Next Article in Journal
Neural Network and Hybrid Methods in Aircraft Modeling, Identification, and Control Problems
Next Article in Special Issue
Compressive Behavior, Mechanical Properties and Energy Absorption of Al Honeycomb and Al Closed-Cell Foam: A Comparison
Previous Article in Journal
PESTLE Analysis of a Seaplane Transport Network in Greece
Previous Article in Special Issue
Recycling Space Beverage Packaging into LDPE-Based Composite Materials
 
 
Font Type:
Arial Georgia Verdana
Font Size:
Aa Aa Aa
Line Spacing:
Column Width:
Background:
Article

Development of a Passive Vibration Damping Structure for Large Solar Arrays Using a Superelastic Shape Memory Alloy with Multi-Layered Viscous Lamination

1
Department of Aerospace and Mechanical Engineering, Korea Aerospace University, Goyang-si 10540, Republic of Korea
2
Mechanical R&D (Space System), LIG nex1, Seongnam-si 13488, Republic of Korea
3
STEP Lab Ltd., Daejeon 34202, Republic of Korea
*
Author to whom correspondence should be addressed.
Aerospace 2025, 12(1), 29; https://doi.org/10.3390/aerospace12010029
Submission received: 7 October 2024 / Revised: 17 December 2024 / Accepted: 1 January 2025 / Published: 2 January 2025

Abstract

In the space environment, the elastic vibrations of satellite solar panels are caused by various factors that disturb satellite missions. Therefore, we propose a multi-layered high-damping yoke structure based on a passive control method. To optimize the proposed yoke structure, we performed a free vibration test on various multi-layered blade specimens and designed a yoke structure with the maximum damping performance based on the test results. This high-damping yoke structure was mounted on a dummy solar panel with flexible mode (0.79 Hz) and basic characteristic tests were performed to validate the effectiveness of the solar panel vibration suppression. The test results demonstrated that the proposed multi-layered high-damping yoke is effective in suppressing the vibrations of the first and second modes. In addition, a thermal vacuum test was performed to investigate the delamination between multi-layered structures, and the test results proved the applicability of the proposed yoke structure in an actual space environment.

1. Introduction

Satellite system requirements for power budgets have increased owing to the advancement in and diversification of satellite missions with recent technological developments. To satisfy these requirements, deployable solar panels with a solar array driving assembly (SADA), which increases the sun-pointing time by tracking the sun in real time, are actively being applied, and the solar panels are being increased to secure sufficient power. However, larger solar panels may amplify the elastic vibrations by increasing the magnitude of moments during satellite attitude control or solar panel deployment. In addition, solar panels can experience thermal shock due to the extreme temperature gradients that occur when a satellite passes through an eclipse and enters the sun [1]. These phenomena cause elastic vibrations that increase the behavioral displacement of the solar panel. In addition, solar panel vibration may be induced by frequency coupling between the vibration modes of the solar panels and multiple disturbance sources of the onboard appendages. Because the vibration is transmitted to the satellite through the connection interface (yoke, strut structure, etc.) between the solar panel and the satellite, it delays the attitude stabilization time and results in the deterioration of the satellite pointing performance. Therefore, the development of vibration damping technologies for solar panels is essential for preventing these disturbances from degrading the mission performance of satellites.
Vibration control can be categorized into two methods: passive and active. First, the active control methods exhibit relatively excellent damping performance. This is because the sensors on the structure identify the displacement signal, and the actuator directly mitigates the energy by generating an inverse phase vibration signal corresponding to the input requirements [2,3]. Owing to these advantages, several studies have been conducted on active control methods.
Kwak et al. [3] introduced a multi-input and multi-output positive position feedback (MIMO PPF) controller based on a block-inverse technique to control the vibrations of grid structures simulating solar panels on satellites. The proposed MIMO PPF controller ensured the stability of the grid structure and controlled the overshoot of the system and contributed significantly to securing the margin for several natural vibration modes. Guo et al. [4] proposed an active control method combining a PI regulator and a permanent magnet synchronous motor (PMSM) to overcome the disturbances caused by the SADA movement. This improved the dynamic performance of the entire structure and demonstrated the feasibility of its application in high-resolution satellites.
However, active control methods can increase the system mass owing to additional devices, such as sensors, actuators, and controllers, and may cause spillover effects. Moreover, these devices require additional power to be driven, which is inefficient in terms of the system power budget.
In contrast, passive control methods are attractive because they can achieve high reliability with a relatively simple mechanism. This method can effectively attenuate vibrations occurring in onboard appendages by applying materials or mechanisms with excellent damping performance to the system interface. Thus, passive control is preferred in space environments, where high reliability is essential. Several studies have been conducted to utilize the advantages of passive control methods.
Liu et al. [5] proposed a root spring–damper system to mitigate the relatively low-frequency vibrations of solar panels in space. They allowed the roots of the solar panel to move vertically. The proposed damper system was attached to the top and bottom of the solar panel roots and effectively attenuated the vertical translational motion of the roots generated by solar panel vibrations. Maly et al. [6] proposed a sandwich-structure damper system comprising a titanium alloy and viscoelastic materials to suppress the vibrations of the solar panels of the Landsat 8 satellite and Hubble Space Telescope. The damper was mounted at the bottom of the solar panel masts to dissipate the elastic energy induced by the solar panels and improve the overall damping capability of the space structure. Based on the advantages of the passive control methods, this study focused on two techniques for reducing the elastic vibrations of solar panels. These are the superelastic effects of a shape-memory alloy (SMA) and a multi-layered structure using viscoelastic tapes, which contribute to a passive control strategy based on their inherent characteristics and energy dissipation mechanisms.
Superelasticity is a unique characteristic of SMA materials that enables a material deformed by an external load to return to its original shape without plastic deformation. Owing to this effect, SMAs can achieve excellent damping performance in a vibration environment by hysteresis, where energy is dissipated during a phase change [7]. Some studies have been performed to attenuate vibrations using the superelastic effect of SMAs. Kwon et al. [8] proposed a blade gear based on a superelastic SMA to isolate the micro-jitter generated when driving a two-axis gimbal X-band antenna. By ensuring a relatively wider elastic range than conventional titanium materials, the possibility of plastic deformation under overdriving torque was reduced. The vibration damping performance by hysteresis was verified through rotational static load test results. Kwon et al. [9] proposed a passive cooler isolator with a blade-shaped superelastic SMA to suppress micro-vibrations in a launch vibration environment. Through a vibration test, the isolator exhibited damping performance superior to that of conventional isolators, proving the validity of the design.
However, superelastic SMAs have a disadvantage in that a damping performance cannot occur unless the external load acting on the material exceeds the critical stress point at which a phase change occurs. This implies that if the material is not sufficiently deformed, an energy dissipation mechanism cannot be induced by hysteresis. This phenomenon is overcome by applying a multi-layered structure using viscoelastic tape to achieve effective damping performance, even at relatively low deformations. This structure has the advantages of being simple and reliable, because the system can guarantee damping performance without requiring a separate vibration damping device. Previous studies demonstrated the effects of structures that are periodically affected by elastic behavior, such as printed circuit boards (PCBs) or solar panels.
Park et al. [10] proposed a viscoelastic-tape-based laminated high-damping PCB for wedge-lock applications in severe launch vibration environments. The test results demonstrated that the proposed high-damping PCB was effective in ensuring the fatigue life of solder joints without any mechanical failures such as delamination. Bhattarai et al. [11] validated a solar panel with a multi-layered structure by mounting it on a cube satellite to ensure the safety of solder joints in solar panels exposed to extreme vibration environments during launch.
In a previous study [12], a passive damping system was developed by combining a superelastic SMA with a multi-layered structure using viscoelastic tape and was applied to the yoke to suppress the elastic vibration of the solar panel. To validate the design of this yoke, basic characterization tests were performed on a 0.75 m flexible dummy structure simulating a solar array. The test results demonstrated that applying a superelastic SMA and increasing the number of laminations resulted in better damping performance than using a conventional metal (aluminum) yoke. However, low-level sine sweep (LLSS) test results showed that the damping performance of the first mode was lower than that of the second mode. This phenomenon indicates that the second mode of the solar panel is dominant in dissipating the vibration energy in the shear direction compared with the first mode. To overcome this limitation of the previous yoke structure, we propose a multi-layered high-damping yoke structure using a novel laminating method. A notable advantage of the yoke is that the multi-mode vibrations of the solar panel can be significantly attenuated, in contrast to the previous yoke. Before optimizing the design of the existing yoke structure, we performed a free vibration test on the blade specimens to determine the damping performance according to the lamination method and the number of laminations. Based on the test results, the design of the multi-layered high-damping yoke structure was optimized, and its effectiveness was verified using free vibration and LLSS tests. Moreover, the delamination of a multi-layered high-damping yoke in a severe thermal environment was investigated using a thermal vacuum test. The test results demonstrated that the proposed yoke structure can ensure excellent damping performance in a space environment without delamination or variations in basic characteristics such as frequency and damping ratio.

