Bias Correction of RCM Precipitation by TIN-Copula Method: A Case Study for Historical and Future Simulations in Cyprus
Abstract
1. Introduction
2. Materials and Methods
2.1. Study Area and Climate Characteristics
2.2. Data
2.3. Methodology
- (1)
- The monthly total and extreme precipitation values were estimated from the daily data series (observed and model). As a metric for extreme precipitation, the 99th percentile of the daily precipitation values for each month was selected, based on the literature [45]. Consequently, using the initial daily data series, the monthly data series were calculated for the two studied variables (total and extreme precipitation).
- (2)
- Bias correction with the TIN-Copula method starts with the TINs formation. Ten stations (Table 1: stations with *, Figure 3: red points) are selected attending the Cyprus area to be covered by triangles (Figure 3: green triangles). The TIN network formation was based on the Delaunay triangulation [42] and, as a consequence, the formatted triangles are non-overlapping. Bias correction with the TIN-Copula method can be applied to every model grid point within these triangles.
- (3)
- Two main calculations are carried out at the triangles’ vertices (10 default stations), using only the observed data. More specifically:
- (a)
- At every vertex (station) of the formatted triangles, more than 20 copula families (including the rotated versions) (Table 2) are tested in order to select the most appropriate one for the description of the studied variables dependence. The selection of the final copula family is made according to the AIC [46] and BIC [47] criteria. The robustness of the selection is higher when the length of the data series is greater.
- (b)
- Apart from the copula family selection, the mathematical distributions (marginals) that satisfactorily fit the studied variables are also selected. Six commonly used distributions are tested (normal, log-normal, Gamma, Pareto, generalized extreme value distribution (GEV), Weibull) and the final selection relies on the same criteria (AIC, BIC).
- (4)
- The second round of the estimations is focused on the model grid points—the x-points (Figure 3—blue points).
- (a)
- Initially, the distances between each x-point (model grids) and the vertices within the triangle are calculated (Figure 3: red points), resulting in a distance index (Wn, n = 1...3 n: the triangle vertices). The greatest value of the distance index is calculated for the vertex with the largest distance.
- (5)
- Combining the distance index (W) with the selected copula families of the respect vertices (n), a new function—a new copula family—was calculated at every x-point. Thus, the influence of every vertex copula family on the final new copula is inversely proportional to the respective distance.
- (6)
- A similar procedure (combination of distance index with the selected functions) is followed for the combination of the studied variables marginal distributions at the x-point.
