Impact of Climate Change on Vegetation Cover at South Port Sudan Area
Abstract
1. Introduction
2. Materials and Methods
2.1. Study Area
2.2. Assessment Methods
2.2.1. Data Sources
2.2.2. Data Analyses
2.2.3. Remote Sensing
3. Results
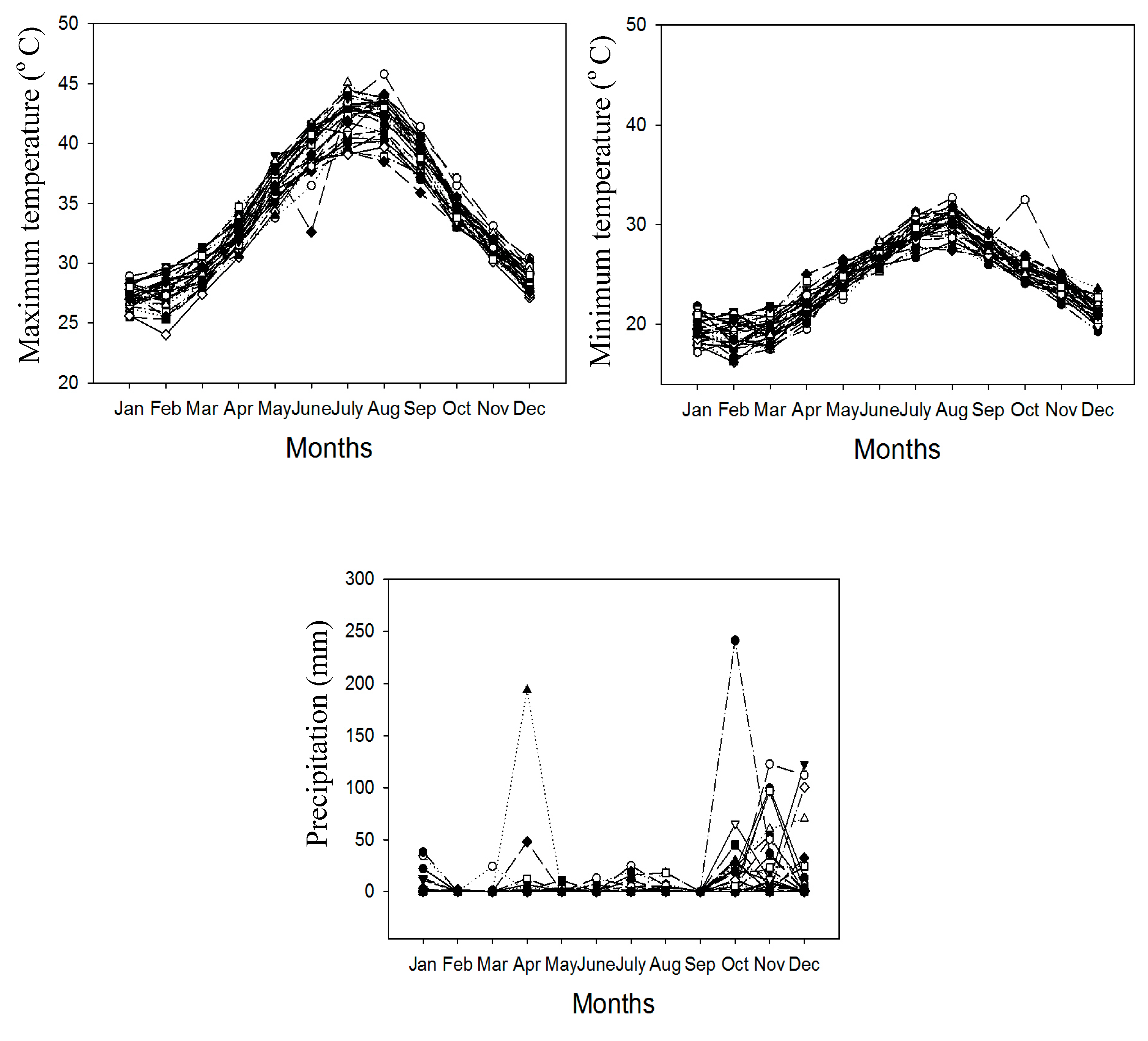
3.1. Temperature and Rainfall
3.2. Land Cover Change
4. Discussion
4.1. Climate Change
4.2. Factors Affecting Vegetation Coverage along the Sudanese Coastal Plain
4.3. Adaptation Strategies
5. Conclusions
Author Contributions
Funding
Acknowledgments
Conflicts of Interest
Appendix A. Monthly Temperature and Rainfall from 1985 to 2015
| JAN | FEB | MAR | APR | MAY | JUN | JUL | AUG | SEP | OCT | NOV | DEC | Mean | |
|---|---|---|---|---|---|---|---|---|---|---|---|---|---|
| 1985 | 28.2 | 26.8 | 29.2 | 31.9 | 35.4 | 38.3 | 40.0 | 40.2 | 37.7 | 33.0 | 31.1 | 28.5 | 33.4 |
| 1986 | 27.0 | 27.5 | 29.1 | 31.2 | 33.8 | 36.5 | 41.0 | 39.9 | 37.0 | 33.3 | 30.6 | 27.4 | 32.9 |
| 1987 | 27.1 | 28.1 | 29.2 | 30.7 | 34.9 | 38.3 | 39.4 | 41.0 | 37.3 | 33.5 | 31.4 | 28.8 | 33.3 |
| 1988 | 26.7 | 26.6 | 29.5 | 31.9 | 36.9 | 38.7 | 42.5 | 41.9 | 38.7 | 33.8 | 30.6 | 29.3 | 33.9 |
| 1989 | 25.5 | 25.3 | 27.9 | 31.5 | 36.1 | 37.9 | 40.5 | 40.3 | 37.1 | 33.0 | 30.9 | 28.1 | 32.8 |
| 1990 | 26.4 | 25.9 | 27.9 | 31.7 | 36.2 | 38.7 | 39.3 | 38.9 | 37.5 | 34.0 | 31.6 | 29.9 | 33.2 |
| 1991 | 27.0 | 27.3 | 29.3 | 33.2 | 35.6 | 37.7 | 39.3 | 38.5 | 35.9 | 33.1 | 31.0 | 27.6 | 33.0 |
| 1992 | 25.6 | 24.0 | 27.4 | 30.5 | 34.3 | 38.6 | 39.1 | 39.7 | 37.2 | 34.1 | 30.1 | 27.1 | 32.3 |
| 1993 | 26.2 | 25.5 | 28.4 | 30.6 | 34.0 | 38.5 | 39.6 | 40.5 | 38.2 | 33.8 | 31.5 | 29.5 | 33.0 |
| 1994 | 28.1 | 27.2 | 28.1 | 32.4 | 35.2 | 38.5 | 40.7 | 41.1 | 38.2 | 33.5 | 31.1 | 29.0 | 33.6 |
| 1995 | 27.5 | 26.8 | 28.7 | 31.5 | 35.1 | 38.9 | 41.8 | 40.9 | 37.3 | 33.9 | 30.5 | 28.0 | 33.4 |
