Critical Sample-Size Analysis for Uncertainty Aerodynamic Evaluation of Compressor Blades with Stagger-Angle Errors
Abstract
:1. Introduction
2. Research Object and Numerical Method
2.1. Compressor Blade Geometry and Manufacturing Uncertainty of the Stagger Angle
2.2. Numerical Method and Validation
2.3. Key Aerodynamic Quantities of Interest
3. Uncertainty Quantification Method
3.1. Preconditioner-Based Data-Driven Polynomial Chaos Method
3.2. Validation on PDDPC
4. Results and Discussion
4.1. Measured Data Processing
4.2. Aerodynamic UQ Results: Loss Coefficient and Static Pressure Ratio
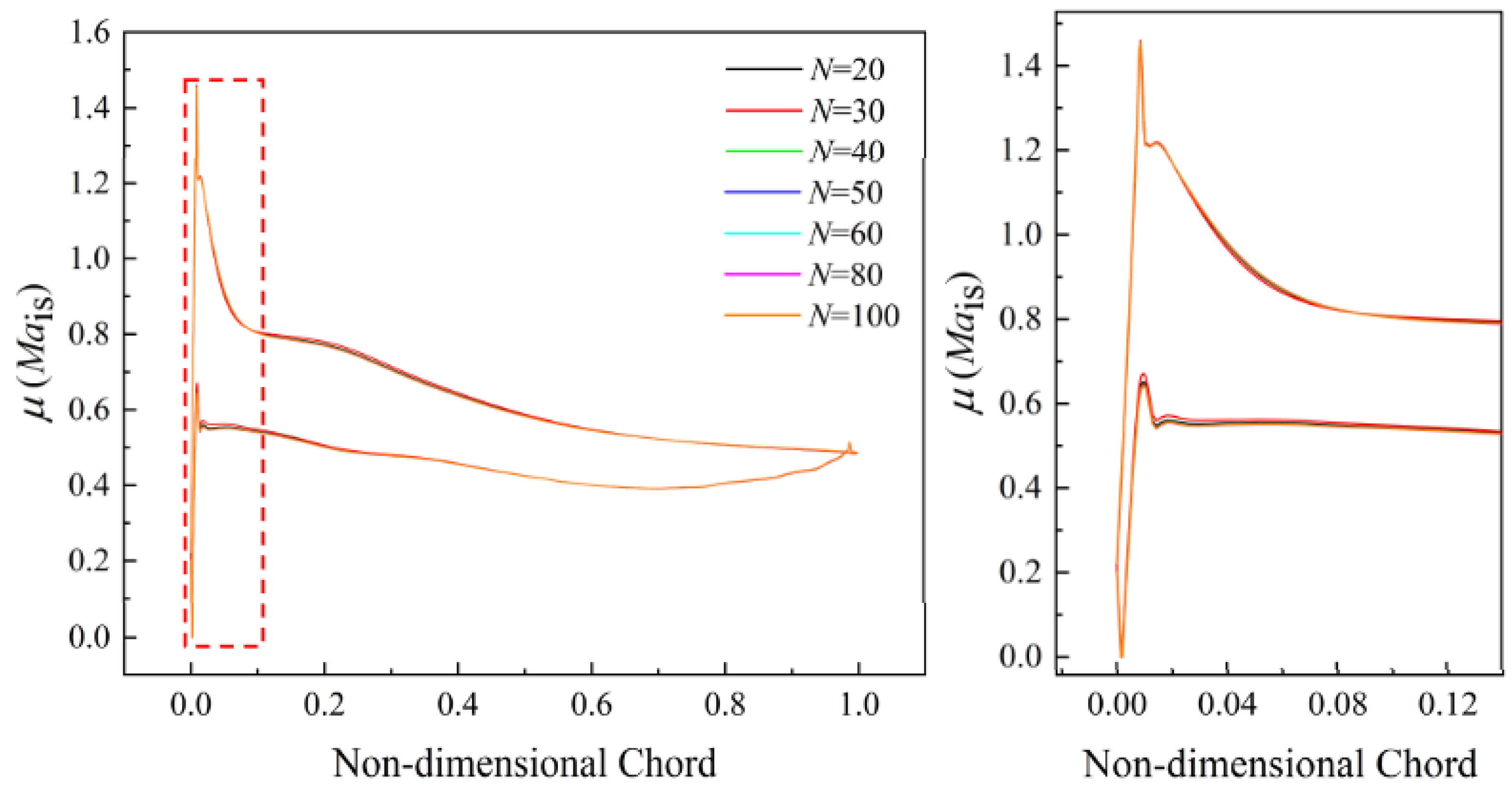
4.3. Aerodynamic UQ Results: Isentropic Mach Number
4.4. Aerodynamic UQ Results: Mach Contour
4.5. Kullback–Leibler Divergence Analysis
5. Conclusions
- (1)
- A UQ scheme dedicated to dealing with limited samples is proposed based on a preconditioner-based data-driven polynomial chaos (PDDPC) method. The influence of sample size on the calculation accuracy of PDDPC is investigated using a nonlinear test function. The results show that the calculation accuracy of the PDDPC method is dependent on the sample size of the input data. When the sample size N is greater than 40, the results of and of the test function gradually converge to the benchmark values calculated by the Monte Carlo method.
- (2)
- The measured data of stagger-angle errors are collected from a total of 100 middle sections of manufactured compressor blades. Taking the uncertain stagger-angle errors into consideration, we develop a framework for UQ analysis of compressor blades based on PDDPC combined with CFD solver. To demonstrate the functionality and effectiveness