Abstract
This paper aims to investigate phenomena that are related to SLD conditions in aircraft icing including gravity, non-spherical droplets, droplet breakup and droplet splash using an in-house computational tool. The in-house computational tool involves four modules for the computation of the flow field, droplet trajectories, convective heat transfer coefficients and ice growth rates. Droplet trajectories are computed using the Lagrangian approach, while ice growth rates are calculated using the Extended Messinger Model. In order to extend the capabilities of the computational tool to include SLD-related phenomena, empirical models that represent SLD physics are implemented. An extensive study has been performed using MS317 and NACA0012 airfoils, that aims to bring out the relative importance of the SLD-related phenomena, particularly on water catch rates and ice formation. The results of the study pointed to some important new conclusions that may shed further light on SLD physics. For example, multiple droplet breakup has been observed under certain conditions and droplet breakup emerged as a more important effect than previously reported. It was also seen that droplet splash influences both the energy balance and the mass balance in the icing process, which has been shown to have an important effect on the final ice shape, especially for very large droplets.
1. Introduction
Icing is one of the most serious hazards for aircraft that severely threatens flight safety. Icing comes from the freezing of cloud droplets, or supercooled droplets which remain in a liquid state even at temperatures far below freezing, when they are struck by aircraft components during flight. Type Certification of large (transport) fixed-wing aircraft is accomplished under 14 CFR 25.1419 by FAA [] or under CS 25.1419 by EASA []. These requirements affirm that an aircraft should be able to “operate safely” when the stated definition of icing conditions exists.
On 31 October 1994, near Roselawn, Indiana-USA, a fatal accident involving an Avions de Transport Régional ATR-72 regional transport aircraft occurred in icing conditions believed to include freezing drizzle droplets. The atmospheric condition (freezing drizzle) that may have contributed to the accident is outside the existing Appendix C of 14 CFR Part-25 icing envelope that has been used for certification of large airplanes since 1964 []. Another atmospheric icing condition that airplanes may experience that is outside of the Appendix C icing envelope is freezing rain []. These kinds of icing conditions constitute an icing environment known as Supercooled Large Droplets (SLD) []. Eventually, it was proposed to amend Appendix C of 14 CFR Part-25 [] and also CS-25 [] to better protect large airplanes certified for flight in icing conditions. The new icing environment would include Supercooled Large Droplets, which resulted in Appendix O. Appendix O includes a description of supercooled large droplet icing conditions consisting of freezing drizzle and freezing rain occurring in and/or below stratiform clouds. While freezing drizzle is associated with maximum droplet diameters from 100 to 500 , freezing rain is associated with maximum droplet diameters greater than 500 [,].
It has to be noted that in a cloud with a given droplet size distribution, there will be droplets in the Appendix C range, i.e., droplet diameters between 15–50 microns, but there will also be droplets that are outside the Appendix C range. Droplets that are larger than 100 microns need to be treated as supercooled large droplets although the median volumetric diameter (MVD) of the cloud may be much less. Therefore, together with the median volumetric diameter, droplet size distribution is an additional feature that characterizes an icing cloud.
However, SLD cloud conditions are not very common in the atmosphere. According to Jeck [], only 4% of exposures involve droplets with median volume diameters of 40 or greater and even then the exposure does not typically last more than 10 nautical miles. Overall average droplet size for stratiform clouds is about 15 and this droplet size represents an equilibrium or preferred condition for cloud droplets in stratiform clouds. Deviations from 15 are an unstable state, unsustainable both in time and distance.
Therefore, flight testing in actual SLD cloud conditions is not routine due to the rarity of such conditions. Also, existing icing wind tunnels may not faithfully replicate larger droplet sizes and their distributions. Consequently, numerical simulations emerge as a viable option for understanding the physics of SLD cloud conditions and showing compliance with certification requirements, necessitating computational modeling of large droplet phenomena.
A brief summary of the literature relevant to the topic is presented in the following.
Potapczuk [] examines mass accumulation on an airfoil during exposure to icing conditions in the NASA Glenn Icing Research Tunnel (IRT). The icing cloud conditions cover a range of median volumetric diameters, liquid water contents and temperatures. Comparisons of measured ice mass values to predicted ice mass accumulation suggest that the splashing mechanism may be important, especially when droplet size increases.
Wright and Potapczuk [] present a semi-empirical computational model, which incorporates the physical effects of large droplet phenomena into LEWICE software (version 2.2.2). Comparisons with experimental SLD data are also made. Results are presented for collection efficiency, ice shape and ice mass. In their study, droplet splashing is identified as the sole first-order effect, while droplet non-sphericity, droplet interaction, droplet breakup and ice mass density variation with droplet size are identified as second-order effects. Gravitational effects, drag history of the droplet, droplet lift force and flowfield turbulence are suggested to have negligible effects.
Wright [] reports the efforts to extend the capabilities of the LEWICE software (version 3.0) including the empirical model for the SLD regime. An extensive comparison of the results against the database of ice shapes and collection efficiencies that have been generated in the NASA Glenn Icing Research Tunnel (IRT) is also performed. The results reveal that the predicted results are within the accuracy limits of the experimental data for the majority of the cases.
Papadakis et al. [] present experimental methods for investigating large droplet impingement dynamics and obtaining small and large water droplet impingement data. The experiments were conducted at the Goodrich Icing Wind Tunnel and NASA Glenn Icing Wind Tunnel (IRT). Cloud median volumetric diameters were in the range of 11 to 270 . Droplet impingement visualization experiments demonstrate considerable droplet splashing during impingement.
Trontin et al. [] propose an empirical mass loss model for SLD based on the experimental data from Papadakis et al. [,,,], where a wealth of numerical and experimental data are included together with validation efforts for various airfoil geometries and SLD droplet sizes. The model separates the influence of the kinetic energy, which is the dominating effect close to the leading edge, from the influence of the angle of incidence, which is the most influential parameter close to the impingement limits. The authors suggest that the model can be used for both supercooled large droplets and small droplets.
Özgen and Canıbek [] present the efforts to improve a computational icing prediction tool together with the obtained results. SLD effects are accounted for through modeling of non-spherical droplets, droplet breakup and droplet splash. Their results indicate that droplet splash can constitute a significant effect especially when the flow velocity and droplet sizes are large, while droplet breakup seems to have a secondary effect compared to droplet splash.
Icing simulations were performed by Takahashi et al. [] involving SLD on a NACA0012 airfoil and a commercial axial fan considering splash-bounce, droplet deformation and breakup effects. The results indicate that splash-bounce phenomena considerably influence the icing process, while the effects of deformation and breakup are negligibly small.
In a recent study, Prince Raj et al. [] investigated ice accretion and aerodynamic effects on a multi-element airfoil under the Appendix O icing envelope. In non-SLD conditions, the leading edge (horn-shaped) ice that forms on the suction side of the main element significantly reduces the performance of the main element. In contrast, no leading edge ice forms on the suction side for the SLD condition, leading to a significant reduction in performance loss. It is also shown that ice accumulation on the flap is much higher in the SLD conditions and, as a result, the gap between the main element and the flap is almost filled with the ice that accumulates on the flap.
Three methods are established by Shen et al. [] in order to calculate the local collection efficiency based on the Lagrangian approach for calculating the droplet trajectories, which are the traditional flow tube method, local flow tube method and a statistical method. Through numerical simulations around an NACA0012 airfoil, the accuracies of the three methods in regard to collection efficiency are verified. The three methods are also applied to an S-shaped duct, a 2D engine cone section and an icing wind tunnel.
