Characteristics of Climate Change in the Lancang-Mekong Sub-Region
Abstract
1. Background
2. Introduction
3. Materials and Methods
3.1. Study Area
3.2. Data Sources
3.3. Research Methods
3.3.1. Unary Linear Trend Analysis
3.3.2. Cumulative Anomaly Method
3.3.3. Mann–Kendall Mutation Detection
3.3.4. Wavelet Analysis
3.3.5. Extreme Climate Index
4. Results
4.1. Interannual Variability of Temperature and Precipitation
4.2. Abrupt Test of Mean Temperature and Annual Precipitation
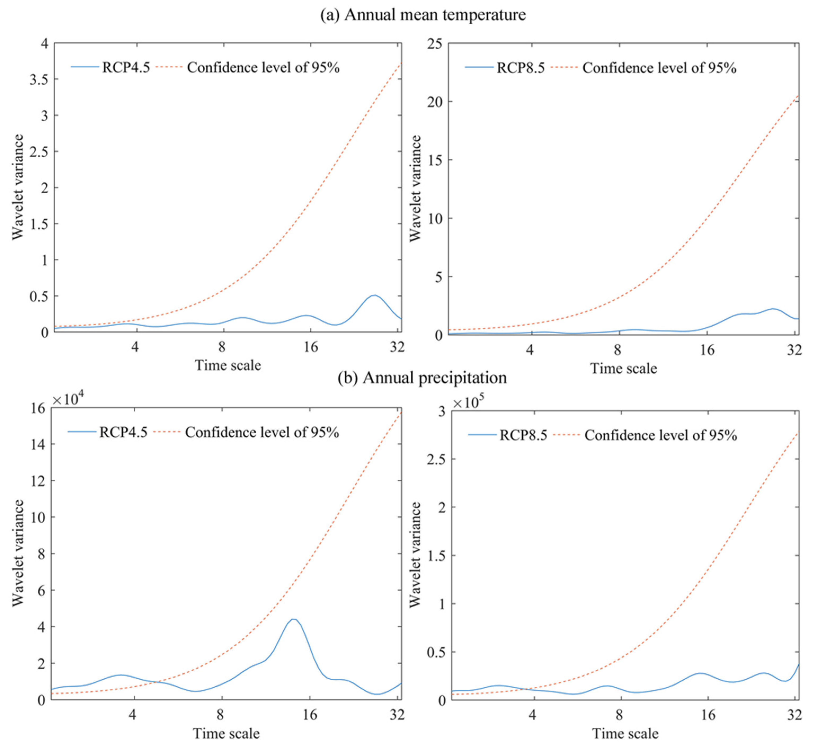
4.3. Analysis of Annual Variation of Mean Temperature and Annual Precipitation
4.4. Extreme High Temperature and Extreme Precipitation Change
5. Discussion
5.1. Trends of Mean Annual Temperature and Precipitation in the LMSR
5.2. The Necessity of LMSR Cooperation
6. Conclusions
Author Contributions
Funding
Conflicts of Interest
References
- Caballero-Anthony, M.; Cook, A.D. Non-Traditional Security in Asia: Issues, Challenges and Framework for Action; Institute of Southeast Asian Studies: Singapore, 2013; ISBN 9814414417. [Google Scholar]
- Boer, B.; Hirsch, P.; Johns, F.; Saul, B.; Scurrah, N. The Mekong: A Socio-legal Approach to River Basin Development; Routledge: Abingdon, UK, 2015; ISBN 1317657799. [Google Scholar]
- Gleick, P.H. Water and conflict: Fresh water resources and international security. Int. Secur. 1993, 18, 79–112. [Google Scholar] [CrossRef]
- Song, W.; Pijanowski, B.C. The effects of China’s cultivated land balance program on potential land productivity at a national scale. Appl. Geogr. 2014, 46, 158–170. [Google Scholar] [CrossRef]
- Han, H. China, an upstream hegemon: A destabilizer for the governance of the Mekong river? Pac. Focus 2017, 32, 30–55. [Google Scholar] [CrossRef]
- Song, W.; Deng, X. Land-use/land-cover change and ecosystem service provision in China. Sci. Total Environ. 2017, 576, 705–719. [Google Scholar] [CrossRef]
- Guangsheng, L. China Seeks to Improve Mekong Sub-Regional Cooperation: Causes and Policies. Available online: http://hdl.handle.net/11540/6512 (accessed on 10 November 2019).
