Design of Large-Scale Space Lattice Structure with Near-Zero Thermal Expansion Metamaterials
Abstract
1. Introduction
2. Bi-Material Hourglass Lattice Metamaterials
2.1. Theoretical Analysis for Triangular Cell
2.2. Bi-Material Design of Metametarials
3. Structural Optimization Algorithm
3.1. Formulation of Optimization Problems
3.2. Sensitivity Analysis
4. Results and Discussion
4.1. Meta-Units with NTE
4.2. Near-ZTE Metamaterials
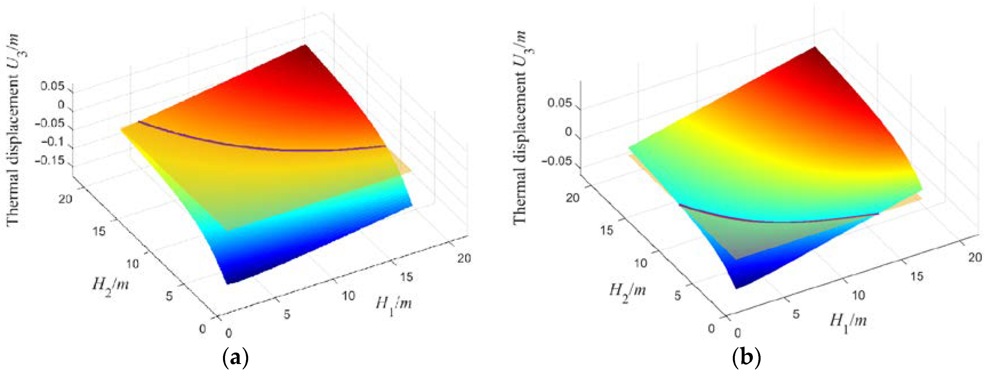
4.3. Height Optimization to Achieve a ZTE Metamaterial
4.4. Modal Analysis of ZTE Lattices with Free Boundary Condition
5. Conclusions
- (1)
- To satisfy the utilization requirement for structures such as a space telescope and apertures, the circular array condition is considered for the metastructure construction. The hexagonal and triangular configurations built from triangle units is considered as the building blocks.
- (2)
- By analyzing the thermomechanical macroscopic properties, the beam radius and layer height ratio are selected as sensitive parameters during the optimization calculation. The optimization results show an excellent near-ZTE capacity in the thickness direction, with the magnitudes of about 10−9 m/(m·K).
- (3)
- The CTE of metastructures with diverse array numbers are investigated in a specific temperature change. A replication behavior is found in two configurations, i.e., the divergence due to the array number is insensitive to the structural thermal expansion. Therefore, a preliminary ZTE optimal result for a large-scale structure design can be conducted at the unit cell scale at a relatively low cost.
- (4)
- Focusing on orbit and attitude control, the natural frequencies are obtained by modal analysis. It is shown that the larger the size, the more flexible the structure behaves.
Author Contributions
Funding
Institutional Review Board Statement
Informed Consent Statement
Data Availability Statement
Conflicts of Interest
References
- Anderson, B.; Justus, C.; Batts, G. Guidelines for the Selection of Near-Earth Thermal Environment Parameters for Spacecraft Design. (No. NASA/TM-2001-211221). 2001. Available online: https://ntrs.nasa.gov/citations/20020004360 (accessed on 2 January 2023).
- Justus, C.G.; Batts, G.W.; Anderson, B.J.; James, B.F. Simple Thermal Environment Model (STEM) User’s Guide. (No. NAS 1.15: 211222). 2001. Available online: https://ntrs.nasa.gov/citations/20020001443 (accessed on 2 January 2023).
