Using the CHIRPS Dataset to Investigate Historical Changes in Precipitation Extremes in West Africa
Abstract
1. Introduction
2. Materials and Methods
2.1. Study Area Description
2.2. CHIRPS Dataset
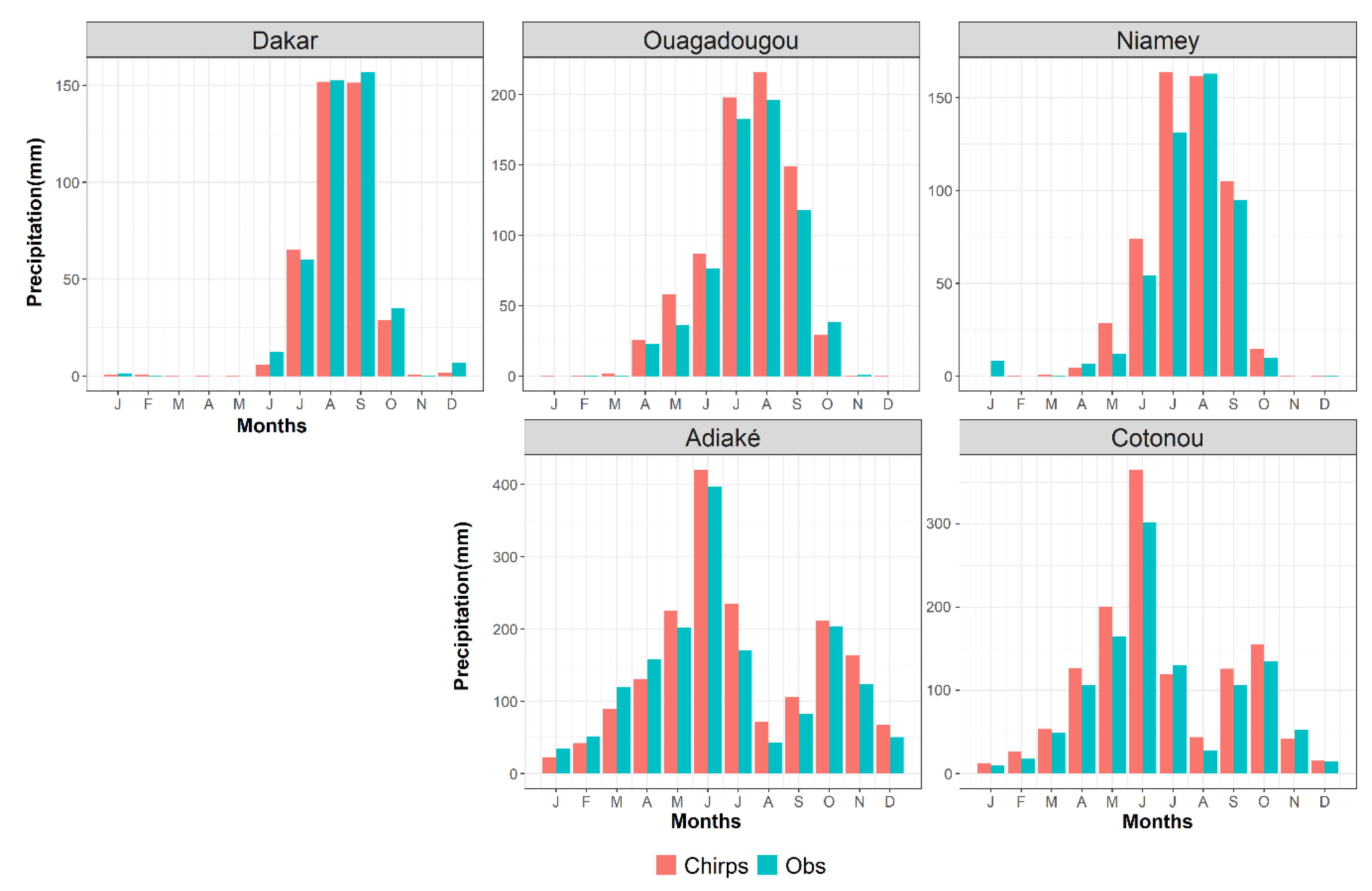
2.3. Comparison of the CHIRPS Dataset with Rain Gauges
2.4. Methodology
- (1)
- The regional mean annual ETCCDI extreme climate indices over each country were computed and their trends over 1981–2015 were analyzed following the methodology of Section 2.4.1;
- (2)
- The inter-decadal change in the computed climates’ extreme indices were examined over the periods 1996–2005 and 2006–2015 relative to the 1986–1995 decade, and their significance was assessed at a 95% confidence level over each grid point based on the Mann–Kendall test (p value < 0.05).
