Effect of Solid-to-Gas Ratio on Powder Fuel Mixing in a Cavity-Based Supersonic Combustion Chamber with Induced Shock: A Numerical Study
Abstract
1. Introduction
2. Physical Model and Flow Conditions
3. Numerical Model and Method
3.1. Governing Equations of Continuity Phase
3.2. Turbulence Model of Continuity Phase
3.3. Governing Equations of Dispersed Phase
3.4. Validation of Numerical Methods
3.4.1. Validation of Continuous Phase
3.4.2. Validation of Dispersed Phase
3.5. Grid and Independence Verification
4. Results and Discussion
4.1. Effect on Shock Wave Structures
4.2. Effect on Vortex Structures
4.3. Effect on Flow Process of Powder Fuel
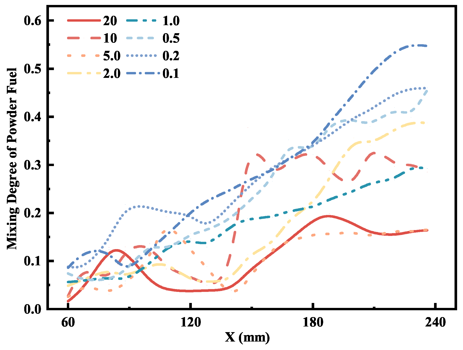
4.4. Effect on Mixing Efficiency of Powder Fuel
5. Conclusions
- The solid-to-gas ratio plays a critical role in the behavior of shock waves in the supersonic combustion chamber. When the solid-to-gas ratio exceeds 1.0, the induced shock waves from the top wall dominate. As the solid-to-gas ratio decreases, the intensity and position of the shock waves, bow shock waves, and cylindrical shock waves change, leading to complex shock wave interactions. These changes result in variations in shock wave structures, affecting the development of the shear layer and the main flow process.
- The solid-to-gas ratio significantly affects the vortex structures and their development in the supersonic combustion chamber. Triangular recirculation vortices appear in the cavity’s front part at higher solid-to-gas ratios due to sudden expansion. As the solid-to-gas ratio increases, these recirculation vortices extend along the flow direction, gradually expanding to cover the entire cavity. Additionally, in regions with significant shock wave interactions, the turbulent kinetic energy levels of the flow field increase, enhancing flow instability.
- Particle diffusion shows significant differences at varying solid-to-gas ratios. At higher ratios, particles enter the cavity following the stream and are retained in the cavity. As the ratio decreases, particles pass through the cavity or are deflected back into the flow field, continuing downstream with increased Z-direction diffusion. At very low ratios (e.g., 0.1), particles enter the vortex structures due to wall effects, leading to rapid Z-direction diffusion. Vortex structures are crucial for particle movement and diffusion. Different solid-to-gas ratios produce varying vortex structures, altering particle diffusion. For better diffusion, vortex structures and particles should be in the same regions to enhance interaction.
- The development distribution of powder fuel mixing degrees shows certain differences at different solid-to-gas ratios. At certain specific ratios, the mixing degree of the fuel reaches a high level within a specific range. The interaction between powder fuels and the peripheral rotating regions of these vortices significantly improves the mixing efficiency, with the highest average mixing efficiency increased by 30%. Overall, the enhancement of powder fuel mixing is more related to the rotating regions around large-scale vortices. Higher mixing degrees can be achieved by adjusting the appropriate solid-to-gas ratio to interact with vortex structures or by enhancing the influence of vortex structures and inducing particles into the vortices.
