Abstract
The vibration of turbine blades during the operation of jet engines is a serious and complex issue that has garnered significant attention. In practical jet engines, dry friction damping is commonly used to suppress blade vibrations due to its reliability and efficiency. The equivalent damping ratio of dry friction dampers is a crucial metric for evaluating their performance. However, calculating dry friction dampers’ damping ratio for actual structures involves nonlinear vibration calculations, which are challenging and often lack precision. A method combining simulation and experimentation to calculate the equivalent damping ratio of a structure is proposed. In a laboratory setting, the vibration response of turbine blades under centrifugal load and the damping effect of under-platform dampers were analyzed using oil excitation. The research results indicate that this method can effectively calculate the equivalent damping ratio of actual structures. The findings provide robust support for the design of under-platform dampers and the vibration analysis of turbine blades.
1. Introduction
Turbine blades in jet engines operate downstream of the combustion chamber, where they are subjected to complex, unsteady aerodynamic forces. These forces often induce blade vibrations due to their disturbance frequencies being close to the natural frequencies of the turbine blades, leading to high-cycle fatigue. The method of using damping to reduce structural vibration is widely used, for example, Arash [1] uses damping to reduce the response of a building to mainshock–aftershock sequences, and the test shows that damping has a good suppression effect on vibration. The inherent damping of blade materials is minimal, making it difficult to effectively suppress vibrations. Therefore, external damping methods are required in engineering to mitigate turbine blade vibrations, with dry friction damping being the most common and effective approach.
When designing dry friction dampers, the vibration reduction effect can be analyzed by solving the system’s vibration with dry friction damping. Two core issues are central to the analysis of such systems: the description of the friction interface and the efficient and accurate solution of the nonlinear friction-induced problem. The friction interaction can be modeled by connecting two contacting surfaces with a hysteresis spring in a macroscopic slip model. When the spring force exceeds a certain threshold, sliding occurs between the surfaces; otherwise, they stick together. The pressure and friction force on the contact surfaces are assumed to be uniformly distributed [2,3,4]. If the uniform distribution assumption is removed and multiple points on the contact surface are connected, the macroscopic slip model transitions to a microscopic slip model [5,6,7,8]. Efficiently solving the system after model establishment is a major research focus. If precise solutions are not required, the performance of dry friction dampers can be analyzed by describing the nine interaction states of the interface in a plane of normal pressure and examining the friction force’s constraint region to evaluate the damper’s performance [9,10].
For complex blade and damper models requiring a response evaluation to assess damping effectiveness, three primary methods are proposed: frequency domain methods, time domain methods, and hybrid frequency–time domain methods. The core idea of time domain methods is to divide the entire motion process into small time steps, calculating the state at each step based on the previous one. Common computational methods include the implicit Newmark-β method and the explicit Runge–Kutta method. Time domain integration can solve various nonlinear problems but requires significant computational power and time for large, complex structures [11]. In frequency domain methods, if the steady-state solution of the nonlinear system is expanded using a Fourier series and combined with the equations, the original problem can be transformed into solving for coefficients. This approach is known as the harmonic balance method [12], widely used for solving nonlinear dynamic problems [13,14]. However, achieving higher accuracy with this method requires using higher harmonics, which complicates calculations and reduces computational efficiency compared to time domain integration. To overcome the shortcomings of both methods, new approaches such as the higher dimensional harmonic balance method [15] and the incremental harmonic balance method [16] have been developed. Additionally, hybrid methods combining time and frequency domains, such as the time–frequency transformation harmonic balance method [17] and time domain collocation methods, have been introduced. Theoretically, the problem of evaluating the vibration reduction effect of dry friction damping is transformed into solving nonlinear dynamic problems. Muzio [18] presents a general geometric theory of the in-plane motion of under-platform dampers as a function of blade neck deflection and the resulting platform kinematics; integrating the above discussion, it can provide strong support for the design of dampers. However, assumptions, simplifications, and mathematical treatments in the solution process make it a significant challenge to accurately describe the vibration of blades with dampers.
For practical engineering problems, the ultimate evaluation of a damper’s vibration reduction effectiveness still requires experimental validation. Wu [19] et al. simplified turbine blades as cantilever beams to study their vibration characteristics under different dry friction damping parameters. The friction damping blocks were connected to both the beam and the frame, and the contact normal pressure was altered by applying weights. Koh [20] et al. investigated the vibration characteristics of blades under spherical dry friction damping. In their experiments, the blades and platform were simplified into a T-shaped integrated model, with the normal pressure of the dry friction damper applied by changing the direction of the external load using a pulley system. Pesaresi [21] et al. validated their proposed improved contact model through experiments and studied the nonlinear behavior of blades and wedge-shaped damping blocks. In their experiments, the blades were simplified into a cross-shaped structure, and centrifugal force was simulated using tensile forces. Ferhatoglu [22] et al. also simplified the blades into a cross-shaped structure, using damping blocks applied on both sides of a single blade, considering the friction effects of the tenon, and simulating centrifugal force with tensile forces. Experimental setups for dry friction damping tests in a stationary state can be simplified as shown in Figure 1. Simulating centrifugal force with tensile forces cannot account for the centrifugal stiffening effects on structural vibration during actual operation. Additionally, simplifying blades as flat plates differs from their actual vibration modes in operation, which presents certain limitations in evaluating the damper’s vibration reduction effectiveness during real-world operation.
Figure 1.
Schematic diagram of dry friction damping test in stationary state.