Cao et al. [] present a comprehensive review of the past research on aircraft icing, including an introduction to supercooled large droplet (SLD) icing with an intent to raise consciousness on the effects of icing on aircraft flight safety. It is also argued that some measures are necessary to deal with problems of aircraft flight safety in icing conditions, especially in SLD icing conditions.
In another review article, Yamazaki et al. [] summarize current research on icing in two related fundamental topics, i.e., icing physics and icing mitigation techniques. Icing physics focuses on fixed wings, rotors and engines, while icing mitigation techniques based on active, passive and hybrid methods are reviewed. Active mitigation techniques reviewed include those that are based on thermal and mechanical methods, whereas the passive techniques discussed are based on chemical coatings. A hybrid mitigation technique is also reviewed, which is a combination of the thermal method and chemical coating aimed at lowering energy consumption.
On the experimental side, a rather interesting study is reported by Hassler et al. []. Whether the temperature of the water droplets generated by the spray system converges to the static air temperature when the droplets impinge on the test object is addressed, which is a significant question in icing wind tunnel experiments. This is even more relevant for supercooled large droplets since the cooling rate of droplets decreases sharply with increasing diameter. In the study, realistic droplet temperature distributions in the measurement section of Rail Tec Arsenal Icing Wind Tunnel are computed with a numerical code that tracks the paths of the droplets from the spraying nozzle to the measurement section and calculates their cooling rates. Also, numerical icing simulations are performed to investigate to what extent the deviation of the droplet temperature from static air temperature influences icing and thermal anti-icing processes.
In another experimental study, Han et al. [] compared and analyzed the similarities and differences between normal droplet icing shapes and supercooled large droplet icing shapes. One of the most significant outcomes of the tests was that the ice horn height of supercooled large droplets decreased with increasing droplet size, compared to normal droplets.
This paper aims to numerically investigate phenomena that are related to SLD cloud conditions, namely gravity, non-sphericity of droplets due to deformation, droplet breakup and droplet splashing. Empirical models that represent these phenomena are implemented in an in-house two-dimensional ice accretion simulation software. The effect of each phenomenon is brought out in terms of droplet collection efficiency and ice accretion. The novel aspects of the study can be summarized as:
- (i)
- The results point to multiple droplet breakup, which, to the authors’ best knowledge has not been reported elsewhere. Also, droplet breakup emerges as a more significant effect than previously reported.
- (ii)
- The multifaceted effect of droplet splash is reported and discussed systematically covering a gap in the previous literature.
- (iii)
- The Extended Messinger Model for icing, which represents physical phenomena more faithfully than the Messinger Model, is implemented and enhanced to include SLD effects. The original Messinger Model dominates numerical icing simulation tools, and improvement of the Extended Messinger Model with SLD effects is considered to be significant progress.
The outline of the paper is as follows. The second section of the study is devoted to the mathematical models and solution methods used for the four modules of the computational tool, i.e., the modules for flow-field solution, droplet trajectory calculation, thermodynamical analysis and ice growth rate computation. The third section presents the obtained results. The first part of the section summarizes the modeling of SLD-related phenomena, and the effects of these are presented in terms of droplet collection efficiency distributions on the MS317 airfoil. In the second part of the section, the ice shape calculation results and validation studies with experimental and numerical literature data for the NACA0012 airfoil are presented. In the final section, the important conclusions of the study are summarized.
2. Formulation and Numerical Methods
There are four main modules in the current in-house icing simulation computational tool:
- (i)
- Flow field calculation,
- (ii)
- Determination of droplet trajectories and local collection efficiency distributions,
- (iii)
- Thermodynamic analysis,
- (iv)
- Calculation of ice growth rates and integration over time to yield the final ice shape.
The computational procedure is an iterative process with a time-stepping procedure, where successive thin ice layers are formed on the surface, followed by flow field and droplet impingement recalculations. The developed computational tool is self-contained and does not require any external tool for the analyses except for visualizing the computed data. In the following sections, the four main steps are explained in detail.
2.1. Flow Field Calculation
The flow field solution is needed to determine:
- The velocity and pressure distributions on the geometry surface for subsequent boundary-layer calculations and determination of aerodynamic performance. The velocity distribution on the surface is denoted by , where s is the streamwise distance on the airfoil, traversing the airfoil in a clockwise location starting at the trailing edge, traversing the bottom surface, then the leading edge, the upper surface and reaching the trailing edge. However, is set at the leading edge so that corresponds to the pressure side and corresponds to the suction side of the airfoil in the subsequent figures showing collection efficiency distributions.
- Off-body velocities, or to be used for droplet trajectory calculations.
For this purpose, numerical solutions with varying accuracy levels can be used. For example, the Panel Method coupled with a boundary-layer solver is fast, computationally less demanding, and does not require a computational mesh. However, it is less accurate compared to other numerical methods. The Euler Method is more accurate but requires a computational mesh, which necessitates interpolation of velocities for droplet trajectory computations. If the Euler approach is used for droplet trajectories, the same numerical method can be used for both the flowfield and droplet trajectory computations [].
In many ice accretion prediction software, the Panel Method has been used and found to yield results that are sufficiently accurate. In the method outlined in the following, the computations and results based on the Panel Method are presented. In the Panel Method, the geometry is divided into straight panels each associated with a source singularity element together with a vortex singularity that is constant for all panels. The strengths of the singularities are constants and unknowns of the problem. The computational tool that is developed uses N straight panels to solve singularity strengths using the flow tangency boundary condition at the collocation points of the panels. An additional equation is introduced for the Kutta condition. The collocation points are the centroids of each panel. Once the singularity strengths are calculated, one can construct a velocity potential and hence calculate the airflow velocity components at any location in the flow field including the boundaries of the geometry. The velocity components at a given point are the x- and y-derivatives of the velocity potential constructed at that point. This is a major advantage because the velocity components can be calculated at the exact droplet location during droplet trajectory calculations.
The discretization is conducted such that different airfoil geometries all have 200 panels and panels are clustered around the leading and the trailing edge according to the cosine distribution. This eliminates the dependency of the results on geometry resolution.
2.2. Droplet Trajectories and Collection Efficiencies
For droplet trajectories, the Lagrangian approach is used. In the Lagrangian approach, the liquid phase is treated as a discrete medium and trajectories of individual droplets are calculated separately. In this approach, a high number of droplet trajectories need to be computed so that a smooth impingement pattern, hence collection efficiency distribution, is obtained. The exact number of droplet trajectories that need to be calculated depends on the airspeed, angle of attack, size of the airfoil and droplet size, but it is more than 200 for a computation with one droplet size. The number of trajectories to be calculated increases proportionately with the number of droplet sizes in a bin.
In the current study, it is assumed that there is one-way interaction between the flow field and the droplets, i.e., the flow field is not affected by the presence of the droplets. It is also assumed that gravity, buoyancy and aerodynamic drag are the only forces acting on the droplets. It is further assumed that the droplet temperatures are equal to the air temperature. However, a recent study by Hassler et al. [] reveals that the the temperature of the water droplets generated by the spray system in a wind tunnel may not converge to the static air temperature when the droplets impinge on the test object. This may have a significant effect on the energy balance and the resulting ice accretion rate.
The equations of motion that follow are integrated in time using an appropriate law that gives the droplet drag force coefficient as a function of the droplet Reynolds number []:
where
Definitions of the variables in the above equations are as follows:
: droplet drag coefficient.
: and components of the flowfield velocity vector at the droplet location.
: and components of the droplet velocity vector.
: and components of the droplet acceleration.
: atmospheric density.
: droplet cross-sectional area.
: Magnitude of the relative velocity of the droplet with respect to the airflow.