2. Research Background

Park et al. [12] proposed a damping device that can effectively suppress the elastic vibration of solar panels based on a passive vibration control method to prevent disturbances that affect a satellite’s mission performance in a space environment. The vibration suppression concept of this device is to provide high-damping characteristics to the yoke located at the root hinge of the solar panel using a superelastic SMA and a viscoelastic tape-based multi-layered structure. This contributes to system simplicity by achieving a relatively small volume and weight based on the passive vibration control method.
Three types of yokes were fabricated to validate the proposed yoke structure: aluminum yoke (Case 1), superelastic SMA yoke (Case 2), and multi-layered yoke (Case 3). These yoke structures were applied to a 0.75 m dummy solar panel for basic characteristic tests, such as free vibration, LLSS, and temperature tests.
The free vibration test results demonstrated that the proposed yoke structure achieved an effective damping performance under both large and small solar panel behavior displacements. In addition, the LLSS test experimentally proved that this structure is effective in suppressing multi-mode vibrations of the solar panels. Temperature test results confirmed that this damping structure has damping performance superior to general aluminum yokes at both high and low temperatures.
However, the proposed yoke structure was revealed to have several limitations. First, the damping performance of the first mode was lower than that of the second mode, despite the larger elastic behavior of the first mode. This is because the yoke is primarily affected by the bending mode of the solar panel rather than the primary mode. Second, when the surrounding temperature was lower than 5 °C, the damping performance of the proposed yoke decreased significantly. The damping performance varied when the temperature was low for the following reasons. At low temperatures, the molecules of viscoelastic tapes change to a glassy state and behave as elastic materials, which degrades the damping performance of yoke specimens with a high storage modulus [11]. At temperatures above 5 °C, the damping performance of the yoke deteriorates as the viscoelastic tape reaches the rubber region and the adhesive strength decreases. This implies that the maximum damping performance of the multi-layered yoke can be achieved at 0~10 °C. This multi-layered yoke structure was observed to have limitations owing to the single-lamination method, a relatively small number of laminations, and the absence of a proper thermal design.
To overcome these limitations, we fabricated multi-layered blade specimens with various lamination methods and number of laminations and performed free vibration tests. Based on the results of these tests, the lamination method and number of laminations with optimal damping performance were identified and applied in the design of the new yoke structure. Additionally, an on-orbit thermal analysis was performed to derive a thermal design with optimal damping performance for the proposed yoke in a severe thermal environment. Based on the analysis results, a thermal vacuum test was performed to investigate the delamination of the multi-layered high-damping yoke under hot- and cold-temperature conditions. This multi-layered high-damping yoke is differentiated from the previous yoke in that it used two SMA blades to implement constraint blades that provide resistance to the shear direction behavior of the FR4 plate, which significantly increased the frictional force induced by the deformation of the viscoelastic tape.

3. Damping Characteristics Investigation of the Multi-Layered Specimens

3.1. Investigation Overview

Before optimizing the design to maximize the damping performance of the multi-layered yoke structure, we fabricated multi-layered blade specimens to investigate the damping performance according to the lamination method and the number of laminations. Unlike the previous yoke structure that used an SMA, several thin plates were applied to both sides of the metal blade (SK5) in this test. This was because the objective of this investigation was to identify the damping performance by changing the number of constraint layers, excluding the superelastic effect of SMA. Table 1 summarizes the SK5 specifications [13]. The viscoelastic tape used for lamination was 3M966 (3M™ 966, 3M Company, Saint Paul, MN, USA), which has space heritage and was used in the previous yoke. Table 2 summarizes the tape specifications [14].