of the PDDPC method, the effects of the sample size of measured error data on multiple aerodynamic parameters, such as the total pressure loss coefficient, static pressure ratio, and isentropic Mach number, is explored under three operating conditions (blocking condition, design incidence condition and high incidence condition).
- (3)
- When the sample size of measured data for the stagger-angle error is greater than 50, the values of , , , and can reach a good convergence state regardless of operating conditions. The sample size has little effect on and . Its main effect is centered on and . When the sample size is 20 or 30, the zones sensitive to stagger-angle errors, as calculated by PDDPC, have large prediction errors. The incorrect estimates of sensitive zones can cause a significant risk for robust blade design. With a sample size exceeding 40, the estimated results of and are generally consistent. The UQ results of multiple aerodynamic parameters show that the PDDPC method has performance satisfactory to address the problem of limited measured data; there exists a critical sample size that can be used for rapid UQ analysis of compressor blades.
- (4)
- The KL divergence is used to analyze the probability information loss between the initial sample size (N = 100) and other sample sizes (N = 20, 30, 40, 50, 60, and 80) of stagger-angle error data. The results show that when the sample size of error data is lower than 40, the probability information loss increases sharply. Combined with the aerodynamic UQ convergence results, a sample size of 50 can be regarded as the critical size for accurately propagating the uncertainty of stagger-angle errors.