- Ghidini, T. Materials for space exploration and settlement. Nat. Mater. 2018, 17, 846–850. [Google Scholar] [CrossRef] [PubMed]
- Iqbal, M. An Introduction to Solar Radiation; Academic Press: Cambridge, MA, USA, 1983. [Google Scholar] [CrossRef]
- Lu, G.-Y.; Zhou, J.-Y.; Cai, G.-P.; Fang, G.-Q.; Lv, L.-L.; Peng, F.-J. Studies of thermal deformation and shape control of a space planar phased array antenna. Aerosp. Sci. Technol. 2019, 93, 105311. [Google Scholar] [CrossRef]
- Bhundiya, H.G.; Royer, F.; Cordero, Z. Engineering Framework for Assessing Materials and Processes for In-Space Manufacturing. J. Mater. Eng. Perform. 2022, 31, 6045–6059. [Google Scholar] [CrossRef]
- Timoshenko, S. Analysis of Bi-Metal Thermostats. J. Opt. Soc. Am. 1925, 11, 233–255. [Google Scholar] [CrossRef]
- Lakes, R. Cellular solids with tunable positive or negative thermal expansion of unbounded magnitude. Appl. Phys. Lett. 2007, 90, 221905. [Google Scholar] [CrossRef]
- Wu, L.; Li, B.; Zhou, J. Isotropic Negative Thermal Expansion Metamaterials. ACS Appl. Mater. Interfaces 2016, 8, 17721–17727. [Google Scholar] [CrossRef]
- Yu, H.; Liang, B.; Zhao, Z.; Liu, P.; Lei, H.; Song, W.; Chen, M.; Guo, X. Metamaterials with a controllable thermal-mechanical stability: Mechanical designs, theoretical predictions and experimental demonstrations. Compos. Sci. Technol. 2021, 207, 108694. [Google Scholar] [CrossRef]
- Jefferson, G.; Parthasarathy, T.A.; Kerans, R.J. Tailorable thermal expansion hybrid structures. Int. J. Solids Struct. 2009, 46, 2372–2387. [Google Scholar] [CrossRef]
- Wei, K.; Peng, Y.; Wen, W.; Pei, Y.; Fang, D. Tailorable Thermal Expansion of Lightweight and Robust Dual-Constituent Triangular Lattice Material. J. Appl. Mech. 2017, 84, 101006. [Google Scholar] [CrossRef]
- Wang, K.; Chen, J.; Han, Z.; Wei, K.; Yang, X.; Wang, Z.; Fang, D. Synergistically program thermal expansional and mechanical performances in 3D metamaterials: Design-Architecture-Performance. J. Mech. Phys. Solids 2022, 169, R713–R715. [Google Scholar] [CrossRef]
- Peng, Y.; Wei, K.; Mei, M.; Yang, X.; Fang, D. Simultaneously program thermal expansion and Poisson’s ratio in three dimensional mechanical metamaterial. Compos. Struct. 2020, 262, 113365. [Google Scholar] [CrossRef]
- Xu, Z.; Zhao, H.; Wang, K. Design of hourglass-lattice metastructure with near-zero thermal expansion using structural optimization method. Eng. Struct. 2023, 277, 115374. [Google Scholar] [CrossRef]
- He, X.; Yu, J.; Xie, Y. Bi-Material Re-Entrant Triangle Cellular Structures Incorporating Tailorable Thermal Expansion and Tunable Poisson’s Ratio. J. Mech. Robot. 2019, 11. [Google Scholar] [CrossRef]
- Takezawa, A.; Kobashi, M.; Kitamura, M. Porous composite with negative thermal expansion obtained by photopolymer additive manufacturing. APL Mater. 2015, 3, 076103. [Google Scholar] [CrossRef]
- Hirota, M.; Kanno, Y. Optimal design of periodic frame structures with negative thermal expansion via mixed integer programming. Optim. Eng. 2015, 16, 767–809. [Google Scholar] [CrossRef]
- Yang, Z.; Zhang, Y.; Liu, S.; Wu, Z. Design and analysis of dual-constituent lattice sandwich panel with in-plane zero thermal expansion and high structural stiffness. Mech. Adv. Mater. Struct. 2019, 28, 1743–1754. [Google Scholar] [CrossRef]
- Steeves, C.A.; Lucato, S.L.D.S.E.; He, M.; Antinucci, E.; Hutchinson, J.W.; Evans, A.G. Concepts for structurally robust materials that combine low thermal expansion with high stiffness. J. Mech. Phys. Solids 2007, 55, 1803–1822. [Google Scholar] [CrossRef]