To more accurately replicate the usage scenarios of dampers, Laxalde [23] et al. investigated the vibration characteristics of a high-pressure compressor bladed disk with damping rings. They used an electric motor to rotate the bladed disk structure to operational speed and employed piezoelectric ceramics to excite the blades, examining the vibration characteristics of the bladed disk with damping rings under working conditions. Piezoelectric ceramics offer flexible control and the ability to excite complex vibration modes, but they still have limitations, such as the need for adhesion and the introduction of additional mass to the structure.
In conducting research on damper vibration reduction, theoretical and numerical analyses can be utilized. However, the theoretical models of dry friction damping involve complex nonlinear problems. Despite the development of numerous methods for analyzing the dynamic response of nonlinear systems over the years, experimental research remains a crucial approach for damper vibration reduction studies and design due to limitations in computational efficiency and accuracy. However, the method of numerical simulation is also indispensable in the design and optimization of dampers. This study employs a combined approach of simulation analysis and experimental testing to investigate the vibration characteristics and damping effects of three types of dampers on turbine blades under centrifugal loads. Oil drop excitation was used for its strong controllability and for avoiding the introduction of extraneous constraints that could affect the inherent vibration characteristics of the blades. This study analyzes the impact of different damper parameters on vibration reduction, the influence of excitation on damping effectiveness, and the stability of various damping structures.
2. Calculation of the Equivalent Damping Ratio for Dry Friction Dampers
The actual structure of the dry friction damper is shown in Figure 2. The pink component represents the under-platform damper (UPD) located beneath the platform of the turbine blade. During jet engine operation, the damper is pulled up by centrifugal force and pressed between adjacent blades. When the blades vibrate, the damper converts the kinetic energy of the blades into heat energy through friction, thereby reducing blade vibration.
Figure 2.
Structure of dry friction damper.
The vibration reduction effect of dry friction damping is closely related to the equivalent damping ratio, making it significant to analyze the damping characteristics of the structure. This study employed a combined approach of finite element modeling and contact modeling to calculate the energy dissipation under the influence of dry friction dampers. Finally, the equivalent damping ratio of the structure was determined by integrating the results with experimental data.
2.1. Friction Model
A commonly used friction model is the Coulomb friction model [24], which is a simplified model for analyzing friction force based on observational results of friction phenomena. Its expression is given by
where denotes the friction force at the contact surface, is the friction coefficient of the contact surface, represents the normal pressure at the contact surface, is the sign function, and is the relative velocity between the contact surfaces. The Coulomb friction model assumes that when there is relative motion at the contact surface, the friction force is a function of the normal pressure and acts in the direction opposite to the relative motion.
Due to the arbitrariness at zero in the Coulomb friction model and the abrupt nature of sliding at the interface, which does not match actual observed phenomena, Iwan [25] proposed a bilinear friction model. The function expression of this model is
where the symbols have the same meaning as in Equation (1), and represents the tangential force at the contact surface. Its expression is given by
where denotes the relative displacement at the interface, and k, the appropriate value of which is selected according to reference [26], is the tangential stiffness of the contact surface. This model posits that a stick stage exists before relative sliding occurs, during which the friction force at the contact surface is related to the relative displacement of the interface. The physical representation of this model is shown in Figure 3, where .
Figure 3.
Physical representation of stick–slip model.
2.2. Energy Dissipation in Friction Models
The mechanism of dry friction damping involves relative sliding between two contacting objects, where mechanical energy is converted into thermal energy at the contact surface, dissipating the system’s vibrational energy. This process reduces the maximum vibration amplitude and decreases vibration stress. From the perspective of energy dissipation due to friction, the focus is on the proportion of total kinetic energy that is dissipated during a single vibration cycle.
Frictional energy dissipation refers to the work done by the friction force over one cycle. Given the hysteresis curve of nonlinear friction force as it varies with relative tangential displacement, the frictional energy dissipation can be indirectly obtained by calculating the area inside the hysteresis curve using the macroscopic slip model.
When the amplitude of the relative displacement is less than or equal to the critical displacement (), no relative sliding occurs at the contact surface, and the nonlinear friction force does no work, resulting in zero energy dissipation. When the amplitude of the relative displacement exceeds the critical displacement (), the friction force does work, and the entire hysteresis loop is as shown in Figure 4.
Figure 4.
Hysteresis loop of friction force variation in slip models.
The work done by the friction force over one cycle is given by
where is the friction coefficient of the contact surface, and N is the normal pressure of the contact surface. When the system is subjected to harmonic excitation, its displacement response is given by
where represents the damped natural frequency, and is the amplitude of vibration. The work done by an equivalent viscous damping force over one cycle is given by
where denotes the damping coefficient, and is the time of one vibration cycle.
2.3. Equivalent Damping Ratio for Dry Friction Dampers
A triangular prismatic under-platform damper was used in the high-pressure turbine second-stage rotor blades, with a cross-section in the shape of a right triangle. It featured two contact surfaces in contact with the blade platform: an inclined contact surface and a vertical contact surface, as illustrated in Figure 5.
Figure 5.
Dry friction damper.
In practical use, the damper needs to be installed in a mounting slot that aligns with the blade platform. The inclined contact surface of the damper fitted with the inclined surface of the platform, as shown in Figure 6.
Figure 6.
Vertical contact surface of the dry friction damper.
The face corresponding to the short edge of the triangular prismatic cross-section was the vertical contact surface, which aligned with the planar surface of the adjacent blade platform, as illustrated in Figure 7.
Figure 7.
Inclined contact surface of the dry friction damper.
In actual operation, each dry friction damper contacts the platform of two adjacent blades, converting the kinetic energy of blade vibrations into thermal energy through friction to achieve damping. To calculate the equivalent damping ratio of the actual structure, it was necessary to determine the hysteresis loop of the contact surface and the maximum kinetic energy during vibration. The maximum kinetic energy of the blade is given by
where represents the mass of the blade. The ratio of the frictional energy dissipation to the maximum kinetic energy is given by
where represents the equivalent damping ratio. The equivalent damping ratio for dry friction damping could be determined using the ratio of the frictional energy dissipation to the maximum kinetic energy.