3.2. Free Vibration Test of a Blade Specimen

Free vibration tests were performed in several cases to verify the damping performance of multi-layered blade specimens according to the lamination method and the number of laminations. Furthermore, a single blade of SK5 material was fabricated to compare the damping performance of the blade specimen without viscoelastic layers. The blade specifications for each case used in the free vibration tests are listed in Table 3.
Figure 1a shows a cross-sectional view of the multi-layered blade specimen and lamination method used in each case. Case 1 was a single blade fabricated from SK5 material to compare the damping performance without constraint layers. Case 2 was like the yoke structure with the lamination method used by Park et al. [12]. Case 3 combined the pair of blade specimens used in Case 2. The test was performed under the same conditions, including the dimensions, mass, and number of laminations.
Figure 2 shows the free vibration test setup. The test specimens consisted of two blades for each case. A dummy mass was attached to one end of the test specimen, and the other end was rigidly fixed to the test table to maintain the cantilever beam shape. The dynamic characteristics of each specimen were measured using a laser displacement sensor (optoNCDT 2300LL, Micro-Epsilon, Ortenburg, Germany) under free vibration conditions [15]. The initial displacement was set at 10 mm to ensure that the test environments had the same conditions. This is because some cases can only be displaced up to approximately 10 mm owing to the increase in stiffness and friction with an increasing number of laminations.
The free vibration test was performed 10 times at room temperature (25 °C) to investigate the damping performance of the multi-layered blade specimens for each case. An initial displacement of 10 mm was intentionally imposed on the free end, while precisely measured with the laser displacement sensor, and then released to induce a free vibration response. Figure 3 shows the free vibration test results for each case (Cases 1, 2, and 3 (4 layer lamination)). Cases 2 and 3 had damping ratios approximately 4–5 times higher than those of Case 1. These results indicated that the application of constraint layers using viscoelastic tape can contribute to the dissipation of the energy acting on the blade. This energy dissipation is caused by the frictional force acting on each boundary layer between the constraint layer and viscoelastic tape when the multi-layered structure is deformed in the shear direction. This phenomenon achieves effective damping performance for multi-layered structures. Additionally, the damping performance in Case 3 was observed to be higher than that in Case 2, which was the same as the lamination method applied to the previous yoke structure. Therefore, a free vibration test was performed separately for Case 3 to identify the damping performance with an increase in the number of laminations in Case 3.
Figure 4 shows the results of the free vibration test in Case 3 according to the number of laminations. The test results demonstrated that the damping performance of the multi-layered blade specimen could be significantly improved by laminating the FR4 constraint layers. However, a shift from the initial zero position was observed in Case 3 with 24-layer lamination. This phenomenon can be explained based on the energy dissipation mechanism of a multi-layered structure as follows. When deformation occurs in the multi-layered structure, the viscoelastic layers inside the two blades undergo deformation caused by shear forces. This deformation causes slippage between the FR4 plate and the viscoelastic tape, ultimately dissipating the deformation energy through frictional forces caused by the molecular attraction of the viscoelastic tape. In this case, the multi-layered structure on the outside of the blade has a relatively low friction force because there is no constraint plate to resist shear deformation. Therefore, the energy dissipation of the multi-layered structure is dominated by the inner lamination rather than the outer lamination. In addition, the energy dissipation inside the two blades increases with the friction forces as the number of laminations increases. The initial position shift shown in Figure 4 occurs because the friction force generated inside the two blades becomes greater than the recovery force as the number of laminations increases. To thoroughly analyze the initial position shift phenomenon, Case 4 was fabricated and a free vibration test under the same conditions as all cases was performed.
Case 4 has 24 layers of lamination inside the two constraint blades with no outer lamination as shown in Figure 5. Figure 6 shows the free vibration test result for all cases except Case 1. After 1 s of free vibration response, the displacement of Case 3 was measured at 0.4751 mm, while the displacement of Case 4 was about 1.8 times higher at 0.8577 mm. This result demonstrates that the initial position shift of the multi-layered structure becomes larger as the number of internal laminations increases. This also means that Case 4 has better damping performance than Case 3 because the friction force of Case 4 is greater than that of Case 3, based on the energy dissipation mechanism of the multi-layered structure. However, the design optimization mentioned in this paper is to maximize the damping performance of the multi-layered structure while minimizing the initial zero position shift. Therefore, the lamination method of Case 3 was considered as closest to the purpose of this paper.
Figure 7 shows the variation in natural frequency with an increasing number of laminations for Case 3. The natural frequency of the blade specimen with 24-layer lamination increased by about 1.62 times compared to the specimen with 4-layer lamination. This is because the thickness of the blade specimen increased with an increase in the number of laminations of the FR4 plates and viscoelastic tapes. This result also means that the increase in viscoelastic layers can improve energy dissipation by increasing the overall friction force of the blade specimen.
Figure 8 shows the damping ratio according to the number of laminations for Cases 2 and 3. The test results indicated that Case 3 had a higher damping performance than Case 2 for almost all lamination numbers. These results showed that Case 3 suppressed vibrations more effectively than Case 2. In particular, the damping ratio for Case 3 with 24-layer lamination was approximately 13 times higher than that for Case 1.
Based on the test results of the multi-layered blade specimen, Case 3 was applied for the optimal design of the multi-layered high-damping yoke, because its damping performance was relatively high for each number of laminations. In this process, the initial position shift phenomenon that occurs as the number of laminations inside the two blades increases was considered.