Author Contributions
Funding
Data Availability Statement
Conflicts of Interest
References
- Wang, H.; Gao, L.; Yang, G.; Wu, B. A data-driven robust design optimization method and its application in compressor blade. Phys. Fluids 2023, 35, 66114. [Google Scholar]
- Dow, E.A.; Wang, Q. The Implications of Tolerance Optimization on Compressor Blade Design. J. Turbomach. 2015, 137, 101008. [Google Scholar] [CrossRef]
- Zhao, B.; Ding, W.; Shan, Z.; Wang, J.; Yao, C.; Zhao, Z.; Liu, J.; Xiao, S.; Ding, Y.; Tang, X.; et al. Collaborative manufacturing technologies of structure shape and surface integrity for complex thin-walled components of aero-engine: Status, challenge and tendency. Chin. J. Aeronaut. 2023, 36, 1–24. [Google Scholar] [CrossRef]
- Wang, P.; Li, S.; Zhang, D.; Li, Y. The machining error control of blade shape based on multivariate statistical process control. Proc. Inst. Mech. Eng. Part B J. Eng. Manuf. 2014, 229, 1912–1924. [Google Scholar] [CrossRef]
- Garzon, V.E.; Darmofal, D.L. Impact of Geometric Variability on Axial Compressor Performance. J. Turbomach. 2003, 125, 692–703. [Google Scholar] [CrossRef]
- Xu, S.; Zhang, Q.; Wang, D.; Huang, X. Uncertainty Quantification of Compressor Map Using the Monte Carlo Approach Accelerated by an Adjoint-Based Nonlinear Method. Aerospace 2023, 10, 280. [Google Scholar] [CrossRef]
- Lejon, M.; Andersson, N.; Ellbrant, L.; Martensson, H. The Impact of Manufacturing Variations on Performance of a Transonic Axial Compressor Rotor. J. Turbomach. 2020, 142, 081009. [Google Scholar] [CrossRef]
- Ma, C.; Gao, L.; Wang, H.; Li, R.; Wu, B. Influence of leading edge with real manufacturing error on aerodynamic performance of high subsonic compressor cascades. Chin. J. Aeronaut. 2021, 34, 220–232. [Google Scholar] [CrossRef]
- Yao, W.; Chen, X.; Luo, W.; Van Tooren, M.; Guo, J. Review of uncertainty-based multidisciplinary design optimization methods for aerospace vehicles. Prog. Aerosp. Sci. 2011, 47, 450–479. [Google Scholar] [CrossRef]
- Cliffe, K.A.; Giles, M.B.; Scheichl, R.; Teckentrup, A.L. Multilevel Monte Carlo methods and applications to elliptic PDEs with random coefficients. Comput. Vis. Sci. 2011, 14, 3–15. [Google Scholar] [CrossRef]
- Wang, J.; Wang, B.; Yang, H.; Sun, Z.; Zhou, K.; Zheng, X. Compressor geometric uncertainty quantification under conditions from near choke to near stall. Chin. J. Aeronaut. 2023, 36, 16–29. [Google Scholar] [CrossRef]
- Mohanamuraly, P.; Müller, J.-D. An adjoint-assisted multilevel multifidelity method for uncertainty quantification and its application to turbomachinery manufacturing variability. Int. J. Numer. Methods Eng. 2021, 122, 2179–2204. [Google Scholar] [CrossRef]
- Phan, H.M. Modeling of a turbine bladerow with stagger angle variation using the multi-fidelity influence superposition method. Aerosp. Sci. Technol. 2022, 121, 107318. [Google Scholar] [CrossRef]
- Xiu, D.; Karniadakis, G.E. The Wiener–Askey Polynomial Chaos for Stochastic Differential Equations. SIAM J. Sci. Comput. 2002, 24, 619–644. [Google Scholar] [CrossRef]
- Zhang, K.; Li, J.; Zeng, F.; Wang, Q.; Yan, C. Uncertainty Analysis of Parameters in SST Turbulence Model for Shock Wave-Boundary Layer Interaction. Aerospace 2022, 9, 55. [Google Scholar] [CrossRef]
- Shi, W.; Chen, P.; Li, X.; Ren, J.; Jiang, H. Uncertainty Quantification of the Effects of Small Manufacturing Deviations on Film Cooling: A Fan-Shaped Hole. Aerospace 2019, 6, 46. [Google Scholar] [CrossRef]