For the inclined contact surface, the displacements at the contact positions on the platform and the damper were extracted. At the contact surface, the displacements of the inclined platform (L), the damper (D), and the vertical platform (R), as shown in Figure 8, are given by
where represents the phase difference between the dry friction damper and the inclined platform, and denotes the phase difference between adjacent blades. For the inclined contact surface, the relative displacement can be expressed as
Figure 8.
Relative displacement.
The amplitude of the relative displacement at the contact surface is given by
The calculation method for the vertical contact surface was similar. To determine the modal characteristics of the structure, the cyclic symmetric structure was meshed, as shown in Figure 9.
Figure 9.
Finite element mesh of blade–disk–damper system.
The modal analysis of the structure revealed that the circumferential displacement of the first mode is shown in Figure 10.
Figure 10.
Modal analysis results—circumferential displacement.
After extracting the maximum modal kinetic energy from the modal analysis, the frictional energy dissipation could be calculated using the hysteresis loop of the friction model, based on the relative displacement at the contact surface. By combining the maximum kinetic energy with the frictional energy dissipation, the equivalent damping ratio of the dry friction damper for the actual structure could be determined.
Since calculating the forced response of blades with dampers is complex, time-consuming, and somewhat divergent from actual conditions, experimental methods were considered for obtaining the blade responses with the three types of dampers in a rotation state under excitation.
Within the elastic range, the interface’s relative displacement is proportional to the strain, and the energy is proportional to the square of the strain. Therefore, parameters such as the kinetic energy and interface relative displacement under resonance conditions can be inferred from experimental strain measurements and modal analysis results. Strain measurement was preferred for its high signal-to-noise ratio, accuracy, minimal added mass, and cost-effectiveness.
3. Experimental Setup and Equipment
The experimental method employed atomized liquid droplet jet excitation, as illustrated in Figure 11. Regarding the load and the test specimen, the driving motor rotated the test blade at high speeds, while the test chamber was evacuated to reduce power loss due to the high-speed rotation of the blade rotor. For the excitation apparatus, a series of nozzles were radially installed around the test rotor. The bottom of the test chamber was equipped with an oil collection trough to gather the ejected liquid. During the experiment, a vacuum return pump extracted the collected liquid from the vacuum chamber to an external oil station. The liquid was then pressurized by a booster pump at the oil station and delivered to the nozzles arranged in the test chamber. The oil station regulated the output pressure and flow rate via speed frequency control.
Figure 11.
Experimental system.
During excitation tests, the liquid continuously produced jets through the nozzles, impacting specific positions on the blades to generate excitation. As the blades rotated at high speeds, the fluid impacts created torque on the blades, serving as the excitation force. The magnitude of the excitation force was determined jointly by the flow rate of the impacting liquid and the rotor speed. By controlling the impact position of the nozzle jets on the blades, the vibration mode of the excited blades could be adjusted. Theoretically, when the contact area of the liquid coincides with regions of the blade that have larger vibration amplitudes, a stronger response will be generated. Conversely, when the liquid contact area aligns with positions on the blade that experience no vibration displacement, a lower excitation level will result. The response amplitude and vibration pattern vary depending on the liquid contact area on the blade.
3.1. Blade and Under-Platform Damper
The experiment utilized actual high-pressure turbine blades and turbine blade simulators in conjunction with a turbine disk as test specimens, as shown in Figure 12. Four sets of five turbine blades each were used for vibration response testing, while the remaining positions were fitted with simulated blades as balancing weights, mounted in the disk’s dovetail slots. The use of real blades and the turbine disk met the fundamental requirements of the study, enabling a more accurate simulation of the blade-and-disk connection under rotational conditions and its associated vibration characteristics, thus minimizing errors introduced by model simplifications. Conversely, simulated blades were employed to simplify the test apparatus, effectively reducing costs.
Figure 12.
Photograph of the test specimen.
For the test specimens in this study, the dampers were installed in the under-platform positions below the blade roots. During operation, they could engage in relative motion with the under-platforms of two adjacent blades, thereby dissipating vibrational energy and reducing vibration. The experiment compared the vibration reduction effects of different under-platform dampers, with three types of damping blocks designed. All three dampers were prismatic dry friction under-platform dampers with identical external dimensions; detailed parameters are provided in Table 1.
Table 1.
Parameters of the dry friction damper.
3.2. Test Machine and Dynamic Balancing Equipment
To simulate the centrifugal load on turbine blades, the experiments were primarily conducted on the HR20DI vertical rotor high-speed test rig. This test rig is capable of high-speed rotation tests and features a simple speed increase system structure. It has a strong single-axis drive capability, reliable performance, a high degree of mechatronic integration, and convenient operation. The rig uses ultra-long-life high-speed bearings and efficient damping vibration absorbers, ensuring high system reliability. The main unit of the test rig is shown in Figure 13.
Figure 13.
Vertical rotor high-speed rotating test rig.
To reduce vibrations caused by the rotor eccentric mass during testing, the HM30U horizontal dynamic balancing machine was used for rotor dynamic balance calibration. As shown in Figure 14, this dynamic balancing machine offers an extremely high balancing accuracy, with a minimum residual unbalance of 0.5 g mm/kg, meeting the dynamic balance calibration requirements for this experiment.
Figure 14.
HM30U dynamic balancing machine.