- (7)
- Consequently, for every studied point (x-point) a unique function—a unique new copula family—is calculated. Similar calculations for the new marginal function at the x-point are followed.
- (8)
- The final step of the bias-correction procedure is the use of the x-point values (model values) as inputs in the corresponding new copula function. The output of this function is a normalized dataset, which is fitted by the estimated marginal function. The result is the final bias-corrected dataset.
3. Results
3.1. Historical Period (1986–2000)
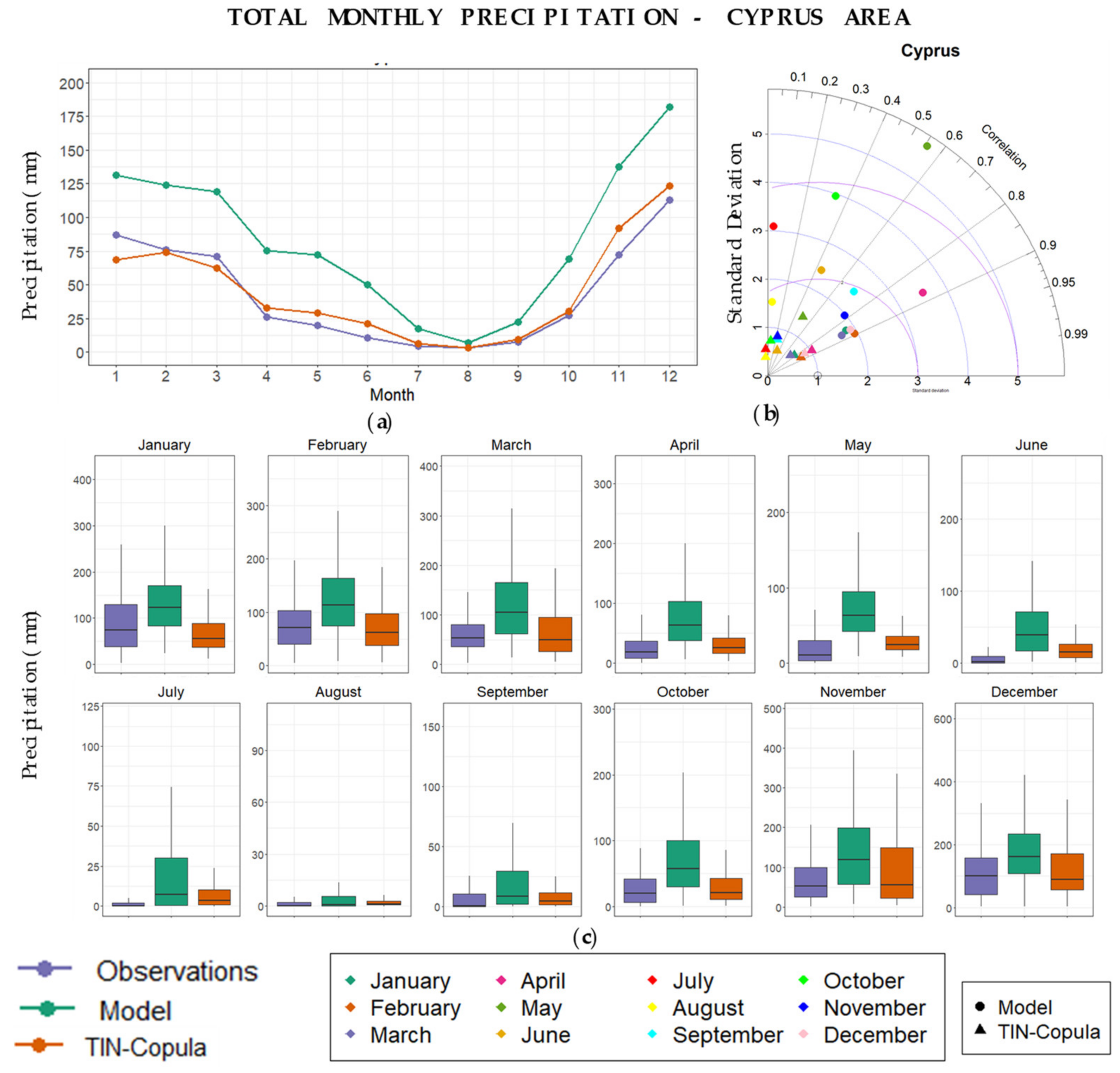
3.1.1. Seasonal and Annual Total Precipitation
3.1.2. Seasonal and Annual Extreme Precipitation
3.2. Future Periods
Projections
3.3. Climate Change Signal
4. Discussion and Conclusions
Author Contributions
Funding
Acknowledgments
Conflicts of Interest
References
- Intergovernmental Panel on Climate Change. Climate Change 2013—The Physical Science Basis: Working Group I Contribution to the Fifth Assessment Report of the Intergovernmental Panel on Climate Change; Cambridge University Press: Cambridge, UK; New York, NY, USA, 2013. [Google Scholar] [CrossRef]
- Flato, G.; Marotzke, J.; Abiodun, B.; Braconnot, P.; Chou, S.C.; Collins, W.; Cox, P.; Driouech, F.; Emori, S.; Eyring, V.; et al. Evaluation of climate models. In Climate Change 2013: The Physical Science Basis. Contribution of Working Group I to the Fifth Assessment Report of the Intergovernmental Panel on Climate Change; Cambridge University Press: Cambridge, UK; New York, NY, USA, 2014; pp. 741–866. [Google Scholar]
- Giorgi, F.; Gary, T.B. The climatological skill of a regional model over complex terrain. Mon. Weather Rev. 1989, 117, 2325–2347. [Google Scholar] [CrossRef]
- Goody, R.; Anderson, J.; North, G. Testing climate models: An approach. Bull. Am. Meteorol. Soc. 1998, 79, 2541–2549. [Google Scholar] [CrossRef]
- Suklitsch, M.; Gobiet, A.; Truhetz, H.; Awan, N.K.; Göttel, H.; Jacob, D. Error characteristics of high resolution regional climate models over the Alpine area. Clim. Dyn. 2011, 37, 377–390. [Google Scholar] [CrossRef]
- Kumar, D.; Kodra, E.; Ganguly, A.R. Regional and seasonal intercomparison of CMIP3 and CMIP5 climate model ensembles for temperature and precipitation. Clim. Dyn. 2014, 43, 2491–2518. [Google Scholar] [CrossRef]
- Mearns, L.O.; Arritt, R.; Biner, S.; Bukovsky, M.S.; McGinnis, S.; Sain, S.; Caya, D.; Correia, J., Jr.; Flory, D.; Gutowski, W.; et al. The North American Regional Climate Change Assessment Program: Overview of phase I results. Bull. Am. Meteorol. Soc. 2012, 93, 1337–1362. [Google Scholar] [CrossRef]
- Sillmann, J.; Kharin, V.V.; Zhang, X.; Zwiers, F.W.; Bronaugh, D. Climate extremes indices in the CMIP5 multimodel ensemble: Part 1. Model evaluation in the present climate. J. Geophys. Res. Atmos. 2013, 118, 1716–1733. [Google Scholar] [CrossRef]
