- Building upon the work in [14] a hierarchical control structure based on a dynamic event-triggered mechanism is proposed. The reference-trajectory generator incorporates communication and cooperation among multiple interceptors and imposes saturation constraints on the virtual control inputs to generate reference trajectories for the trajectory-tracking controller. This effectively suppresses aggressive maneuvers caused by overload saturation.
- 2.
- On the basis of robust control for generating feasible reference trajectories, and inspired by [24], a radial basis function neural network (RBFNN) combined with a sliding-mode finite-time disturbance observer is employed to estimate unknown disturbances and unmodeled dynamics. The observer exhibits strong robustness and is proven to converge in finite time.
- 3.
- For the tracking controller, a dynamic event-triggered mechanism is developed, integrating disturbance estimation into the event-triggering process. This approach not only avoids Zeno behavior but also reduces communication and computational burdens, thereby improving engineering feasibility and robustness.
2. Preliminaries
2.1. Dynamic Model of the Interceptor Missile
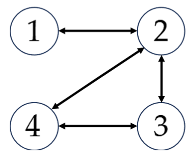
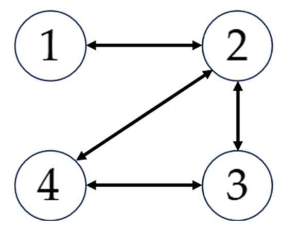
2.2. Graph Theory
- 1.
- The node set denotes the set of individual missiles.
- 2.
- The edge set characterizes the communication connections between the missiles; there exists an edge , if missile can send information to missile .
- 3.
- The weighted adjacency matrix defines the weights of the communication links, where if and only if there is a communication edge from node to node .
- 4.
- The neighbor set of node is defined as , and its in-degree is given by , which represents the total weight of incoming information.