- Lange, A.; Voigt, M.; Vogeler, K.; Schrapp, H.; Johann, E.; Gümmer, V. Impact of Manufacturing Variability on Multistage High-Pressure Compressor Performance. J. Eng. Gas Turbines Power 2012, 134, 112601. [Google Scholar] [CrossRef]
- Xia, Z.; Luo, J.; Liu, F. Performance impact of flow and geometric variations for a turbine blade using an adaptive NIPC method. Aerosp. Sci. Technol. 2019, 90, 127–139. [Google Scholar] [CrossRef]
- Salehi, S.; Raisee, M.; Cervantes, M.J.; Nourbakhsh, A. An efficient multifidelity ℓ1-minimization method for sparse polynomial chaos. Comput. Methods Appl. Mech. Eng. 2018, 334, 183–207. [Google Scholar] [CrossRef]
- Kiureghian, A.D.; Liu, P.L. Structural Reliability under Incomplete Probability Information. J. Eng. Mech. 1986, 112, 85–104. [Google Scholar] [CrossRef]
- Red-Horse, J.R.; Benjamin, A.S. A probabilistic approach to uncertainty quantification with limited information. Reliab. Eng. Syst. Saf. 2004, 85, 183–190. [Google Scholar] [CrossRef]
- Oladyshkin, S.; Class, H.; Helmig, R.; Nowak, W. A concept for data-driven uncertainty quantification and its application to carbon dioxide storage in geological formations. Adv. Water Resour. 2011, 34, 1508–1518. [Google Scholar] [CrossRef]
- Oladyshkin, S.; Nowak, W. Data-driven uncertainty quantification using the arbitrary polynomial chaos expansion. Reliab. Eng. Syst. Saf. 2012, 106, 179–190. [Google Scholar] [CrossRef]
- Ahlfeld, R.; Belkouchi, B.; Montomoli, F. SAMBA: Sparse Approximation of Moment-Based Arbitrary Polynomial Chaos. J. Comput. Phys. 2016, 320, 1–16. [Google Scholar] [CrossRef]
- Ahlfeld, R.; Montomoli, F. A Single Formulation for Uncertainty Propagation in Turbomachinery: SAMBA PC. J. Turbomach. 2017, 139, 111007. [Google Scholar] [CrossRef]
- Guo, Z.; Chu, W.; Zhang, H. A data-driven non-intrusive polynomial chaos for performance impact of high subsonic compressor cascades with stagger angle and profile errors. Aerosp. Sci. Technol. 2022, 129, 107802. [Google Scholar] [CrossRef]
- Guo, L.; Liu, Y.; Zhou, T. Data-driven polynomial chaos expansions: A weighted least-square approximation. J. Comput. Phys. 2019, 381, 129–145. [Google Scholar] [CrossRef]
- Kun, W.; Fu, C.; Jianyang, Y.; Yanping, S. Nested sparse-grid Stochastic Collocation Method for uncertainty quantification of blade stagger angle. Energy 2020, 201, 117583. [Google Scholar] [CrossRef]
- Phan, H.M.; He, L. Efficient modeling of mistuned blade aeroelasticity using fully-coupled two-scale method. J. Fluids Struct. 2022, 115, 103777. [Google Scholar] [CrossRef]
- Lu, Y.; Green, J.; Stapelfeldt, S.C.; Vahdati, M. Effect of Geometric Variability on Running Shape and Performance of a Transonic Fan. J. Turbomach. 2019, 141, 101012. [Google Scholar] [CrossRef]
- Suriyanarayanan, V.; Rendu, Q.; Vahdati, M.; Salles, L. Effect of Manufacturing Tolerance in Flow Past a Compressor Blade. J. Turbomach. 2021, 144, 41005. [Google Scholar] [CrossRef]
- Chuang-Stein, C. Sample size and the probability of a successful trial. Pharm. Stat. 2006, 5, 305–309. [Google Scholar] [CrossRef] [PubMed]
- He, X.; Zhao, F.; Vahdati, M. Uncertainty Quantification of Spalart–Allmaras Turbulence Model Coefficients for Compressor Stall. J. Turbomach. 2021, 143, 081007. [Google Scholar] [CrossRef]
- Wiener, N. The Homogeneous Chaos. J. Comput. Phys. 1938, 60, 897–936. [Google Scholar] [CrossRef]