2.4.1. Trends Analysis
2.4.2. Climate Indices
3. Results
3.1. Temporal Analysis
3.2. Spatial Variability of the Changes over the Last Two Decades
4. Discussion
5. Conclusions
Author Contributions
Funding
Acknowledgments
Conflicts of Interest
References
- FAO. The Impact of Natural Hazards and Disasters on Agriculture, Food Security and Nutrition; FAO: Rome, Italy, 2015. [Google Scholar]
- Wade, C.T.; Touré, O.; Diop, M. Gestion des risques climatiques. In Recherche Pour des Futurs Résilients au Climat; IED: Dakar, Senegal, 2015; 96p. [Google Scholar]
- Nnomo, B.N. Contribution à L’actualisation des Normes Hydrologiques en Relation Avec les Changements Climatiques et Environnementaux en Afrique de L’ouest. These de Doctorat, à l’Université Pierre et Marie Curie, Paris, France, 2016. [Google Scholar]
- CEDEAO-CSAO/OCDE. Le climat et les changements climatiques. Atlas L’intégration Régionale Série Environ. 2008, 1, 1–24. [Google Scholar]
- Wallez, L. Inondations Dans les Villes d’Afrique de l’Ouest: Diagnostic et Elements de Renforcement des Capacites D’adaptation Dans le Grand Cotonou. Master’s Thesis, University of Technology of Troyes, Troyes, France, 2010. [Google Scholar]
- Few, R. Flooding, vulnerability and coping strategies: Local responses to a global threat. Prog. Dev. Stud. 2003, 3, 43–58. [Google Scholar] [CrossRef]
- IPCC. Summary for Policymakers. Climate Change 2014: Synthesis Report. Contribution of Working Groups I, II and III to the Fifth Assessment Report of the Intergovernmental Panel on Climate Change; IPCC: Geneva, Switzerland, 2014. [Google Scholar]
- Coppola, D.P. The management of disasters. In Introduction to International Disaster Management; Butterworth-Heinemann: Oxford, UK, 2015; pp. 1–35. [Google Scholar]
- IPCC. Summary for Policymakers. Climate Change, Mitigation of Climate Change Contribution of Working Group III to the Fifth Assessment Report of the Intergovernmental Panel on Climate Change; IPCC: Cambridge, UK; New York, NY, USA, 2014. [Google Scholar]
- Taylor, C.M.; Belušić, D.; Guichard, F.; Parker, D.J.; Vischel, T.; Bock, O. 1982 in satellite observations. Nature 2017, 544, 475–478. [Google Scholar] [CrossRef] [PubMed]
- Niang, I.; Ruppel, O.C.; Abdrabo, M.A.; Essel, A.; Lennard, C.; Padgham, J.; Urquhart, P.; Adelekan, I.; Archibald, S.; Balinga, M.; et al. Africa. In Climate Change 2014: Impacts, Adaptation, and Vulnerability. Part B: Regional Aspects. Contribution of Working Group II to the Fifth Assessment Report of the Intergovernmental Panel on Climate Change; Barros, V.R., Field, C.B., Dokken, D.J., Eds.; Mastrandre: Giulianova, Italy, 2014; pp. 1199–1265. [Google Scholar]
- Panthou, G.; Vischel, T.; Lebel, T. Short Communication Recent trends in the regime of extreme rainfall in the Central. Int. J. Clim. 2014, 34, 3998–4006. [Google Scholar] [CrossRef]
- Sylla, M.B.; Nikiema, P.M.; Gibba, P.; Kebe, I.; Klutse, N.A.B. Climate change over West Africa: Recent trends and future projections. In Adaptation to Climate Change and Variability in Rural West Africa; Yaro, J.A., Hesselberg, J., Eds.; Springer: Cham, Switzerland, 2016; pp. 25–40. [Google Scholar]
- Todzo, S.; Bichet, A.; Diedhiou, A. Intensification of the hydrological cycle expected in West Africa over the 21st century. Earth Syst. Dynam. 2020, 11, 319–328. [Google Scholar] [CrossRef]
- Alpert, P.; Baharad, A.; Ramis, C.; Homar, V.; Romero, R.; Manes, A. The paradoxical increase of Mediterranean extreme daily rainfall in spite of decrease in total values. Geophys. Res. Lett. 2002, 29, 1–4. [Google Scholar] [CrossRef]
- Alexander, L.V.; Zhang, X.; Peterson, T.C.; Caesar, J.; Gleason, B.; Klein Tank, A.M.G.; Haylock, M.; Collins, D.; Trewin, B.; Rahimzadeh, F.; et al. Global observed changes in daily climate extremes of temperature and precipitation. J. Geophys. Res. Atmos. 2006, 111, 1–22. [Google Scholar] [CrossRef]
- USAID. Climate Change Risk Profile West. Africa Sahel: Regional Fact. Sheet; USAID: Washington, DC, USA, 2017.