- Zhang, Y.; Li, X.; Song, W. Determinants of cropland abandonment at the parcel, household and village levels in mountain areas of China: A multi-level analysis. Land Use Policy 2014, 41, 186–192. [Google Scholar] [CrossRef]
- Stocker, T.F.; Qin, D.; Plattner, G.-K.; Tignor, M.M.; Allen, S.K.; Boschung, J.; Nauels, A.; Xia, Y.; Bex, V.; Midgley, P.M. Climate Change 2013: The Physical Science Basis. Contribution of Working Group I to the Fifth Assessment Report of IPCC the Intergovernmental Panel on Climate Change; Cambridge University Press: Cambridge, UK; New York, NY, USA, 2014; ISBN 9781107415324. [Google Scholar]
- Hellström, C.; Chen, D.; Achberger, C.; Räisänen, J. Comparison of climate change scenarios for Sweden based on statistical and dynamical downscaling of monthly precipitation. Clim. Res. 2001, 19, 45–55. [Google Scholar] [CrossRef]
- Taylor, K.E.; Stouffer, R.J.; Meehl, G.A. An overview of CMIP5 and the experiment design. Bull. Am. Met. Soc. 2012, 93, 485–498. [Google Scholar] [CrossRef]
- Van Vuuren, D.P.; Edmonds, J.; Kainuma, M.; Riahi, K.; Thomson, A.; Hibbard, K.; Hurtt, G.C.; Kram, T.; Krey, V.; Lamarque, J.-F. The representative concentration pathways: An overview. Clim. Chang. 2011, 109, 5. [Google Scholar] [CrossRef]
- Chenkova, N.; Nikolova, N. Air temperature and precipitation variability in northeastern Bulgaria on the background of climate change. Therm. Sci. 2015, 19, 381–390. [Google Scholar] [CrossRef]
- Zhang, Y.; Wei, W.; Jiang, F.; Liu, M.; Wang, W.; Bai, L.; Li, K. Brief communication “Assessment of change in temperature and precipitation over Xinjiang, China”. Nat. Hazards Earth Syst. Sci. 2012, 12, 1327–1331. [Google Scholar] [CrossRef][Green Version]
- Su, B.; Jiang, T.; Jin, W. Recent trends in observed temperature and precipitation extremes in the Yangtze River basin, China. Theor. Appl. Climatol. 2006, 83, 139–151. [Google Scholar] [CrossRef]
- Chen, Y.; Deng, H.; Li, B.; Li, Z.; Xu, C. Abrupt change of temperature and precipitation extremes in the arid region of Northwest China. Quat. Int. 2014, 336, 35–43. [Google Scholar] [CrossRef]
- Abolverdi, J.; Ferdosifar, G.; Khalili, D.; Kamgar-Haghighi, A.; Abdolahipour, M. Recent trends in regional air temperature and precipitation and links to global climate change in the Maharlo watershed, Southwestern Iran. Meteorol. Atmos. Phys. 2014, 126. [Google Scholar] [CrossRef]
- Wang, Q.-X.; Wang, M.-B.; Fan, X.-H.; Zhang, F.; Zhu, S.-Z.; Zhao, T.-L. Trends of temperature and precipitation extremes in the Loess Plateau Region of China, 1961–2010. Theor. Appl. Climatol. 2017, 129, 949–963. [Google Scholar] [CrossRef]
- Gavrilov, M.B.; Marković, S.B.; Janc, N.; Nikolić, M.; Valjarević, A.; Komac, B.; Zorn, M.; Punišić, M.; Bačević, N. Assessing average annual air temperature trends using the Mann–Kendall test in Kosovo. Acta Geogr. Slov. 2018, 58, 7–25. [Google Scholar] [CrossRef]
- Gavrilov, M.B.; Tošić, I.; Marković, S.B.; Unkašević, M.; Petrović, P. Analysis of annual and seasonal temperature trends using the Mann-Kendall test in Vojvodina, Serbia. Időjárás 2016, 120, 183–198. [Google Scholar]
- Zhang, Q.; Xu, C.-Y.; Zhang, Z.; Chen, Y.; Liu, C.-L. Spatial and temporal variability of precipitation over China, 1951–2005. Theor. Appl. Climatol. 2009, 95, 53–68. [Google Scholar] [CrossRef]
- Xu, M.; Kang, S.; Wu, H.; Yuan, X. Detection of spatio-temporal variability of air temperature and precipitation based on long-term meteorological station observations over Tianshan Mountains, Central Asia. Atmos. Res. 2018, 203, 141–163. [Google Scholar] [CrossRef]
- Kumar, S.; Merwade, V.; Kinter, J.L., III; Niyogi, D. Evaluation of temperature and precipitation trends and long-term persistence in CMIP5 twentieth-century climate simulations. J. Clim. 2013, 26, 4168–4185. [Google Scholar] [CrossRef]