Drag coefficient of the droplet is calculated as a function of the droplet Reynolds number. Refer to Section 3.2 below for a drag law suitable for SLD.
Trajectory calculations start from an upstream location far away from the airfoil leading edge (∼10 chord lengths) so that air flow velocity components are sufficiently close to their freestream values and proceed by integrating Equations (1) and (2) numerically. The initial droplet velocity is taken to be the terminal velocity:
The calculations continue until either the droplet impinges on the surface or moves past the airfoil trailing edge. Calculations are conducted for a large number of droplets in order to obtain an impingement distribution with sufficient resolution and accuracy on the surface so that the resulting collection efficiency distribution is also smooth and accurate.
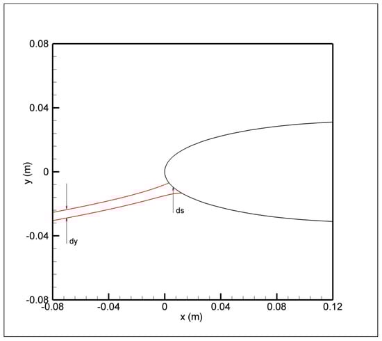
Collection efficiency is the ratio of the mass of droplets impinging on an obstacle, such as a wing or airfoil, in unit time to the mass of droplets that would impinge if the droplets were following straight-line trajectories. If the two trajectories are those of two adjacent droplets as shown in Figure 1, then the local collection efficiency is obtained. If the distance between two adjacent droplets in the release plane is and the distance between the same droplets in the impingement plane is , then the droplet collection efficiency, is defined as follows:
The region that remains within the limit trajectories is called the impingement zone. The impingement zone is the region that is wetted by the impinging droplets and, therefore, is the region where icing is expected to occur.
Figure 1.
Calculation of local collection efficiency.
2.3. Convective Heat Transfer Coefficients
The integral boundary layer method is used for the calculation of the convective heat transfer coefficients. With this method, the details of the laminar and turbulent boundary layers are calculated with sufficient accuracy. Transition is fixed at the streamwise location where according to the Von Doenhoff criterion. The roughness Reynolds number is defined as follows:
where is the roughness height, calculated from the sand grain roughness model []:
where:
Notice that the above roughness model predicts a constant roughness value for the entire surface. For laminar flow, , the equation of Smith and Spaulding is adopted to calculate the convective heat transfer coefficient []:
where s is the streamwise distance along the airfoil surface starting at the stagnation point, k the thermal conductivity of air and the dynamic viscosity of air. Conductivity of air, k is calculated by using viscosity computed from Sutherland’s viscosity law, assuming constant Prandtl number and specific heat. Note, that Equation (11) is not dependent on roughness. Laminar momentum thickness is calculated using Thwaites’ formulation []:
For turbulent flow , the method of Kays and Crawford is employed. The turbulent convective heat transfer coefficient is evaluated from []:
where is the specific heat of air. The Stanton number, can be calculated from []:
is the turbulent Prantl number, while the roughness Stanton number, is []:
where is the laminar Prandtl number. The boundary Reynolds number, is defined as follows:
where is the friction velocity, defined by:
The skin friction is calculated using the Makkonen relation []:
Finally, turbulent momentum thickness, is computed using []:
where is the laminar momentum thickness at transition location, i.e., , calculated using Equation (12).
The boundary-layer calculations start at the leading edge and proceed downstream using the marching technique for the pressure and suction sides of the airfoil.
Utilization of the panel method combined with the integral boundary-layer method used in the current study introduces certain limitations. The most important of these, which has a potential effect on the accuracy of the calculations is that separated flow regions downstream of irregular ice shapes (like horns, etc.) cannot be fully modeled with the current approach. This will potentially result in inaccuracies in the droplet trajectory and convective heat transfer coefficient calculations. However, the accuracy loss due to this may not be as critical as feared for most icing situations because:
- (i)
- The droplet trajectories end when they impact the windward side of the ice formation. However, flow separation will occur on the leeward side, where ice formation is not expected to occur. Therefore, the separated flow regions, where inaccuracies in the computations occur, will not be so critical for the droplet trajectories.
- (ii)
- Likewise, the inaccuracies in the convective heat transfer calculations will not be so critical because the flow will separate at the leeward side of ice formation, where ice will not grow due to no droplet impact.
2.4. Ice Growth Rates: Extended Messinger Model
The ice shape prediction is based on the standard method of phase change or the Stefan problem. Consider the situation shown in Figure 2. An ice layer of thickness rests on top of a solid substrate. In the case of glaze ice, a water layer of thickness will cover the ice. The temperatures of the ice water layers are denoted by and , respectively.
Figure 2.
Schematic of the ice and water system [].
In this section, the Extended Messinger Model [], which is an improvement over the original Messinger Model is explained. To simplify the problem, a number of assumptions are associated with the model:
- (i)
- The physical properties of ice and water do not vary with temperature. However, ice density is allowed to take two distinct values, or depending on whether rime or glaze ice forms. The transition between these two values is assumed to occur instantaneously.
- (ii)
- The substrate temperature is fixed and known. This requires the substrate to have high conductivity and thermal mass much greater than that of ice formation.
- (iii)
- The droplet temperature, air temperature and substrate temperature are taken as equal. However, this limitation can be easily relaxed such that the substrate temperature is taken as the adiabatic recovery temperature, the wet bulb temperature, or any other fixed temperature. Also, droplet temperatures may be taken as different from the air temperature allowing heat transfer to take place.
- (iv)
- Phase change occurs at a single temperature, the freezing temperature of water, .
- (v)
- The evaporation function is approximated by a linear curve (see below).
The phase change problem is governed by four equations: energy equations in the ice and water layers, mass conservation equation and a phase change condition at the ice/water interface []:
In the above equations, and T are the temperatures, and are the thermal conductivities, and are the specific heats and h and B are the thicknesses of water and ice layers, respectively. In Equation (22), , and are impinging, runback and evaporating (or sublimating) mass flow rates for a control volume (panel) respectively. In Equation (22), , is called the impingement rate or the water catch rate. In Equation (23), and are the liquid water content and latent heat of solidification, respectively. The coordinate z is normal to the surface.
The Stefan problem may be interpreted as the propagation velocity of the phase change boundary, i.e., ice growth rate, is proportional to the difference of the temperature gradients across the boundary, according to Equation (23).
The boundary conditions associated with Equations (20)–(23) are as follows []:
- (i)
- Ice is in perfect thermal contact with the substrate:where is the substrate temperature, which is taken as the adiabatic recovery temperature in this study, given as []:where r is the adiabatic recovery factor ( for laminar flow and for turbulent flow) and is the local Mach number given as:and is the local temperature:
- (ii)
- The temperature is continuous at the phase change boundary, and is equal to the freezing temperature:This condition is not imposed for rime ice.
- (iii)
- At the air/water interface (glaze ice), the heat flux at the interface is determined by convection , cooling by incoming droplets , evaporation , kinetic energy of incoming droplets , aerodynamic heating and energy brought in by incoming runback water :At the air/ice interface (rime ice), the heat flux at the interface is determined by convection , cooling by incoming droplets , sublimation , kinetic energy of incoming droplets , aerodynamic heating , energy brought in by incoming runback water and latent heat released during solidification :
- (iv)
- The substrate is initially clean:
In the current approach, each panel constituting the airfoil is also a control volume. The above equations are written for each panel and ice is assumed to grow perpendicularly to a panel.