- Engel, T.; Fink, H.A.; Knippertz, P.; Pante, G. Extreme Precipitation in the West African Cities of Dakar and Ouagadougou: Atmo- spheric Dynamics and Implications for Flood Risk Assessments. J. Hydrometeorol. 2017, 18, 2937–2957. [Google Scholar] [CrossRef]
- ANP (Agence Nigérienne de Presse). 22 Décès et Près de 50.000 Sinistrés Dans des Inondations au Niger (Ministre). CA/MHM/ANP–0030 Août 2018. Available online: http://www.anp.ne/?q=printpdf/9927 (accessed on 24 September 2018).
- Tarhule, A. Damaging rainfall and flooding: The other Sahel hazards. Clim. Chang. 2005, 72, 355–377. [Google Scholar] [CrossRef]
- Paeth, H.; Hense, A. SST versus climate change signals in West African rainfall: 20th-century variations and future projections. Clim. Chang. 2004, 65, 179–208. [Google Scholar] [CrossRef]
- Boko, M.I.; Niang, A.; Nyong, C.; Vogel, A.; Githeko, M.; Medany, B.; Osman-Elasha, R.T. Africa. In Climate Change 2007: Impacts, Adaptation and Vulnerability. Contribution of Working Group II to the Fourth Assessment Report of the Intergovernmental Panel on Climate Change; Parry, M.L., Canziani, O.F., Palutikof, J.P., van der Linden, P.J., Hanson, C.E., Eds.; Cambridge University Press: Cambridge, UK, 2007; pp. 433–467. [Google Scholar]
- Nicholson, E.; Selato, C. The influence of la nina on african rainfall. Int. J. Climatol. 2000, 20, 1761–1776. [Google Scholar] [CrossRef]
- Konate, L.; Kouadio, B.H.; Djè, B.K.; Ake, G.E.; Guessan, V.H.N. Caractérisation des pluies journalières intenses et récurrences des inondations: Apport des totaux glissants trois (3) jours à la détermination d’une quantité seuil d’inondation (District d’Abidjan au Sud-Est de la Côte d’Ivoire ) Heavy dail. Int. J. Innov. Appl. Stud. 2016, 17, 990–1003. [Google Scholar]
- Bichet, A.; Diedhiou, A. West African Sahel has become wetter during the last 30 years, but dry spells are shorter and more frequent. Clim. Res. 2018, 75, 155–162. [Google Scholar] [CrossRef]
- Panthou, G.; Lebel, T.; Vischel, T.; Quantin, G.; Sane, Y.; Ba, A.; Ndiaye, O.; Diongue-Niang, A.; Diopkane, M. Rainfall intensification in tropical semi-arid regions: The Sahelian case. Environ. Res. Lett. 2018, 13, 064013. [Google Scholar] [CrossRef]
- Paeth, H.; Fink, A.H.; Pohle, S.; Keis, F.; Mächel, H.; Samimi, C. Meteorological characteristics and potential causes of the 2007 flood in sub-Saharan Africa. Int. J. Climatol. 2011, 31, 1908–1926. [Google Scholar] [CrossRef]
- Nicholson, C.F.; Sharon, E.; Andreas, H. Assessing recovery and change in West Africa’s rainfall regime from a 161-year record. Int. J. Climatol. 2018, 38, 1–17. [Google Scholar] [CrossRef]
- Kouadio, K.; Bastin, S.; Konare, A.; Ajayi, V.O. Does convection-permitting simulate better rainfall distribution and extreme over Guinean coast and surroundings? Clim. Dyn. 2018, 1–24. [Google Scholar] [CrossRef]
- Bichet, A.; Diedhiou, A. Less frequent and more intense rainfall along the coast of the Gulf of Guinea in West and Central Africa (1981–2014). Clim. Res. 2018, 76, 191–201. [Google Scholar] [CrossRef]
- Zhang, X.; Alexander, L.; Hegerl, G.C.; Jones, P.; Tank, A.K.; Peterson, T.C.; Trewin, B.; Zwiers, F.W. Indices for monitoring changes in extremes based on daily temperature and precipitation data. Wiley Interdiscip. Rev. Clim. Chang. 2011, 2, 851–870. [Google Scholar] [CrossRef]
- Funk, C.; Peterson, P.; Landsfeld, M.; Pedreros, D.; Verdin, J.; Shukla, S.; Husak, G.; Rowland, J.; Harrison, L.; Hoell, A.; et al. The climate hazards infrared precipitation with stations—A new environmental record for monitoring extremes. Sci. Data 2015, 2, 1–21. [Google Scholar] [CrossRef]