- Lung, T.; Dosio, A.; Becker, W.; Lavalle, C.; Bouwer, L.M. Assessing the influence of climate model uncertainty on EU-wide climate change impact indicators. Clim. Chang. 2013, 120, 211–227. [Google Scholar] [CrossRef]
- Ban, N.; Schmidli, J.; Sch¨ar, C. Heavy precipitation in a changing climate: Does short-term summer precipitation increase faster? Geophys. Res. Lett. 2015, 42, 1165–1172. [Google Scholar] [CrossRef]
- Torma, C.; Giorgi, F.; Coppola, E. Added value of regional climate modeling over areas characterized by complex terrain-precipitation over the Alps. J. Geophys. Res. Atmos. 2015, 120, 3957–3972. [Google Scholar] [CrossRef]
- Mitchell, T.D.; Hulme, M. Predicting regional climate change: Living with uncertainty. Prog. Phys. Geog. 1999, 23, 57–78. [Google Scholar] [CrossRef]
- Hall, A. Projecting regional change. Science 2014, 346, 1461–1462. [Google Scholar] [CrossRef] [PubMed]
- Ramirez-Villegas, J.; Challinor, A.J.; Thornton, P.K.; Jarvis, A. Implications of regional improvement in global climate models for agricultural impact research. Environ. Res. Lett. 2013, 8, 024018. [Google Scholar] [CrossRef]
- Maraun, D.; Wetterhall, F.; Ireson, A.M.; Chandler, R.E.; Kendon, E.J.; Widmann, M.; Brienen, S.; Rust, H.W.; Sauter, T.; Themeßl, M.; et al. Precipitation downscaling under climate change: Recent developments to bridge the gap between dynamical models and the end user. Rev. Geophys. 2010, 48. [Google Scholar] [CrossRef]
- Maraun, D. Bias correcting climate change simulations-a critical review. Curr. Clim. Chang. Rep. 2016, 2, 211–220. [Google Scholar] [CrossRef]
- Sperna Weiland, F.C.; van Beek, L.P.H.; Kwadijk, J.C.J.; Bierkens, M.F.P. The ability of a GCM-forced hydrological model to reproduce global discharge variability. Hydrol. Earth Syst. Sci. 2010, 14, 1595–1621. [Google Scholar] [CrossRef]
- Navarro-Racines, C.E.; Tarapues-Montenegro, J.E.; Ramírez-Villegas, J.A. Bias-correction in the CCAFS Climate. In Portal: A Description of Methodologies. Decision and Policy Analysis (DAPA) Research Area; International Center for Tropical Agriculture (CIAT): Cali, Colombia, 2015. [Google Scholar]
- Shrestha, M.; Acharya, S.C.; Shrestha, P.K. Bias correction of climate models for hydrological modelling–are simple methods still useful. Meteorol. Appl. 2017, 24, 531–539. [Google Scholar] [CrossRef]
- Tabor, K.; Williams, J.W. Globally downscaled climate projections for assessing the conservation impacts of climate change. Ecol. Appl. 2010, 20, 554–565. [Google Scholar] [CrossRef]
- Räty, O.; Räisänen, J.; Ylhäisi, J.S. Evaluation of delta change and bias correction methods for future daily precipitation: Intermodel cross-validation using ENSEMBLES simulations. Clim. Dyn. 2014, 42, 2287–2303. [Google Scholar] [CrossRef]
- Lenderink, G.; Buishand, A.; van Deursen, W. Estimates of future discharges of the river Rhine using two scenario methodologies: Direct versus delta approach. Hydrol. Earth Syst. Sci. 2007, 11, 1145–1159. [Google Scholar] [CrossRef]