4. Proposed Multi-Layered High-Damping Yoke Structure

Figure 9 shows an example of a solar panel application of the proposed multi-layered high-damping yoke and a cross-sectional view of the yoke. The yoke structure is located at the solar panel root hinge, and the concept is to suppress the vibration at the yoke such that the elastic vibration of the solar panel is not transmitted to the satellite body. The multi-layered high-damping yoke comprises superelastic SMA plates, viscoelastic tapes, and FR4 thin plates. The SMA plate is used as the basic structure of the yoke to provide mechanical stability to the solar panels. This material is mainly composed of nickel and titanium and has proven its reliability in terms of performance as it is used for satellite separation devices in space [16]. In addition, the SMA plate serves as a mechanical interface to laminate several thin plates using viscoelastic tape. The viscoelastic tape provides sufficient adhesive strength for each layer constrained by the thin plates. The thin plate can implement a mechanical restraint on each adhesive layer and prevent unexpected electrostatic discharges in an on-orbit environment because it is an electrically non-conductive material.
The SMA used in the multi-layered high-damping yoke has two effects depending on the relationship between the phase change temperature ( A f : Austenite Finish Temperature) and the operating temperature: the shape memory effect and superelastic effect. The shape memory effect is the property that a material deformed by an external load under an operating temperature below the A f temperature returns to its original shape when heated above the A f temperature. The superelastic effect means that a material deformed by an external load under an operating temperature above A f temperature returns to its original shape without residual stress when the load is removed.
The superelastic effect of SMA has the following advantages: First, it can contribute to overcoming plastic deformation, which is a disadvantage of most elastic materials, while enabling the material to revert to its original shape even when deformed by up to 8–15% [1]. The SMA also exhibits hysteresis, in which mechanical energy is dissipated by an austenite–martensite phase change under external loading. The area inside the hysteresis curve means the amount of energy dissipation per cycle during loading and unloading [17,18]. Therefore, as the displacement of the solar panel increases, the damping performance by the hysteresis of the SMA can be improved. Because of these merits, SMAs are suitable for the interface of space structures that require high-damping performance. Therefore, the characteristics of superelastic SMAs are expected to have significant benefits in the application of solar panel yokes, which are periodically affected by elastic behavior. Table 4 presents the material properties of the superelastic SMA used in this study [9].
However, a superelastic SMA material has a disadvantage in that the superelastic effect is achieved only when the external load exceeds the critical stress point. This implies that a high-damping performance is difficult to expect by hysteresis if the behavioral displacement of the yoke is relatively low. To maximize the performance of the passive damping system, we applied a multi-layered structure comprising FR4 thin plates and viscoelastic tapes to the SMA. The concept of the vibration energy dissipation mechanism is as follows. During the solar panel deformation, the bending mode acting on the yoke induces a slip in the shear direction for each boundary layer between the viscoelastic tapes and thin plates. This phenomenon results in strong molecular attraction that dissipates energy [19]. The multi-layered high-damping yoke is highly notable in terms of being simple because a high-damping performance can be easily achieved through the superelastic effect of the SMA and the multi-layered structure using viscoelastic tape. In addition, the proposed passive vibration suppression technique has the advantage of ease of implementation and universality because it only requires mechanical interfaces for the yoke assembly without changing the structural design of the solar panel.

5. Basic Characteristics Tests

5.1. Test Overview

To validate the design of the proposed multi-layered high-damping yoke, we performed free vibration and LLSS tests on dummy solar panels with various yoke structures. Figure 10a,b shows the overall test setup and the detailed configuration of the yoke structure for the tests, respectively. The proposed yoke was used to support a 1.1 m long dummy solar panel with a mass of 4.5 kg. In addition, the end of the dummy structure was suspended by an elastic wire to minimize the effect of gravity during the tests, thus providing compensation for the 1 g condition. This was performed to simulate the zero-gravity conditions of the space environment as accurately as possible. The first and second natural frequencies of the solar panel with the conventional aluminum yoke were 0.79 and 3.3 Hz, respectively. This corresponded to the bending mode observed in the in-plane dynamic behavior of the solar panel under the 1 g compensation condition.
To identify the dynamic displacement of the solar panel, we measured the end of the solar panel 100 times per second using the laser displacement sensor that was used in the multi-layered blade specimen test (Section 3). In the free vibration test, the end of the solar panel was assigned a specific value for the initial displacement. The initial displacement was then released, and the damping performance of the free vibration response was evaluated using the damping ratio.
The response of the solar panel, including the first and second natural frequencies, was measured using the LLSS test. In the test, the solar panel was excited using an eddy-current-type non-contact vibration shaker, which was the same as the vibration shaker used in the basic characteristic test of the previous yoke [12]. It consisted of a permanent magnet and solenoid coil, as shown in Figure 10c. The magnitude of the vibration force generated by the vibration shaker was adjusted using the input-frequency signal produced by the amplifier and function generator. The test was performed by increasing the frequency from 0.1 to 8 Hz for 400 s, considering the natural frequencies of the first and second modes of the solar panel. This was equal to an increase of 0.01975 Hz/s and was considered sufficient to measure the solar panel response to each mode.
Figure 11 shows the various yoke specimens used to compare the damping characteristics according to the SMA application and number of laminations. They comprised an aluminum yoke (Case 1), a superelastic SMA yoke (Case 2), and a multi-layered high-damping SMA yoke (Case 3). Case 3 was laminated with only 12 constraint layers on the inside between the two SMA plates; subsequently, two constraint layers were added on the outside of the SMA, increasing the number of laminations to 20. The thickness and sizes in Cases 1 and 2 were designed to be less than 1 Hz, which is the typical natural frequency of real satellite solar panels [20]. Therefore, the damping performance of various yokes was compared under the same stiffness requirements. The details of the yoke specimens for each case are given in Table 5.

5.2. Free Vibration Test

To investigate the basic characteristics of the proposed multi-layered high-damping yoke, we performed a free vibration test at room temperature (25 °C) for each case, with an initial displacement of 10–40 mm. The displacements were set considering the vibration amplitudes caused by the elastic vibration of the solar panel in an on-orbit environment and the laser displacement sensor performance [1,15]. Furthermore, the various initial displacement conditions were set to verify the effectiveness of the proposed vibration damping mechanism in attenuating both large and small behavioral displacements of the solar panel.
Figure 12 shows the time histories of the free vibration response obtained for Cases 1, 2, and 3 (12-layer lamination) at an initial displacement of 40 mm. This demonstrated that the damping performance was improved by the application of the superelastic SMA material and constraint layers. To determine the damping performance of the multi-layered high-damping yoke according to the number of laminations, we performed free vibration tests by laminating the constraint layers up to 16 and 20 outside each SMA plate of the Case 3 specimen. Figure 13 shows the results of the free vibration test for Case 3 with varying numbers of lamination. The damping performance of the 16-layer specimen was better than that of the 12-layer specimen. This was because the resistance of the SMA to residual deformation was improved by increasing the number of constrained layers outside the SMA plates. Additionally, the hysteretic damping behavior of the SMA improved significantly owing to the increase in the friction force caused by the shear deformation in the viscoelastic layers during the deformation of the yoke. Based on these test results, the damping ratios were derived to compare the damping performance for each case relative to the initial displacement, as shown in Figure 14. As the figure indicates, Case 2 exhibited a higher damping performance than Case 1 owing to the inherent damping characteristics of the SMA material. Moreover, the damping performance tended to improve with increasing initial displacement, which indicates that the phase change through material deformation enhanced reversibility owing to the superelastic effect of the SMA. The benefit of applying SMAs was also evident in the results of repeated tests in which the solar panel underwent large strains. In Case 1, plastic deformation was observed, whereas in Case 2, no plastic deformation was observed. This implied that when two materials (aluminum and SMA) are compared for the same stiffness requirement, the SMA yoke has an advantage in terms of structural stability. Although the density of the SMA is 2.4 times higher than that of aluminum, the SMA is advantageous in terms of the mass budget because an additional structure or design (stiffeners, strut structure, increasing thickness, etc.) is required to secure structural stability when using aluminum.
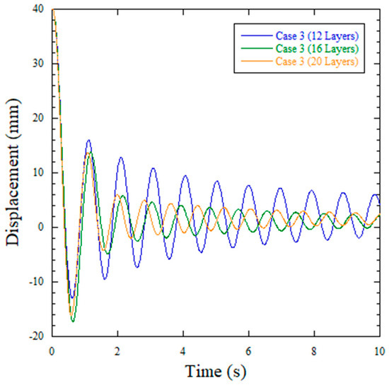
The effectiveness of the proposed design was validated by the test results of Case 3, which was designed to achieve a high-damping performance even under the low-vibration-amplitude conditions of the solar panel. In particular, Case 3 (20-layer lamination) exhibited an approximately 76 times greater damping ratio than Case 1 at a 10 mm displacement and an approximately 98 times higher damping ratio at a 40 mm displacement. This was because the large deformation of the multi-layered high-damping yoke resulted in a large slip phenomenon of the boundary layer, which enhanced the energy dissipation owing to the strong molecular attraction between the constrained layers and the viscoelastic tapes. However, the difference in damping performance between the 20-layer specimen and the 16-layer specimen was less than that in the damping performance between the 20-layer specimen and another case. This was owing to the convergence of the damping performance caused by the increase in bending stiffness as the number of laminations increased.