- Aghakouchak, A.; Behrangi, A.; Sorooshian, S.; Hsu, K.; Amitai, E. Evaluation of satellite—retrieved extreme precipitation rates across the central United States. J. Geophys. Res. 2011, 116, 1–11. [Google Scholar] [CrossRef]
- Hur, J.; Raghavan, S.V.; Nguyen, N.S.; Liong, S. Evaluation of high-resolution satellite rainfall data over singapore. Proc. Eng. 2016, 154, 158–167. [Google Scholar] [CrossRef]
- Groisman, P.Y.; Knight, R.W.; Easterling, D.R.; Karl, T.R.; Hegerl, G.C. Trends in Intense Precipitation in the Climate Record. J. Clim. 2005, 18, 1326–1350. [Google Scholar] [CrossRef]
- New, M.; Hewitson, B.; Stephenson, D.B.; Tsiga, A.; Kruger, A.; Manhique, A.; Gomez, B.; Coelho, C.A.S.; Masisi, D.N.; Kululanga, E.; et al. Evidence of trends in daily climate extremes over southern and west Africa. J. Geophys. Res. Atmos. 2006, 111, 1–11. [Google Scholar] [CrossRef]
- Redelsperger, J.; Thorncroft, C.D.; Diedhiou, A.; Lebel, T.; Parker, D.J.; Polcher, J. African monsoon multidisciplinary analysis (AMMA): An international research project and field campaign. Bull. Am. Meteorol. Soc. 2006, 87, 1739–1746. [Google Scholar] [CrossRef]
- Ardoin-Bardin, S. Variabilité Hydroclimatique et Impacts sur les Ressources en Eau de Grands Bassins Hydrographiques en Zone Soudano-Sahélienne. Ph.D. Thesis, Sciences Et Techniques Du Languedoc T, Université Montpellier II, Montpellier, France, 2004. [Google Scholar]
- Lienou, G. Impacts de la Variabilité Climatique sur les Ressources en Eau et les Transports de Matières en Suspension de Quelques Bassins Versants Représentatifs au Cameroun. Ph.D. Thesis, Universite De Yaounde I, Yaounde, Cameroon, 2007. [Google Scholar]
- Sultan, B.; Roudier, P.; Quirion, P.; Alhassane, A.; Muller, B.; Dingkuhn, C.; Baron, M. Assessing climate change impacts on sorghum and millet yields in the Sudanian and Sahelian savannas of West Africa. Environ. Res. Lett. 2013, 8, 014040. [Google Scholar] [CrossRef]
- Lamptey, B. An analytical framework for estimating the urban effect on climate. Int. J. Climatol. 2009, 30, 72–88. [Google Scholar] [CrossRef]
- Poméon, B.; Jakisch, T.; Diekkrüger, D. Evaluating the performance of remotely sensed and reanalysed precipitation data over West Africa using HBV light. J. Hydrol. 2017, 547, 222–235. [Google Scholar] [CrossRef]
- Nile, B.; Bayissa, Y. Evaluation of Satellite-Based Rainfall Estimates and Application to Monitor Meteorological Drought for. Remote Sens. Artic. 2017, 9, 1–17. [Google Scholar]
- Panthou, G.; Vischel, T.; Lebel, T.; Blanchet, J.; Quantin, G.; Ali, A. Extreme rainfall in West Africa: A regional modeling. Water Resour. Res. 2012, 48, W08501. [Google Scholar] [CrossRef]
- Caroletti, G.N.; Coscarelli, R.; Caloiero, T. Validation of Satellite, Reanalysis and RCM Data of Monthly Rainfall in Calabria (Southern Italy). Remote Sens. 2019, 11, 1625. [Google Scholar] [CrossRef]
- Trenberth, K.E.; Dai, A.; Rasmussen, R.M.; Parsons, D.B. The changing character of precipitation. Bull. Am. Meteorol. Soc. 2003, 84, 1205–1217. [Google Scholar] [CrossRef]
- Sen, P.K. Estimates of the Regression Coefficient Based on Kendall’s Tau. J. Am. Stat. Assoc. 1968, 63, 1379–1389. [Google Scholar] [CrossRef]
- Froidurot, S.; Diedhiou, A. Characteristics of wet and dry spells in the West African. Atmos. Sci. Lett. 2017, 131, 125–131. [Google Scholar] [CrossRef]
- World Meteorological Organization. Guidelines on Analysis of Extremes in a Changing Climate in Support of Informed Decisions for Adaptation; World Meteorological Organization: Geneva, Switzerland, 2009. [Google Scholar]