- Willkofer, F.; Schmid, F.J.; Komischke, H.; Korck, J.; Braun, M.; Ludwig, R. The impact of bias correcting regional climate model results on hydrological indicators for Bavarian catchments. J. Hydrol. Reg. Stud. 2018, 19, 25–41. [Google Scholar] [CrossRef]
- Déqué, M. Frequency of precipitation and temperature extremes over France in an anthropogenic scenario: Model results and statistical correction according to observed values. Glob. Planet. Chang. 2007, 57, 16–26. [Google Scholar] [CrossRef]
- Ezéchiel, O.; Eric, A.A.; Josué, Z.E.; Eliézer, B.I.; Amédée, C.; Abel, A. Comparative study of seven bias correction methods applied to three Regional Climate Models in Mekrou Catchment (Benin, West Africa). Int. J. Curr. Eng. Technol. 2016, 6, 1831–1840. [Google Scholar]
- Maity, R. Statistical Methods in Hydrology and Hydroclimatology; Springer: Singapore, 2018; 444p. [Google Scholar] [CrossRef]
- Zhang, Q.; Xiao, M.; Singh, V.P.; Chen, X. Copula-based risk evaluation of hydrological droughts in the East River basin, China. Stoch. Environ. Res. Risk Assess. 2013, 27, 1397–1406. [Google Scholar] [CrossRef]
- Lazoglou, G.; Anagnostopoulou, C.; Skoulikaris, C.; Tolika, K. Bias correction of climate model’s precipitation using the copula method and its application in river basin simulation. Water 2019, 11, 600. [Google Scholar] [CrossRef]
- Piani, C.; Haerter, J.O. Two dimensional bias correction of temperature and precipitation copulas in climate models. Geophys. Res. Lett. 2012, 39. [Google Scholar] [CrossRef]
- Alidoost, F.; Stein, A.; Su, Z.; Sharifi, A. Three novel copula-based bias correction methods for daily ECMWF air temperature data. Hydrol. Earth Syst. Sci. Discuss. 2017, 1–27. [Google Scholar] [CrossRef]
- Maity, R.; Suman, M.; Laux, P.; Kunstmann, H. Bias Correction of Zero-Inflated RCM Precipitation Fields: A Copula-Based Scheme for Both Mean and Extreme Conditions. J. Hydrometeorol. 2019, 20, 595–611. [Google Scholar] [CrossRef]
- Lazoglou, G.; Gräler, B.; Anagnostopoulou, C. Simulation of extreme temperatures using a new method: TIN-copula. Int. J. Climatol. 2019, 39, 5201–5214. [Google Scholar] [CrossRef]
- Lazoglou, G.; Angnostopoulou, C.; Tolika, K.; Benedikt, G. Evaluation of a New Statistical Method—TIN-Copula–for the Bias Correction of Climate Models’ Extreme Parameters. Atmosphere 2020, 11, 243. [Google Scholar] [CrossRef]
- Camera, C.; Bruggeman, A.; Hadjinicolaou, P.; Pashiardis, S.; Lange, M.A. Evaluation of interpolation techniques for the creation of gridded daily precipitation (1× 1 km2); Cyprus, 1980–2010. J. Geophys. Res. Atmos. 2014, 119, 693–712. [Google Scholar] [CrossRef]
- Zittis, G.; Bruggeman, A.; Camera, C.; Hadjinicolaou, P.; Lelieveld, J. The added value of convection permitting simulations of extreme precipitation events over the eastern Mediterranean. Atmos. Res. 2017, 191, 20–33. [Google Scholar] [CrossRef]
- Bagnouls, F.; Gaussen, H. Saison séche et indice xérothermique. Docum. Pour Cart. Prod. Veget. Ser. Gen. 1953, 1, 1–49. [Google Scholar]