2.3. RBFNN Approximation
3. Main Results
3.1. Design of Reference-Trajectory Generator Based on Dynamic Event-Triggered Mechanism
3.2. RBFNN-Based Finite-Time Disturbance Observer
3.3. A Trajectory Tracker Based on Dynamic Event-Triggered Mechanism
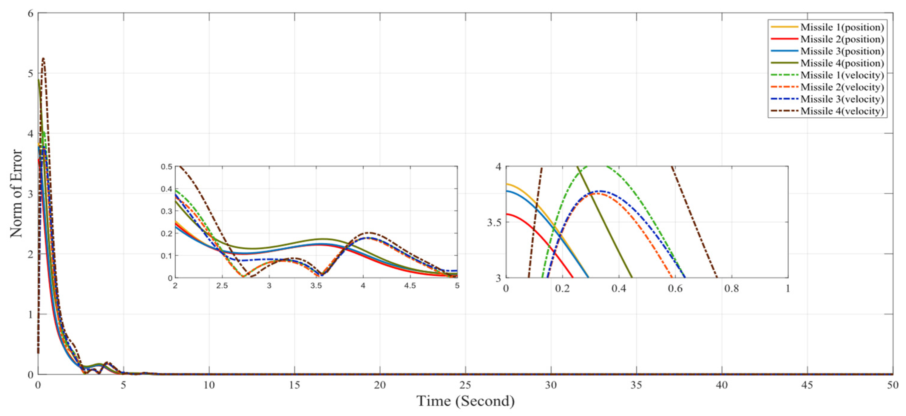
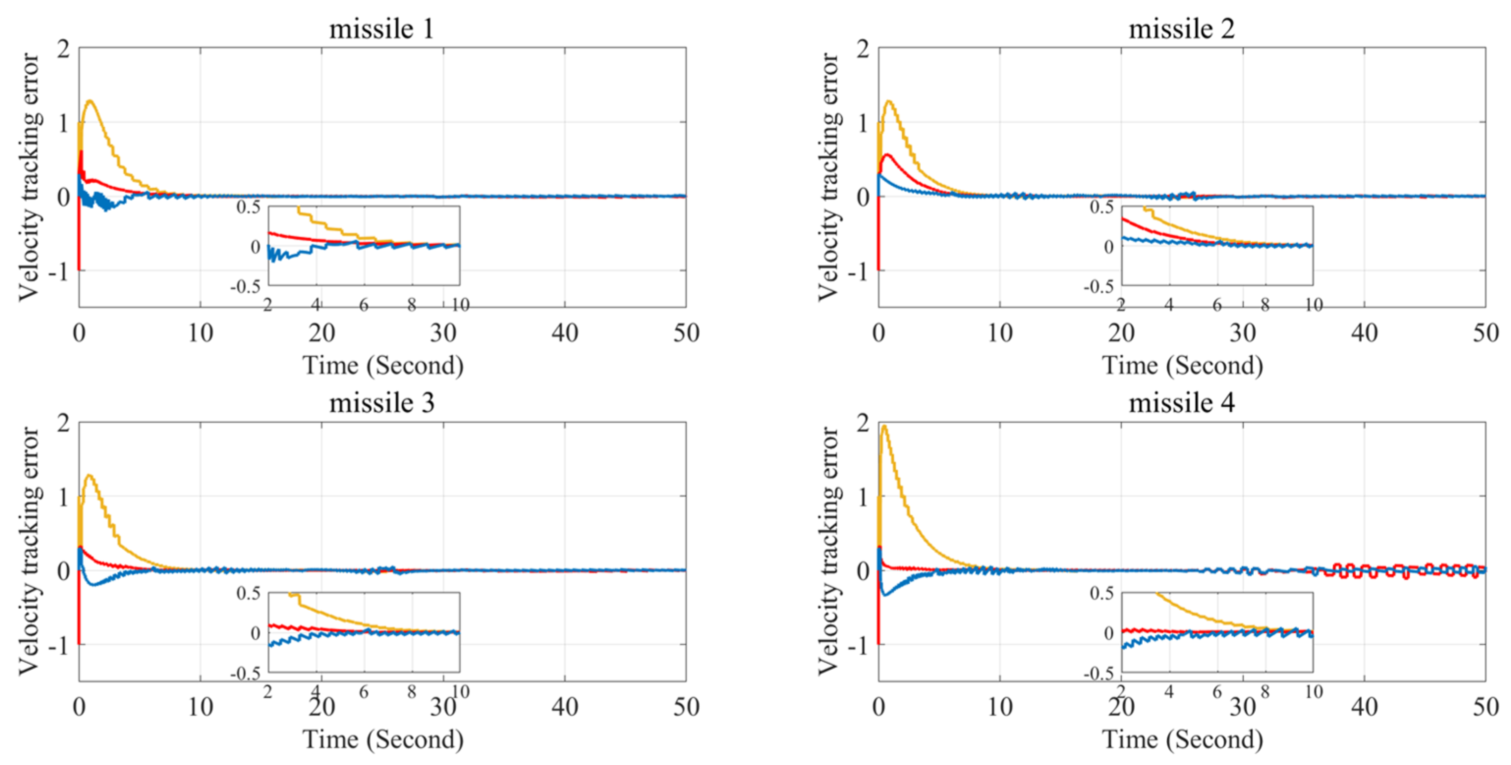
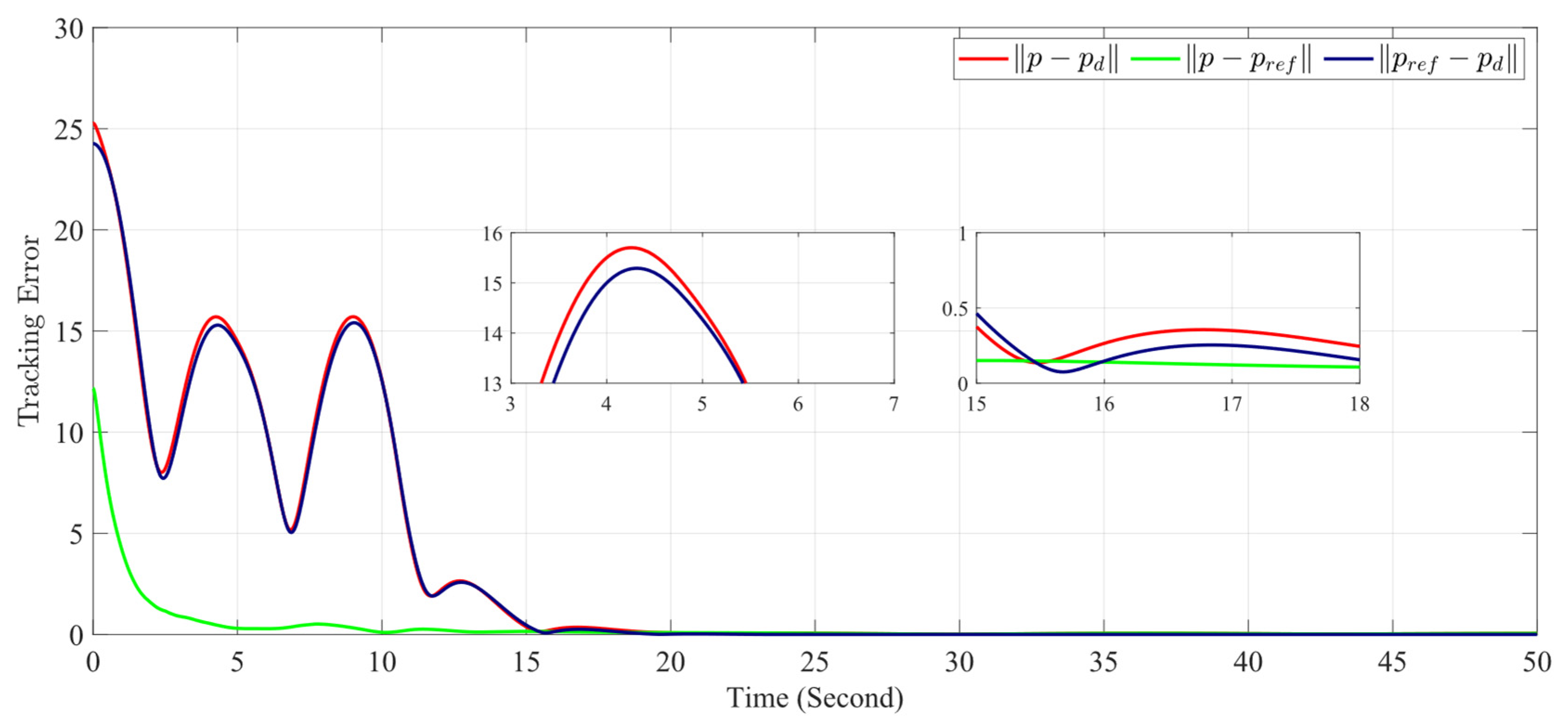
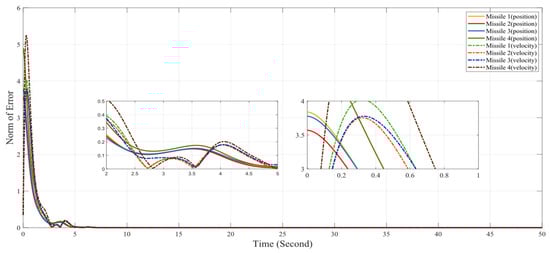
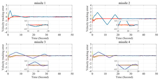
4. Simulation Results and Discussion
- (1)
- the norm of the error between global trajectory replanning and global reference trajectory;
- (2)
- the norm of the error between global trajectory replanning and global actual trajectory;
- (3)
- the norm of the error between global reference trajectory and global actual trajectory. The definitions of the quantities are as follows.