It needs to be pointed out that the Extended Messinger Model presented in [], which is essentially a one-dimensional model, is further extended to a two-dimensional model in this study. This is accomplished by taking mass and energy terms due to runback water flow in the conservation equations and interface conditions into account as in Equations (22), (29) and (30). Also, adiabatic recovery temperature computed from Equation (25) can be specified as a boundary condition, allowing Mach number effects to be taken into account. Finally, mass loss due to evaporation or sublimation is accounted for in the mass conservation equation, Equation (22).
2.4.1. Rime Ice Growth and Temperature Distribution
Rime ice thickness can be obtained directly from the mass conservation equation, i.e., by setting in Equation (22) and integrating:
The temperature profile may be obtained by considering an asymptotic expansion of Equation (20), where the leading order term is (see [] for further details):
Integrating twice yields:
In order to find the integration constant , Equation (24) is utilized:
In order to find the integration constant , Equation (30) is employed:
Expressing the heat terms in terms of temperatures and physical characteristics:
- Convective heat transfer, :
- Cooling by incoming droplets, :In the above equation, is the specific heat of water. Notice that the droplet temperature is taken to be equal to the air temperature in the above expression.
- Sublimation heat loss, :In the above equation, is the relative humidity. It is usually assumed that the relative humidity is 100% in a cloud, and therefore, is taken. In the above equation, is the constant in the linear (approximate) evaporation/sublimation function []:with Pa/K. In the expression, is the sublimation coefficient []:where is the latent heat of sublimation, the specific heat of air at constant pressure, the total pressure of the flow and , the Lewis number defined as:In the above equation Schmidt number, is defined as:In the above equation, is the kinematic viscosity of air, while is the diffusivity of vapor in air, defined as:
- Aerodynamic heating, :where r is the adiabatic recovery factor ( for laminar flow and for turbulent flow).
- Kinetic energy of impinging droplets, :
- Latent heat of freezing, :
- Energy brought in by runback water, :where is the mass flow rate of runback water into the control volume.
Substituting the energy terms into Equation (36) and evaluating Equation (34) at yields:
Using this, is obtained as:
Hence, the temperature distribution in the rime ice layer is obtained as:
2.4.2. Glaze Ice Growth and Temperature Distribution
The temperature profile in the ice layer may be obtained by considering an asymptotic expansion of Equation (20), where the leading order term is (see [] for further details):
Integrating twice yields:
In order to find the integration constant , Equation (24) is utilized:
In order to find the integration constant , Equation (28) is utilized:
Therefore, the temperature distribution in the ice layer becomes:
The temperature profile in the water layer may be obtained by considering an asymptotic expansion of Equation (21), where the leading order term is as follows (see [] for further details):
Integrating twice yields:
In order to find the integration constant , Equation (28) is utilized:
In order to find the integration constant , Equation (29) is used:
Expressing the heat terms in terms of temperatures and physical characteristics:
- Convective heat transfer, :
- Cooling by incoming droplets, :
- Evaporation heat loss, :where is defined in Equation (40) and is taken for 100% relative humidity. is the evaporation coefficient defined as []:where is the latent heat of evaporation.
- Energy brought in by runback water, :where is the mass flow rate of runback water into the control volume.
Aerodynamic heating and kinetic energy of impinging droplets terms are defined in Equations (45) and (46).
Substituting the energy terms into Equation (60) and evaluating Equation (58) at yields:
Using this, is obtained as:
Hence, the temperature distribution in the glaze ice layer is obtained as:
Mass conservation equation, Equation (22) is integrated to obtain the expression for water height, h:
where and are the ice thickness and the corresponding time at which glaze ice first appears, respectively.
When Equations (56) and (68) are substituted into the phase change equation, Equation (23), a first-order ordinary differential equation for the ice thickness is obtained:
In Equation (71), the term represents conduction in the water layer. In a typical aircraft icing situation, water will flow and it will typically achieve heights only mm. In this case, conduction in the water layer may be neglected and it may be assumed that the water layer remains at an approximately constant temperature. Because at , then for .
Also, notice that Equation (71) has two terms on the right-hand side of the equality. The first of these terms that is proportional to , represents heat conduction through the ice layer. For small ice thicknesses, such as the onset of accretion or in regions of low catch efficiency , this term is likely going to be the dominant term in the energy balance. The second term that is proportional to represents conduction through the water layer. As the water film height h increases, it will behave like an insulating layer reducing the ice growth rate. The role of the water film is better understood if Equation (71) is rewritten as follows (after the assumption is used in equations Equations (61)–(63)):
If cooling effects dominate, so that , then the ice growth rate specified by Equation (72) decreases as the water layer thickness h increases, i.e., the water layer insulates the ice from cold ambient conditions. On the other hand, if heating effects dominate, so that , then the ice growth rate specified by Equation (72) increases as the water layer thickness h increases, because the second term on the right-hand side of Equation (72) becomes negative, getting smaller as h increases.
During the transition from rime ice to glaze ice, the ice growth rate is continuous:
Using Equations (32) and (71) in Equation (73) yields (bear in mind that at :
An important feature of this equation is that it allows positive, negative and even infinite values of . These may be interpreted as follows:
- (i)
- If , then Equation (74) indicates the ice thickness at which glaze ice first appears.
- (ii)
- If or glaze ice will never appear. This could occur either because the numerator , the substrate is warmer than the freezing temperature of water, or the denominator of Equation (74) is less than or equal to zero, in which case there is not enough energy in the system to produce water and the ice accretion is pure rime, throughout the entire icing exposure.
The time at which glaze ice first occurs is obtained from Equation (74) using Equation (32):
In order to calculate the glaze ice thickness as a function of time, Equation (71) is integrated numerically, using a Runge–Kutta–Fehlberg method [].
Notice that the glaze ice problem is coupled. The temperatures for ice and water layers specified by Equations (56) and (68) depend on ice thickness B and water layer thickness h, which in turn, depend on the temperature through Equation (23).
The method for solving an ice accretion problem under known ambient conditions for a control volume (panel) proceeds as follows:
- (i)
- Calculate all the necessary parameter values like the collection efficiency and determine the ice thickness and time at which glaze ice first appears, and using Equations (74) and (75).
- (ii)
- If , this indicates that glaze ice never forms. Alternatively, if there will not be sufficient time for glaze ice to occur. In either case, ice thickness is calculated from Equation (32) and temperature distribution from Equation (51). Calculations terminate when .
- (iii)
- If and , then glaze ice will form during the icing exposure. The ice thickness is determined by numerical integration of Equation (71) starting at . Once is known, the water layer thickness h, ice layer temperature distribution and water layer temperature distribution are calculated from Equations (56), (68) and (70), respectively.
2.4.3. Freezing Fractions and Runback Water
Freezing fraction for a given control volume (which is a panel in this case) is the ratio of the mass of water that solidifies to the sum of masses of water that impinges on the control volume and the runback water that enters the control volume:
Therefore, runback water that flows out of the control volume can be calculated from:
Obviously, Equation (78) will be only for glaze ice. Equation (78) becomes for the neighboring downstream panel. Runback water is handled differently depending on whether the model is mounted horizontally or vertically in the wind tunnel:
- If the model is mounted horizontally, it is assumed that all unfrozen water passes to the next downstream panel for the suction side. For the pressure side, it is assumed that all unfrozen water is shed due to gravity [].
- If the model is mounted vertically, it is assumed that all unfrozen water passes to the next downstream panel both for the suction and pressure sides.
2.4.4. Evaporating and Sublimating Mass
Evaporating and sublimating mass can be computed from []:
where is the local pressure. Also, and are the vapor pressures at the ice surface (rime ice) or water surface (glaze ice) and the ambient air, respectively. These are computed from []:
where , T in Kelvin.