| 1996 | 26.7 | 27.6 | 28.5 | 31.5 | 35.7 | 38.1 | 42.6 | 43.3 | 40.5 | 35.0 | 30.8 | 29.0 | 34.1 |
| 1997 | 27.5 | 25.5 | 28.0 | 32.2 | 36.0 | 40.6 | 43.2 | 41.6 | 39.7 | 34.7 | 30.9 | 28.5 | 34.0 |
| 1998 | 27.4 | 28.6 | 28.9 | 33.2 | 37.4 | 40.6 | 44.4 | 43.9 | 41.4 | 36.5 | 32.7 | 30.4 | 35.5 |
| 1999 | 28.1 | 29.7 | 30.2 | 32.3 | 39.0 | 40.0 | 43.3 | 43.5 | 39.8 | 35.3 | 31.9 | 28.9 | 35.2 |
| 2000 | 26.8 | 26.5 | 28.5 | 34.8 | 37.7 | 40.5 | 45.1 | 42.6 | 39.6 | 33.8 | 30.2 | 28.1 | 34.5 |
| 2001 | 26.8 | 27.2 | 31.0 | 34.3 | 37.9 | 41.6 | 44.1 | 43.2 | 38.8 | 35.3 | 31.4 | 28.9 | 35.0 |
| 2002 | 26.2 | 28.5 | 30.8 | 32.9 | 36.9 | 39.9 | 42.5 | 42.6 | 38.9 | 35.3 | 31.6 | 28.2 | 34.5 |
| 2003 | 28.3 | 27.4 | 28.4 | 32.8 | 37.8 | 32.6 | 43.3 | 43.3 | 39.6 | 34.8 | 32.2 | 29.1 | 34.1 |
| 2004 | 27.8 | 27.7 | 30.0 | 33.0 | 38.4 | 40.9 | 42.9 | 42.4 | 39.0 | 34.9 | 31.8 | 27.3 | 34.7 |
| 2005 | 26.5 | 28.4 | 29.7 | 32.2 | 36.4 | 40.3 | 43.1 | 43.1 | 39.4 | 34.9 | 30.7 | 30.3 | 34.6 |
| 2006 | 28.4 | 29.1 | 30.5 | 31.8 | 37.6 | 41.5 | 40.8 | 44.0 | 40.5 | 34.7 | 30.9 | 27.5 | 34.8 |
| 2007 | 26.4 | 27.9 | 29.4 | 33.0 | 37.9 | 40.8 | 43.2 | 42.8 | 39.4 | 35.0 | 31.1 | 28.9 | 34.7 |
| 2008 | 26.5 | 27.3 | 31.1 | 33.8 | 37.2 | 41.0 | 43.1 | 42.4 | 40.6 | 34.2 | 31.3 | 29.4 | 34.8 |
| 2009 | 27.4 | 28.6 | 29.1 | 34.0 | 36.1 | 40.9 | 43.2 | 42.1 | 38.5 | 35.3 | 32.0 | 29.1 | 34.7 |
| 2010 | 28.9 | 29.5 | 31.2 | 33.6 | 37.7 | 41.0 | 43.4 | 45.8 | 40.6 | 37.1 | 33.1 | 29.7 | 36.0 |
| 2011 | 27.1 | 28.6 | 29.4 | 32.5 | 36.9 | 40.3 | 43.8 | 43.5 | 39.7 | 35.5 | 30.5 | 27.9 | 34.6 |
| 2012 | 26.7 | 28.6 | 29.1 | 33.8 | 38.5 | 41.7 | 44.5 | 43.8 | 40.1 | 35.3 | 32.5 | 29.4 | 35.3 |
| 2013 | 28.4 | 29.3 | 31.3 | 33.4 | 37.7 | 41.4 | 42.8 | 42.4 | 40.6 | 34.4 | 31.9 | 28.7 | 35.2 |
