Abstract
This paper investigates an adaptive fault-tolerant control strategy for the Twin Otter aircraft, aimed at addressing critical challenges arising from system uncertainties and actuator faults. A global prescribed performance function is employed to ensure pre-determined transient and steady-state tracking performance under uncertainties and faults. Differing from existing prescribed performance controllers, the proposed approach is characterized by (1) no limitation on the initial tracking error; (2) no requirement for tracking error normalization; and (3) incorporation of an improved monitoring function. Specifically, this novel monitoring function dynamically adjusts prescribed error bounds based on real-time fault information, thus enhancing flexibility and robustness. Furthermore, fixed-time convergence of the tracking error is rigorously guaranteed, significantly improving system reliability and safety. Although the simplified Twin Otter aircraft model analyzed herein is a second-order parametric strict-feedback system, the theoretical framework extends naturally to higher-order strict-feedback systems. The effectiveness and advantages of the proposed method are validated through theoretical analysis and numerical simulations on a Twin Otter aircraft system with time-varying parameters and actuator faults.
1. Introduction
For the Twin Otter aircraft, a widely used commuter airliner, achieving high levels of safety and passenger comfort is paramount to ensuring operational reliability, market competitiveness, and passenger satisfaction. In aviation, advanced control strategies play a critical role in enhancing flight performance []. The Twin Otter’s tracking control system is subject to inherent challenges, including system uncertainties and potential actuator failures. Under such conditions, maintaining robust tracking performance is essential, while ensuring strict adherence to transient tracking error constraints is equally crucial for flight safety and system reliability []. This issue is particularly significant in safety-critical applications such as aircraft control, where conventional methods often struggle to simultaneously enforce transient error constraints and achieve robust steady-state performance. To address these challenges, researchers have proposed various innovative and practical approaches, including Prescribed Performance Control (PPC) [], Barrier Lyapunov Functions (BLFs) [], and fixed-time adaptive fault-tolerant control frameworks [], among others [,].
Prescribed Performance Functions (PPFs), initially introduced by P. Charalambous and G.A. Georgiou in [] for multi-input multi-output (MIMO) nonlinear systems, provide a systematic framework for regulating transient errors. By leveraging prior knowledge of initial conditions, PPFs ensure that the tracking error remains confined within a predefined, arbitrarily small residual set while guaranteeing desired convergence time and transient characteristics, such as overshoot mitigation.
Recently, transient performance control for uncertain nonlinear tracking systems has attracted significant attention. As a result, controllers incorporating prescribed performance functions to enhance transient response have become increasingly prevalent in unmanned aerial vehicle (UAV) studies. For instance, to enable aggressive quadrotor trajectory tracking with predefined transient performance despite actuator saturation and disturbances, a Robust Dynamic Event-Triggered Prescribed Performance Controller (DETPPC) was proposed in []. This approach integrates an event-triggered compensation mechanism within the prescribed performance framework to enhance control efficiency.
Seeking a structurally simpler feedback solution for MIMO nonlinear systems subject to both internal and external disturbances, a feedback controller that combines a prescribed performance function with a high-gain observer was developed in [], ensuring both transient and steady-state performance. Similarly, ref. [] presented a fault-tolerant control approach based on nonlinear extended state observers, incorporating a prescribed performance function to enable quadrotor UAVs to execute tracking tasks despite actuator faults and unknown external disturbances. Additionally, adaptive fault-tolerant control approaches have been explored in robotic systems, demonstrating enhanced fault diagnosis and fault-tolerant capabilities under uncertainty [,].
Compared to quadrotor UAVs, the Twin Otter aircraft, with its enhanced maneuverability and commuter-oriented operational profile, presents an even more compelling application scenario for employing PPC to improve control system robustness and safety. Therefore, the development of advanced control strategies that ensure flight safety and stable operation for commuter airliners under unknown disturbances and sudden actuator failures remains a critical research focus.
However, conventional PPC methods impose a constraint on the initial tracking error, given by , where represents the initial error. To address this limitation, ref. [] redefines the prescribed function with infinite initial values and constant bounds for and . However, this approach necessitates normalizing the transformation error to ensure boundedness, thereby introducing additional complexity into the control design. Moreover, the function selection in [] remains restrictive and lacks the capability to dynamically relax error boundaries in fault scenarios, as explored in []. These limitations motivate the research presented herein.
In contrast, this paper introduces an improved prescribed performance function that redefines the transformation error boundary as a decreasing time-varying function rather than a fixed constant. While various limiting functions can be employed, this work adopts a simplified restriction functional form to demonstrate the proposed method’s effectiveness. By relaxing boundary constraints, this approach enhances performance flexibility and broadens its applicability.
Examining the limitations from two perspectives, ref. [] addresses the initial boundary constraint but fails to accommodate scenarios where errors may exceed the boundary post-fault. Conversely, ref. [] adjusts boundaries based on fault information but does not account for initial condition limitations. To simultaneously address both challenges, this study further incorporates the concept of fixed-time convergence. Originally introduced by [] in 2000 and later refined in [,], fixed-time stability theory offers notable advantages in control applications. For instance, ref. [] employs an adaptive finite-time control strategy for state-constrained quadrotor UAV tracking under uncertainties, while ref. [] proposes a fixed-time convergent sliding-mode fault-tolerant controller for robotic tracking applications. Additionally, fixed-time convergence theory has been extended to observer design, as demonstrated by [] in a finite-time convergent extended state observer for marine vessel formation control.
Despite the significant advancements achieved by existing prescribed performance control methods, there remain several critical limitations: (1) conventional PPC approaches [,,,] impose stringent initial tracking error constraints, significantly limiting their applicability in real-world aviation scenarios with unpredictable initial conditions; (2) the methods proposed in [] relax initial error restrictions but introduce additional complexity by requiring normalization of the transformation error; and (3) adaptive boundary adjustment methods [] dynamically modify prescribed performance boundaries based on fault information but fail to address constraints related to initial tracking errors. The coexistence of these limitations motivates the research presented herein.