- Sultan, B.; Roudier, P.; Traore, S. Chapitre 10. Les impacts du changement climatique sur les rendements agricoles en Afrique de l’Ouest. In Les sociétés rurales face aux changements climatiques et environnementaux en Afrique de l’Ouest; IRD Editions: Marseille, France, 2017; pp. 209–225. [Google Scholar]
- Noblet, M.; Faye, A.; Camara, I.; Seck, A.; Sadio, M.; Bah, A. Etat des lieux des connaissances scientifiques sur les changements climatiques pour les secteurs des ressources en eau, de l’agriculture et de la zone côtière au Sénégal. In Report produced under the project “Projet d’Appui Scientifique aux processus de Plans Nationaux d’Adaptation dans les pays francophones les moins avancés d’Afrique subsaharienne”; Climate Analytics GmbH: Berlin, Germany, 2018; 76p. [Google Scholar]
- Bodian, A. Caractérisation de la variabilité temporelle récente des précipitations annuelles au Sénégal (Afrique de l’Ouest). Phys.-Géo 2014, 8, 297–312. [Google Scholar] [CrossRef]
- Descroix, L.; Diongue, N.A.; Panthou, G.; Bodian, A.; Sane, Y.; Dacosta, H.; Quantin, G. Évolution récente de la pluviométrie en Afrique de l’Ouest à travers deux régions: La Sénégambie et le bassin du Niger moyen. Climatologie 2015, 12, 25–43. [Google Scholar] [CrossRef]
- FAO (Food and Agriculture Organization of the United Nations). Profil national genre des secteurs de l’agriculture et du développement rural-Sénégal. In Série des Évaluations Genre des Pays; FAO: Dakar, Senegal, 2018; 108p. [Google Scholar]
- ANSD (Agence Nationale de la Statistique et de la Demographie). Situation Economique et Sociale du Senegal en 2015; ANSD: Dakar, Senegal, 2018; 10p. [Google Scholar]
- Faye, A.; Camara, I.; Noblet, M.; Mboup, S. Evaluation de la vulnérabilité du secteur agricole à la variabilité et aux changements climatiques dans la région de Fatick Secteur: Agriculture. In Report produced under the project “Projet d’Appui Scientifique aux processus de Plans Nationaux d’Adaptation dans les pays francophones les moins avancés d’Afrique subsaharienne”; Climate Analytics gGmbH: Berlin, Germany, 2019; 100p. [Google Scholar]
- PDDAA (Programme Détaillé du Développement de l’Agriculture Africaine). Rapport sur l’évaluation de la déclaration de Maputo dans le secteur agricole: Cas du Niger; PDDAA: Ouagadougou, Burkina Faso, 2014; 103p. [Google Scholar]
- Dezetter, A. Impacts climatiques sur les ressources en eau en Afrique de l’Ouest; 10e École d’été de l’IEPF et du SIFÉE Du 6 au 10 juin 2006: Bamako, Mali, 2006; 50p. [Google Scholar]
- UNEP (Programme des Nations Unies pour l’environnement). Sécurité des Moyens de Subsistance: Le Changement Climatique, les Migrations et les Conflits au Sahel; UNEP: Nairobi, Kenya, 2011; 112p. [Google Scholar]
- Banque Mondiale. Évaluation des Risques du Secteur Agricole au Niger: De la Réaction aux Crises à la Gestion des Risques à Long Terme. Assistance Technique; Rapport Numero 74322-NA; Département Agriculture et Services Environnementaux (AES); Unité Agriculture, Développement Rural et Irrigation: Washington, DC, USA, 2013; 96p. [Google Scholar]
- DGPAAT (Direction Générale Des Politiques Agricole, Agroalimentaire et des Territoires). Les Politiques Agricoles à Travers le Monde: Quelques Exemples; DGPAAT: Paris, France, 2014; 6p. [Google Scholar]
- Banque Mondiale. Burkina Faso: L’agriculture, un Puissant Instrument de Réduction de la Pauvreté. Available online: https://www.banquemondiale.org/fr/results/2017/06/29/burkina-faso-agriculture-as-a-powerful-instrument-for-poverty-reduction (accessed on 31 May 2020).