5.3. LLSS Test

An LLSS test was conducted to identify the vibration response of the proposed multi-layered high-damping yoke in the first and second modes. The solar panel was excited using the eddy-current-type non-contact vibration shaker described above, considering only the dominant first and second bending modes of the solar panel. This was because the vibrations in the first and second modes were considered the main sources of disturbance affecting the pointing performance of the satellite.
Figure 15 shows the time histories of the vibration response of the multi-layered high-damping yoke obtained from the LLSS test results. The test results demonstrated that the damping performance improved in both the first and second modes as the SMA was applied and the number of laminations increased. In particular, the displacement in Case 3 (20-layer lamination) was reduced by approximately 6.2 times for the first mode and by approximately 9 times for the second mode compared to Case 1. This phenomenon was also observed in the frequency response results derived from the Fourier transform shown in Figure 16 [21].
These results demonstrated that the proposed yoke structure has a higher damping performance than the previous yoke by increasing the number of laminations and changing the lamination method. This is because the proposed yoke structure induces a greater slip phenomenon between the inner constraint layers than that between the outer constraint layers during yoke deformation, resulting in better energy dissipation through the friction force than the previous yoke.
The multi-layered high-damping yoke can be approximated as a linear system because the natural frequency and damping performance increases linearly with an increasing number of laminations. To determine the damping levels in the first and second mode of the system, the modal damping values were calculated using the half-power bandwidth method [22] as shown below.
2 ζ = f 2 f 1 f n
f n is the natural frequency of the system, f 1 is the first frequency where the system response is reduced to half of the maximum output, and f 2 is the second frequency where the system response is reduced to half of the maximum output. The value of 3 dB, which corresponds to half the maximum power of the system response, is equivalent to 2 in terms of amplitude.
Table 6 lists the modal damping values calculated using the Equation (1). The numerical results demonstrated that the damping performance was improved with an increase in the number of laminations. In particular, Case 3 with 20-layer lamination had a damping ratio of 0.151, which is 6.6 times higher than that of Case 2 in the first mode of the solar panel. Therefore, the multi-layered high-damping yoke is considered to ensure superior damping performance to the previous yoke because the modal damping value of the previous yoke for the first mode was 3.7 times higher in Case 3 with 6-layer lamination compared to Case 2 as shown in Table 7. In addition, the LLSS test results experimentally proved that the designed yoke could effectively attenuate both first and second mode vibrations, thus significantly overcoming the limitations of the previous yoke.

6. Thermal Design of Multi-Layered High-Damping Yoke

6.1. On-Orbit Thermal Analysis

The on-orbit thermal environment can affect the damping performance of a multi-layered high-damping yoke because the viscoelastic tape attached to the yoke is temperature-dependent [10]. Therefore, an appropriate thermal design is required to maintain the optimal damping performance of a yoke in space. Through free vibration tests under various temperature conditions, the previous study demonstrated that the damping performance of the yoke with a multi-layered structure using viscoelastic tape was maximized between 0 and 10 °C. Various thermal designs have been proposed to ensure that the multi-layered high-damping yoke can achieve maximum damping performance in a severe thermal environment, as shown in Figure 17. These consist of a multi-layered high-damping yoke with no thermal design (Case 1), a multi-layered high-damping yoke with an MLI surface (Case 2), and a multi-layered high-damping yoke with an MLI surface and heaters (Case 3).
To validate the thermal designs, we performed an on-orbit thermal analysis using the programs RadCAD [23] and SINDA/FLUINT [24] under the same on-orbit conditions as KOMPSAT-5 [25] currently in space. This is because the sunrise orbit of KOMPSAT-5 is considered to be the worst thermal environment for obtaining a more reliable thermal design. The analysis results indicated that the maximum and minimum temperature deviations in Case 2 were significantly lower than those in Case 1, as shown in Figure 18. This phenomenon is analyzed that the MLI, which has low emissivity and absorptivity, contributed to maintaining the internal temperature [26]. However, the lowest temperature for Case 2 was −24.1 °C, which did not satisfy the target temperature range (0–10 °C) for maximum damping performance. To overcome this problem, Case 3 was designed, and it demonstrated that the temperature of the yoke could be maintained at 0.8–17.8 °C. Therefore, the thermal design of Case 3, which was closest to the target temperature range, is considered to provide the optimal damping performance for the proposed yoke structure in a space environment.