Building upon the fixed-time convergence theorem presented in [], this paper introduces a novel fixed-time convergence function with adjustable parameters. Based on this function, a new PPC strategy is developed to simultaneously address initial value constraints and enable adaptive boundary adjustments. The proposed PPC strategy is applied to the Twin Otter aircraft tracking control system, demonstrating significant improvements in both transient and steady-state performance.
The primary objective of this study is to improve the transient and steady-state performance of a fault-tolerant control system for the Twin Otter aircraft in the presence of uncertainties and actuator faults. The key contributions of this work are summarized as follows.
The primary contributions of this work, explicitly addressing the limitations identified in existing methods, are as follows:
- 1.
- Elimination of initial tracking error constraints: Unlike conventional PPC approaches [,,,,] that restrict initial error values, the proposed method employs a novel time-varying prescribed performance boundary function, removing these constraints and significantly enhancing control system adaptability during unpredictable scenarios, such as sudden system re-engagements or abrupt reference signal variations.
- 2.
- Real-time adaptive error boundary adjustment with simplified structure: In contrast to existing adaptive boundary adjustment methods [,], this study introduces an improved monitoring function that dynamically adjusts performance boundaries based on real-time fault detection, while simultaneously eliminating the need for error normalization and complex transformation processes. This structural simplification greatly enhances real-world implementation feasibility and robustness against actuator faults and disturbances.
- 3.
- Guaranteed fixed-time convergence and robustness under faults: By integrating fixed-time convergence theory into the prescribed performance framework, this paper rigorously guarantees fixed-time convergence of the tracking error into a small neighborhood of the origin. This theoretical advancement significantly improves both transient and steady-state robustness, enhancing overall safety and reliability in aviation applications, especially considering actuator faults and external disturbances.
2. Aircraft System and Problem Formulation
2.1. Overview of the Twin Otter Aircraft
The Twin Otter (de Havilland Canada DHC-6) is a twin-engine turboprop commuter aircraft designed for short takeoff and landing (STOL) operations. It is widely employed in demanding environments, including polar scientific research, offshore logistics, and mountainous terrain. Renowned for its high lift-to-drag ratio, exceptional short-field performance, and ability to operate under variable load conditions, the Twin Otter serves as a versatile platform for both civilian and military applications. However, ensuring stable and reliable flight control is critical, particularly in the presence of actuator failures or system uncertainties, necessitating the development of a robust and adaptive flight control system [].
The longitudinal dynamics of the Twin Otter aircraft have been extensively analyzed, leading to the development of various control strategies aimed at enhancing flight stability and robustness under adverse conditions. An adaptive control scheme based on feedback linearization has been proposed to ensure stable tracking performance despite parametric uncertainties []. Furthermore, a fault-tolerant control (FTC) framework has been introduced for actuator fault mitigation, incorporating direct adaptive compensation and supervisory switching to enhance flight safety and reliability [].
Adverse weather conditions, such as heavy rainfall, can significantly impact the aerodynamic performance and stability of the Twin Otter aircraft. Numerical simulations have shown that heavy rain degrades both lateral/directional [] and longitudinal [] stability, resulting in increased control effort requirements and reduced maneuverability. These findings underscore the necessity of advanced fault-tolerant and adaptive control strategies to mitigate the adverse effects of environmental disturbances.
The Twin Otter’s flight control system consists of multiple actuators that regulate critical aerodynamic surfaces, including the elevator, ailerons, and rudder. Actuator failures can significantly degrade stability and control authority, necessitating the development of advanced fault-tolerant control strategies. Recent studies have investigated adaptive fuzzy control techniques to ensure stable tracking under full-state constraints and actuator failures, thereby enhancing operational reliability []. Additionally, novel adaptive compensation mechanisms have been proposed to accommodate an indefinite number of actuator failures, ensuring robust performance despite unknown failure conditions [].
To support the development of effective control strategies, the Twin Otter’s flight dynamics can be modeled as a nonlinear strict-feedback system that accounts for parametric uncertainties and external disturbances. This modeling framework has been widely adopted in recent studies, demonstrating its effectiveness in predicting the aircraft’s response under diverse operating conditions []. Additionally, numerical investigations into the aerodynamic penalties of the DHC-6 Twin Otter under heavy rain conditions indicate that rain-induced aerodynamic degradation can lead to premature stall and flow separation, further underscoring the need for robust control strategies [].
A summary of the key aircraft parameters relevant to flight dynamics and control design [] is presented in Table 1, which consolidates the essential aerodynamic and physical properties of the Twin Otter.

Table 1.
Key parameters of the Twin Otter aircraft relevant to flight dynamics and control design.
To provide a clearer illustration of the system variables used in this study, a simplified geometric representation of the Twin Otter aircraft is presented in Figure 1. This figure explicitly defines the primary aerodynamic and control-related variables, including angle of attack (), pitch angle (), pitch rate (q), and thrust components (, ), which are essential for understanding the aircraft dynamics and subsequent control design.

Figure 1.
Simplified geometric representation of the Twin Otter aircraft.
These characteristics, coupled with the aircraft’s strict-feedback nonlinear dynamics, underscore the necessity of advanced adaptive and fault-tolerant control strategies to ensure operational safety and reliability under uncertain conditions.
2.2. Problem Formulation and System Modeling
To evaluate the effectiveness and generalizability of the proposed control method, the controller was initially designed based on a parametric strict-feedback nominal system. The longitudinal dynamics of the Twin Otter aircraft are represented as a second-order parametric strict-feedback nominal system.
This paper considers a parametric strict-feedback nominal system with relative degree , following the formulation in [], incorporating uncertain parameters and actuator failures, as described below.
where are the states of the nth-order system, specifically representing the longitudinal dynamic states of the aircraft, such as pitch angle (), pitch angular rate, and associated states. Define as the state vector, and let y denote the system output. The control input is represented as , where k is the index of the input channel, typically corresponding to actuators controlling aerodynamic surfaces (e.g., elevator deflection). The nonlinear functions are known system functions that characterize known aerodynamic and physical nonlinearities, while represents time-varying unknown parameters reflecting parametric uncertainties in aerodynamic coefficients or modeling inaccuracies. The term is a known nonlinear function related to the system state, and values are unknown actuator health factors quantifying actuator effectiveness, where indicates a healthy actuator and indicates partial actuator faults. The subsystem represents additional system dynamics including internal coupling effects or external disturbances, with the input .