3.3. Vibration Measurement System
The experiments were conducted under rotational conditions to obtain the vibration response of turbine blades during high-speed rotation. Dynamic strain measurements of the turbine blades were obtained using strain gauges. Resistance strain gauges were directly used for measurement, allowing multiple blades to be measured simultaneously. The measurement signals were routed through the center of the shaft to a high-speed slip ring, which then transmitted the signals to stationary equipment for analysis. Figure 15 shows the mandrel and lead disk, and Figure 16 depicts the wiring scheme. The leads from the turbine blades were adhered along the rear baffle and the surface of the rear shaft, finally fixed to the inner wall of the holes in the rear shaft. An “S”-shape wiring pattern was used to reduce the likelihood of lead breakage due to rotor deformation during rotation.
Figure 15.
Shaft core and lead wire disk.
Figure 16.
Wiring scheme.
The high-speed conductive slip ring device was crucial for collecting strain signals from high-speed rotating blades. The experiment used a 36-point high-speed slip ring, as shown in Figure 17, with a working speed of up to 20,000 RPM, making it quite convenient to use. Strain amplification was performed using a 16-channel dynamic strain gauge, with each channel having a maximum sampling rate of 128 kHz. The strain gauges were small and lightweight, ensuring they did not interfere with the stress state of the blades. They had a wide measurement range and could operate stably under high-speed vibration conditions.
Figure 17.
Electric slip ring collector.
The experiment arranged four sets of blades circumferentially, with each set containing five blades, installed in an opposing manner: the first set at 0°, the second set at 180°, the third set at 90°, and the fourth set at 270°. Simulated blades were installed in the remaining positions. The central blade of each set was selected as the test blade. Six strain gauges were attached to the back of each test blade, as shown in Figure 18. The placement of the strain gauges was based on the strain distribution from the finite element analysis of the blade structure.
Figure 18.
Strain gauge attachment locations.
After attaching the strain gauges, the test specimens and the testing system were assembled. The rotor underwent dynamic balance calibration, and the test rotor was suspended from the lower end of the flexible shaft. The strain gauge leads were routed through the flexible shaft to the upper end of the high-speed test rig. The oil circuit was installed and checked for proper operation. The fully assembled system is shown in Figure 19. Once the assembly was complete, the test specimens were subjected to a trial run at room temperature to ensure they could surpass the critical speed range and to verify the smooth operation of the entire test process.
Figure 19.
Completed system assembly photograph.
4. Test Content
4.1. Structural Natural Vibration Characteristics Testing
To obtain the inherent vibration characteristics of the blades under centrifugal load, pre-experiments were necessary. These pre-experiments helped to reduce the upper and lower speed limits required for the formal tests, thereby improving the test efficiency. Additionally, the effectiveness of blade excitation with varying numbers of nozzles was tested to ensure it met the expected conditions.
where N represents the number of nozzles, n denotes the rotational speed (RPM), and f stands for the excitation frequency.
Based on the number of test blades and in conjunction with Equation (14), five suitable combinations of rotational speeds and nozzle quantities were determined, as shown in Table 2. To achieve maximum vibration amplitude, the blade’s natural frequency must be positioned within the system’s liquid injection speed range during the experiment. The five schemes were sequentially a second-order axial bending and third-order torsional excitation test with 24 nozzles in the undamped state, a first-order circumferential bending excitation test with 8 nozzles, and a second-order axial bending and third-order torsional excitation test with 21 nozzles.
Table 2.
Number of nozzles, resonance speeds, and excitation frequencies during the experiment.
The experimental results are shown in Figure 20. The blade exhibited a larger response amplitude under first-order bending vibration excitation compared to other vibration modes. The responses for the second-order and third-order vibrations were not pronounced. Among the six measurement points, point six recorded the highest strain.
Figure 20.
Strain at each strain gauge on Blade 1 at resonance.
The response strain at measurement point six was extracted for frequency domain analysis as shown in Figure 21. The signal-to-noise ratio was better for the third-order torsional and first-order circumferential bending vibrations with 21 nozzles. The response amplitude for the first-order bending was the highest. Therefore, the damping and vibration reduction studies were focused on the first-order bending mode, with particular attention given to the strain at measurement point six.
Figure 21.
Frequency domain results for strain gauge 6 on Blade 1.
4.2. Undamped Vibration and Damping Tests with Different Dampers
In the formal experiments, the blades were arranged circumferentially in two sets, each consisting of five blades, with the central blade selected as the test blade. Based on the calculations and pre-experiment results for 8 nozzles, the test procedure was defined as follows: all experimental rotational speeds were cycled from 0 to 11,000 RPM, then to 10,500 and 10,000 RPM, and back to 0 RPM. The acceleration for the speed increase and decrease was set at 10 RPM/s, while during the excitation phase (from 11,000 to 10,000 RPM), the acceleration was 5 RPM/s. Excitation was applied only during the speed decrease phase, and at the resonant speed (10,500 RPM), the system remained stationary for 6 s. The speed profile for the test is shown in Figure 22.
Figure 22.
Speed control line.
The excitation conditions were categorized into three spray pressures: 1250 kPa, 1050 kPa, and 850 kPa. The damping states were divided into five phases: no damping, Type I damping, Type II damping, Type III damping, and Type IV damping. Each damping phase required testing under all three spray pressures.
First, for the no damping stage, no dampers were installed at the 0° and 180° positions. Tests were conducted at 1250 kPa, 1050 kPa, and 850 kPa to complete the no damping phase.
Next, for the Type I damping stage, Type I dampers were installed at the 0° and 180° positions. Tests were performed at 1250 kPa, 1050 kPa, and 850 kPa to complete the Type I damping phase.
Then, for the Type II damping stage, Type II dampers were installed at the 0° and 180° positions. Tests were conducted at 1250 kPa, 1050 kPa, and 850 kPa to complete the Type II damping phase.