- INSD (Institut National de la Statistique et de la Démographie). Annuaire statistique 2016, Burkina Faso; INSD: Ouaga, Burkina Faso, 2017; 370p. [Google Scholar]
- PAM (Programme Alimentaire Mondial des Nations Unies). Analyse Globale de la Vulnérabilité, de la Sécurité Alimentaire et de la Nutrition (AGVSAN), Burkina Faso; PAM: Rome, Italy, 2014; 108p. [Google Scholar]
- Sorgho, Z. L’Economie agricole du Burkina Faso: Un potentiel de développement; Editions Baudelaire: Lyon, France, 2010; 163p. [Google Scholar]
- MAFAP (Monitoring and Analysing Food and Agricultural Policies). Revue des Politiques Agricoles et Alimentaires au Burkina Faso; Série rapport pays SPAAA; FAO: Rome, Italy, 2013; 234p. [Google Scholar]
- Ministère de l’Agriculture, de l’Hydraulique et des Ressources Halieutiques et des Représentants des Chambres Régionales d’Agriculture et des Organisations Paysannes. Analyse de la filière maraichage au Burkina Faso; Module EASYPol 107; FAO: Ouagadougou, Burkina Faso, 2007; 127p.
- Goula, B.T.A.; Kouassi, V.J.; Savane, I. Impacts du changement climatique sur les ressources en eau en zone tropicale humide: Cas du bassin versant du Bandama en Côte d’Ivoire. Agron. Afr. 2006, 18, 1–11. [Google Scholar] [CrossRef][Green Version]
- Banque Mondiale. Situation Economique en Côte D’ivoire: Que la Route Soit Bonne, Ameliorer la Mobilité Urbaine à Abidjan. Huitieme Edition; 2019; 64p, Available online: https://documents.worldbank.org/en/publication/documents-reports/documentdetail/624341549322162402/que-la-route-soit-bonne-am%c3%a9liorer-la-mobilit%c3%a9-urbaine-%c3%a0-abidjan (accessed on 17 June 2020).
- Goula, A.; Tie, B.I.; Konan, B.; Brou YA, O.T.; Fadika, V.; Srohourou, B. Estimation des pluies exceptionnelles journalières en zone tropicale: Cas de la Côte d’Ivoire par comparaison des lois lognormale et de Gumbel Estimation des pluies exceptionnelles journalières en zone tropicale: Cas de la Côte d’Ivoire par comparai. Hydrol. Sci. J. 2007, 52, 49–67. [Google Scholar]
- Goula, B.T.A.; Soro, E.G.; Kouassi, W.; Srohourou, B. Tendances et ruptures au niveau des pluies journalières extrêmes en Côte d’Ivoire (Afrique de l’Ouest). Hydrol. Sci. J. 2012, 57, 1067–1080. [Google Scholar] [CrossRef]
- Akponikpe, P.B.I.; Tovihoudji, P.; Lokonon, B.; Kpadonou, E.; Amegnaglo, J.; Segnon, A.C.; Yegbemey, R.; Hounsou, M.; Wabi, M.; Totin, E.; et al. Etude de Vulnérabilité aux Changements Climatiques du Secteur Agriculture au Bénin. Report Produced under the project “Projet d’Appui Scientifique aux processus de Plans Nationaux d’Adaptation dans les Pays Francophones les Moins Avancés d’Afrique Subsaharienne; Climate Analytics gGmbH: Berlin, Germany, 2019; 101p. [Google Scholar]
- CIRAD (Centre de Cooperation Internationale en Recherche Agronomique pour le Développement). Production et Valorisation du Maïs à’ L’échelon Villageois en Afrique de L’ouest; CIRAD: Paris, France, 1995. [Google Scholar]
- UEMOA (Union Economique et Monetaire Ouest Africaine). Rapport 2015 de la Surveillance Commerciale dans L’espace; UEMOA: Dakar, Senagal, 2015; 64p. [Google Scholar]