We can define the state output tracking error as , where represents the reference trajectory of the output state. The derivatives of up to the th order are assumed to be piecewise continuous, bounded, and known.
The system described above corresponds to a higher-order parametric strict-feedback system. When considering only the longitudinal dynamics of the Twin Otter aircraft, the second-order parametric strict-feedback system is a valid representation. Theoretical analysis and proofs based on this higher-order formulation are provided below to demonstrate the broad applicability of the proposed method.
3. Design and Analysis of an Adaptive Controller with Prescribed Performance and Restricted Boundaries
3.1. Prescribed Performance of the Tracking Error
In prescribed performance control, the tracking error must satisfy the following fundamental inequality constraint:
where
with a fixed positive boundary .
Remark 1.
The prescribed performance function bound δ introduced in [] is defined as , where δ is a positive constant less than 1. However, from a theoretical perspective, this constraint limits the general applicability of prescribed performance control and is not inherently necessary. To overcome these limitations, this paper introduces a novel time-varying boundary design characterized by three key features: (1) infinite initial values, (2) finite-time convergence, and (3) asymmetric properties. This innovative framework eliminates the restrictive requirement in [] that the initial value of the performance function must exceed the initial tracking error, thereby significantly enhancing the controller’s flexibility and applicability.
Based on Remark 1 and incorporating inequality (2), an improved inequality relationship can be established between the tracking error and the prescribed performance function:
where and are time-varying functions that satisfy the following conditions.
- 1.
- and are strictly decreasing functions.
- 2.
Remark 2.
Under these conditions, in contrast to the approach presented in [], the boundary initial values are no longer required to be infinite, nor is error normalization necessary. Since the boundary is no longer fixed at a single point, the issue of singularity is effectively eliminated. This improvement significantly enhances the practical applicability of prescribed performance control in engineering systems.
Building upon the designed time-varying boundary function, a novel error transformation function is introduced as follows:
where represents the transformed error. We can define as the transformation error function. Unlike the conventional error transformation approach presented in [], the proposed formulation is expressed as
where is a fixed boundary parameter.
In this study, the conventional transformation error function becomes inapplicable due to the introduction of time-varying boundary constraints. To ensure that tracking errors remain bounded within the prescribed performance specifications, the proposed transformation error function must satisfy the following essential properties:
- 1.
- is monotonically increasing within its domain and possesses an inverse function, given by .
- 2.
- The function is bounded as follows: .
- 3.
- The asymptotic limits satisfy
Building upon the three fundamental conditions established for the transformation error function, we propose a variable-boundary transformation error function, whose inverse function is defined as follows:
where and are the time-varying boundary functions. The explicit formulation of these boundary functions will be provided in the subsequent controller design.
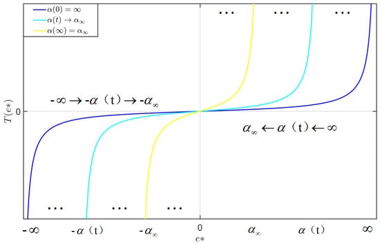
A more intuitive understanding of the characteristics and operational principles of the variable-bound transformation error function can be obtained from Figure 2. The figure illustrates the relationship between the transformation error and its inverse function, demonstrating how the proposed variable-bound limiting mechanism effectively emulates the behavior of a fixed-bound prescribed performance controller at arbitrary times.

Figure 2.
Relationship between the transformation error and the restriction function.
Remark 3.
The proposed transformation error function differs fundamentally from that in [] in several key aspects. Unlike the fixed-boundary approach, the proposed methodology accommodates any feasible restriction function with dynamic boundaries, provided that the transformation error remains constrained within a time-varying range. Furthermore, the performance function in this work exhibits distinct characteristics compared to [], acting as a dynamic variable that defines an adaptive boundary to effectively mitigate the initial value restriction problem. Notably, the restriction function and boundary conditions in the proposed approach can be readily implemented without imposing additional constraints or requiring error normalization, thereby significantly enhancing the controller’s flexibility and practical applicability.
3.2. Boundary Setting for System States
The control objective in this study is specifically formulated with a targeted focus: rather than enforcing strict performance tracking for all state errors, only the higher-order state errors are required to remain within predefined performance bounds. This selective constraint enhances design flexibility while ensuring essential system stability. The prescribed boundaries are defined as follows:
where represents a known upper bound determined through systematic analysis and empirical design. In this study, this bound is further refined using a novel barrier Lyapunov function.
This study introduces a novel and structurally simple barrier Lyapunov function, defined as follows:
Remark 4.
Previous studies have employed various formulations of barrier Lyapunov functions. The integral form was utilized in [,], while ref. [] adopted the logarithmic form. However, these conventional structures often lead to complex derivations and increased computational costs. To overcome these limitations, this paper proposes a barrier Lyapunov function characterized by its structural simplicity and computational efficiency. The proposed formulation effectively constrains state errors while significantly reducing implementation complexity. Nevertheless, the proposed barrier Lyapunov function in Equation (9) may encounter numerical instability issues (e.g., the “little divisor numerical problem”) when the state variable approaches its boundary . In practical implementations, this issue can be effectively mitigated by introducing an appropriate safety margin to ensure the system state remains sufficiently distant from the theoretical boundary. Additionally, numerical saturation techniques or dynamically adjustable boundaries based on real-time state monitoring can be employed to further enhance numerical robustness and computational stability.
3.3. Adaptive Fault-Tolerant Control with Prescribed Performance Functions
To enhance the robustness of the Twin Otter aircraft system in the presence of actuator faults and system uncertainties, this study proposes an adaptive fault-tolerant control (FTC) strategy. The control framework, illustrated in Figure 3, comprises multiple interconnected modules designed to ensure stable flight performance under fault conditions.

Figure 3.
Architecture of the adaptive fault-tolerant control (FTC) system for the Twin Otter aircraft. The system integrates tracking error computation, a prescribed performance function, and adaptive compensation mechanisms to ensure robust control.
The adaptive FTC controller dynamically adjusts control laws based on tracking errors and actuator health status. The control process is structured into the following key components.