Following this, for the Type III damping stage, Type III dampers were installed at the 0° and 180° positions. Tests were performed at 1250 kPa, 1050 kPa, and 850 kPa to complete the Type III damping phase.
Finally, for the Type IV damping stage, Type II dampers were installed at the 0° position and Type III dampers at the 180° position. Tests were conducted at 1250 kPa, 1050 kPa, and 850 kPa to complete the Type IV damping phase.
5. Results
5.1. Operating Characteristics of Three Types of Dampers
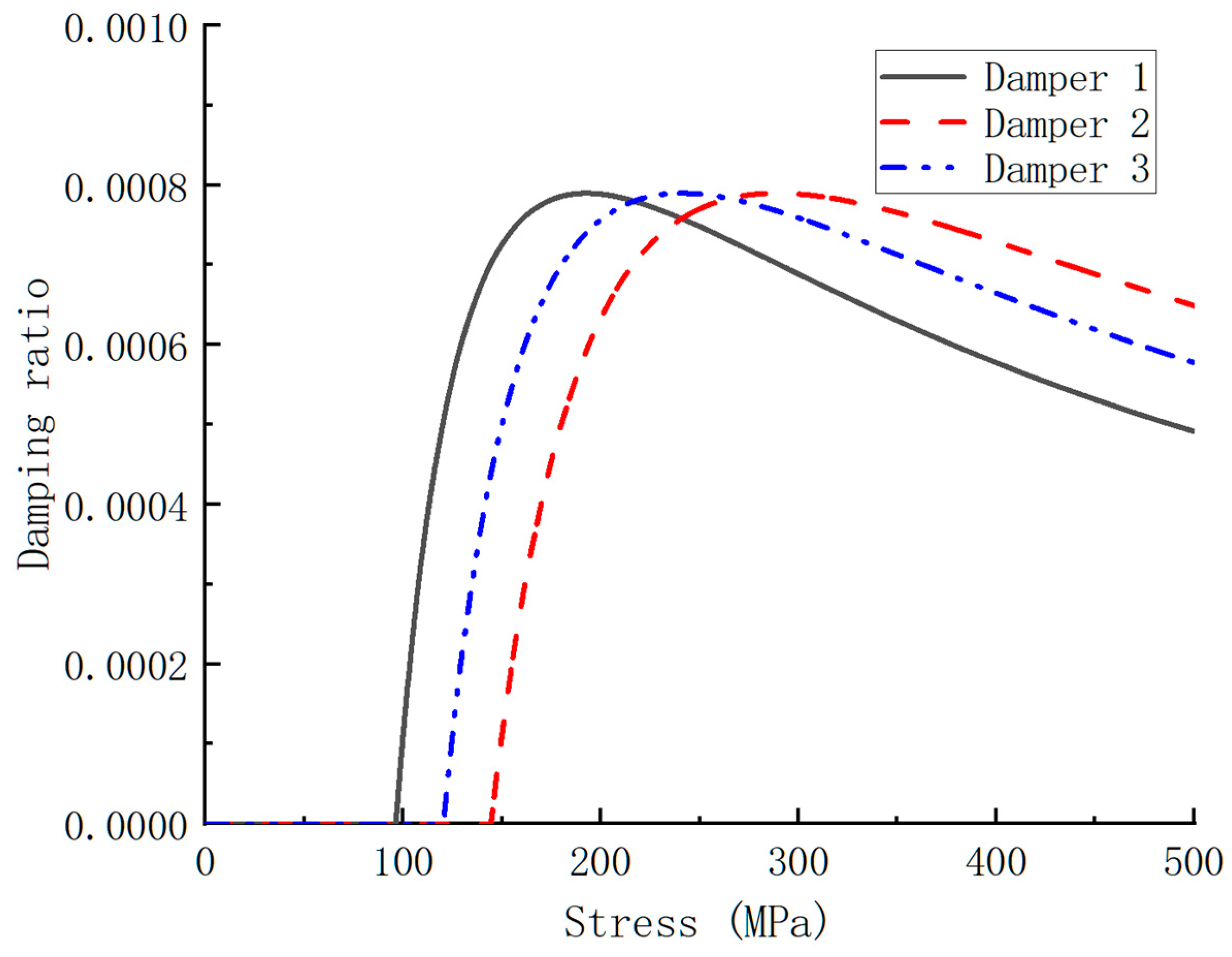
The under-platform dampers feature two friction contact surfaces that dissipate energy through mutual friction, providing damping effects. The three types of dampers used in the experiment have friction contact surfaces that include both inclined and perpendicular contact areas. The equivalent damping ratios for these two contact surfaces can be calculated separately. Figure 23 shows the characteristic curves of the equivalent damping ratios for the perpendicular contact surfaces of the three dampers.
Figure 23.
Working characteristic curves of the vertical contact surface of the three dampers.
The equivalent damping ratio initially increases with the stress at the monitoring points, then decreases, exhibiting a peak with a steeper slope on the left side of the peak and a rapid decline on the right side before leveling off. The peak stress for Damper 2 is the highest, at 292 MPa, and is close to Damper 3, which has a peak stress of 242 MPa. Damper 1 has the lowest peak stress, at 193 MPa. Damper 1 is unable to provide effective friction damping when the stress is below 95 MPa. At stress levels below 217 MPa, its damping effect surpasses that of the other two dampers. In other operating conditions, the equivalent damping provided by Damper 1 is the lowest among the three dampers.
Figure 24 illustrates the characteristic curves of the equivalent damping ratios for the inclined contact surfaces of the three dampers. The trend of the equivalent damping ratio with respect to the strain at the monitoring points is like that of the perpendicular contact surfaces, initially increasing and then decreasing. The ratio exhibits a steep slope on the left side of the peak and a rapid decline on the right side before leveling off.