6.2. Thermal Vacuum Test

A thermal vacuum test was performed to determine whether delamination near the lamination in Case 3 occurs in an on-orbit thermal environment. The test temperatures were set by adding an uncertainty margin of 6 °C and a qualification margin of 10 °C to the temperature results for Case 3 derived from the on-orbit thermal analysis according to the ECSS-E-10-03A specification [27]. The test was conducted for 12 cycles to consider the fatigue build-up from the repetitive thermal expansion and contraction of the yoke sufficiently. Figure 19 shows the thermal vacuum test setup. A multi-layered high-damping yoke was placed on top of the delrin with a low thermal conductivity to minimize heat conduction from the conduction plate. In addition, temperature sensors were mounted at the center and both ends of the multi-layered high-damping yoke to verify that the lamination was uniform via temperature trends at the three points. The test results indicated that the multi-layered high-damping yoke did not undergo delamination in extreme thermal environments. Additionally, a free vibration test was performed to identify the change in the frequency and damping performance of the multi-layered high-damping yoke before and after the thermal vacuum test. Table 8 lists the basic characteristics before and after the thermal vacuum tests. Based on the test results, it was numerically proven that delaminations rarely occurred, because the difference in the frequency and damping ratio of the yoke structure was within 4%. Consequently, the space applicability of the multi-layered high-damping yoke was validated based on the absence of structural variations.

7. Conclusions

In this study, we optimized the design of a solar panel yoke structure to overcome the limitations of the conventional multi-layered SMA yoke. First, blade specimens with various numbers of lamination and lamination methods were fabricated, and free vibration tests were performed to identify the structure with the optimal damping performance. Based on the specimen test results, an optimized design was developed, and a new multi-layered high-damping yoke was proposed. The basic characteristics of the new yoke structure were investigated by applying it to a solar panel dummy structure with a flexible mode of 0.79 Hz. The results of the free vibration test showed that the new yoke structure is highly efficient in terms of vibration damping and energy dissipation compared with an aluminum yoke. The LLSS test results verified that unlike the previous yoke, the new one can effectively suppress the multi-mode vibration of a solar panel. In addition, we proposed an optimal thermal design for the yoke structure to ensure excellent damping performance, even in an orbital thermal environment. Finally, a thermal vacuum test verified that no delamination of the structure occurred, even under severe thermal conditions. The test results demonstrate the applicability of a multi-layered high-damping yoke in a space environment.
Unfortunately, we could not explore a theoretical framework to address the physical phenomena of a multi-layered structure due to the limitations of knowledge and time. This study only focused on experimentally validating the effectiveness of the proposed multi-layered high-damping yoke. This is a limitation of this study and will be carried out to derive a mathematical model to accurately predict the dynamic response of multi-layered structures in future studies.

Author Contributions

Conceptualization, G.-S.W. and H.-U.O.; methodology, G.-S.W. and H.-U.O.; validation, G.-S.W. and H.-U.O.; formal analysis, G.-S.W.; investigation, G.-S.W.; data curation, G.-S.W.; writing—original draft preparation, G.-S.W. and J.-H.P.; writing—review and editing, G.-S.W., J.-H.P. and H.-U.O.; visualization, G.-S.W. and H.-U.O.; supervision, H.-U.O.; project administration, H.-U.O.; funding acquisition, S.-W.P. and H.-U.O. All authors have read and agreed to the published version of the manuscript.

Funding

This research was funded by LIG Nex1 Co., Ltd., Republic of Korea (grant number: YD21-1510).

Data Availability Statement

The data presented in this study are available upon request from the corresponding author.

Conflicts of Interest

Authors Jae-Hyeon Park and Sung-Woo Park were employed by the company Mechanical R&D (Space System), LIG nex1. Author Hyun-Ung Oh was employed by the company STEP Lab. Ltd., which provided funding and technical support for this work. The remaining authors declare that the re-search was conducted in the absence of any commercial or financial relationships that could be construed as a potential conflict of interest. The funder had no role in the design of the study; in the collection, analysis, or interpretation of data; in the writing of the manuscript; or in the decision to publish the results.