- Auxiliary Function: Generated based on real-time fault information, auxiliary functions simultaneously adjust the bounds of the prescribed performance functions to compensate for actuator faults.
- Adaptive Boundary Adjustment: This feature dynamically modifies error bounds in response to auxiliary function outputs, ensuring system stability under varying fault conditions.
- Prescribed Performance Function: This function stablishes transient and steady-state performance constraints to regulate tracking errors within predefined limits.
- Tracking Error Computation: This feature computes the deviation between the desired trajectory and the actual response y, serving as the basis for adaptive control law design.
The overall system operates under a feedback adaptation mechanism, wherein the adaptive controller continuously adjusts control laws based on real-time tracking errors and actuator conditions. The control input is applied to the aircraft dynamics, and any detected fault triggers an adaptive compensation mechanism to maintain stable performance.
The adaptive backstepping-based fault-tolerant control law is developed with a prescribed performance function, ensuring constrained transient and steady-state performance. The system tracking error states are defined as follows:
where represents the virtual control signal at each step.
Following the adaptive backstepping fault-tolerant control system with the prescribed performance function proposed in [], the control system in this study introduces modifications such that the ith virtual controller is formulated during the fault-free period as follows:
where is a positive constant, and the parameters and are given by
The terms and are defined as
The Lyapunov function for the tracking error is defined as
where represents the parameter estimation error, is the estimated value of , and is a positive constant.
The Lyapunov function for the ith state is given by
Differentiating yields the following:
Using (10)–(16), the parameter update law in the controller is designed as follows:
The ith-order virtual control law is designed based on (1), (10), and (15) as follows:
For the final virtual control law,
where the parameters are defined as
Substituting Equations (11) and (17)–(19) into the derivative of Equation (16) yields the following inequality:
where are positive constants.
According to inequality (20), in the absence of faults, the system ensures that the states eventually converge to a small neighborhood of the origin. The finite-time convergence analysis and the prescribed transient and steady-state performance characteristics will be discussed in detail in the next section on adaptive fault-tolerant control. This section focuses on analyzing the maximum error function over the fault-free period, which is defined as a detection function, as in [].
To determine the maximum system tracking error in the absence of faults, as in [], integrating inequality gives
where , , and are the initial error values of , , and , respectively. The variable represents a time period . Similarly, in applying (14), (15) and (20), we can obtain the following:
where represents the number of actuator failures, and , , and are the error values at time . The variable represents the time period . To facilitate further analysis, we then define the parameter as
Then, we obtain the following:
A detailed control flowchart of the adaptive FTC with prescribed performance is presented in Figure 4, illustrating the interaction between the control laws and the adaptive compensation mechanisms.
Remark 5.
The parameter defines the upper bound of the system error under fault conditions and plays a critical role in designing the prescribed performance function.

Figure 4.
Mathematical flowchart of the adaptive FTC with prescribed performance. This diagram illustrates the derivation process of the control laws, including Lyapunov-based stability analysis and actuator fault compensation.
Thus, the proposed adaptive FTC with PPF ensures stability, robustness, and effective fault compensation, enabling the safe operation of the Twin Otter aircraft even in the presence of actuator failures.
4. Adaptive Fault-Tolerant Controller Design and Analysis
This section presents an adaptive fault-tolerant controller designed to ensure prescribed transient and steady-state tracking performance for the parametric strict-feedback nonlinear system, even in the presence of actuator failures. The proposed controller utilizes a prescribed performance function to guarantee fixed-time convergence of tracking errors from any initial condition. Additionally, it integrates a fault detection mechanism that dynamically adjusts the error bound range upon fault occurrence.
Firstly, the fault characteristics of the system are described as
where indicates that the jth actuator is fault-free, while with signifies a fault occurring in the jth actuator at time . Additionally, let there be j actuator failures within the time interval , where .
To relate fault information to the adjustment parameters of the prescribed performance boundaries, we define the following:
The performance function with fixed-time convergence properties is defined as in []:
where and are positive constants representing the initial and minimum values of the performance function, respectively. The parameter denotes the time required for the performance function to reach its predefined minimum value.
Based on condition (4) for the prescribed performance function, a time-varying boundary function with the following prescribed performance characteristics is designed:
where and are positive parameters that can be adjusted based on fault information. The exponents satisfy and , while and represent the rate of change of the boundary function and are positive constants.
The following inequalities hold according to (26) and (27):
where
Remark 6.
The parameters and are positive and can be adjusted based on . The details are given as follows:
where and are positive parameters, and . The terms are defined as
A similar inequality can be derived from (9) and (24), as follows:
Remark 7.
From inequality (30), a more refined range for fault detection in the system can be obtained.
Based on the prescribed performance controller designed above, the transformation error with adjustable parameters is defined as follows:
where represents the virtual control signal for the ith state.
The derivative of is given by
Incorporating the fault information described above, the Lyapunov function for the time period , during which the jth actuator fails, is designed as follows:
where
Here, , where represents the compensation rate for the fault-tolerant tuning controller. If the fault occurrence time and magnitude are known, denotes the expected compensation vector, while is its estimated value.
According to (31) and (35), the virtual control law and parameter update rate are designed as follows:
The parameter update rate is given by
The tuning controller for fault compensation is derived as
The adaptation law for the estimated parameters is given by
where are positive constants, and w is defined as
According to (9), we obtain
Substituting Equations (34) and (39)–(41) into the derivative of Equation (35) and simplifying, we can obtain
Similar to Part C in the previous section, the above conclusions indicate that, in the event of a failure of j actuators, the proposed controller ensures that , , and converge to a neighborhood of the origin. Simultaneously, the state variables remain constrained within a predefined range through the design of prescribed performance functions with adjustable bounds.
5. Simulation
In this section, two sets of simulation data are presented to validate the effectiveness and transient performance advantages of the proposed fault-tolerant control system.
Firstly, the same model as in [] is used. Based on the Twin Otter aircraft model in [], the following definitions are introduced. and represent the combined forces along the fuselage x- and z-axes, respectively; and denote the thrust components along these axes; M is the aerodynamic moment; m is the aircraft mass; g is the gravitational force; is the air density; is the moment of inertia about the pitch axis; S is the wing reference area; c is the mean aerodynamic chord; represents the dynamic pressure.