2.4.5. Single Versus Multi-Step Computational Approaches
Computing the ice shapes in a single cycle or computational step for the entire icing exposure may yield incorrect ice shapes. This is particularly true for:
- Glaze ice conditions where the runback water effect is prominent.
- Exposures where the icing conditions are varying, like climbing or descending flight.
- Long exposures.
In the current solution method, the unsteady problem is solved by a quasi-steady approach. Therefore, a continuous flow of water, impingement, ice and water accumulation has to be analyzed in as small as possible intervals to represent these faithfully, but this increases computational time. With a multi-step approach, the effect of ice formation on the flow field, droplet trajectories, ice formation and runback water are taken into account to some degree. At each computational step, the flow field solution, droplet trajectories, collection efficiencies, energy terms and the ice formation routines are repeated.
The number of time steps required may be estimated based on the accumulation parameter []:
where c is the chord length of the airfoil. The above equation implies that whenever the ice thickness exceeds 1% of the chord length, a new computational step needs to be started. The authors’ own experience shows that seconds is a good compromise between computational time and accuracy. The two approaches give very similar values of for most cases.
3. Supercooled Large Droplet Modeling
In this section, the mathematical models that are used to represent supercooled large droplet effects are introduced. For clarity, the effects of gravity, non-sphericity (deformation) of droplets, droplet breakup and droplet splash are studied one at a time to isolate their respective effects. Thus, the relative importance of these phenomena on the overall ice accretion physics is brought out. For this, three test cases with widely varying droplet sizes of , and are selected []. The droplet size distributions for these cases are represented using 10-bin distributions as shown in Table 1. The flow speed is m/s and angle of attack for all cases. Geometry is the MS-317 airfoil with a chord length of m.
Table 1.
Droplet size distributions [].
3.1. Effect of Gravity
This part of the study aims to simulate the difference in the collection efficiency distributions that would occur between a test model that is mounted horizontally in a wind tunnel and a model that is mounted vertically. For a horizontally mounted model, the gravitational acceleration is set to g = 9.81 in Equation (2), while it is set to for a vertically mounted model. For example, the experimental literature data used in this study for validation purposes correspond to vertically mounted wing models both for the MS-317 [] and NACA0012 airfoils [].
Figure 3 illustrates the effect of gravity for three droplet sizes, which correspond to the maximum droplet size in each of the three bins in Table 1. As can be seen, the effect of gravity is negligibly small for smaller droplet sizes, while they are at least noticeable for larger droplet sizes. The collection efficiency values at the impingement limits are the most affected. With the gravity included, collection efficiency slightly decreases at the pressure side, while it slightly increases at the suction side. The maximum collection efficiency remains almost unchanged with or without gravity. Gravity deviates the droplets downwards, thus resulting in a narrower impingement zone at the pressure side , and a wider impingement zone at the suction side ).
Figure 3.
Effect of gravity on the collection efficiency: (a) , (b) , (c) .
3.2. Effect of Droplet Deformation
When the droplets are large and/or the flow velocity is high, the droplets may deform to non-spherical shapes. In order to account for the drag coefficients of non-spherical droplets, the model of Clift, Grace and Weber is used []. According to this model, the drag coefficient of the deformed droplet is obtained by interpolating the drag coefficients of a disk and a sphere:
The eccentricity, e is a function of the Weber number:
where Weber number, is defined as:
and being the surface tension between air and water. The drag coefficient of a disk as a function of the droplet Reynolds number is obtained from the following set of equations []:
with .
The drag coefficient of a sphere is given by:
with . Note, that the last five equations in this set of equations are not used in the present context because the droplet Reynolds numbers do not attain such high values.
Figure 4 demonstrates the effect of droplet deformation, i.e., non-sphericity for three droplet sizes, which also correspond to maximum droplet sizes in each of the three bins in Table 1. It is observed from the figure that, the effect of non-sphericity is noticeable only for very large droplet sizes and again, only in the vicinity of the impingement limits. Non-sphericity reduces the collection efficiency levels at the impingement limits especially for the suction side, hence leading to slight loss of mass there. This is due to non-spherical droplets having a higher drag coefficient than spherical droplets at the same Reynolds number (see Figure 5 below). As a result, non-spherical droplets have a lower velocity and, hence lower inertia when they approach the geometry. Thus, their trajectories become less ballistic resulting in lower collection efficiency levels, especially near the impingement limits. The final observation is that the maximum collection efficiency is not influenced by the sphericity or non-sphericity of the droplets.
Figure 4.
Effect of droplet deformation (non-sphericity) on collection efficiency: (a) , (b) , (c) .
Figure 5.
Effect of droplet deformation (non-sphericity) on droplet drag coefficient, .
These observations are supported by the drag coefficient curves for spherical and non-spherical droplets for as a function of the Reynolds number presented in Figure 5. The drag coefficients for spherical droplets are calculated using Equation (86) only, while those for non-spherical droplets are calculated using Equations (82), (85) and (86) as a function of eccentricity calculated from Equation (83). As can be seen from the figure, spherical and non-spherical droplet drag coefficients deviate from each other only when the droplet Reynolds number becomes very large.
3.3. Effect of Droplet Breakup
If the droplet velocity is high enough, the droplet can break up into smaller droplets because shear forces acting on its surface will overcome surface tension that resists deformation and breakup. Therefore, droplet breakup is expected to occur when a threshold value of the Weber number as defined in Equation (84), which is the ratio of inertia forces to surface tension forces, is exceeded. Threshold values ranging between 10 and 20 have been reported in the literature but a value of is adopted in this study []. When breakup occurs, the secondary droplet size is given by []:
where .
Figure 6 illustrates the variation of Weber number and droplet diameter for the same three droplet sizes as in Figure 3 and Figure 4. In Figure 6a, which corresponds to the smallest droplet size, the Weber number never attains the threshold value of 13, therefore, breakup does not occur. However, in Figure 6c Weber number attains the threshold value and breakup occurs close to the leading edge of the geometry as can be seen in Figure 6d. Here the droplet size is before breakup, whereas it is after breakup. In Figure 6e,f, a rather unexpected behavior is observed, i.e., droplet breakup occurs twice. The first breakup occurs approximately 4–5% of the chord upstream of the airfoil, while the second breakup occurs much closer, at approximately 1% chord upstream. Here, the droplet size is before breakup, and becomes after the first breakup and finally becomes after the second breakup. The criterion for droplet breakup is based on the Weber number, Equation (84), which is the ratio of inertia forces (acting to deform and disintegrate the droplet) to the surface tension forces (resisting droplet deformation and breakup). Inertia forces are proportional to the square of the relative droplet velocity and also droplet diameter as can be seen from Equation (84). After the first breakup, droplets are still large and continue to accelerate as they approach the airfoil due to increasing flow velocity, especially in the regions close to the suction side of the airfoil. High curvature and high camber of the suction side of the airfoil enhance droplet acceleration and the droplet Weber number quickly reaches the threshold value of 13 for the second time, resulting in secondary breakup as can be seen in Figure 6e,f.

Figure 6.
Variation of droplet Weber number and diameter.
In these figures, the resolution of the Weber number contours is low in regions away from the geometry because, during the trajectory calculations, the integrator takes larger stepsizes there. Once the threshold value of the Weber number for breakup is attained, the integrator goes one step back and takes the minimum stepsize possible in order to capture the sharp demarcation line for droplet breakup as can be seen in Figure 6d,f.
In Figure 7, collection efficiency distribution variations due to breakup for three droplet sizes are depicted. In parallel with the above discussion, the collection efficiency distributions for are identical with and without breakup effects because breakup does not occur for this droplet size due to Weber’s number never attaining the threshold value of 13. For , there is a very small difference in the collection efficiencies at the leading edge, which also corresponds to the maximum value of the collection efficiency. For the largest droplet size of , there is a significant difference in the collection efficiencies especially at the suction side, where breakup is most significant as also evidenced in Figure 6e,f. This difference represents perceivable mass loss when breakup occurs.