| 2014 | 28.0 | 28.1 | 30.6 | 34.7 | 36.8 | 40.7 | 42.3 | 43.0 | 38.8 | 33.8 | 30.3 | 29.0 | 34.7 |
| 2015 | 27.0 | 28.4 | 29.7 | 32.0 | 36.5 | 39.1 | 41.9 | 44.1 | 40.3 | 35.5 | 32.0 | 27.6 | 34.5 |
| JAN | FEB | MAR | APR | MAY | JUN | JUL | AUG | SEP | OCT | NOV | DEC | Mean | |
|---|---|---|---|---|---|---|---|---|---|---|---|---|---|
| 1985 | 21.8 | 17.9 | 20.3 | 22.2 | 25.2 | 25.9 | 26.7 | 28.3 | 26.6 | 24.1 | 23.0 | 20.3 | 23.5 |
| 1986 | 19.3 | 19.1 | 21.2 | 22.4 | 22.5 | 26.2 | 28.9 | 29.0 | 27.4 | 26.9 | 23.8 | 19.8 | 23.9 |
| 1987 | 19.7 | 20.2 | 18.8 | 20.8 | 24.8 | 25.9 | 28.8 | 30.4 | 26.6 | 26.8 | 24.8 | 21.9 | 24.1 |
| 1988 | 19.2 | 19.0 | 19.9 | 22.2 | 25.3 | 27.7 | 31.0 | 31.6 | 29.3 | 26.4 | 24.1 | 22.8 | 24.9 |
| 1989 | 18.1 | 17.7 | 20.2 | 23.1 | 25.3 | 26.8 | 29.1 | 29.4 | 28.6 | 25.5 | 24.6 | 20.9 | 24.1 |
| 1990 | 19.2 | 17.6 | 18.0 | 20.8 | 23.8 | 25.3 | 27.7 | 27.7 | 27.2 | 25.9 | 24.2 | 22.9 | 23.4 |
| 1991 | 21.0 | 20.0 | 20.9 | 25.0 | 26.5 | 26.7 | 27.7 | 27.4 | 26.7 | 26.4 | 24.6 | 21.5 | 24.5 |
| 1992 | 17.9 | 16.2 | 19.0 | 20.9 | 23.4 | 26.2 | 28.5 | 30.3 | 28.0 | 25.0 | 22.8 | 19.8 | 23.2 |
| 1993 | 18.4 | 16.2 | 19.0 | 21.5 | 24.1 | 25.4 | 27.4 | 27.8 | 26.1 | 25.0 | 25.1 | 23.6 | 23.3 |
| 1994 | 21.6 | 19.8 | 20.4 | 23.5 | 26.1 | 28.0 | 28.5 | 30.4 | 27.9 | 25.0 | 24.3 | 22.0 | 24.8 |
| 1995 | 20.5 | 18.5 | 18.1 | 20.4 | 23.7 | 26.5 | 28.9 | 28.8 | 26.5 | 24.5 | 22.0 | 19.3 | 23.1 |
| 1996 | 17.2 | 18.4 | 17.9 | 19.5 | 25.5 | 27.2 | 28.7 | 29.5 | 26.9 | 24.7 | 22.9 | 21.1 | 23.3 |
| 1997 | 19.2 | 16.7 | 17.5 | 20.1 | 24.3 | 27.2 | 29.5 | 28.9 | 26.0 | 24.6 | 22.8 | 21.1 | 23.2 |
| 1998 | 18.0 | 17.8 | 18.6 | 20.8 | 24.1 | 26.5 | 30.5 | 31.9 | 29.0 | 24.8 | 23.9 | 22.1 | 24.0 |
| 1999 | 20.1 | 21.3 | 18.6 | 20.8 | 25.0 | 26.1 | 29.8 | 30.8 | 27.2 | 24.3 | 23.4 | 21.0 | 24.0 |