Author Contributions
Funding
Data Availability Statement
Conflicts of Interest
Abbreviations
| a | Gaussian distribution width control parameter |
| Surface area of particle | |
| Mixing degree of powder fuel | |
| Drag coefficient of particle | |
| Heat capacity of particle | |
| Binary mass diffusion coefficient of species i in species j | |
| Deformation tensor | |
| Mass diffusion coefficient for species i (gas) | |
| Particle diameter of powder fuel | |
| Thermal diffusion coefficient for species i (gas) | |
| Particle emissivity | |
| Mass flow ratio of oxygen and particle entering the system | |
| Drag force of particle | |
| Additional force added to particle | |
| Pressure gradient force of particle | |
| Saffman’s lift force of particle | |
| Effective diffusivity for k | |
| Effective diffusivity for | |
| Generation of k | |
| Generation of | |
| h | Convective heat transfer coefficient |
| Diffusion flux of species i (gas) | |
| k | Turbulence kinetic energy |
| K | Constant for Saffman’s lift force |
| Effective conductivity of gas | |
| Molecular conductivity of gas | |
| Turbulent thermal conductivity | |
| Ma | Mach number |
| MAPE | Mean absolute percentage error |
| Mass flow rate of jet | |
| Mass flow rate of powder fuel | |
| Particle mass of powder fuel | |
| Effective dynamic viscosity of gas | |
| Molecular viscosity of gas | |
| Turbulent viscosity | |
| Number of particles in parcel | |
| Number concentration of particles | |
| Kinematic viscosity | |
| Specific dissipation rate | |
| Total pressure of supersonic inflow | |
| Static pressure of gas | |
| Particle variable | |
| Accumulation of particle variable on node | |
| Coefficient of determination | |
| Relative Reynolds number of particle | |
| Density of gas | |
| Density of powder fuel | |
| Net rate of production of species i (gas) | |
| Turbulent Schmidt number | |
| Energy source term added to continuous phase from dispersed phase | |
| Net rate of production of species i (gas) from dispersed phase | |
| Stefan–Boltzmann constant | |
| Source terms of k from dispersed phase | |
| Mass source term added to continuous phase from dispersed phase | |
| Source terms of from dispersed phase | |
| SST model | Shear-Stress Transport turbulence model |
| Momentum source term added to continuous phase from dispersed phase | |
| Total temperature of supersonic inflow | |
| Stress tensor of gas | |
| Static temperature of gas | |
| Radiation temperature | |
| Static temperature of powder fuel | |
| or | Velocity of gas |
| Velocity of species i (gas) | |
| or | Velocity of powder fuel |
| w | Weighting function |
| Characteristic length scale of cell | |
| Mole fraction of species i (gas) | |
| Position of particle | |
| Position of node | |
| Dimensionless wall distance | |
| Mass fraction of species i (gas) | |
| Dissipation of k | |
| Dissipation of | |
| Mass fraction of | |
| Solid-to-gas ratio of injection |
References
- Fry, R.S. A century of ramjet propulsion technology evolution. J. Propuls. Power 2004, 20, 27–58. [Google Scholar] [CrossRef]
- Spalding, D.B. Some Fundamentals of Combustion; Butterworths: London, UK, 1955. [Google Scholar]
- Dugger, G.L. Recent advances in ramjet combustion. ARS J. 1959, 29, 819–827. [Google Scholar] [CrossRef]
- Branstetter, J.R.; Lord, A.M.; Gerstein, M. Combustion Properties of Aluminum as Ram-Jet Fuel; Technical Report E51B02; NACA Research Memorandum: Washington, DC, USA, 1951.
- Olson, W.T.; Gibbons, L.C. Status of Combustion Research on High-Energy Fuels for Ram Jets; Technical Report E51D23; NACA Research Memorandum: Washington, DC, USA, 1951.