The aerodynamic coefficients , , and describe the aerodynamic forces and moments as functions of the angle of attack, pitch angle, and elevator deflection. The known aerodynamic parameters, obtained from experimental data, are represented by , , and .
The longitudinal dynamics of the Twin Otter aircraft are modeled as follows:
where
The aerodynamic coefficients are expressed as
The state variables are defined as where , , , and correspond to velocity, angle of attack, pitch angle, and pitch rate, respectively.
The transformation variables are designed as , and the transformed system equations are given by
where
The transformation functions are defined as
where , and .
Finally, the governing equations for transformation constraints are given by
where
The values of all system parameters are provided in Table 1 and Table 2. The fault scenario is defined as for , with . The reference output signal for the system is specified as .

Table 2.
Aerodynamic coefficients for Twin Otter aircraft control modeling.
The predefined control parameters for the proposed adaptive fault-tolerant control system are specified as follows.
- Initial estimated parameter vector:
- Adaptation gain matrix:
- Initial compensation parameter:
- Adaptation gains for fault compensation:
- Controller gains:
- Parameters of the prescribed performance function : , ,
- Boundary values for transformed tracking error:
- Boundary function parameters: , ,
- Upper boundary function parameters: , ,
- Lower boundary function parameters: , ,
To simplify the practical implementation and tuning of the above control parameters, a sensitivity analysis approach was conducted to provide recommended initial parameter ranges and guidelines. Based on simulation experience, it is recommended that the primary focus be on on tuning a few critical parameters, such as the adaptation gain matrix , fault compensation gains , and controller gains , as these parameters have the most significant impact on the control performance. The other parameters listed above can typically remain at the recommended initial values provided. This approach significantly reduces complexity and facilitates practical implementation.
Secondly, the system described above is utilized to validate the stability and robustness of the fault-tolerant control scheme incorporating the newly defined performance function. Additionally, this evaluation assesses whether the barrier Lyapunov function effectively constrains the tracking error within predefined bounds.
The initial system state is set as
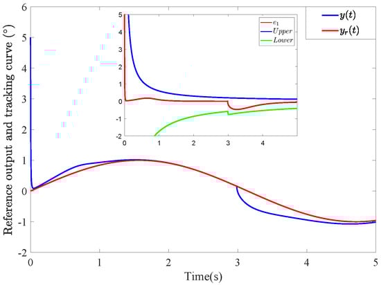
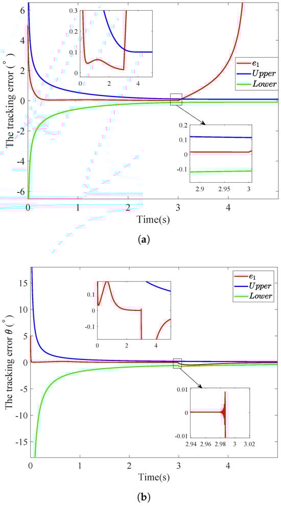
Figure 5 and Figure 6 illustrate the system’s output tracking the reference trajectory and the corresponding tracking error evolution within the prescribed boundary limits, respectively. Figure 7, Figure 8 and Figure 9 present the state error dynamics over time.