- Zittis, G.; Bruggeman, A.; Camera, C. 21st Century Projections of Extreme Precipitation Indicators for Cyprus. Atmosphere 2020, 11, 343. [Google Scholar] [CrossRef]
- Daniel, M.; Lemonsu, A.; Déqué, M.; Somot, S.; Alias, A.; Masson, V. Benefits of explicit urban parameterization in regional climate modeling to study climate and city interactions. Clim. Dyn. 2019, 52, 2745–2764. [Google Scholar] [CrossRef]
- Jacob, D.; Teichmann, C.; Sobolowski, S.; Katragkou, E.; Anders, I.; Belda, M.; Benestad, R.; Boberg, F.; Buonomo, E.; Cardoso, R.M.; et al. Regional climate downscaling over Europe: Perspectives from the EURO-CORDEX community. Reg. Environ. Chang. 2020, 20. [Google Scholar] [CrossRef]
- Riahi, K.; Krey, V.; Rao, S.; Chirkov, V.; Fischer, G.; Kolp, P.; Kindermann, G.; Nakicenovic, N.; Rafai, P. RCP 8.5-A scenario of comparatively high greenhouse gas emissions. Clim. Chang. 2011, 109, 33–57. [Google Scholar] [CrossRef]
- Peucker, T.K.; Fowler, R.J.; Little, J.J.; Mark, D.M. Digital representation of three-dimensional surfaces by triangulated irregular networks (TIN). In Technical Report #10; Programs: Contract N00014-75-C-0886; Office of Naval Research (ONR) Geography, Simon Fraser University: Burnaby, BC, Canada, 1976; 63p. [Google Scholar]
- Delaunay, B. Sur la sphère vide. Bull. Acad. Sci. USSR VII Class. Sci. Mat. Nat. 1934, 793–800. [Google Scholar]
- Nelsen, R.B. An Introduction to Copulas, 2nd ed.; Springer: New York, NY, USA, 2006. [Google Scholar]
- Zhang, L.; Singh, V.P. Bivariate rainfall frequency distributions using Archimedean copulas. J. Hydrol. 2007, 332, 93–109. [Google Scholar] [CrossRef]
- Anagnostopoulou, C.; Tolika, K. Extreme precipitation in Europe: Statistical threshold selection based on climatological criteria. Theor. Appl. Climatol. 2012, 107, 479–489. [Google Scholar] [CrossRef]
- Akaike, H. Information theory and an extension of the maximum likelihood principle. In Proceedings of the 2nd International Symposium on Information Theory, Tsahkadsor, Armenia, 2–8 September 1971; pp. 267–281. [Google Scholar]
- Schwarz, G. Estimating the dimension of a model. Ann. Stat. 1978, 6, 461–464. [Google Scholar] [CrossRef]
- Core Team, R. R: A Language and Environment for Statistical Computing; R Foundation for Statistical Computing: Vienna, Austria, 2018. [Google Scholar]
- Gräler, B. Modelling skewed spatial random fields through the spatial vine copula. Spat. Stat. 2014, 10, 87–102. [Google Scholar] [CrossRef]
- Hofert, M.; Kojadinovic, I.; Maechler, M.; Yan, J. Copula: Multivariate Dependence with Copulas, 2018, R Package Version 0.999-19. 2018. Available online: http://search.r-project.org/library/copula/html/copula-package.html (accessed on 3 July 2020).
- Schepsmeier, U.; Stoeber, J.; Brechmann, E.C.; Graeler, B.; Nagler, T.; Erhardt, T. VineCopula: Statistical Inference of Vine Copulas. 2018, R Package Version 2.1.8. Available online: https://cran.r-project.org/web/packages/VineCopula/VineCopula.pdf (accessed on 3 July 2020).