Figure 7.
Effect of droplet breakup on collection efficiency: (a) , (b) , (c) .
3.4. Effect of Droplet Splash
After a droplet impacts the surface, part of its mass will impinge on the surface, while the remaining mass will bounce and reimpinge downstream of the initial impact point. The model adopted in this study is to treat the bouncing and reimpinging water as runback water. The splashing threshold is defined in terms of the Mundo splashing parameter []:
In the above equation, is the droplet velocity normal to the surface during impact. The above equation emphasizes the importance of droplet size and droplet velocity for splash to occur. In this study, a modified version of the Trujillo model for splash is employed []. In the splash model used, a modified version of the Mundo splashing parameter is utilized:
where f is the dimensionless droplet frequency given as . According to this model, droplet splash occurs when and splashed mass is given by []:
where is the incident mass and is the splashed mass.
Figure 8 depicts the modified Mundo splashing parameter values for four droplet sizes and the splash threshold of . In addition to the data for the three droplet sizes studied above, data for are also included. It can be seen that for larger droplets, the splash threshold is exceeded over a wider surface. For example, for droplets, splash will occur over approximately 40% of the chord both for the suction and pressure sides of the airfoil. It is interesting to note that splash occurs even for droplets, but over a very narrow region surrounding the leading edge, approximately 4% of the chord.
Figure 8.
Modified Mundo splash parameter values for four droplet sizes and splash threshold.
From Equation (88), it is evident that splash is a strong function of the droplet velocity upon impact. Figure 9 shows the normal and tangential velocity components as well as the total velocity of the droplets upon impact over the impingement zone. The normal component of the impact velocity attains its maximum value at the leading edge; therefore, splash effects are expected to be most dominant there. This is supported by the data in Figure 8, where the maximum value of the splash parameter is observed at the leading edge. Also, total impact velocity distribution becomes increasingly flat as the droplet size increases meaning that the droplet trajectories become increasingly ballistic with larger droplets.
Figure 9.
Velocity components at impact for three droplet sizes: (a) , (b) , (c) .
4. Results and Discussion
In this section, the results that are obtained by using the methodology explained above are presented. There are two sets of results: the first set includes collection efficiency data and the second set includes ice shapes.
4.1. Collection Efficiency Results
In this section, collection efficiency data are presented for the MS-317 airfoil with a chord length of m, for the cloud and flow conditions given in Table 2. A combination of three cloud droplet sizes and two angles of attack are studied as shown in the table. Droplet size distributions for each of the s are given in Table 1.
Table 2.
Conditions for collection efficiency calculations, MS-317 airfoil, m/s [].
In Figure 10, collection efficiency results are presented with and without splash for 21, 92 and 236 . The data are also compared with experimental and numerical literature data.
Figure 10.
Effect of droplet splash on collection efficiency.
In Figure 10a,b, results are presented for 21 for and . As can be seen, droplet splash occurs even for small droplets. However, since the impingement zone is very narrow, (approximately 5% of the chord at both suction and pressure sides), the overall effect of splash on accumulated ice is expected to be small for this case. From the same figures, it is observed that including splash effects actually deteriorates the agreement of the computed results with experimental data. Numerical results reported by Trontin and Villedieu [] are also included in the figures. The results of the current study agree remarkably well with those results when the splash effects are excluded from the calculations. This observation supports the previous inference that the current splash model is unsuitable for small droplets.
In Figure 10c,d, results are presented for 92 for and . The agreement of the results with experimental data is much better for this case. Both the maximum collection efficiency and the suction side impingement limit are well-captured by the computations for . The impingement limit for the pressure side is over-predicted, which is observed in other computations as well [,]. The comparison shows similar trends for , where the impingement limit for the suction side is in good agreement with the experiment. Also, the maximum collection efficiency is slightly underestimated by the computations. Numerical results obtained by Trontin and Villedieu [] are included in these figures also, which are in good agreement with the current results. Trontin and Villedieu’s model predicts the collection efficiency levels and the impingement limits better over the pressure side, while the current model predictions are slightly better over the suction side. Both models predict similar values for the maximum collection efficiency.
In Figure 10e,f, results are presented for 236 for and . For these test cases, there are no experimental literature data but there are computational literature data, although not by Trontin and Villedieu this time. Therefore, a comparison of current results with the available results is conducted. It can be seen from both figures that the results of the current study agree well with the literature data obtained with the Trujillo model. The splash model that is used in this study is actually the NASA-modified version of the Trujillo model [], therefore, agreement is expected. However, the Samenfink model results show significantly underestimated values of the collection efficiency.
A general observation that can be made in this figure is that, the collection efficiency and impingement limits are significantly overestimated for the pressure side, especially at . The estimations are always better for the suction side. Trontin and Villedieu’s [] model addresses this issue with respectable success but there is still potential for improvement.
4.2. Ice Shape Results
In this section, ice-shape data are presented for the NACA0012 airfoil with a chord length of m, for the flow conditions given in Table 3. A combination of three cloud droplet sizes and two velocities is studied as shown in the table. Langmuir-D droplet size distribution is used for these calculations []. The angle of attack is for all of the test cases studied. The number of computational steps is calculated from Equation (81). It needs to be pointed out that for long duration icing exposures like those presented in Figure 11, the panels grow significantly as ice accumulates, resulting in polygonal-like shapes. In order to increase the resolution of the ice shapes and to partially remedy this problem, the number of panels are increased by 50% to a value 300 for these calculations. Dividing large panels into smaller panels, thereby increasing the number of panels as ice grows, may be a better remedy for this accuracy issue, which can be a future endeavor.
Table 3.
Conditions for ice shape calculations, NACA0012 airfoil [].
Figure 11.
Ice shape comparisons with experimental data.
Figure 11a,b show the effect of droplet splash on ice shapes for , i.e., results for Runs 1–17 and 1–22. As can be seen from Table 3, these test cases are almost identical. It can be seen that even for this droplet size, including splash effects results in a significant reduction in ice mass, as also observed in Figure 10. Neglecting droplet splash actually yields results in better agreement with the experiment, where the maximum ice thickness is well-predicted with a slight underestimation of the ice volume downstream of the leading edge. The discrepancy could be attributed to the difference in droplet size distributions in experiments and in computations. In [] or [], the actual droplet size distributions in the experiments are not specified. In the absence of more accurate knowledge, Langmuir-D droplet size distribution was used for the current calculations []. The difference in droplet size distributions could make a difference for smaller droplet sizes because droplet trajectories are less ballistic and are strongly dependent on droplet size.
In Figure 11c,d, the results for , i.e., results for Runs 1–1 and 1–23 are presented. Although these cases have the same , their and values are significantly different. Yet, the two runs yield generally similar ice shapes. Overall agreement of computational results with experiment is much better for this droplet size, although neglect of droplet splash in computations still yields better agreement with experiment. This supports the previous argument that, as droplet size increases, trajectories become ballistic and become less dependent on the droplet size. Therefore, any difference between droplet size distributions in the experiments and computations results in less discrepancy.
Figure 11e,f demonstrate that droplet splash may have a more complex effect other than just mass loss. The figures present results for Runs 1–4 and 1–26, which are both for . The agreement of the computed ice shapes is in much better agreement with experimental ice shapes when droplet splash is included in the computations. The agreement of the results is significantly better than for and 70 results discussed above. Not only the maximum ice thickness but the ice thickness near the impingement limits are predicted with high accuracy with the splash model. This indicates that the modified Trujillo model for splash represents the splash physics better for large-diameter droplets and it overestimates the mass loss due to splash for smaller droplets. According to the current results, for droplet sizes smaller than approximately , the results become less accurate with the Trujillo model included, as discussed above.