- Sharma, S.; Saha, A.K. Statistical analysis of rainfall trends over Damodar River basin, India. Arab. J. Geosci. 2017, 10, 319. [Google Scholar] [CrossRef]
- Ahmed, K.; Shahid, S.; Chung, E.-S.; Ismail, T.; Wang, X.-J. Spatial distribution of secular trends in annual and seasonal precipitation over Pakistan. Clim. Res. 2017, 74, 95–107. [Google Scholar] [CrossRef]
- Liu, Q.; Yang, Z.; Cui, B. Spatial and temporal variability of annual precipitation during 1961–2006 in Yellow River Basin, China. J. Hydrol. 2008, 361, 330–338. [Google Scholar] [CrossRef]
- Partal, T. Multi-annual analysis and trends of the temperatures and precipitations in West Anatolia. J. Water Clim. Chang. 2017, 8, 456–473. [Google Scholar] [CrossRef]
- Meng, X.; Zhang, S.; Zhang, Y.; Wang, C. Temporal and spatial changes of temperature and precipitation in Hexi Corridor during 1955–2011. J. Geogr. Sci. 2013, 23, 653–667. [Google Scholar] [CrossRef]
- Xiao, Z.; Shi, P.; Jiang, P.; Hu, J.; Qu, S.; Chen, X.; Chen, Y.; Dai, Y.; Wang, J. The spatiotemporal variations of runoff in the Yangtze River basin under climate change. Adv. Meteorol. 2018, 2018. [Google Scholar] [CrossRef]
- Ma, L.; Xia, H.; Sun, J.; Wang, H.; Feng, G.; Qin, F. Spatial–Temporal Variability of Hydrothermal Climate Conditions in the Yellow River Basin from 1957 to 2015. Atmosphere 2018, 9, 433. [Google Scholar] [CrossRef]
- Li, Q.; Chen, Y.; Shen, Y.; Li, X.; Xu, J. Spatial and temporal trends of climate change in Xinjiang, China. J. Geogr. Sci. 2011, 21, 1007. [Google Scholar] [CrossRef]
- Feng, Y.; Wang, W.; Suman, D.; Yu, S.; He, D. Water Cooperation Priorities in the Lancang-Mekong River Basin Based on Cooperative Events Since the Mekong River Commission Establishment. Chin. Geogr. Sci. 2019, 29, 58–69. [Google Scholar] [CrossRef]
- Li, J.; Dong, S.; Peng, M.; Yang, Z.; Liu, S.; Li, X.; Zhao, C. Effects of damming on the biological integrity of fish assemblages in the middle Lancang-Mekong River basin. Ecol. Indic. 2013, 34, 94–102. [Google Scholar] [CrossRef]
- Zhang, Y.; Gao, F.; He, D.; Li, S. Comparison of spatial-temporal distribution characteristics of water temperatures between Lancang River and Mekong River. Chin. Sci. Bull. 2007, 52, 141–147. [Google Scholar] [CrossRef]
- Zhang, B.; Zhang, L.; Guo, H.; Leinenkugel, P.; Zhou, Y.; Li, L.; Shen, Q. Drought impact on vegetation productivity in the Lower Mekong Basin. Int. J. Remote Sens. 2014, 35, 2835–2856. [Google Scholar] [CrossRef]
- Shi, H.; Chen, J. Characteristics of climate change and its relationship with land use/cover change in Yunnan Province, China. Int. J. Climatol. 2018, 38, 2520–2537. [Google Scholar] [CrossRef]
- Nguyen, D.Q.; Renwick, J.; McGregor, J. Variations of surface temperature and rainfall in Vietnam from 1971 to 2010. Int. J. Climatol. 2014, 34, 249–264. [Google Scholar] [CrossRef]
- Xu, Z.; Yang, X.; Zuo, D.; Chu, Q.; Liu, W. Spatiotemporal characteristics of extreme precipitation and temperature: A case study in Yunnan Province, China. Proc. Int. Assoc. Hydrol. Sci. 2015, 369, 121–127. [Google Scholar] [CrossRef]
- Sein, K.; Chidthaisong, A.; Oo, K. Observed trends and changes in temperature and precipitation extreme indices over Myanmar. Atmosphere 2018, 9, 477. [Google Scholar] [CrossRef]
- Sharma, D.; Babel, M.S. Trends in extreme rainfall and temperature indices in the western Thailand. Int. J. Climatol. 2014, 34, 2393–2407. [Google Scholar] [CrossRef]
- Thoeun, H.C. Observed and projected changes in temperature and rainfall in Cambodia. Weather Clim. Extrem. 2015, 7, 61–71. [Google Scholar] [CrossRef]
- CMIP5 Project Data. Available online: https://esgf-node.llnl.gov/projects/cmip5/ (accessed on 20 October 2019).