- Steeves, C.A.; Mercer, C.; Antinucci, E.; He, M.Y.; Evans, A.G. Experimental investigation of the thermal properties of tailored expansion lattices. Int. J. Mech. Mater. Des. 2009, 5, 195–202. [Google Scholar] [CrossRef]
- Hopkins, J.B.; Lange, K.J.; Spadaccini, C.M. Synthesizing the Compliant Microstructure of Thermally Actuated Materials Using Freedom, Actuation, and Constraint Topologies. In International Design Engineering Technical Conferences and Computers and Information in Engineering Conference; American Society of Mechanical Engineers: Chicago, IL, USA, 2012. [Google Scholar]
- Parsons, E.M. Lightweight cellular metal composites with zero and tunable thermal expansion enabled by ultrasonic additive manufacturing: Modeling, manufacturing, and testing. Compos. Struct. 2019, 223, 110656. [Google Scholar] [CrossRef]
- Wei, K.; Chen, H.; Pei, Y.; Fang, D. Planar lattices with tailorable coefficient of thermal expansion and high stiffness based on dual-material triangle unit. J. Mech. Phys. Solids 2016, 86, 173–191. [Google Scholar] [CrossRef]
- Wei, K.; Xiao, X.; Xu, W.; Han, Z.; Wu, Y.; Wang, Z. Large programmable coefficient of thermal expansion in additively manufactured bi-material mechanical metamaterial. Virtual Phys. Prototyp. 2021, 16, S53–S65. [Google Scholar] [CrossRef]
- Wei, K.; Peng, Y.; Wang, K.; Duan, S.; Yang, X.; Wen, W. Three dimensional lightweight lattice structures with large positive, zero and negative thermal expansion. Compos. Struct. 2018, 188, 287–296. [Google Scholar] [CrossRef]
- Takezawa, A.; Kobashi, M. Design methodology for porous composites with tunable thermal expansion produced by multi-material topology optimization and additive manufacturing. Compos. Part B Eng. 2017, 131, 21–29. [Google Scholar] [CrossRef]
- Ruder, S. An overview of gradient descent optimization algorithms. arXiv 2016, arXiv:1609.04747. [Google Scholar]
- Haji, S.H.; Abdulazeez, A. Comparison of optimization techniques based on gradient descent algorithm: A review. PalArch’s J. Archaeol. Egypt/Egyptol. 2021, 18, 2715–2743. [Google Scholar]
- Galántai, A. The theory of Newton’s method. J. Comput. Appl. Math. 2000, 124, 25–44. [Google Scholar] [CrossRef]
- Polyak, B.T. Newton’s method and its use in optimization. Eur. J. Oper. Res. 2007, 181, 1086–1096. [Google Scholar] [CrossRef]
- Shewchuk, J.R. An introduction to the Conjugate Gradient Method without the Agonizing Pain; Department of Computer Science Pittsburgh, Carnegie-Mellon University: Pittsburgh, PA, USA, 1994. [Google Scholar]
- Nocedal, J.; Wright, S.J. Conjugate Gradient Methods; Springer: New York, NY, USA, 2006; pp. 101–134. [Google Scholar]
- Miller, W.; MacKenzie, D.S.; Smith, C.W.; Evans, K.E. A generalised scale-independent mechanism for tailoring of thermal expansivity: Positive and negative. Mech. Mater. 2008, 40, 351–361. [Google Scholar] [CrossRef]
- Miller, W.; Smith, C.W.; MacKenzie, D.S.; Evans, K.E. Negative thermal expansion: A review. J. Mater. Sci. 2009, 44, 5441–5451. [Google Scholar] [CrossRef]
- Zienkiewicz, O.C.; Taylor, R.L. The Finite Element Method for Solid and Structural Mechanics, 6th ed.; Butterworth-Heinemann: Oxford, UK, 2005. [Google Scholar]
- Pérès, P.; Dupillier, J.M.; Defoort, B. Thermoplastic Composite Structures for Space Applications: Manufacturing Process Simulation. In Proceedings of the ECCM16-16th European Conference on Composite Materials, Seville, Spain, 22–26 June 2014. [Google Scholar]
- Milton, G.W. The Theory of Composites; Cambridge University Press: Cambridge, UK, 2002. [Google Scholar]