Another interesting observation in these figures is that, although droplet splash results in mass loss according to the collection efficiency results discussed above, the ice thicknesses close to the leading edge are actually higher when droplet splash effects are included. This is in contrast to the observations made in the previous figures for smaller droplet sizes. This observation can be explained by the help of Equation (74). When droplet splash occurs, impinging mass reduces in magnitude. In Equation (74), the energy terms that are proportional to the impinging mass are latent heat of freezing , kinetic energy of impinging drops and cooling by incoming droplets , all of which reduce in magnitude due to droplet splash. However, as can be seen from Figure 12a,b, the highest reduction occurs in the latent heat term, which is the overwhelmingly dominant term among the three energy terms. As a result, there is less energy in the system overall. Consequently, the transition ice thickness from rime to glaze ice, becomes larger, rendering the ice formation predominantly rime. In other words, the freezing fraction is higher and there is less runback water. This is also supported by the rime-like ice shapes seen in Figure 11e,f calculated with the splash model. Conversely, when droplet splash is not included in the calculations, there is more energy in the system and this produces a lower freezing fraction, resulting in more runback water and glaze-like ice formations. This is evidenced by the sizes of ice shapes in Figure 11e,f calculated without the splash model. On the other hand, for smaller droplet sizes, the energy in the system is never enough to produce water; therefore, the ice shapes are always rime even when droplet splash effects are excluded.
Figure 12.
Comparison of energy terms with and without droplet splash for (Solid lines: without splash, dashed lines: with splash): (a) Energy terms for Run 1–4, (b) Energy terms for Run 1–26.
5. Conclusions
Numerical models related to SLD physics, namely those related to gravity, droplet deformation, droplet breakup and droplet splash have been studied extensively using an in-house computational tool for ice accretion prediction. The in-house computational tool comprises four modules for the computation of the flow field (with panel method), droplet trajectories (with Lagrangian method), convective heat transfer coefficients (with integral boundary-layer method) and ice growth rates (with Extended Messinger Method). SLD-related phenomena have been introduced into the computational tool using empirical models and an extensive study of the basic physics of these phenomena has been accomplished. The results obtained in the study have been compared with known experimental and numerical data in the literature resulting in fair to good agreement.
The results indicate that gravity and droplet deformation have indeed less significant effects compared to droplet splash, in agreement with what has been reported in previous literature. Droplet breakup is generally also less significant than droplet splash; however, for very large drops, it was observed that secondary breakup may occur and this may result in more significant mass loss than previously reported in the literature.
Droplet splash is still observed to be the most significant large droplet effect, again in agreement with previous literature on the topic. In addition to its known effect on mass balance, droplet splash has been shown to have a significant effect on energy balance as well and this may have an important effect on the validity of the results obtained in similar conditions. This effect and secondary breakup are the most important and novel findings of the current study.
The question of whether the temperature of the water droplets generated by the spray system converges with the static air temperature when the droplets impinge on the test object in a wind tunnel is a valid and important one. Part of the discrepancies above may be attributed to this effect, which may be particularly significant for large drops. Investigation of this phenomenon and its effects on overall thermal balance, impingement characteristics, and resulting ice shapes are targeted as a future endeavor.
In order to improve their capabilities and accuracies, these and similar computational tools need to be continuously validated with new wind tunnel data whenever they become available. This will also eventually result in models that will represent the physics more faithfully. Through this, computational tools developed worldwide will make significant contributions to airworthiness certification efforts of new aircraft and enhanced safety levels. This will eventually serve to achieve the goal of safer, greener, cheaper and more efficient air transportation and aviation in general, worldwide.
Author Contributions
Conceptualization, S.Ö.; methodology, S.Ö.; software, S.Ö. and E.B.S.; validation, S.Ö. and E.B.S.; formal analysis, S.Ö. and E.B.S.; investigation, S.Ö. and E.B.S.; resources, S.Ö.; data curation, S.Ö. and E.B.S.; writing—original draft preparation, S.Ö. and E.B.S.; writing—review and editing, S.Ö.; visualization, S.Ö.; supervision, S.Ö.; project administration, S.Ö.; funding acquisition, S.Ö. All authors have read and agreed to the published version of the manuscript.
Funding
This study is supported by the Scientific and Technological Research Council of Türkiye under grant number 221M477. This support is gratefully acknowledged.
Data Availability Statement
The data presented in this study are available on request from the corresponding author.
Conflicts of Interest
Serkan Özgen and Eda Bahar Sarıbel were employed by the AEROMS Engineering, Inc. The authors declare that the research was conducted in the absence of any commercial or financial relationships that could be construed as a potential conflict of interest.
Nomenclature
| Roman Symbols | |||
| A | cross-sectional area | liquid water content | |
| B | ice layer thickness | mass flux | |
| c | chord length | local Mach number | |
| drag force | median volumetric diameter | ||
| skin friction coefficient | time step | ||
| specific heat of air | Prandtl number | ||
| CFR | Code of Federal Regulations | Q | Heat term |
| d | diameter | r | adiabatic recovery factor |
| diffusivity | Reynolds number | ||
| e | eccentricity | s | streamwise distance |
| EASA | European Aviation Safety Agency | Schmidt number | |
| f | dimensionless droplet frequency | SLD | supercooled large droplets |
| FAA | Federal Aviation Administration | Stanton number | |
| g | gravity | t | time |
| convective heat transfer coefficient | T | temperature | |
| h | water layer thickness | friction velocity | |
| IRT | NASA Icing Research Tunnel | Velocity on the geometry surface | |
| k | thermal conductivity | V | flowfield velocity at the droplet location |
| K | Mundo splashing parameter | Weber number | |
| roughness height | - component of the droplet velocity vector | ||
| latent heat of evaporation | - component of the droplet acceleration | ||
| latent heat of solidification | - component of the droplet velocity vector | ||
| Lewis number | - component of the droplet acceleration | ||
| Greek Symbols | |||
| angle of attack | atmospheric density | ||
| momentum thickness | liquid water content | ||
| evaporation/sublimation function | water layer temperature | ||
| specific heat ratio | collection efficiency | ||
| dynamic viscosity | evaporation/sublimation coefficient | ||
| kinematic viscosity | surface tension | ||
| Subscripts and Superscripts | |||
| a | ambient | runback | |
| e | evaporation | relative | |
| f | freezing | s | sublimation |
| g | glaze | s | surface |
| i | ice | t | turbulent |
| l | laminar | w | water |
| p | particle | ∞ | free stream |
| r | rime | ||
References
- Federal Aviation Administration, U.S. Department of Transportation. Airworthiness Standards: Transport Category Airplanes, 14 CFR Part 25; Federal Aviation Administration: Washington, DC, USA, 2023.
- European Union Aviation Safety Agency. Certification Specifications and Acceptable Means of Compliance for Large Aeroplanes-CS 25 Amendment 16; European Aviation Safety Agency: Cologne, Germany, 2015. [Google Scholar]
- European Union Aviation Safety Agency. Notice of Proposed Amendment 2011-03, Large Aeroplane Certification Specifications in Supercooled Large Droplet, Mixed Phase, and Ice Crystal Icing Conditions; European Aviation Safety Agency: Cologne, Germany, 2011. [Google Scholar]
- Jeck, R.K. Icing Design Envelopes (14 CFR Parts 25 and 29, Appendix C) Converted to a Distance-Based Format; Federal Aviation Administration, U.S. Department of Transportation: Washington, DC, USA, 2002; Report No.: DOT/FAA/AR-00/30.