- Goroshin, S.; Higgins, A.; Kamel, M. Powdered metals as fuel for hypersonic ramjets. In Proceedings of the 37th Joint Propulsion Conference and Exhibit, Salt Lake City, UT, USA, 8–11 July 2001; p. 3919. [Google Scholar]
- Jung, W.; Baek, S.; Park, J.; Kwon, S. Combustion characteristics of ramjet fuel grains with boron and aluminum additives. J. Propuls. Power 2018, 34, 1070–1079. [Google Scholar] [CrossRef]
- Miller, T.; Herr, J. Green rocket propulsion by reaction of Al and Mg powders and water. In Proceedings of the 40th AIAA/ASME/SAE/ASEE Joint Propulsion Conference and Exhibit, Fort Lauderdale, FL, USA, 11–14 July 2004; p. 4037. [Google Scholar]
- Gany, A. Effect of fuel properties on the specific thrust of a ramjet engine. Def. Sci. J. New Delhi 2006, 56, 321. [Google Scholar] [CrossRef]
- Young, G.; Balar, R.; Yu, K. Combustor Experiments of Reacting Nano-Particle Laden Flows. In Proceedings of the 42nd AIAA/ASME/SAE/ASEE Joint Propulsion Conference & Exhibit, Sacramento, CA, USA, 9–12 July 2006; p. 4401. [Google Scholar]
- Athawale, B.; Asthana, S.; Singh, H. Burning rate studies of metal powder (Ti, Ni)–based fuel-rich propellants. J. Energetic Mater. 2004, 22, 55–68. [Google Scholar] [CrossRef]
- Rosenband, V.; Gany, A. Ignition characteristics of nanosize zirconium and titanium Powders. In Proceedings of the 42nd AIAA/ASME/SAE/ASEE Joint Propulsion Conference & Exhibit, Sacramento, CA, USA, 9–12 July 2006; p. 4406. [Google Scholar]
- Shen, H.; Xia, Z.; Hu, J. Theoretical performance analysis of the powdered fuel ramjet. J. Propuls. Technol. Beijing 2007, 28, 181. [Google Scholar]
- Hu, J.; Xia, Z.; Shen, H.; Kong, L.; Huang, L. Experimental investigation on powdered fuel ramjet combustion performance. Trans. Jpn. Soc. Aeronaut. Space Sci. 2013, 56, 337–342. [Google Scholar] [CrossRef]
- Shen, H.; Xia, Z.; Hu, J.; Jin, J. Experimental investigation on self-sustaining combustion of powdered metal fuel ramjet. J. Solid Rocket Technol. 2009, 32, 145–149. [Google Scholar]
- Li, C.; Hu, C.; Zhu, X.; Hu, J.; Li, Y.; Hu, X. Experimental study on the thrust modulation performance of powdered magnesium and CO2 bipropellant engine. Acta Astronaut. 2018, 147, 403–411. [Google Scholar] [CrossRef]
- Li, C.; Hu, C.; Xin, X.; Li, Y.; Sun, H. Experimental study on the operation characteristics of aluminum powder fueled ramjet. Acta Astronaut. 2016, 129, 74–81. [Google Scholar] [CrossRef]
- Hu, X.; Xu, Y.; Ao, W.; Zeng, Z.; Hu, C.; Zhu, X. Ignition model of boron particle based on the change of oxide layer structure. Proc. Combust. Inst. 2019, 37, 3033–3044. [Google Scholar] [CrossRef]
- Liu, D.; Xia, Z.; Huang, L.; Hu, J. Boron particle combustion in solid rocket ramjets. J. Aerosp. Eng. 2015, 28, 04014112. [Google Scholar] [CrossRef]
- Williams, O.J.; Nguyen, T.; Schreyer, A.M.; Smits, A.J. Particle response analysis for particle image velocimetry in supersonic flows. Phys. Fluids 2015, 27, 7. [Google Scholar] [CrossRef]
- Huang, W.; Du, Z.b.; Yan, L.; Xia, Z.x. Supersonic mixing in airbreathing propulsion systems for hypersonic flights. Prog. Aerosp. Sci. 2019, 109, 100545. [Google Scholar] [CrossRef]
- Sun, M.; Wang, H.; Cai, Z.; Zhu, J. Unsteady Supersonic Combustion; Springer Nature Singapore Pte Ltd.: Singapore, 2020. [Google Scholar]