5. Conclusions
Author Contributions
Funding
Data Availability Statement
Conflicts of Interest
References
- Liu, S.; Yan, B.; Zhang, T.; Zhang, X.; Yan, J. Coverage-based cooperative guidance law for intercepting hypersonic vehicles with overload constraint. Aerosp. Sci. Technol. 2022, 126, 107651. [Google Scholar] [CrossRef]
- Yu, K.; Li, X.; Yu, J.; Jiang, C.; Tan, Q.; Wang, Y. Trajectory Prediction and Cooperative Interception Strategy for Maneuverable Hypersonic Target. In Advances in Guidance, Navigation and Control; Springer: Singapore, 2025; pp. 496–505. [Google Scholar]
- Zhou, J.; Lei, H. Coverage-based cooperative target acquisition for hypersonic interceptions. Sci. China-Technol. Sci. 2018, 61, 1575–1587. [Google Scholar] [CrossRef]
- Sun, L.; Yang, B.; Ma, J. Trajectory prediction in pipeline form for intercepting hypersonic gliding vehicles based on LSTM. Chin. J. Aeronaut. 2023, 36, 421–433. [Google Scholar] [CrossRef]
- Liu, S.; Yan, B.; Zhang, T.; Zhang, X.; Yan, J. Three-dimensional coverage-based cooperative guidance law with overload constraints to intercept a hypersonic vehicle. Aerosp. Sci. Technol. 2022, 130, 107908. [Google Scholar] [CrossRef]
- Jiang, L.; Nan, Y.; Zhang, Y.; Li, Z. Anti-Interception Guidance for Hypersonic Glide Vehicle: A Deep Reinforcement Learning Approach. Aerospace 2022, 9, 424. [Google Scholar] [CrossRef]
- Fei, Y.; Wang, L.; Qu, X. Event triggered cooperative trajectory coordination for platooning among heterogeneous vehicles. Transp. Res. Part C Emerg. Technol. 2025, 173, 105049. [Google Scholar] [CrossRef]
- Luo, C.; Zhou, C.; Bu, X. Multi-Missile Phased Cooperative Interception Strategy for High-Speed and Highly Maneuverable Targets. IEEE Trans. Aerosp. Electron. Syst. 2025, 61, 1971–1996. [Google Scholar] [CrossRef]
- Li, J.; He, Y.; Shao, L.; Feng, X. Reentry glide vehicle trajectory prediction method via multidimensional intention fusion. Aerosp. Sci. Technol. 2025, 159, 109960. [Google Scholar] [CrossRef]
- Li, W.; Li, J.; Li, N.; Shao, L.; Li, M. Online Trajectory Planning Method for Midcourse Guidance Phase Based on Deep Reinforcement Learning. Aerospace 2023, 10, 441. [Google Scholar] [CrossRef]
- Zhang, J.; Li, J.; Zhou, C.; Lei, H.; Li, W. Fast Trajectory Generation Method for Midcourse Guidance Based on Convex Optimization. Int. J. Aerosp. Eng. 2022, 2022, 7188718. [Google Scholar] [CrossRef]
- Li, J.; Feng, X.; He, Y.; Shao, L. A Coverage-Based Cooperative Detection Method for CDUAV: Insights from Prediction Error Pipeline Modeling. Drones 2025, 9, 397. [Google Scholar] [CrossRef]
- Chen, W.; Hu, Y.; Gao, C.; An, R. Trajectory tracking guidance of interceptor via prescribed performance integral sliding mode with neural network disturbance observer. Def. Technol. 2024, 32, 412–429. [Google Scholar] [CrossRef]
- Fei, Y.; Sun, Y.; Shi, P. Robust Hierarchical Formation Control of Unmanned Aerial Vehicles via Neural-Based Observers. Drones 2022, 6, 40. [Google Scholar] [CrossRef]
- Wang, B.; Chen, W.; Zhang, B.; Shi, P.; Zhang, H. A Nonlinear Observer-Based Approach to Robust Cooperative Tracking for Heterogeneous Spacecraft Attitude Control and Formation Applications. IEEE Trans. Autom. Control 2023, 68, 400–407. [Google Scholar] [CrossRef]
- Ding, T.; Ge, M.; Xiong, C.; Liu, Z.; Ling, G. Prescribed-time formation tracking of second-order multi-agent networks with directed graphs. Automatica 2023, 152, 110997. [Google Scholar] [CrossRef]
- Yang, W.; Shi, Z.; Zhong, Y. Distributed robust adaptive formation control of multi-agent systems with heterogeneous uncertainties and directed graphs. Automatica 2023, 157, 111275. [Google Scholar] [CrossRef]
- Huang, Y.; Meng, Z.; Dimarogonas, D. Prescribed performance formation control for second-order multi-agent systems with connectivity and collision constraints. Automatica 2024, 160, 111412. [Google Scholar] [CrossRef]