Figure 24.
Working characteristic curves of the oblique contact surface of the three dampers.
For Damper 2, the peak stress is the highest at 153 MPa, followed by Damper 3 with a peak stress of 126 MPa, and Damper 1 with the lowest peak stress of 101 MPa. Damper 1 provides greater damping effects than the other two dampers when the stress is below 114 MPa. In other operating conditions, the equivalent damping of Damper 1 is the lowest among the three. The damping effects provided by the three dampers are similar, each at 1.17%. Additionally, it is noted that at stress levels below 50 MPa, the dampers are in the viscous region, with displacements smaller than the critical displacement, and thus, the inclined contact surfaces do not provide friction damping.
5.2. Analysis of the Damping Effect Under the Same Excitation Force Conditions
Under an excitation pressure of 850 kPa, the strain at measurement point 6 for Blade 1 with Damper 1 is 105.94 µε, with Damper 2 is 106.63 µε, and with Damper 3 is 57.03 µε. For Blade 1, the equivalent damping ratios for the three dampers are 0.903%, 1.111%, and 1.116%, respectively. As shown in Figure 25, Damper 1 provides the least damping, while Damper 2 and Damper 3 offer similar levels of damping. During operation, the working point falls on the right half of the characteristic curves for Damper 1 and Damper 3, and on the left half of the curve for Damper 2, near the damping peak. The damping trends at 1050 kPa and 1250 kPa are similar to those at 850 kPa, with Damper 3 showing variations in damping with changes in excitation within the operational state.
Figure 25.
Equivalent damping ratios of different dampers on Blade 1 under 850 KPa excitation.
Under the same excitation, for Blade 2, the strain at measurement point 6 is 102.56 µε with Damper 1, 55.64 µε with Damper 2, and 41.6 µε with Damper 3, indicating that Damper 3 provides the best vibration reduction effect. For Blade 2, the equivalent damping ratios for the three dampers are 0.922%, 0.880%, and 0.964%, respectively, with Damper 3 offering the optimal damping effect. As shown in Figure 26, Damper 3 provides the highest damping ratio and operates on the left side of the peak point of the working curve. In contrast to Damper 1, Damper 2’s performance is inversely related; the damping ratio of Damper 2 increases with excitation, while that of Damper 1 decreases with excitation. The damping trends at 1050 kPa and 1250 kPa are similar to those at 850 kPa, with Damper 3 consistently providing the highest equivalent damping ratio.
Figure 26.
Equivalent damping ratios of different dampers on Blade 2 under 850 KPa excitation.
The vibration reduction effect is given by
The vibration reduction effects of the two blades under different damping conditions with the same excitation are compared in Figure 27. Both blades achieved the best vibration reduction with Type III damping, which aligns with the results of the equivalent damping ratio analysis. Thus, from the perspective of damping effectiveness, Type III dampers are more suitable for turbine blade vibration reduction.
Figure 27.
Comparison of the vibration reduction effects of the three dampers on Blade 1 and Blade 2 under 850 KPa excitation.
Without damping, the vibration amplitude of Blade 1 is three times that of Blade 2. This is attributed to the inherent damping effect due to mutual friction between the under-platforms of Blade 2. With the addition of damping, the responses of both blades under Type I damping are similar. Comparing the overall effectiveness of the three types of dampers, the vibration reduction on Blade 2 consistently outperforms that on Blade 1, which corroborates the findings from the equivalent damping ratio analysis.
5.3. Analysis of Damping Effect Under Different Excitation Conditions
As previously analyzed, Damper 3 has the highest equivalent damping ratio and provides the best vibration reduction among the three types of dampers, indicating optimal performance. To evaluate the impact of the excitation force magnitude on vibration reduction, the vibration reduction effect with an increasing excitation force was compared during the operation of Damper 3.
Figure 28 shows the equivalent damping ratios for Blade 1 with Damper 3 under different excitation pressures. At an excitation pressure of 850 kPa, the strain at measurement point 6 of Blade 1 is 58.48 µε, with an equivalent damping ratio of 1.16%. At 1050 kPa, the strain at measurement point 6 is the highest at 53.96 µε, with an equivalent damping ratio of 1.15%. At the maximum test pressure of 1250 kPa, the strain at measurement point 6 is the lowest at 58.48 µε, with an equivalent damping ratio of 1.17%.
Figure 28.
Equivalent damping ratios of Blade 1 with Damper 3 under different excitations.
As the excitation increases, the relative motion at the friction interface increases, leading to higher frictional energy dissipation and a rising damping ratio. However, when the amplitude at the friction interface does not increase significantly, the frictional energy dissipation does not proportionally match the increase in the excitation force, causing the equivalent damping ratio to decrease. The equivalent damping ratio of the damper shows an initial increase followed by a decrease with increasing excitation. When excitation varies within the working range of the damper, the equivalent damping ratio reaches its peak value on the characteristic curve, indicating optimal working conditions.
The relationship between the equivalent damping ratio and excitation force for Blade 2 differs from that of Blade 1 under the three excitation levels, as shown in Figure 29. For Blade 2, the equivalent damping ratio first decreases and then increases with an increasing excitation force.
Figure 29.
Equivalent damping ratios of Blade 2 with Damper 3 under different excitations.
Under the influence of Damper 3, the strain at measurement point 6 of Blade 2 is 41.6 µε with an equivalent damping ratio of 0.963% at 850 kPa, 45.68 µε with a damping ratio of 1.07% at 1050 kPa, and 43.3 µε with a damping ratio of 1.01% at 1250 kPa. The equivalent damping ratios for Blade 2 are consistently lower than those for Blade 1, indicating that Blade 2 operates away from the peak value and remains on the left side of the characteristic curve, demonstrating stable working conditions.