- Ben-Yakar, A.; Mungal, M.; Hanson, R. Time evolution and mixing characteristics of hydrogen and ethylene transverse jets in supersonic crossflows. Phys. Fluids 2006, 18, 2. [Google Scholar] [CrossRef]
- Mai, T.; Sakimitsu, Y.; Nakamura, H.; Ogami, Y.; Kudo, T.; Kobayashi, H. Effect of the incident shock wave interacting with transversal jet flow on the mixing and combustion. Proc. Combust. Inst. 2011, 33, 2335–2342. [Google Scholar] [CrossRef]
- Rana, Z.A.; Thornber, B.; Drikakis, D. Transverse jet injection into a supersonic turbulent cross-flow. Phys. Fluids 2011, 23, 4. [Google Scholar] [CrossRef]
- Sun, M.; Hu, Z. Formation of surface trailing counter-rotating vortex pairs downstream of a sonic jet in a supersonic cross-flow. J. Fluid Mech. 2018, 850, 551–583. [Google Scholar] [CrossRef]
- Sun, M.B.; Hu, Z.W. Mixing in nearwall regions downstream of a sonic jet in a supersonic crossflow at Mach 2.7. Phys. Fluids 2018, 30, 10. [Google Scholar] [CrossRef]
- Techer, A.; Moule, Y.; Lehnasch, G.; Mura, A. Mixing of fuel jet in supersonic crossflow: Estimation of subgrid-scale scalar fluctuations. AIAA J. 2018, 56, 465–481. [Google Scholar] [CrossRef]
- Sun, M.B.; Hu, Z. Generation of upper trailing counter-rotating vortices of a sonic jet in a supersonic crossflow. AIAA J. 2018, 56, 1047–1059. [Google Scholar] [CrossRef]
- Liang, C.H.; Sun, M.B.; Liu, Y.; Yang, Y.X. Shock wave structures in the wake of sonic transverse jet into a supersonic crossflow. Acta Astronaut. 2018, 148, 12–21. [Google Scholar] [CrossRef]
- Huang, W.; Wang, Z.g.; Wu, J.p.; Li, S.b. Numerical prediction on the interaction between the incident shock wave and the transverse slot injection in supersonic flows. Aerosp. Sci. Technol. 2013, 28, 91–99. [Google Scholar] [CrossRef]
- Gerdroodbary, M.B.; Ganji, D.; Amini, Y. Numerical study of shock wave interaction on transverse jets through multiport injector arrays in supersonic crossflow. Acta Astronaut. 2015, 115, 422–433. [Google Scholar] [CrossRef]
- Ukai, T.; Zare-Behtash, H.; Erdem, E.; Lo, K.H.; Kontis, K.; Obayashi, S. Effectiveness of jet location on mixing characteristics inside a cavity in supersonic flow. Exp. Therm. Fluid Sci. 2014, 52, 59–67. [Google Scholar] [CrossRef]
- Ukai, T.; Zare-Behtash, H.; Lo, K.H.; Kontis, K.; Obayashi, S. Effects of dual jets distance on mixing characteristics and flow path within a cavity in supersonic crossflow. Int. J. Heat Fluid Flow 2014, 50, 254–262. [Google Scholar] [CrossRef]
- Roos, T.; Pudsey, A.; Bricalli, M.; Ogawa, H. Numerical investigation of fuel mixing with upstream crescent cavities in a scramjet combustor. Acta Astronaut. 2020, 177, 611–626. [Google Scholar] [CrossRef]
- Gruber, M.; Baurle, R.; Mathur, T.; Hsu, K.Y. Fundamental studies of cavity-based flameholder concepts for supersonic combustors. J. Propuls. Power 2001, 17, 146–153. [Google Scholar] [CrossRef]
- Yang, Y.; Wang, Z.; Zhang, Y.; Sun, M.; Wang, H. Flame stabilization with a rear-wall-expansion cavity in a supersonic combustor. Acta Astronaut. 2018, 152, 752–756. [Google Scholar] [CrossRef]
- Ding, H.; Zhuo, C.; Deng, H.; Chen, X.; Sun, B. Numerical investigate on flow process and mixing characteristics of hydrogen/aluminum powder two-phase fuel under different inlet and injection conditions. Int. J. Hydrogen Energy 2024, 53, 1170–1189. [Google Scholar] [CrossRef]