- Potapczuk, M.G. Ice Mass Measurements: Implications for the Ice Accretion Process. In Proceedings of the 41st AIAA Aerospace Sciences Meeting and Exhibit, Reno, NV, USA, 6–9 January 2003. 2003-387. [Google Scholar]
- Wright, W.B.; Potapczuk, M.G. Semi-Empirical Modeling of Icing Physics; NASA/TM-2004-212916; QSS Group, Inc.: Cleveland, OH, USA, 2004. [Google Scholar]
- Wright, W.B. Validation Results for LEWICE 3.0; NASA/CR-2005-213561; NASA Glenn Research Center: Cleveland, OH, USA, 2005.
- Papadakis, M.; Wond, S.-C.; Rachman, A.; Hung, K.E.; Vu, G.T.; Bidwell, C.S. Large and Small Droplet Impingement Data on Airfoils and Two Simulated Ice Shapes; NASA/TM-2007-213959; NASA Glenn Research Center: Cleveland, OH, USA, 2007.
- Trontin, P.; Villedieu, P. Revisited model for supercooled large droplet impact onto a solid surface. J. Aircr. 2017, 54, 1189–1204. [Google Scholar] [CrossRef]
- Papadakis, M.; Hung, K.E.; Vu, G.T.; Yeong, H.W.; Bidwell, C.S.; Breer, M.D.; Bencic, T.J. Experimental Investigation of Water Droplet Impingement on Airfoils, Finite Wings, and an S-Duct Engine Inlet; NASA/TR 2002-211700; NASA Glenn Research Center: Cleveland, OH, USA, 2002. [Google Scholar]
- Papadakis, M.; Rachman, A.; Wong, S.-C.; Yeong, H.-W.; Hung, K.; Bidwell, C. Water Impingement Experiments on a NACA 23012 Airfoil with Simulated Glaze Ice Shapes. In Proceedings of the 42nd AIAA Aerospace Sciences Meeting and Exhibit, Reno, NV, USA, 5–8 January 2004. AIAA 2004-565. [Google Scholar]
- Papadakis, M.; Rachman, A.; Wong, S.-C.; Yeong, H.-W.; Hung, K.E.; Vu, G.T.; Bidwell, C.S. Water Droplet Impingement on Simulated Glaze, Mixed, and Rime Ice Accretions; NASA/TR-2007-213961; NASA Glenn Research Center: Cleveland, OH, USA, 2007. [Google Scholar]
- Özgen, S.; Canıbek, M. In-Flight Icing Simulation with Supercooled Large Droplet Effects. In Proceedings of the 7th International Conference on Heat Transfer, Fluid Mechanics and Thermodynamics (HEFAT), Antalya, Türkiye, 19–21 July 2010. [Google Scholar]
- Takahashi, T.; Fukudome, K.; Mamori, H.; Fukushima, N.; Yamamoto, M. Effect of characteristics phenomena and temperature of super-cooled large droplet icing on NACA0012 airfoil and axial fan blade. Aerospace 2020, 7, 92. [Google Scholar] [CrossRef]
- Prince Raj, L.; Lee, J.W.; Myong, R.S. Ice accretion and aerodynamic effects on a multi-element airfoil under SLD icing conditions. Aerosp. Sci. Technol. 2019, 85, 320–333. [Google Scholar] [CrossRef]
- Shen, X.; Xiao, C.; Ning, Y.; Wang, H.; Lin, G.; Wang, L. Research on the methods for obtaining droplet impingement characteristics in the Lagrangian framework. Aerospace 2024, 11, 172. [Google Scholar] [CrossRef]
- Cao, Y.; Tan, W.; Wu, Z. Aircraft icing: An ongoing threat to aviation safety. Aerosp. Sci. Technol. 2018, 75, 353–385. [Google Scholar] [CrossRef]
- Yamazaki, M.; Jemcov, A.; Sakaue, H. A review on the current status of icing physics and mitigation in aviation. Aerospace 2021, 8, 188. [Google Scholar] [CrossRef]
- Hassler, W.; Breitfuß, W.; Rapf, A.; Fallas, A. Numerical Simulation of In-flight Icing by Water Droplets with Elevated Temperature. In Proceedings of the SAE Ground De-icing International Conference & Exhibition, Vienna, Austria, 20–22 June 2023. Technical Paper 2023-01-1477. [Google Scholar]
- Han, Z.; Si, J.; Wu, D. Contrast icing wing tunnel tests between normal droplets and supercooled large droplets. Aerospace 2022, 9, 844. [Google Scholar] [CrossRef]
- Iuliano, E.; Mingione, G.; De Domenico, F.; De Nicola, C. An Eulerian approach to three-dimensional droplet impingement simulation in icing environment. In Proceedings of the AIAA Guidance, Navigation, and Control Conference, Toronto, ON, Canada, 2–5 August 2010. AIAA 2010-7677. [Google Scholar]
- Özgen, S.; Canıbek, M. Ice accretion simulation on multi-element airfoils using Extended Messinger Model. Heat Mass Transf. 2009, 45, 305–322. [Google Scholar] [CrossRef]
- Wright, W.B.; Gent, R.W.; Guffond, D. DRA/NASA/ONERA Collaboration on Icing Research, Part II. Prediction of Airfoil Ice Accretion; NASA CR-202349; NASA Glenn Research Center: Cleveland, OH, USA, 1997.
- Gent, R.W.; Dart, N.P.; Cansdale, J.T. Aircraft Icing. Phil. Trans. R. Soc. Lond. A 2000, 358, 2873–2911. [Google Scholar] [CrossRef]
- Schlichting, H. Boundary-Layer Theory, 6th ed.; McGraw-Hill: New York, NY, USA, 1979. [Google Scholar]
- Myers, T.G. Extension to the Messinger Model for aircraft icing. AIAA J. 2001, 39, 211–218. [Google Scholar]
- Fortin, G.; Laforte, J.-L.; Ilinca, A. Heat and mass transfer during ice accretion on aircraft wings with an improved roughness model. Int. J. Therm. Sci. 2006, 45, 595–606. [Google Scholar] [CrossRef]
- Paraschivoiu, I.; Saeed, F. (Mechanical Engineering Department, Polytechnique Montreal, Montreal, QC, Canada). Aircraft Icing, 2007; unpublished work. [Google Scholar]
- Wright, W.B. A Summary of Validation Results for LEWICE 2.0; NASA CR-1998-208687; Dynacs Engineering Co., Inc.: Brook Park, OH, USA, 1998. [Google Scholar]
- Clift, R.; Grace, J.; Weber, M.E. Bubbles, Drops and Particles; Dover Publications: New York, NY, USA, 2005. [Google Scholar]
- Porter, C. Predicted ice shape formations on a boundary-layer ingesting engine inlet. In Proceedings of the SAE Ground De-icing International Conference & Exhibition, Minneapolis, MN, USA, 17–21 June 2019. Technical Paper 2019-01-2025. [Google Scholar]
Disclaimer/Publisher’s Note: The statements, opinions and data contained in all publications are solely those of the individual author(s) and contributor(s) and not of MDPI and/or the editor(s). MDPI and/or the editor(s) disclaim responsibility for any injury to people or property resulting from any ideas, methods, instructions or products referred to in the content. |
© 2024 by the authors. Licensee MDPI, Basel, Switzerland. This article is an open access article distributed under the terms and conditions of the Creative Commons Attribution (CC BY) license (https://creativecommons.org/licenses/by/4.0/).