Due to the higher inherent damping at the under-platform of Blade 2, when the excitation is slightly increased, the amplitude does not exceed its critical displacement. Consequently, the damper provides limited additional damping, leading to a decrease in the damping ratio. As the excitation further increases, the inherent damping of the under-platform becomes more significant, resulting in a subsequent rise in the overall damping ratio.
According to the previously described method for calculating the vibration reduction effectiveness in Equation (15), the variations in the reduction performance under different excitation levels are illustrated in Figure 30. As the excitation force increases, the vibration reduction effectiveness for Blade 2 shows a decreasing trend, while for Blade 1, it initially decreases and then increases. The damping performance of the damper is better on Blade 2.
Figure 30.
Relationship between vibration reduction effect and excitation for Damper 3.
From an energy perspective, the principle of dry friction damping involves dissipating part of the vibration energy through friction to reduce the vibration amplitude of the blade. The key difference between Blade 1 and Blade 2 is that Blade 2 has higher inherent damping at the under-platform. As excitation increases, the combined effect of the under-platform damping and the damper aligns with the trend observed in the equivalent damping ratio. In contrast, Blade 1, without a damper, exhibits a vibration amplitude that initially decreases and then increases. This results in the damping effect of the damper at 1250 kPa of excitation being countered, leading to a gradual decline in the vibration reduction performance.
Therefore, it is crucial to define the operating range of the under-platform damper. When external excitation exceeds this range, the damper’s effectiveness in vibration reduction becomes limited.
6. Conclusions
This study proposes a method that combines finite element analysis, bilinear friction theory, and experimental results to obtain the operating characteristic curves of different dampers. Using modal analysis, the proportional relationship between the relative displacement of the friction interface, the structural kinetic energy, and the strain was calculated. Combined with the strain response of the blade under oil excitation measured by the test, the relative displacement of the friction interface and the total kinetic energy were determined. The equivalent damping ratio provided by the damper could be determined by using the relationship between it, the friction energy dissipation, and the total kinetic energy.
This method offers several advantages over traditional lumped parameter methods. Firstly, the model used is not simplified, providing a closer approximation to the actual blade structure, and ensuring a higher result reliability. Secondly, the calculations are straightforward, requiring only damper modal analysis results and experimental data to determine the equivalent damping ratio of the structure. Thirdly, this method can use experiments to fully consider the influence of the rotation state on the work of dampers, which is rare in previous studies. But this method still has some limitations, such as it is only suitable for checking designs, but cannot give any guidance on damper optimization. After analysis, the following conclusions are reached:
- The working characteristic curve of the damper presents first a rising and then a falling characteristic. Taking the maximum point as the boundary, in the left half, the equivalent damping ratio of the damper increases with the increase in the response, and the damper can adapt to the blade vibration, while in the right half, it shows the opposite characteristics. According to the analysis, the three dampers’ operating points all fall in the left half, indicating that the design is reasonable.
- The maximum equivalent damping provided by the three dampers is comparable, around 1.17%. It was observed that the equivalent damping ratio and vibration reduction effectiveness of the dampers vary across different blades. Specifically, Damper 3 provides the best vibration reduction performance on Blade 2, achieving a reduction of up to 90%.
- Under the same excitation conditions, the equivalent damping on Blade 1 is higher than on Blade 2. Damper 3 emerges as the most effective damper, showing less sensitivity to blade and excitation variations and demonstrating a greater applicability.
Author Contributions
Conceptualization, D.L.; Methodology, D.W.; Investigation, D.L.; Resources, D.L., H.L. and G.M.; Writing—original draft, K.Q.; Writing—review & editing, D.W. and L.H. All authors have read and agreed to the published version of the manuscript.
Funding
This work was supported by the National Natural Science Foundation of China [Grant No. U23B6001].
Data Availability Statement
Restrictions apply to the availability of these data. Data was obtained from Commercial Aircraft Engine Company Limited and are available from the authors Di Li with the permission of Commercial Aircraft Engine Company Limited.
Conflicts of Interest
Author Di Li was employed by the company Commercial Aircraft Engine Company Limited. The remaining authors declare that the research was conducted in the absence of any commercial or financial relationships that could be construed as a potential conflict of interest.