- Ministre de l’Environnement, de l’Habitat et de l’Urbanisme. Deuxieme Communication Nationale de la Republique du Benin sur les Changements Climatiques; MEHU-UNDP: Cotonou, Benin, 2011; 168p. [Google Scholar]
- Sy, A.; Duroure, C.; Baray, J.-L.; Gour, Y.; Baelen, J.V.; Diop, B. Space-Time Variability of the Rainfall over Sahel: Observation of a Latitudinal Sharp Transition of the Statistical Properties. Atmosphere 2018, 9, 482. [Google Scholar] [CrossRef]
- Sanogo, S.; Fink, A.H.; Omotosho, J.A.; Ba, A.; Redl, R.; Ermert, V. Spatio-temporal characteristics of the recent rainfall recovery in West Africa. Int. J. Climatol. 2015, 35, 4589–4605. [Google Scholar] [CrossRef]
- De Longueville, P.; Hountondji, F.; Kindo, Y.C.; Gemenned, I.; Ozer, F. Long-term analysis of rainfall and temperature data in Burkina Faso (1950–2013). Int. J. Climatol. 2016, 36, 4393–4405. [Google Scholar] [CrossRef]
- Hoerling, M.; Hurrell, J.; Eischeid, J.; Phillips, A. Detection and Attribution of Twentieth-Century Northern and Southern African Rainfall Change. J. Clim. 2006, 19, 3989–4008. [Google Scholar] [CrossRef]
- USAID. A Climate Trend Analysis of Burkina Faso. Famine Early Warning Systems Network—Informing Climate Change Adaptation Series. Publ. Support. Provid. Roll. Publ. Serv. Cent. 2012, 1–4. [Google Scholar] [CrossRef]
- Crawford, A.; Price-Kelly, H.; Terton, A.; Echeverría, D. Review of Current and Planned Adaptation Action in Burkina Faso. CARIAA Working Paper no. 17; International Development Research Centre: Ottawa, ON, Canada; UK Aid: London, UK, 2016. [Google Scholar]
- Barry, A.A.; Caesar, J.; Klein Tank, A.M.G.; Aguilar, E.; McSweeney, C.; Cyrille, A.M.; Nikiema, M.P.; Narcisse, K.B.; Sima, F.; Stafford, G.; et al. West Africa climate extremes and climate change indices. Int. J. Climatol. 2018, 38, e921–e938. [Google Scholar] [CrossRef]
- Sarr, B.; Kafando, L. Identification des risques climatiques de la culture du maïs au Burkina Faso. Int. J. Biol. Chem. Sci. 2011, 5, 1659–1675. [Google Scholar] [CrossRef]
- Fowe, T.; Abdoulaye, D.; Rodrigue, F.K.; Boubacar, I.; Maïmouna, B.; Traoré, H.K. Trends in flood events and their relationship to extreme rainfall in an urban area of Sahelian West Africa: The case study of Ouagadougou, Burkina Faso. J. Flood Risk Manag. 2018. [Google Scholar] [CrossRef]
- Ibrahim, B.; Polcher, J.; Karambiri, H. Characterization of the rainy season in Burkina Faso and it’s representation by regional climate models Characterization of the rainy season in Burkina Faso and it’s representation by regional climate models. Clim. Dyn. 2012, 39, 1287–1302. [Google Scholar] [CrossRef]
- Samson, M.H.; Cook, K.H. Ocean Warming and Late-Twentieth-Century Sahel Drought and Recovery. J. Clim. 2008, 21, 3797–3814. [Google Scholar]
- Nicholson, S.E. The ITCZ and the Seasonal Cycle over Equatorial Africa. Bull. Am. Meteorol. Soc. 2018, 99, 337–348. [Google Scholar] [CrossRef]











| Country | Station Name | Latitude | Longitude | Altitude (m) | Period | Missing Value (%) |
|---|---|---|---|---|---|---|
| Sénégal | Dakar | 14.73 | −17.5 | 28 | 1998–2010 | 7.92 |
| Burkina-Faso | Ouagadougou | 12.35 | −1.52 | 306 | 1998–2010 | 11.86 |
| Niger | Niamey | 13.48 | 2.17 | 234 | 1998–2010 | 8.07 |