References

  1. Park, Y.H.; Park, J.H.; Park, S.W.; Kang, S.J.; Oh, H.U. Passive Vibration Suppression of Solar Array by Using Superelastic Shape Memory Alloy. In Proceedings of the 72nd International Astronautical Congress (IAC), Dubai, United Arab Emirates, 29 October 2021; p. 25. [Google Scholar]
  2. Zhang, T.; Sheng, C.; Hu, Q.; Li, M.; Guo, A.; Qi, R. Dynamic analysis and control application of vibration isolation system with magnetic suspension on satellites. Aerosp. Sci. Technol. 2018, 75, 99–114. [Google Scholar] [CrossRef]
  3. Kwak, M.K.; Heo, S. Active vibration control of smart grid structure by multiinput and multioutput positive position feedback controller. J. Sound Vib. 2007, 304, 230–245. [Google Scholar] [CrossRef]
  4. Gue, C.; Lu, D.; Zhang, M.; Zhang, Q.; Chen, C. Active control technology for flexible solar array disturbance suppression. Aerosp. Sci. Technol. 2007, 106, 106148. [Google Scholar] [CrossRef]
  5. Liu, C.; Li, H.; Zhang, F.; Wang, X. Improvement on the passive method based on dampers for the vibration control of spacecraft solar panels. Adv. Mech. Eng. 2022, 14, 16878132221080596. [Google Scholar] [CrossRef]
  6. Maly, J.R.; Pendleton, S.C.; Salmanoff, J.; Blount, G.J.; Mathews, K. Hubble Space Telescope Solar Array Damper. In Proceedings of the SPIE—Smart Structures and Materials 1999: Passive Damping and Isolation, Newport Beach, CA, USA, 2 June 1999; Volume 3672. [Google Scholar]
  7. Otsuka, K.; Xu, Y.; Ren, X.B. Ti-Ni-based shape memory alloys as smart materials. Mater. Sci. Forum 2003, 426–432, 251–260. [Google Scholar] [CrossRef]
  8. Kwon, S.C.; Oh, H.U. Passive micro-jitter isolation of gimbal-type antenna by using a superelastic SMA gear wheel. Mech. Syst. Signal Process. 2019, 114, 35–53. [Google Scholar] [CrossRef]
  9. Kwon, S.C.; Jeon, Y.H.; Oh, H.U. Micro-jitter attenuation of spaceborne cooler by using a blade-type superelastic shape memory alloy passive isolator. Cryogenics 2017, 87, 35–48. [Google Scholar] [CrossRef]
  10. Park, T.Y.; Shin, S.J.; Park, S.W.; Kang, S.J.; Oh, H.U. High-damping PCB implemented by multi-layered viscoelastic acrylic tapes for use of wedge lock applications. Eng. Fract. Mech. 2021, 241, 107370. [Google Scholar] [CrossRef]
  11. Bhattarai, S.; Kim, H.R.; Oh, H.U. CubeSat’s deployable solar panel with viscoelastic multilayered stiffener for launch vibration attenuation. Int. J. Aerosp. Eng. 2020, 2020, 8820619. [Google Scholar] [CrossRef]
  12. Park, J.H.; Park, S.W.; Kim, J.P.; Oh, H.U. Passive damping of solar array vibrations using superelastic shape memory alloy with multilayered viscous lamina. Aerospace 2023, 10, 704. [Google Scholar] [CrossRef]
  13. Available online: https://www.steelss.com/Tool-steel/sk5.html (accessed on 15 December 2024).
  14. Available online: https://www.3m.com/3M/en_US/p/d/b40065911/ (accessed on 15 December 2024).
  15. Available online: https://www.micro-epsilon.com/displacement-position-sensors/laser-sensor/LL-Laser-sensors/ (accessed on 15 December 2024).
  16. Lee, J.; Han, J.-H. Separation and Release Devices for Aeronautical and Astronautical Systems: A Review. Int. J. Aeronaut. Space Sci. 2024, 25, 1–15. [Google Scholar] [CrossRef]
  17. Yan, X.J.; Nie, J.X. Study of a new application form of shape memory alloy superelasticity. Smart Mater. Struct. 2003, 12, 14–23. [Google Scholar] [CrossRef]
  18. Seo, J.W.; Kim, Y.C.; Hu, J.W. Pilot study for investigating the cyclic behavior of slit damper systems with recentering shape memory alloy (SMA) bending bars used for seismic restrainers. Appl. Sci. 2015, 5, 187–208. [Google Scholar] [CrossRef]
  19. Park, Y.H.; Kwon, S.C.; Koo, K.R.; Oh, H.U. High damping passive launch vibration isolation system using superelastic SMA with multilayered viscous lamina. Aerospace 2021, 8, 201. [Google Scholar] [CrossRef]
  20. Oda, M.; Hagiwara, Y.; Suzuki, S.; Nakamura, T.; Inaba, N.; Sawada, H.; Yoshii, M.; Goto, N. Measurement of satellite solar array panel vibrations caused by thermal snap and gas jet thruster firing. In Recent Advances in Vibrations Analysis; InTech: Houston, TX, USA, 2011; pp. 123–140. [Google Scholar]
  21. Douka, E.; Hadjileontiadis, L.J. Time–frequency analysis of the free vibration response of a beam with a breathing crack. NDT E Int. 2005, 38, 3–10. [Google Scholar] [CrossRef]
  22. Papagiannopoulos, G.A.; Hatzigeorgiou, G.D. On the use of the half-power bandwidth method to estimate damping in building structures. Soil Dyn. Earthq. Eng. 2011, 31, 1075–1079. [Google Scholar] [CrossRef]
  23. Thermal Desktop User’s Guide; Ver. 6.1; Network Analysis Associates: Tempe, AZ, USA, 2006.
  24. SINDA/FLUINT User’s Guide; Ver. 6.1; Network Analysis Associates: Tempe, AZ, USA, 2006.
  25. Hwang, Y.; Lee, B.S.; Kim, Y.R.; Roh, K.M.; Jung, O.C.; Kim, H.D. GPS-based orbit determination for KOMPSAT-5 satellite. ETRI J. 2011, 33, 487–496. [Google Scholar] [CrossRef]
  26. Park, T.Y.; Chae, B.G.; Kim, H.; Koo, K.R.; Song, S.C.; Oh, H.U. New thermal design strategy to achieve an 80-kg-class lightweight X-band active SAR small satellite S-STEP. Aerospace 2021, 8, 278. [Google Scholar] [CrossRef]
  27. ECSS-E-ST-10-03A; Space Engineering-Testing. European Cooperation for Space Standardization: Noordwijk, The Netherlands, 2002.
Figure 1. Configuration of the multi-layered blade specimen: (a) cross-section of the multi-layered blade specimen, and (b) cross-section for different multi-layered blade specimen cases.
Figure 1. Configuration of the multi-layered blade specimen: (a) cross-section of the multi-layered blade specimen, and (b) cross-section for different multi-layered blade specimen cases.
Aerospace 12 00029 g001
Figure 2. Free vibration test setup for the multi-layered blade specimen.
Figure 2. Free vibration test setup for the multi-layered blade specimen.
Aerospace 12 00029 g002
Figure 3. Free vibration test results for each case on the blade specimen.
Figure 3. Free vibration test results for each case on the blade specimen.
Aerospace 12 00029 g003
Figure 4. Free vibration test results of Case 3 for various numbers of lamination on the blade specimen.
Figure 4. Free vibration test results of Case 3 for various numbers of lamination on the blade specimen.
Aerospace 12 00029 g004
Figure 5. Cross-section for Case 4.
Figure 5. Cross-section for Case 4.
Aerospace 12 00029 g005
Figure 6. Free vibration test results of Cases 2, 3, and 4 for 24 layers of lamination.
Figure 6. Free vibration test results of Cases 2, 3, and 4 for 24 layers of lamination.
Aerospace 12 00029 g006
Figure 7. Natural frequency variation in Case 3 for various numbers of lamination.
Figure 7. Natural frequency variation in Case 3 for various numbers of lamination.
Aerospace 12 00029 g007
Figure 8. Damping ratios for Cases 2 and 3 according to the number of laminations.
Figure 8. Damping ratios for Cases 2 and 3 according to the number of laminations.
Aerospace 12 00029 g008
Figure 9. Configuration of the multi-layered high-damping yoke.
Figure 9. Configuration of the multi-layered high-damping yoke.
Aerospace 12 00029 g009
Figure 10. Basic characteristic test setup: (a) overall setup, (b) yoke structure detailed configuration, and (c) eddy-current-type non-contact vibration shaker.
Figure 10. Basic characteristic test setup: (a) overall setup, (b) yoke structure detailed configuration, and (c) eddy-current-type non-contact vibration shaker.
Aerospace 12 00029 g010
Figure 11. Configurations of yoke specimens: (a) aluminum yoke, (b) SMA yoke, and (c) multi-layered high-damping yoke.
Figure 11. Configurations of yoke specimens: (a) aluminum yoke, (b) SMA yoke, and (c) multi-layered high-damping yoke.
Aerospace 12 00029 g011
Figure 12. Free vibration test results for each case on the yoke specimen.
Figure 12. Free vibration test results for each case on the yoke specimen.
Aerospace 12 00029 g012
Figure 13. Free vibration test results for Case 3 for various numbers of lamination on the yoke specimen.
Figure 13. Free vibration test results for Case 3 for various numbers of lamination on the yoke specimen.
Aerospace 12 00029 g013
Figure 14. Damping ratio of each case according to the initial displacements.
Figure 14. Damping ratio of each case according to the initial displacements.
Aerospace 12 00029 g014
Figure 15. Low-level sine sweep test for each case.
Figure 15. Low-level sine sweep test for each case.
Aerospace 12 00029 g015
Figure 16. Results of the frequency response for solar panel.
Figure 16. Results of the frequency response for solar panel.
Aerospace 12 00029 g016
Figure 17. Cases of on-orbit thermal analysis: (a) multi-layered high-damping yoke, (b) multi-layered high-damping yoke with MLI surface, and (c) multi-layered high-damping yoke with MLI surface and heaters.
Figure 17. Cases of on-orbit thermal analysis: (a) multi-layered high-damping yoke, (b) multi-layered high-damping yoke with MLI surface, and (c) multi-layered high-damping yoke with MLI surface and heaters.
Aerospace 12 00029 g017
Figure 18. On-orbit thermal analysis results for the multi-layered high-damping yoke: (a) worst hot case, and (b) worst cold case.
Figure 18. On-orbit thermal analysis results for the multi-layered high-damping yoke: (a) worst hot case, and (b) worst cold case.
Aerospace 12 00029 g018
Figure 19. Thermal vacuum test setup.
Figure 19. Thermal vacuum test setup.
Aerospace 12 00029 g019
Table 1. Specification of SK5 [13].
Table 1. Specification of SK5 [13].
Properties
Elastic Modulus (GPa)190 to 210
Poisson’s Ratio0.27 to 0.3
Density (g/cm3)7.7 to 8
Tensile Strength (MPa)1158
Yield Strength (MPa)1034
Table 2. Specification of the viscoelastic adhesive tape (3M966) [14].
Table 2. Specification of the viscoelastic adhesive tape (3M966) [14].
Properties
TypeDouble-Sided Tape
MaterialAcrylic
Total Tape Thickness (mm)0.06
Adhesion Strength (N/100 mm)58 (20 min Dwell)
85 (72 h Dwell)
159 (Ultimate Bond)
Allowable Temperature−40 to 149
(°C, for long period)
Outgassing (%, TML/CVCM)0.93/0.01
Table 3. Specification of the blade specimens.
Table 3. Specification of the blade specimens.
Item Specifications
Case123
Dimension (mm)200 × 400
Total Thickness (mm)1.612
No. of Layers024
Total Mass (g)52249
Table 4. Material properties of the superelastic SMA [9].
Table 4. Material properties of the superelastic SMA [9].
Properties
Elastic Modulus (GPa)Martensite75
Austenite80
Poisson/s Ratio ( ρ )0.33
Density (g/cm3)6.45
Critical Stress (MPa)584.5
Tensile Strength (MPa)1300
Elongation at Break (%)45
Coefficient of Thermal Expansion (μm/K)10.4
Martensite Finish Temperature ( M f   )−21
Martensite Start Temperature ( M s   )−12
Austenite Start Temperature ( A S   )−5
Austenite Finish Temperature ( A f   )15
Table 5. Specification of the yoke specimens.
Table 5. Specification of the yoke specimens.
ItemSpecifications
Case123
MaterialAluminumSuperelastic SMASMA, FR4,
Viscoelastic Tape
No. of Constraint Layer0020
Thickness (mm)1.61.813.5
Dimension (mm)362 × 48
Table 6. Modal damping values for each case.
Table 6. Modal damping values for each case.
TypeCase1st Mode2nd_Mode
Multi-layered
High-damping Yoke
20.0230.011
3 (12 Layers)0.0780.069
3 (16 Layers)0.1490.069
3 (20 Layers)0.1510.071
Table 7. Modal damping values for each case of the previous yoke [12].
Table 7. Modal damping values for each case of the previous yoke [12].
TypeCase1st Mode2nd_Mode
Previous Yoke20.0030.007
3 (2 Layers)0.0080.035
3 (4 Layers)0.0090.058
3 (6 Layers)0.0110.079
Table 8. Results of basic characterization before and after thermal vacuum test.
Table 8. Results of basic characterization before and after thermal vacuum test.
ItemFrequencyDamping Ratio
Before TVT1.1110.171
After TVT1.1490.176
Difference (%)3.42.9
Disclaimer/Publisher’s Note: The statements, opinions and data contained in all publications are solely those of the individual author(s) and contributor(s) and not of MDPI and/or the editor(s). MDPI and/or the editor(s) disclaim responsibility for any injury to people or property resulting from any ideas, methods, instructions or products referred to in the content.