References
- Rayegani, A.; Soureshjani, O.K.; Alaee, S.A.M.; Mualla, I.H.; Nemati, F. Seismic Performance of Buildings Equipped with Four-Joint Rotational Friction Dampers in Mainshock–Aftershock Sequences. J. Struct. Eng. 2024, 150, 04023235. [Google Scholar] [CrossRef]
- Sinha, A.; Griffin, J.H. Effects of Static Friction on the Forced Response of Frictionally Damped Turbine Blades. J. Eng. Gas Turbines Power 1984, 106, 65–69. [Google Scholar] [CrossRef]
- Wang, J.H.; Chen, W.K. Investigation of the Vibration of a Blade with Friction Damper by HBM. J. Eng. Gas Turbines Power 1993, 115, 294–299. [Google Scholar] [CrossRef]
- Griffin, J.H. Friction Damping of Resonant Stresses in Gas Turbine Engine Airfoils. J. Eng. Power 1980, 102, 329–333. [Google Scholar] [CrossRef]
- Menq, C.H.; Bielak, J.; Griffin, J.H. The influence of microslip on vibratory response, part I: A new microslip model. J. Sound Vib. 1986, 107, 279–293. [Google Scholar] [CrossRef]
- Menq, C.H.; Griffin, J.H.; Bielak, J. The influence of microslip on vibratory response, Part II: A comparison with experimental results. J. Sound Vib. 1986, 107, 295–307. [Google Scholar] [CrossRef]
- Sanliturk, K.Y.; Ewins, D.J. Modelling two-dimensional friction contact and its application using harmonic balance method. J. Sound Vib. 1996, 193, 511–524. [Google Scholar] [CrossRef]
- Gastaldi, C.; Gola, M.M. On the relevance of a microslip contact model for under-platform dampers. Int. J. Mech. Sci. 2016, 115–116, 145–156. [Google Scholar] [CrossRef]
- Yang, B.D.; Menq, C.H. Characterization of Contact Kinematics and Application to the Design of Wedge Dampers in Turbomachinery Blading: Part 1—Stick-Slip Contact Kinematics. J. Eng. Gas Turbines Power 1998, 120, 410–417. [Google Scholar] [CrossRef]
- Yang, B.D.; Menq, C.H. Characterization of Contact Kinematics and Application to the Design of Wedge Dampers in Turbomachinery Blading: Part 2—Prediction of Forced Response and Experimental Verification. J. Eng. Gas Turbines Power 1998, 120, 418–423. [Google Scholar] [CrossRef]
- Cardona, A.; Coune, T.; Lerusse, A.; Geradin, M. A multiharmonic method for non-linear vibration analysis. Int. J. Numer. Methods Eng. 1994, 37, 1593–1608. [Google Scholar] [CrossRef]
- Razzak, M.A. A simple harmonic balance method for solving strongly nonlinear oscillators. J. Assoc. Arab. Univ. Basic Appl. Sci. 2016, 21, 68–76. [Google Scholar] [CrossRef]
- Ferri, A.A.; Dowell, E.H. Frequency domain solutions to multi-degree-of-freedom, dry friction damped systems. J. Sound Vib. 1988, 124, 207–224. [Google Scholar] [CrossRef]
- Sanliturk, K.Y.; Imregun, M.; Ewins, D.J. Harmonic Balance Vibration Analysis of Turbine Blades with Friction Dampers. J. Vib. Acoust. 1997, 119, 96–103. [Google Scholar] [CrossRef]
- Hall, K.C.; Thomas, J.P.; Clark, W.S. Computation of Unsteady Nonlinear Flows in Cascades Using a Harmonic Balance Technique. AIAA J. 2002, 40, 879–886. [Google Scholar] [CrossRef]
- Lau, S.L.; Cheung, Y.K. Amplitude Incremental Variational Principle for Nonlinear Vibration of Elastic Systems. J. Appl. Mech. 1981, 48, 959–964. [Google Scholar] [CrossRef]
- Cameron, T.M.; Griffin, J.H. An Alternating Frequency/Time Domain Method for Calculating the Steady-State Response of Nonlinear Dynamic Systems. J. Appl. Mech. 1989, 56, 149–154. [Google Scholar] [CrossRef]
- Gola, M.M. A general geometrical theory of turbine blade underplatform asymmetric dampers. Mech. Syst. Signal Process. 2023, 191, 110167. [Google Scholar] [CrossRef]
- Wu, J.; Yuan, R.; He, Z.; Zhang, D.; Xie, Y. Experimental Study on Dry Friction Damping Characteristics of the Steam Turbine Blade Material with Nonconforming Contacts. Adv. Mater. Sci. Eng. 2015, 2015, e849253. [Google Scholar] [CrossRef]
- Koh, K.H.; Griffin, J.H. Dynamic Behavior of Spherical Friction Dampers and Its Implication to Damper Contact Stiffness. J. Eng. Gas Turbines Power 2006, 129, 511–521. [Google Scholar] [CrossRef]
- Pesaresi, L.; Salles, L.; Jones, A.; Green, J.S.; Schwingshackl, C.W. Modelling the nonlinear behaviour of an underplatform damper test rig for turbine applications. Mech. Syst. Signal Process. 2017, 85, 662–679. [Google Scholar] [CrossRef]
- Ferhatoglu, E.; Gastaldi, C.; Botto, D.; Zucca, S. An experimental and computational comparison of the dynamic response variability in a turbine blade with under-platform dampers. Mech. Syst. Signal Process. 2022, 172, 108987. [Google Scholar] [CrossRef]
- Laxalde, D.; Gibert, C.; Thouverez, F. Experimental and Numerical Investigations of Friction Rings Damping of Blisks. In Proceedings of the ASME Turbo Expo, Berlin, Germany, 9–13 June 2008. [Google Scholar] [CrossRef]
- Den Hartog, J.P. Forced Vibrations with Combined Coulomb and Viscous Friction. Trans. Am. Soc. Mech. Eng. 1931, 53, 107–115. [Google Scholar] [CrossRef]
- Iwan, W.D. The Dynamic Response of Bilinear Hysteretic Systems. Ph.D. Thesis, California Institute of Technology, Pasadena, CA, USA, 1961. [Google Scholar]
- Iwan, W.D. A Distributed-Element Model for Hysteresis and Its Steady-State Dynamic Response. J. Appl. Mech. 1966, 33, 893–900. [Google Scholar] [CrossRef]
Disclaimer/Publisher’s Note: The statements, opinions and data contained in all publications are solely those of the individual author(s) and contributor(s) and not of MDPI and/or the editor(s). MDPI and/or the editor(s) disclaim responsibility for any injury to people or property resulting from any ideas, methods, instructions or products referred to in the content. |
© 2024 by the authors. Licensee MDPI, Basel, Switzerland. This article is an open access article distributed under the terms and conditions of the Creative Commons Attribution (CC BY) license (https://creativecommons.org/licenses/by/4.0/).





