| Côte d’Ivoire | Adiake | 5.3 | −3.3 | 40 | 1998–2010 | 0 |
| Benin | Cotonou | 6.35 | 2.38 | 06 | 1998–2010 | 14.6 |
| Index | Description Name | Definition | Units |
|---|---|---|---|
| PRCPTOT | Total annual precipitation | total precipitation amount of wet days | mm |
| RR1 | Annual number of wet days | Annual count of wet days | days |
| CWD | Maximum consecutive wet days | Maximum number of consecutive wet days | days |
| CDD | Maximum consecutive dry days | Maximum number of consecutive dry days | days |
| R95P | Very wet days | Total annual precipitation accumulated above the 95th percentile of 1981–2015 | mm |
| SDII | Simple daily intensity index | Total annual precipitation averaged over wet days | mm/day |
| 1981–2015 | ||||||||||
|---|---|---|---|---|---|---|---|---|---|---|
| Senegal | Niger | Burkina Faso | Côte d’Ivoire | Benin | ||||||
| Trend | Mean | Trend | Mean | Trend | Mean | Trend | Mean | Trend | Mean | |
| PRCPTOT | 0.3681 | 599.04 * | 0.2941 | 175.73 * | 0.3815 | 753.51 * | 0.0588 | 1297.33 | 0.1261 | 1080.9 |
| RR1 | 0.5227 | 52.40 * | 0.4319 | 22.479 * | 0.284 | 77.01 * | 0.0387 | 106.55 | 0.126 | 101.07 |
| CWD | 0.3042 | 3.36 * | 0.3311 | 1.61 * | −0.0487 | 3.40 | −0.0185 | 2.78 | −0.176 | 3.84 |
| CDD | −0.4756 | 7.90 * | −0.5025 | 17.26 * | −0.4588 | 4.99 * | −0.075 | 10.01 | 0.0555 | 5.54 |
| R95P | −0.1462 | 26.73 | −0.3019 | 13.35 * | −0.0521 | 27.74 | −0.0017 | 43.23 | 0.0353 | 0.77 |
| SDII | −0.01462 | 11.10 | −0.2874 | 6.95 * | 0.2504 | 9.67 ** | 0.0723 | 12.17 | 0.2706 | 10.75 ** |
© 2020 by the authors. Licensee MDPI, Basel, Switzerland. This article is an open access article distributed under the terms and conditions of the Creative Commons Attribution (CC BY) license (http://creativecommons.org/licenses/by/4.0/).
Share and Cite
Sacré Regis M., D.; Mouhamed, L.; Kouakou, K.; Adeline, B.; Arona, D.; Houebagnon Saint. J., C.; Koffi Claude A., K.; Talnan Jean H., C.; Salomon, O.; Issiaka, S. Using the CHIRPS Dataset to Investigate Historical Changes in Precipitation Extremes in West Africa. Climate 2020, 8, 84. https://doi.org/10.3390/cli8070084
Sacré Regis M. D, Mouhamed L, Kouakou K, Adeline B, Arona D, Houebagnon Saint. J. C, Koffi Claude A. K, Talnan Jean H. C, Salomon O, Issiaka S. Using the CHIRPS Dataset to Investigate Historical Changes in Precipitation Extremes in West Africa. Climate. 2020; 8(7):84. https://doi.org/10.3390/cli8070084
Chicago/Turabian StyleSacré Regis M., Didi, Ly Mouhamed, Kouadio Kouakou, Bichet Adeline, Diedhiou Arona, Coulibaly Houebagnon Saint. J., Kouadio Koffi Claude A., Coulibaly Talnan Jean H., Obahoundje Salomon, and Savané Issiaka. 2020. "Using the CHIRPS Dataset to Investigate Historical Changes in Precipitation Extremes in West Africa" Climate 8, no. 7: 84. https://doi.org/10.3390/cli8070084
APA StyleSacré Regis M., D., Mouhamed, L., Kouakou, K., Adeline, B., Arona, D., Houebagnon Saint. J., C., Koffi Claude A., K., Talnan Jean H., C., Salomon, O., & Issiaka, S. (2020). Using the CHIRPS Dataset to Investigate Historical Changes in Precipitation Extremes in West Africa. Climate, 8(7), 84. https://doi.org/10.3390/cli8070084