- Gardner, J.P.; Mather, J.C.; Clampin, M.; Doyon, R.; Greenhouse, M.A.; Hammel, H.B.; Hutchings, J.B.; Jakobsen, P.; Lilly, S.J.; Long, K.S.; et al. The james webb space telescope. Space Sci. Rev. 2006, 123, 485–606. [Google Scholar] [CrossRef]
- Zhang, W.H.; Fleury, C.; Duysinx, P.; Nguyen, V.H.; Laschet, I. A generalized method of moving asymptotes (GMMA) including equality constraints. Struct. Multidiscip. Optim. 1996, 12, 143–146. [Google Scholar] [CrossRef]
- Paige, C.C. Computational Variants of the Lanczos Method for the Eigenproblem. IMA J. Appl. Math. 1972, 10, 373–381. [Google Scholar] [CrossRef]
- Rajasingh, C.; Shrivastava, S.K. Orbit and attitude control of a geostationary inertially oriented large flexible plate-like spacecraft. Acta Astronaut. 1987, 15, 823–832. [Google Scholar] [CrossRef]
- Hoyt, R.P. SpiderFab: An Architecture for Self-Fabricating Space Systems; American Institute of Aeronautics and Astronautics: Reston, VA, USA, 2013. [Google Scholar] [CrossRef]

















| Material | Elastic Modulus (GPa) | Poisson’s Radio | Density (kg/m3) | CTE (m/m·K) |
|---|---|---|---|---|
| Nylon | 4.9 | 0.38 | 1300 | 4.4 × 10−5 |
| CFRP-Nylon | 15.9 | 0.33 | 1160 | 7.4 × 10−6 |
| Metamaterial Type | Array Number | Overall Diameter (m) | Max Radius (m) | Min Radius (m) | Effective CTE (m/m·K) |
|---|---|---|---|---|---|
| Hexagonal dual-layer hourglass lattice | 0 | 10.392 | 0.2 | 0.05 | 5.727 × 10−7 |
| 1 | 31.177 | 0.2 | 0.05 | 5.457 × 10−7 | |
| 2 | 51.961 | 0.2 | 0.05 | 5.433 × 10−7 | |
| 3 | 72.746 | 0.2 | 0.05 | 5.202 × 10−7 | |
| Triangular dual-layer hourglass lattice | 0 | 3.464 | 0.2 | 0.05 | 2.582 × 10−6 |
| 1 | 12.000 | 0.2 | 0.05 | 2.566 × 10−6 | |
| 2 | 24.000 | 0.2 | 0.05 | 2.559 × 10−6 | |
| 3 | 36.000 | 0.2 | 0.05 | 2.558 × 10−6 |
| Metamaterial Type | H1 (m) | H2 (m) | Effective CTE (m/m·K) |
|---|---|---|---|
| Hexagonal dual-layer hourglass lattice | 6.50 | 13.47 | 1.814 × 10−8 |
| 9.92 | 10.08 | 7.115 × 10−9 | |
| 14.61 | 7.27 | 1.374 × 10−8 | |
| Triangular dual-layer hourglass lattice | 3.38 | 8.14 | 8.069 × 10−9 |
| 6.04 | 5.40 | 2.250 × 10−8 | |
| 10.08 | 3.24 | 2.049 × 10−9 |
Disclaimer/Publisher’s Note: The statements, opinions and data contained in all publications are solely those of the individual author(s) and contributor(s) and not of MDPI and/or the editor(s). MDPI and/or the editor(s) disclaim responsibility for any injury to people or property resulting from any ideas, methods, instructions or products referred to in the content. |
© 2023 by the authors. Licensee MDPI, Basel, Switzerland. This article is an open access article distributed under the terms and conditions of the Creative Commons Attribution (CC BY) license (https://creativecommons.org/licenses/by/4.0/).
Share and Cite
Yu, B.; Xu, Z.; Mu, R.; Wang, A.; Zhao, H. Design of Large-Scale Space Lattice Structure with Near-Zero Thermal Expansion Metamaterials. Aerospace 2023, 10, 294. https://doi.org/10.3390/aerospace10030294
Yu B, Xu Z, Mu R, Wang A, Zhao H. Design of Large-Scale Space Lattice Structure with Near-Zero Thermal Expansion Metamaterials. Aerospace. 2023; 10(3):294. https://doi.org/10.3390/aerospace10030294
Chicago/Turabian StyleYu, Bin, Zhao Xu, Ruinan Mu, Anping Wang, and Haifeng Zhao. 2023. "Design of Large-Scale Space Lattice Structure with Near-Zero Thermal Expansion Metamaterials" Aerospace 10, no. 3: 294. https://doi.org/10.3390/aerospace10030294
APA StyleYu, B., Xu, Z., Mu, R., Wang, A., & Zhao, H. (2023). Design of Large-Scale Space Lattice Structure with Near-Zero Thermal Expansion Metamaterials. Aerospace, 10(3), 294. https://doi.org/10.3390/aerospace10030294