- Xiu, D.; Karniadakis, G.E. Modeling uncertainty in flow simulations via generalized polynomial chaos. J. Comput. Phys. 2003, 187, 137–167. [Google Scholar] [CrossRef]
- Zheng, M.; Wan, X.; Karniadakis, G.E. Adaptive multi-element polynomial chaos with discrete measure: Algorithms and application to SPDEs. Appl. Numer. Math. 2015, 90, 91–110. [Google Scholar] [CrossRef]
- Gao, L.; Ma, C.; Cai, M.; Li, R.; Wang, H.; Yang, G. Influence of uncertain inflow conditions on a subsonic compressor cascade based on wind tunnel experiment. Proc. Inst. Mech. Eng. Part C J. Mech. Eng. Sci. 2022, 236, 8285–8299. [Google Scholar] [CrossRef]
- Martín, F.; Moreno, L.; Garrido, S.; Blanco, D. Kullback-Leibler Divergence-Based Differential Evolution Markov Chain Filter for Global Localization of Mobile Robots. Sensors 2015, 15, 23431–23458. [Google Scholar] [CrossRef]



























| Parameters | Values |
|---|---|
| Chord length c (mm) | 69.9 |
| Camber angle (°) | 39.61 |
| Geometric inlet angle (°) | 45.83 |
| Maximum thickness/mm | 3.51 |
| Design incidence (°) | 2.5 |
| Stagger angle (°) | 26.58 |
| N (Sample Size) | % | % |
|---|---|---|
| 20 | 1.53 | 1.13 |
| 30 | 1.59 | 0.68 |
| 40 | 0.25 | 0.16 |
| 50 | 0.09 | 0.18 |
| 60 | 0.46 | 0.28 |
| 80 | 0.15 | 0.60 |
| 100 | 0.38 | 0.21 |
| 150 | 0.91 | 0.69 |
| 200 | 0.16 | 0.91 |
| 300 | 0.35 | 0.37 |
| 1000 | 0.12 | 0.03 |
| Aerodynamic Parameters | Critical Sample Size | ||
|---|---|---|---|
| i = −0.5° | i = 2.5° | i = 7° | |
| 40 | 40 | 40 | |
| 50 | 40 | 40 | |
| 40 | 40 | 40 | |
| 40 | 50 | 40 | |
| Aerodynamic Parameters | Critical Sample Size | ||
|---|---|---|---|
| i = −0.5° | i = 2.5° | i = 7° | |
| --- | --- | --- | |
| on PS | 40 | 40 | 40 |
| on SS | 40 | 40 | 40 |
| Aerodynamic Parameters | Critical Sample Size | ||
|---|---|---|---|
| i = −0.5° | i = 2.5° | i = 7° | |
| 30 | 40 | --- | |
| 40 | 40 | 40 | |
Disclaimer/Publisher’s Note: The statements, opinions and data contained in all publications are solely those of the individual author(s) and contributor(s) and not of MDPI and/or the editor(s). MDPI and/or the editor(s) disclaim responsibility for any injury to people or property resulting from any ideas, methods, instructions or products referred to in the content. |
© 2023 by the authors. Licensee MDPI, Basel, Switzerland. This article is an open access article distributed under the terms and conditions of the Creative Commons Attribution (CC BY) license (https://creativecommons.org/licenses/by/4.0/).
Share and Cite
Wang, H.; Gao, L.; Wu, B. Critical Sample-Size Analysis for Uncertainty Aerodynamic Evaluation of Compressor Blades with Stagger-Angle Errors. Aerospace 2023, 10, 990. https://doi.org/10.3390/aerospace10120990
Wang H, Gao L, Wu B. Critical Sample-Size Analysis for Uncertainty Aerodynamic Evaluation of Compressor Blades with Stagger-Angle Errors. Aerospace. 2023; 10(12):990. https://doi.org/10.3390/aerospace10120990
Chicago/Turabian StyleWang, Haohao, Limin Gao, and Baohai Wu. 2023. "Critical Sample-Size Analysis for Uncertainty Aerodynamic Evaluation of Compressor Blades with Stagger-Angle Errors" Aerospace 10, no. 12: 990. https://doi.org/10.3390/aerospace10120990
APA StyleWang, H., Gao, L., & Wu, B. (2023). Critical Sample-Size Analysis for Uncertainty Aerodynamic Evaluation of Compressor Blades with Stagger-Angle Errors. Aerospace, 10(12), 990. https://doi.org/10.3390/aerospace10120990