Figure 5.
The time curve of the system output tracking the reference value.

Figure 6.
The time curve of the tracking error within the boundary range.

Figure 7.
The system state error curves of the V.

Figure 8.
The system state error curves of the .

Figure 9.
The system state error curves of the q.
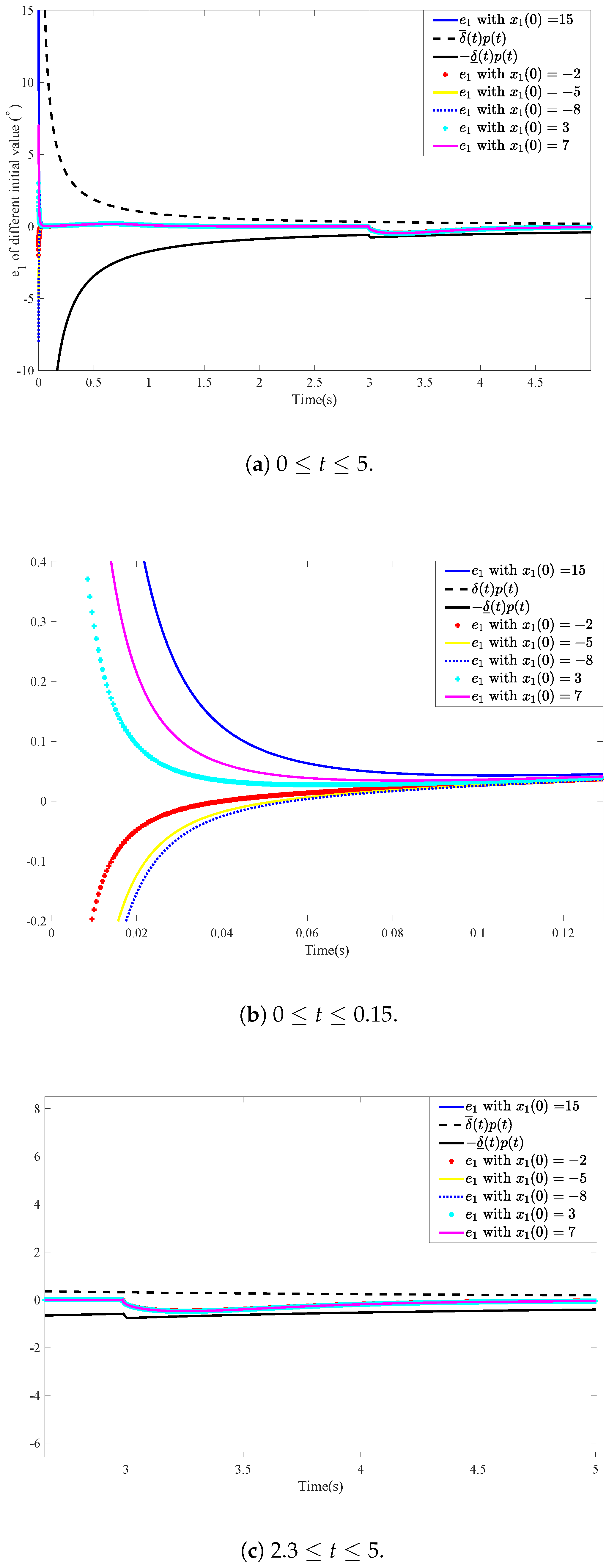
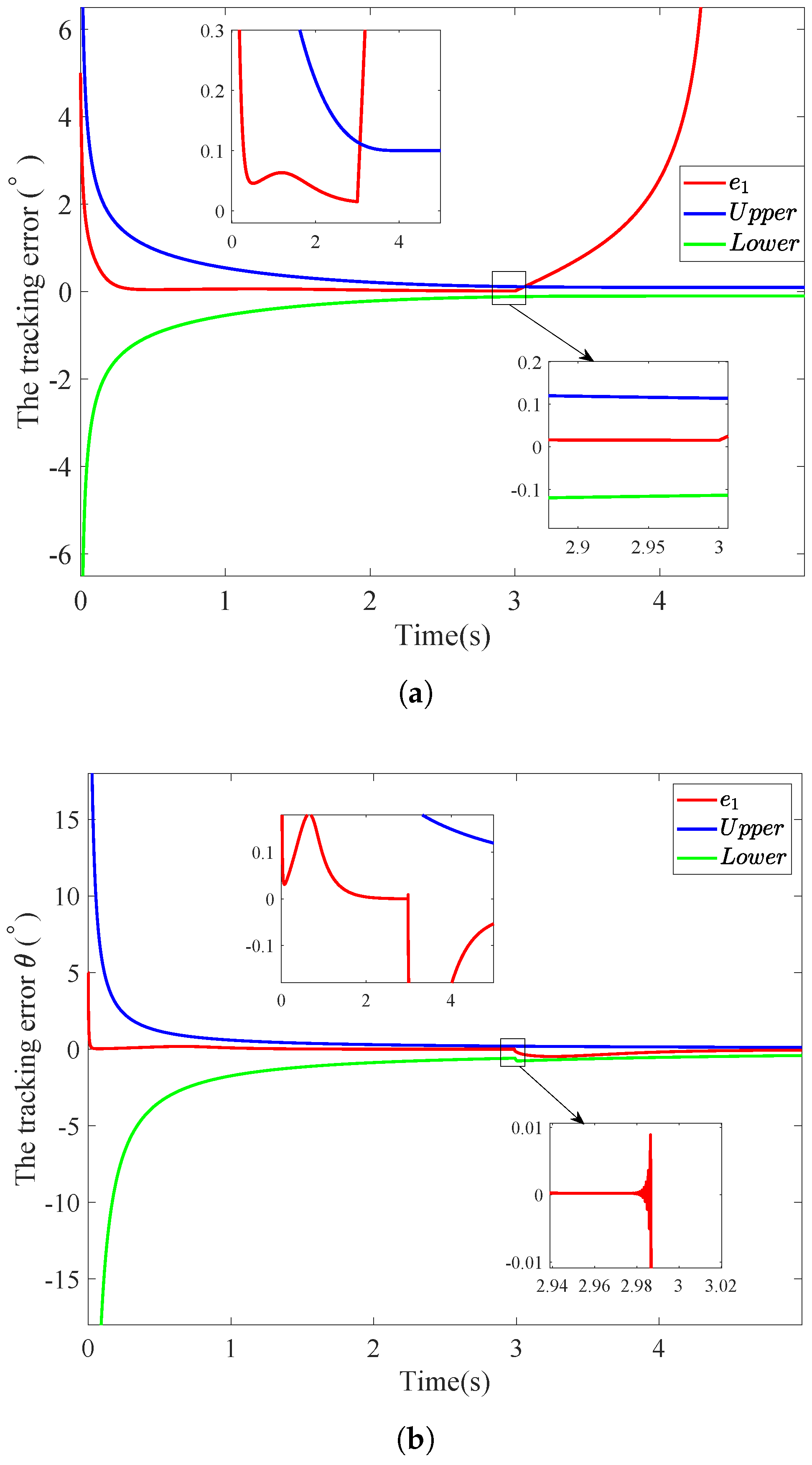
Finally, simulation results based on six different initial error values are presented to validate the controller’s fixed-time convergence properties and transient performance across varying initial conditions. The system state initial values are defined as
Figure 10 illustrates the time evolution of the tracking errors corresponding to these six initial values. Additionally, Figure 10b,c provide magnified views of the error trajectories around and , respectively. The advantages of the proposed adjustable boundary approach over the fixed-boundary method in [] under fault conditions are highlighted in Figure 11.

Figure 10.
Time profiles of the tracking errors based on six different initial values.

Figure 11.
The tracking error response curves are based on this paper’s control method and [], respectively. (a) Error response curve based on the boundary in []. (b) Error response curve based on the boundary in this paper.
Figure 11b demonstrates an extremely small tracking error converging to zero. It should be noted that the zero-error result presented here is due to the idealized conditions used in numerical simulations, where external disturbances, actuator delays, and measurement noise were not considered. In practical engineering scenarios, the tracking error will generally converge to a very small but non-zero neighborhood around the origin. Specifically, the steady-state error magnitude observed in these simulations is in the order of .
Although explicit results of comparative simulations with other existing controllers have not been graphically presented here, numerical analysis and theoretical comparisons indicate that the proposed adaptive fault-tolerant control method exhibits clear advantages in terms of improved transient performance, reduced sensitivity to initial conditions, and enhanced robustness against actuator faults and parametric uncertainties. Specifically, compared to conventional fixed-boundary methods such as those presented in [], the proposed adjustable boundary control strategy effectively mitigates error-bound saturation issues and achieves faster convergence under fault conditions. Detailed quantitative comparisons and comprehensive graphical validations against existing control methods will be conducted and presented in future research.