- Sevault, F.; Somot, S.; Alias, A.; Dubois, C.; Lebeaupin-Brossier, C.; Nabat, P.; Adloff, F.; Déqué, M.; Decharme, B. A fully coupled Mediterranean regional climate system model: Design and evaluation of the ocean component for the 1980–2012 period. Tellus A Dyn. Meteorol. Oceanogr. 2014, 66, 23967. [Google Scholar] [CrossRef]
- Ruti, P.M.; Somot, S.; Giorgi, F.; Dubois, C.; Flaounas, E.; Obermann, A.; Dell’Aquila, A.; Pisacane, G.; Harzallah, A.; Lombardi, E.; et al. MED-CORDEX initiative for Mediterranean climate studies. Bull. Am. Meteorol. Soc. 2016, 97, 1187–1208. [Google Scholar] [CrossRef]
- Tramblay, Y.; Ruelland, D.; Somot, S.; Bouaicha, R.; Servat, E. High-resolution Med-CORDEX regional climate model simulations for hydrological impact studies: A first evaluation of the ALADIN-Climate model in Morocco. Hydrol. Earth Syst. Sci. 2013, 17. [Google Scholar] [CrossRef]
- Hadjinicolaou, P.; Giannakopoulos, C.; Zerefos, C.; Lange, M.A.; Pashiardis, S.; Lelieveld, J. Mid-21st century climate and weather extremes in Cyprus as projected by six regional climate models. Reg. Environ. Chang. 2011, 11, 441–457. [Google Scholar] [CrossRef]
- Giannakopoulos, C.; Lemesios, G.; Petrakis, M.; Kopania, T.; Roukounakis, N. Projection of Climate Change in Cyprus Using a Variety of Selected Regional Climate Models. Available online: http://uest.ntua.gr/adapttoclimate/proceedings/full_paper/Giannakopoulos_et_al.pdf (accessed on 2 July 2012).
- Dosio, A.; Paruolo, P.; Rojas, R. Bias correction of the ENSEMBLES high resolution climate change projections for use by impact models: Analysis of the climate change signal. J. Geophys. Res. Atmos. 2012, 117. [Google Scholar] [CrossRef]
- Eum, H.I.; Gachon, P.; Laprise, R. Impacts of model bias on the climate change signal and effects of weighted ensembles of regional climate model simulations: A case study over Southern Québec, Canada. Adv. Meteorol. 2016, 2016, 1478514. [Google Scholar] [CrossRef]














| Code | Station | Lon | Lat | Height (m) | Code | Station | Lon | Lat | Height (m) |
|---|---|---|---|---|---|---|---|---|---|
| 1 | Agios | 34.88 | 33.03 | 995 | 18 | Meniko | 35.12 | 33.15 | 265 |
| 2 | Akrounta | 34.77 | 33.08 | 110 | 19 | Nicosia * | 35.16 | 33.35 | 160 |
| 3 | Alaminos | 34.8 | 33.43 | 70 | 20 | Ora | 34.87 | 33.2 | 520 |
| 4 | Amargeti | 34.83 | 32.58 | 420 | 21 | Pachna | 34.78 | 32.8 | 710 |
| 5 | Amiantos * | 34.93 | 32.92 | 1397 | 22 | Pafos * | 34.72 | 32.48 | 10 |
| 6 | Apesia | 34.78 | 32.98 | 470 | 23 | Panagia* | 34.92 | 32.63 | 871 |
| 7 | Dora | 34.78 | 32.75 | 605 | 24 | Panagia | 35.02 | 33.08 | 440 |
| 8 | Filousa | 34.85 | 32.72 | 440 | 25 | Pano | 34.93 | 32.92 | 1380 |
| 9 | Kapoura | 35.02 | 33.00 | 580 | 26 | Pedoulas | 34.97 | 32.83 | 1080 |
| 10 | Kato | 34.85 | 33.3 | 510 | 27 | Pera | 35.02 | 33.38 | 255 |
| 11 | Kato | 35.08 | 33.28 | 270 | 28 | Prodromos * | 34.95 | 32.83 | 1423 |
| 12 | Koilani | 34.85 | 32.87 | 820 | 29 | Psevdas | 34.95 | 33.47 | 160 |