Share and Cite

MDPI and ACS Style

Woo, G.-S.; Park, J.-H.; Park, S.-W.; Oh, H.-U. Development of a Passive Vibration Damping Structure for Large Solar Arrays Using a Superelastic Shape Memory Alloy with Multi-Layered Viscous Lamination. Aerospace 2025, 12, 29. https://doi.org/10.3390/aerospace12010029

AMA Style

Woo G-S, Park J-H, Park S-W, Oh H-U. Development of a Passive Vibration Damping Structure for Large Solar Arrays Using a Superelastic Shape Memory Alloy with Multi-Layered Viscous Lamination. Aerospace. 2025; 12(1):29. https://doi.org/10.3390/aerospace12010029

Chicago/Turabian Style

Woo, Gi-Seong, Jae-Hyeon Park, Sung-Woo Park, and Hyun-Ung Oh. 2025. "Development of a Passive Vibration Damping Structure for Large Solar Arrays Using a Superelastic Shape Memory Alloy with Multi-Layered Viscous Lamination" Aerospace 12, no. 1: 29. https://doi.org/10.3390/aerospace12010029

APA Style

Woo, G.-S., Park, J.-H., Park, S.-W., & Oh, H.-U. (2025). Development of a Passive Vibration Damping Structure for Large Solar Arrays Using a Superelastic Shape Memory Alloy with Multi-Layered Viscous Lamination. Aerospace, 12(1), 29. https://doi.org/10.3390/aerospace12010029

Note that from the first issue of 2016, this journal uses article numbers instead of page numbers. See further details here.

Article Metrics

Back to TopTop