6. Conclusions
This paper presents an adaptive fault-tolerant controller that integrates finite-time convergence with time-varying bounded prescribed performance functions. The proposed controller effectively addresses the tracking control problem for the Twin Otter aircraft system, even in the presence of parametric uncertainties and actuator faults, while ensuring robust transient and steady-state performance.
Specifically, the introduction of time-varying performance boundaries overcomes the limitations of conventional prescribed performance control by relaxing initial condition constraints and mitigating singularity issues. Furthermore, the integration of fault detection and adaptive compensation mechanisms enables the controller to maintain satisfactory performance despite actuator failures.
Simulation results show that the proposed control method achieves fast convergence and effectively mitigates post-fault instability issues, while keeping the tracking error stable in the order of , compared with traditional fixed-bound performance methods (e.g., ref. []). This highlights the superior transient performance and robustness of our method.
Future research will focus on conducting experimental validation of the proposed controller on a real Twin Otter aircraft platform to verify and reinforce the numerical simulation results presented herein. Additionally, future studies will extend the proposed methodology to address multi-channel coupled control issues, including lateral–directional dynamics and the inherent cross-coupling effects among different control channels, which represent critical challenges in practical aircraft systems. Furthermore, future investigations will include explicit graphical validations and detailed analyses of adaptive parameter estimation processes to comprehensively evaluate and illustrate the practical advantages and robustness of the adaptive laws proposed in this research.
Author Contributions
Conceptualization, D.B. and C.L. (Changliang Lin); methodology, D.B.; software, D.B. and C.L. (Chonglang Lai); validation, D.B., Z.D. and X.X.; formal analysis, Z.D.; investigation, X.X. and C.L. (Chonglang Lai); resources, C.L. (Changliang Lin); data curation, D.B.; writing—original draft preparation, D.B. and Z.D.; writing—review and editing, D.B. and Z.D.; visualization, X.X.; supervision, C.L. (Changliang Lin); project administration, L.S. and C.L. (Changliang Lin); funding acquisition, L.S. All authors have read and agreed to the published version of the manuscript.
Funding
This research was funded by the National Key Laboratory of Helicopter Dynamics of China, grant number 2024-CXPT-GF-JJ-093-10.
Data Availability Statement
Data are contained within the article.
Conflicts of Interest
Authors Dan Bai, Changliang Lin, Zhiwei Ding, Lin Sun, Xiaoming Xie and Chonglang Lai were employed by the company Avic Harbin Aircraft Industry Group Co., Ltd.
References
- Cao, Y.H.; Tan, W.Y.; Sun, Y. The Effects of Icing on Aircraft Longitudinal Aerodynamic Characteristics. Mathematics 2020, 8, 1171. [Google Scholar] [CrossRef]
- Bechlioulis, C.P.; Rovithakis, G.A. Decentralized Robust Synchronization of Unknown High Order Nonlinear Multi-Agent Systems With Prescribed Transient and Steady State Performance. IEEE Trans. Autom. Control. 2017, 62, 123–134. [Google Scholar] [CrossRef]
- Ouyang, H.P.; Lin, Y. Adaptive fault-tolerant control for actuator failures: A switching strategy. Automatica 2017, 81, 87–95. [Google Scholar] [CrossRef]
- Zhang, J.X.; Yang, G.H. Prescribed Performance Fault-Tolerant Control of Uncertain Nonlinear Systems with Unknown Control Directions. IEEE Trans. Autom. Control. 2017, 62, 6529–6535. [Google Scholar] [CrossRef]
- Deng, X.F.; Huang, Y.Q. Position and Attitude Tracking Finite-Time Adaptive Control for a VTOL Aircraft Using Global Fast Terminal Sliding Mode Control. Mathematics 2023, 12, 2732. [Google Scholar] [CrossRef]
- Gao, X.; Zhang, J.X.; Hao, L. Fault-Tolerant Control of Pneumatic Continuum Manipulators Under Actuator Faults. IEEE Trans. Ind. Informatics 2021, 17, 8299–8307. [Google Scholar] [CrossRef]
- Huang, S.; Tan, K.K.; Xiao, M. Automated Fault Diagnosis and Accommodation Control for Mechanical Systems. IEEE/ASME Trans. Mechatronics 2015, 20, 155–165. [Google Scholar] [CrossRef]
- Bechlioulis, C.P.; Rovithakis, G.A. Robust Adaptive Control of Feedback Linearizable MIMO Nonlinear Systems with Prescribed Performance. IEEE Trans. Autom. Control. 2008, 53, 2090–2099. [Google Scholar] [CrossRef]
- Wu, Z.L.; Ye, J.C. Dynamic Event-Triggered Prescribed Performance Robust Control for Aggressive Quadrotor Flight. Aerospace 2024, 11, 301. [Google Scholar] [CrossRef]
- Dimanidis, S.; Bechlioulis, C.P.; Rovithakis, G.A. Output Feedback Approximation-Free Prescribed Performance Tracking Control for Uncertain MIMO Nonlinear Systems. IEEE Trans. Autom. Control. 2020, 65, 5058–5069. [Google Scholar] [CrossRef]
- Mai, G.; Wang, H.L. Nonlinear Extended State Observer and Prescribed Performance Fault-Tolerant Control of Quadrotor Unmanned Aerial Vehicles Against Compound Faults. Aerospace 2024, 11, 903. [Google Scholar] [CrossRef]
- Al-Dujaili, A.; Cocquempot, V.; Najjar, M.E.; Pereira, D.; Humaidi, A. Fault Diagnosis and Fault Tolerant Control for Linked Two-Wheel Drive Mobile Robots. In Mobile Robot: Motion Control and Path Planning; Springer International Publishing: Cham, Switzerland, 2023; pp. 403–437. [Google Scholar]