- Ding, H.; Zhuo, C.; Deng, H.; Hu, W.; Chen, X. Numerical study on coupled flow characteristics of a gas-solid two-phase jet in a supersonic crossflow. Int. J. Multiph. Flow 2023, 168, 104583. [Google Scholar] [CrossRef]
- Ding, H.m.; Zhuo, C.f.; Chen, X.; Deng, H.y. Numerical study on powder fuel injection characteristics of powder fuel scramjet. Powder Technol. 2022, 399, 117169. [Google Scholar] [CrossRef]
- Feng, Y.; Luo, S.; Song, J.; Xia, K.; Xu, D. Numerical investigation on the combustion characteristics of aluminum powder fuel in a supersonic cavity-based combustor. Appl. Therm. Eng. 2023, 221, 119842. [Google Scholar] [CrossRef]
- Feng, Y.; Luo, S.; Song, J.; Xu, D. Numerical investigation on the combustion characteristics of powder fuel under different regulation parameters. Aerosp. Sci. Technol. 2023, 142, 108608. [Google Scholar] [CrossRef]
- Feng, Y.; Luo, S.; Song, J.; Xu, D. Numerical investigation on flow and mixing characteristics of powder fuel under strong shear and shock wave interaction. Energy 2023, 263, 126061. [Google Scholar] [CrossRef]
- Yang, J.; Hu, C.; Qiang, W.; Hu, J.; Hu, X.; Zhu, X. Experimental investigation on the starting and flow regulation characteristics of powder supply system for powder engines. Acta Astronaut. 2021, 180, 73–84. [Google Scholar] [CrossRef]
- Batchelor, G.K. An Introduction to Fluid Dynamics; Cambridge University Press: Cambridge, UK, 2000. [Google Scholar]
- Kee, R.J.; Coltrin, M.E.; Glarborg, P. Chemically Reacting Flow: Theory and Practice; John Wiley & Sons, Inc.: Hoboken, NJ, USA, 2005. [Google Scholar]
- Meneveau, C.; Poinsot, T. Stretching and quenching of flamelets in premixed turbulent combustion. Combust. Flame 1991, 86, 311–332. [Google Scholar] [CrossRef]
- Menter, F.R. Two-equation eddy-viscosity turbulence models for engineering applications. AIAA J. 1994, 32, 1598–1605. [Google Scholar] [CrossRef]
- Liu, B.; Zhang, X.; Wang, L.; Hong, H. Fluidization of non-spherical particles: Sphericity, Zingg factor and other fluidization parameters. Particuology 2008, 6, 125–129. [Google Scholar] [CrossRef]
- Sun, D.; Liu, P.; Hui, S.; Yan, T.; Song, N. Experimental Study on the Mass Flow Rate Characteristics of a Fluidized Bed Powder Fuel Feeding System. Powder Technol. 2025, 449, 120351. [Google Scholar] [CrossRef]
- Li, A.; Ahmadi, G. Dispersion and deposition of spherical particles from point sources in a turbulent channel flow. Aerosol Sci. Technol. 1992, 16, 209–226. [Google Scholar] [CrossRef]
- Saffman, P.G. The lift on a small sphere in a slow shear flow. J. Fluid Mech. 1965, 22, 385–400. [Google Scholar] [CrossRef]
- Kaufmann, A.; Moreau, M.; Simonin, O.; Helie, J. Comparison between Lagrangian and mesoscopic Eulerian modelling approaches for inertial particles suspended in decaying isotropic turbulence. J. Comput. Phys. 2008, 227, 6448–6472. [Google Scholar] [CrossRef]
- Apte, S.; Gorokhovski, M.; Moin, P. LES of atomizing spray with stochastic modeling of secondary breakup. Int. J. Multiph. Flow 2003, 29, 1503–1522. [Google Scholar] [CrossRef]
- Liou, M.S. A sequel to ausm: Ausm+. J. Comput. Phys. 1996, 129, 364–382. [Google Scholar] [CrossRef]