- Fang, X.; Xie, L. Distributed Formation Maneuver Control Using Complex Laplacian. IEEE Trans. Autom. Control 2024, 69, 1850–1857. [Google Scholar] [CrossRef]
- Li, F.; Ning, J.; Liu, H.; Zhang, Y.; Liu, Y. Spatial barycentric coordinates based distributed formation control for multi-agent systems. ISA Trans. 2025, 156, 333–343. [Google Scholar] [CrossRef]
- Zhi, Y.; Liu, L.; Fan, H.; Wang, B. Distributed Prescribed-Time Formation Control of Heterogeneous T-S Fuzzy Multiagent Systems: A Hierarchical Design Approach. IEEE Trans. Fuzzy Syst. 2024, 32, 6789–6800. [Google Scholar] [CrossRef]
- Dou, L.; Wang, K.; Wang, J.; Zhou, J. Fully distributed time-varying formation tracking control for linear multi-agent systems with unknown external disturbances. ISA Trans. 2025, 156, 253–261. [Google Scholar] [CrossRef]
- He, Q.; Liu, W. Semi-Global Adaptive Sampled-Data Formation Control for a Class of Uncertain Nonlinear Multiagent Systems. IEEE Trans. Syst. Man Cybern.-Syst. 2025, 55, 2771–2781. [Google Scholar] [CrossRef]
- Wang, H.; Liu, Q.; Xu, C. Predefined-time distributed optimization and anti-disturbance control for nonlinear multi-agent system with neural network estimator: A hierarchical framework. Neural Netw. 2024, 175, 106270. [Google Scholar] [CrossRef] [PubMed]
- Lewis, F.L.; Zhang, H.; Hengster-Movric, K.; Das, A. Cooperative Control of Multi-Agent Systems: Optimal and Adaptive Design Approaches; Springer Science Business Media: Berlin/Heidelberg, Germany, 2013. [Google Scholar]
- Moulay, E.; Léchappé, V.; Bernuau, E.; Plestan, F. Robust Fixed-Time Stability: Application to Sliding-Mode Control. IEEE Trans. Autom. Control 2022, 67, 1061–1066. [Google Scholar] [CrossRef]
















| Missile Number | x-Direction Position | y-Direction Position | z-Direction Position | Velocity | Flight Path Angles | Flight Path Angles |
|---|---|---|---|---|---|---|
| 1 | 8 | 8 | 0 | 0.1 | 0.5 | 0.5 |
| 2 | 8 | −8 | 0 | 0.1 | 0.5 | 0.5 |
| 3 | −8 | 8 | 0 | 0.1 | 0.5 | 0.5 |
| 4 | −8 | −8 | 0 | 0.1 | 0.5 | 0.5 |
| Parameters | Value |
|---|---|
| Formation Member | Missile 1 | Missile 2 | Missile 3 | Missile 4 |
|---|---|---|---|---|
| Without ETM | 501 | 501 | 501 | 501 |
| SETM | 346 | 250 | 371 | 359 |
| DETM | 109 | 100 | 135 | 136 |
| Percentage reduction | 78.24% | 80.03% | 73.05% | 72.85% |
Disclaimer/Publisher’s Note: The statements, opinions and data contained in all publications are solely those of the individual author(s) and contributor(s) and not of MDPI and/or the editor(s). MDPI and/or the editor(s) disclaim responsibility for any injury to people or property resulting from any ideas, methods, instructions or products referred to in the content. |
© 2025 by the authors. Licensee MDPI, Basel, Switzerland. This article is an open access article distributed under the terms and conditions of the Creative Commons Attribution (CC BY) license (https://creativecommons.org/licenses/by/4.0/).
Share and Cite
Li, J.; Tang, Y.; Shao, L.; Bu, X.; Ye, J. Finite-Time RBFNN-Based Observer for Cooperative Multi-Missile Tracking Control Under Dynamic Event-Triggered Mechanism. Aerospace 2025, 12, 693. https://doi.org/10.3390/aerospace12080693
Li J, Tang Y, Shao L, Bu X, Ye J. Finite-Time RBFNN-Based Observer for Cooperative Multi-Missile Tracking Control Under Dynamic Event-Triggered Mechanism. Aerospace. 2025; 12(8):693. https://doi.org/10.3390/aerospace12080693
Chicago/Turabian StyleLi, Jiong, Yadong Tang, Lei Shao, Xiangwei Bu, and Jikun Ye. 2025. "Finite-Time RBFNN-Based Observer for Cooperative Multi-Missile Tracking Control Under Dynamic Event-Triggered Mechanism" Aerospace 12, no. 8: 693. https://doi.org/10.3390/aerospace12080693
APA StyleLi, J., Tang, Y., Shao, L., Bu, X., & Ye, J. (2025). Finite-Time RBFNN-Based Observer for Cooperative Multi-Missile Tracking Control Under Dynamic Event-Triggered Mechanism. Aerospace, 12(8), 693. https://doi.org/10.3390/aerospace12080693