- Al-Dujaili, A.; Cocquempot, V.; Najjar, M.E.; Pereira, D.; Humaidi, A. Adaptive Fault-Tolerant Control Design for Multi-Linked Two-Wheel Drive Mobile Robots. In Mobile Robot: Motion Control and Path Planning; Springer International Publishing: Cham, Switzerland, 2023; pp. 283–329. [Google Scholar]
- Zhao, K.; Song, Y.D.; Chen, C.L. Adaptive Asymptotic Tracking with Global Performance for Nonlinear Systems with Unknown Control Directions. IEEE Trans. Autom. Control. 2022, 67, 1566–1573. [Google Scholar] [CrossRef]
- Ji, R.H.; Yang, B.; Ma, J.; Ge, S.S. Saturation-Tolerant Prescribed Control for a Class of MIMO Nonlinear Systems. IEEE Trans. Cybern. 2021, 52, 13012–13026. [Google Scholar] [CrossRef] [PubMed]
- Bhat, S.P.; Bernstein, D.S. Finite-Time Stability of Continuous Autonomous Systems. Soc. Ind. Appl. Math. 2000, 38, 751–766. [Google Scholar] [CrossRef]
- Polyakov, A. Nonlinear Feedback Design for Fixed-Time Stabilization of Linear Control Systems. IEEE Trans. Autom. Control. 2012, 57, 2106–2110. [Google Scholar] [CrossRef]
- Xia, J.; Zhang, J.; Sun, W.; Zhang, B. Finite-Time Adaptive Fuzzy Control for Nonlinear Systems with Full State Constraints. IEEE Trans. Syst. Man Cybern. Syst. 2019, 49, 1541–1548. [Google Scholar] [CrossRef]
- Li, H.; Lu, P.; Li, Z.W. Finite Time-Adaptive Full-State Quantitative Control of Quadrotor Aircraft and QDrone Experimental Platform Verification. Drones 2024, 8, 351. [Google Scholar] [CrossRef]
- Zhang, L.; Liu, H.; Tang, D. Adaptive Fixed-Time Fault-Tolerant Tracking Control and Its Application for Robot Manipulators. IEEE Trans. Ind. Electron. 2022, 69, 2956–2966. [Google Scholar] [CrossRef]
- Fu, M.Y.; Yu, L.L. Finite-time extended state observer-based distributed formation control for marine surface vehicles with input saturation and disturbances. Ocean. Eng. 2018, 159, 219–227. [Google Scholar] [CrossRef]
- Zhao, K.; Song, Y.D.; Ma, T.; He, L. Prescribed Performance Control of Uncertain Euler—Lagrange Systems Subject to Full-State Constraints. IEEE Trans. Neural Netw. Learn. Syst. 2018, 29, 3478–3489. [Google Scholar] [CrossRef]
- Yang, H.P.; Zhang, Z.Q. An Adaptive Control Scheme for Longitudinal Dynamics of A Twin Otter Aircraft. In Proceedings of the 2021 40th Chinese Control Conference (CCC), Shanghai, China, 26–28 July 2021; pp. 2275–2279. [Google Scholar] [CrossRef]
- Ouyang, H.P.; Zhou, E.B.; Wang, C.Q. Fault tolerant control for actuator failures with application to a twin otter aircraft. In Proceedings of the 2022 IEEE 17th Conference on Industrial Electronics and Applications (ICIEA), Chengdu, China, 16–19 December 2022; pp. 52–57. [Google Scholar] [CrossRef]
- Wu, Z.L.; Wu, B.Y.; Lv, B.; Cao, Y.H. Heavy rain effects on aircraft lateral/directional stability and control determined from numerical simulation data. Aerosp. Sci. Technol. 2018, 80, 472–481. [Google Scholar] [CrossRef]
- Wu, Z.L.; Cao, Y.H.; Ismail, M. Heavy rain effects on aircraft longitudinal stability and control determined from numerical simulation data. Proc. Inst. Mech. Eng. Part G J. Aerosp. Eng. 2015, 229, 1824–1842. [Google Scholar] [CrossRef]
- Su, X.H.; Su, Y.N.; Liu, P. Adaptive Fuzzy Control for Full-State Constraints Twin Otter Aircraft with Actuator Failure. In Proceedings of the 2023 IEEE International Conference on Unmanned Systems (ICUS), Hefei, China, 13–15 October 2023; pp. 263–268. [Google Scholar] [CrossRef]
- Wang, C.L.; Guo, L. Adaptive compensation for infinite number of actuator failures with an application to flight control. Int. J. Adapt. Control Signal Process. 2016, 30, 443–455. [Google Scholar] [CrossRef]
- Lv, B.Y.; Cao, Y.H.; Wu, Z.L. Numerical Simulation of Aerodynamic Penalties of the DHC-6 Twin Otter Aircraft in Heavy Rain. J. Aerosp. Eng. Mec. 2017, 1, 30–39. [Google Scholar] [CrossRef]
- Tang, X.D.; Tao, G. Adaptive actuator failure compensation for parametric strict feedback systems and an aircraft application. Automatica 2003, 39, 1975–1982. [Google Scholar] [CrossRef]
- Wang, W.; Wen, C.Y. Adaptive actuator failure compensation control of uncertain nonlinear systems with guaranteed transient performance. Automatica 2010, 46, 2082–2091. [Google Scholar] [CrossRef]
- Fu, M.Y.; Dong, L.J.; Xu, Y.J. A novel asymmetrical integral barrier Lyapunov function-based trajectory tracking control for hovercraft with multiple constraints. Ocean. Eng. 2022, 263, 112–132. [Google Scholar] [CrossRef]
- Fu, M.Y.; Zhang, T.; Ding, F.G. Safety-guaranteed adaptive neural motion control for a hovercraft with multiple constraints. Ocean. Eng. 2021, 220, 401–413. [Google Scholar] [CrossRef]
- Avram, R.C.; Zhang, X.; Muse, J. Quadrotor Actuator Fault Diagnosis and Accommodation Using Nonlinear Adaptive Estimators. IEEE Trans. Control. Syst. Technol. 2017, 25, 2219–2226. [Google Scholar] [CrossRef]
Disclaimer/Publisher’s Note: The statements, opinions and data contained in all publications are solely those of the individual author(s) and contributor(s) and not of MDPI and/or the editor(s). MDPI and/or the editor(s) disclaim responsibility for any injury to people or property resulting from any ideas, methods, instructions or products referred to in the content. |
© 2025 by the authors. Licensee MDPI, Basel, Switzerland. This article is an open access article distributed under the terms and conditions of the Creative Commons Attribution (CC BY) license (https://creativecommons.org/licenses/by/4.0/).