- Zhi, X.; Zhao, H.; Zhu, S.; Ge, F. Superensemble hindcast of surface air temperature using CMIP5 multimodel data. Trans. Atmos. Sci. 2016, 39, 64–71. (In Chinese) [Google Scholar] [CrossRef]
- Harris, I.; Osborn, T.J.; Jones, P.; Lister, D. Version 4 of the CRU TS monthly high-resolution gridded multivariate climate dataset. Sci. Data 2020, 7, 109. [Google Scholar] [CrossRef] [PubMed]
- Miao, C.; Duan, Q.; Sun, Q.; Huang, Y.; Kong, D.; Yang, T.; Ye, A.; Di, Z.; Gong, W. Assessment of CMIP5 climate models and projected temperature changes over Northern Eurasia. Environ. Res. Lett. 2014, 9, 055007. [Google Scholar] [CrossRef]
- Wen, X.; Wang, S.; Zhu, J.; David, V. An overview of China climate change over the 20th century using UK UEA/CRU high resolution grid data. Chin. J. Atmos. Sci. 2006, 30, 894–904. [Google Scholar] [CrossRef]
- Wu, S.; Yin, Y.; Zheng, D.; Yang, Q. Climatic trends over the Tibetan Plateau during 1971–2000. J. Geogr. Sci. 2007, 17, 141–151. [Google Scholar] [CrossRef]
- Tang, B.; Tong, L.; Kang, S.; Zhang, L. Impacts of climate variability on reference evapotranspiration over 58 years in the Haihe river basin of north China. Agric. Water Manag. 2011, 98, 1660–1670. [Google Scholar] [CrossRef]
- Jaagus, J. Climatic changes in Estonia during the second half of the 20th century in relationship with changes in large-scale atmospheric circulation. Theor. Appl. Climatol. 2006, 83, 77–88. [Google Scholar] [CrossRef]
- Hao, X.-M.; Chen, Y.-N.; Li, W.-H. Impact of anthropogenic activities on the hydrologic characters of the mainstream of the Tarim River in Xinjiang during the past 50 years. Environ. Geol. 2009, 57, 435–445. [Google Scholar] [CrossRef]
- Torrence, C.; Compo, G.P. A practical guide to wavelet analysis. Bull. Am. Met. Soc. 1998, 79, 61–78. [Google Scholar] [CrossRef]
- Grinsted, A.; Moore, J.C.; Jevrejeva, S. Application of the cross wavelet transform and wavelet coherence to geophysical time series. Nonlinear Process. Geophys. 2004, 11, 561–566. [Google Scholar] [CrossRef]
- Ling, H.; Xu, H.; Fu, J. High and low flow variations in annual runoff and their response to climate change in the headstreams of the Tarim River, Xinjiang, China. Hydrol. Process. 2013, 27, 975–988. [Google Scholar] [CrossRef]











| MMR | CHN | VNM | LAO | THA | KHM | |
|---|---|---|---|---|---|---|
| RCP4.5 | 0.0197 | 0.0222 | 0.0172 | 0.0137 | 0.0125 | 0.0207 |
| RCP8.5 | 0.0545 | 0.0462 | 0.0235 | 0.0175 | 0.0272 | 0.0278 |
| MMR | CHN | VNM | LAO | THA | KHM | |
|---|---|---|---|---|---|---|
| RCP4.5 | 0.3602 | 0.0821 | 0.4220 | 0.4151 | 0.3945 | 0.3747 |
| RCP8.5 | 0.9435 | 0.3379 | 1.1836 | 1.1493 | 1.2213 | 1.2722 |
© 2020 by the authors. Licensee MDPI, Basel, Switzerland. This article is an open access article distributed under the terms and conditions of the Creative Commons Attribution (CC BY) license (http://creativecommons.org/licenses/by/4.0/).
Share and Cite
Li, H.; Song, W. Characteristics of Climate Change in the Lancang-Mekong Sub-Region. Climate 2020, 8, 115. https://doi.org/10.3390/cli8100115
Li H, Song W. Characteristics of Climate Change in the Lancang-Mekong Sub-Region. Climate. 2020; 8(10):115. https://doi.org/10.3390/cli8100115
Chicago/Turabian StyleLi, Han, and Wei Song. 2020. "Characteristics of Climate Change in the Lancang-Mekong Sub-Region" Climate 8, no. 10: 115. https://doi.org/10.3390/cli8100115
APA StyleLi, H., & Song, W. (2020). Characteristics of Climate Change in the Lancang-Mekong Sub-Region. Climate, 8(10), 115. https://doi.org/10.3390/cli8100115