| 13 | Larnaca * | 34.88 | 33.63 | 2 | 30 | Saittas * | 34.86 | 32.91 | 641 |
| 14 | Lefkara * | 34.9 | 33.29 | 391 | 31 | Stavros * | 35.02 | 32.63 | 810 |
| 15 | Limassol * | 34.66 | 33.02 | 31 | 32 | Tripylos | 35.00 | 32.68 | 1220 |
| 16 | Mantra | 34.953 | 33.23 | 640 | 33 | Vretsia | 34.9 | 32.65 | 560 |
| 17 | Mathiatis | 34.95 | 33.33 | 375 | 34 | Ypsonas | 34.7 | 32.97 | 80 |
| Family Name | Function | Kendall τ | Parameter | Tail Dependence | |
|---|---|---|---|---|---|
| Elliptical Families | |||||
| 1 | Gaussian | C(u1, u2) = Φρ(Φ−1(u1), Φ−1(u2)) | arcsin(ρ) | ρ ∈ (−1,1) | 0 |
| 2 | Student-t | C(u1, u2) = tρ,ν(tν−1(u1), tν−1(u2)) | arcsin(ρ) | ρ ∈ (−1,1), v > 2 | 2tv+1(−) |
| - Φρ denotes the standard bivariate normal distribution function and θ is the correlation coefficient. - tρ,ν denotes the standard bivariate Student-t distribution with correlation coefficient ρ and v degrees of freedom. | |||||
| Archimedean Families | |||||
| 3 | Clayton | ( | θ > 0 | (,0) | |
| 4 | Gumbel | (−)θ | 1 − | θ ≥ 1 | (0,2−) |
| 5 | Frank | 1 − + 4 | θ ∈ R\{0} | (0,0) | |
| 6 | Joe | − | 1 + dt | θ > 1 | (0,2−) |
| 7 | ΒΒ1 (Clayton + Gumbel) | 1 − | θ > 0, δ ≥ 1 | (, 2 − | |
| 8 | BB6 (Joe + Gumbel) | 1 + dt | θ ≥ 1, δ ≥ 1 | (0, 2−) | |
| 9 | ΒΒ7 (Joe + Clayton) | 1 + dt | θ ≥ 1, δ > 0, | (2−) | |
| 10 | ΒΒ8 (Joe + Frank) | − | 1 + dt | θ ≥ 1, δ ∈ (0, 1] | (0, 0) |
| The version of the families rotated by 90, 180 and 270 degrees: | C90 (u1, u2) = u2 – C ( 1− u1, u2) C180 (u1, u2) = u1 + u2 –1 + C (1 − u1,1 − u2) C270 (u1, u2) = u1 – C (u1,1 − u2) | ||||
| − D1 (θ) = dx is the Debye function. | |||||
© 2020 by the authors. Licensee MDPI, Basel, Switzerland. This article is an open access article distributed under the terms and conditions of the Creative Commons Attribution (CC BY) license (http://creativecommons.org/licenses/by/4.0/).
Share and Cite
Lazoglou, G.; Zittis, G.; Anagnostopoulou, C.; Hadjinicolaou, P.; Lelieveld, J. Bias Correction of RCM Precipitation by TIN-Copula Method: A Case Study for Historical and Future Simulations in Cyprus. Climate 2020, 8, 85. https://doi.org/10.3390/cli8070085
Lazoglou G, Zittis G, Anagnostopoulou C, Hadjinicolaou P, Lelieveld J. Bias Correction of RCM Precipitation by TIN-Copula Method: A Case Study for Historical and Future Simulations in Cyprus. Climate. 2020; 8(7):85. https://doi.org/10.3390/cli8070085
Chicago/Turabian StyleLazoglou, Georgia, George Zittis, Christina Anagnostopoulou, Panos Hadjinicolaou, and Jos Lelieveld. 2020. "Bias Correction of RCM Precipitation by TIN-Copula Method: A Case Study for Historical and Future Simulations in Cyprus" Climate 8, no. 7: 85. https://doi.org/10.3390/cli8070085
APA StyleLazoglou, G., Zittis, G., Anagnostopoulou, C., Hadjinicolaou, P., & Lelieveld, J. (2020). Bias Correction of RCM Precipitation by TIN-Copula Method: A Case Study for Historical and Future Simulations in Cyprus. Climate, 8(7), 85. https://doi.org/10.3390/cli8070085