- Anderson, W.K.; Bonhaus, D.L. An implicit upwind algorithm for computing turbulent flows on unstructured grids. Comput. Fluids 1994, 23, 1–21. [Google Scholar] [CrossRef]
- Spaid, F.W.; Zukoski, E. A study of the interaction of gaseous jets from transverse slots with supersonic external flows. AIAA J. 1968, 6, 205–212. [Google Scholar] [CrossRef]
- Sriram, A.; Mathew, J. Improved prediction of plane transverse jets in supersonic crossflows. AIAA J. 2006, 44, 405–408. [Google Scholar] [CrossRef]
- Sommerfeld, M. The structure of particle-laden, underexpanded free jets. Shock Waves 1994, 3, 299–311. [Google Scholar] [CrossRef]
- Quirk, J.J. A Contribution to the Great Riemann Solver Debate; Springer: Berlin/Heidelberg, Germany, 1997. [Google Scholar]
- Chen, B.; Xia, Z.; Wang, D.; Hu, J.; Ma, L.; Zhao, X. Study on mixing process assessment method in solid ramjet. J. Solid Rocket Technol. 2013, 36, 731–735. [Google Scholar]

















| Gas Type | Mach Number | (kPa) | (K) | Velocity (m/s) |
|---|---|---|---|---|
| Air | 2.4 | 600 | 1200 | 1136 |
| Fuel Type | (g/s) | (kg/m3) | (μm) | (K) |
|---|---|---|---|---|
| Boron | 1.0 | 2340 | 5 | 300 |
| Case | 1 | 2 | 3 | 4 | 5 | 6 | 7 | 8 |
|---|---|---|---|---|---|---|---|---|
| Solid-to-gas ratio | 20 | 10 | 5 | 2 | 1 | 0.5 | 0.2 | 0.1 |
| , g/s | 0.05 | 0.1 | 0.2 | 0.5 | 1.0 | 2.0 | 5.0 | 10.0 |
| Number of Nodes | ||||
|---|---|---|---|---|
| Coarse grid | 266 | 59 | 39 | 647,414 |
| Moderate grid | 374 | 72 | 48 | 1,350,816 |
| Refined grid | 481 | 86 | 64 | 2,684,070 |
Disclaimer/Publisher’s Note: The statements, opinions and data contained in all publications are solely those of the individual author(s) and contributor(s) and not of MDPI and/or the editor(s). MDPI and/or the editor(s) disclaim responsibility for any injury to people or property resulting from any ideas, methods, instructions or products referred to in the content. |
© 2025 by the authors. Licensee MDPI, Basel, Switzerland. This article is an open access article distributed under the terms and conditions of the Creative Commons Attribution (CC BY) license (https://creativecommons.org/licenses/by/4.0/).
Share and Cite
Liang, Z.; Jiang, M.; Hu, S.; Ma, K.; Xu, G.; Wang, W.; Miao, Y.; Li, H. Effect of Solid-to-Gas Ratio on Powder Fuel Mixing in a Cavity-Based Supersonic Combustion Chamber with Induced Shock: A Numerical Study. Aerospace 2025, 12, 70. https://doi.org/10.3390/aerospace12010070
Liang Z, Jiang M, Hu S, Ma K, Xu G, Wang W, Miao Y, Li H. Effect of Solid-to-Gas Ratio on Powder Fuel Mixing in a Cavity-Based Supersonic Combustion Chamber with Induced Shock: A Numerical Study. Aerospace. 2025; 12(1):70. https://doi.org/10.3390/aerospace12010070
Chicago/Turabian StyleLiang, Zuodong, Ming Jiang, Shaoqing Hu, Kai Ma, Guiyang Xu, Wenjie Wang, Yuezu Miao, and Hongyan Li. 2025. "Effect of Solid-to-Gas Ratio on Powder Fuel Mixing in a Cavity-Based Supersonic Combustion Chamber with Induced Shock: A Numerical Study" Aerospace 12, no. 1: 70. https://doi.org/10.3390/aerospace12010070
APA StyleLiang, Z., Jiang, M., Hu, S., Ma, K., Xu, G., Wang, W., Miao, Y., & Li, H. (2025). Effect of Solid-to-Gas Ratio on Powder Fuel Mixing in a Cavity-Based Supersonic Combustion Chamber with Induced Shock: A Numerical Study. Aerospace, 12(1), 70. https://doi.org/10.3390/aerospace12010070