| 2000 | 18.9 | 18.2 | 17.5 | 22.1 | 24.7 | 26.8 | 30.2 | 29.8 | 26.6 | 24.3 | 22.3 | 20.5 | 23.5 |
| 2001 | 18.1 | 17.6 | 19.9 | 21.4 | 23.9 | 26.0 | 29.5 | 31.1 | 26.5 | 25.0 | 23.4 | 22.0 | 23.7 |
| 2002 | 18.0 | 20.0 | 20.3 | 21.4 | 22.9 | 26.5 | 30.1 | 30.8 | 26.8 | 26.2 | 23.6 | 20.1 | 23.9 |
| 2003 | 18.8 | 18.1 | 17.8 | 21.5 | 26.2 | 27.7 | 29.9 | 31.2 | 27.9 | 25.5 | 24.2 | 21.0 | 24.2 |
| 2004 | 18.5 | 18.1 | 19.1 | 22.9 | 24.1 | 26.8 | 29.5 | 29.7 | 26.9 | 26.3 | 24.3 | 21.0 | 23.9 |
| 2005 | 19.0 | 20.1 | 19.7 | 23.3 | 24.4 | 27.7 | 30.5 | 31.3 | 28.5 | 24.3 | 23.9 | 22.9 | 24.6 |
| 2006 | 20.9 | 20.1 | 19.3 | 21.8 | 25.6 | 27.9 | 28.5 | 31.5 | 28.5 | 26.0 | 24.1 | 19.8 | 24.5 |
| 2007 | 19.0 | 18.4 | 19.2 | 21.8 | 26.1 | 27.5 | 31.3 | 30.0 | 28.0 | 25.4 | 23.7 | 21.9 | 24.4 |
| 2008 | 19.1 | 19.4 | 20.2 | 22.9 | 23.9 | 26.9 | 28.4 | 28.7 | 28.5 | 25.2 | 23.0 | 22.3 | 24.0 |
| 2009 | 20.3 | 21.1 | 19.3 | 21.8 | 24.1 | 27.3 | 30.0 | 30.1 | 27.6 | 25.7 | 24.2 | 21.7 | 24.4 |
| 2010 | 21.1 | 21.0 | 20.8 | 22.9 | 24.5 | 28.2 | 30.8 | 32.7 | 28.5 | 32.5 | 25.1 | 22.0 | 25.8 |
| 2011 | 19.1 | 19.8 | 20.0 | 21.2 | 23.8 | 26.4 | 29.2 | 30.1 | 27.5 | 25.2 | 22.3 | 20.8 | 23.8 |
| 2012 | 19.4 | 19.5 | 18.9 | 21.6 | 24.6 | 28.3 | 31.1 | 31.1 | 27.3 | 25.0 | 24.7 | 22.1 | 24.5 |
| 2013 | 20.4 | 20.6 | 21.8 | 22.1 | 25.7 | 27.1 | 29.4 | 30.3 | 27.9 | 25.8 | 24.6 | 21.1 | 24.7 |
| 2014 | 20.9 | 20.2 | 21.1 | 24.3 | 24.8 | 27 | 29.7 | 32 | 29.1 | 26 | 23.7 | 22.7 | 25.1 |
| 2015 | 19.5 | 20.4 | 21.7 | 22.1 | 25.6 | 26.6 | 28.8 | 31.8 | 29.0 | 26.9 | 25.0 | 20.9 | 24.9 |
| JAN | FEB | MAR | APR | MAY | JUN | JUL | AUG | SEP | OCT | NOV | DEC | Mean | |
|---|---|---|---|---|---|---|---|---|---|---|---|---|---|
| 1985 | 22.0 | 0.0 | 0.0 | 0.0 | 2.3 | 0.0 | 0.0 | 0.0 | 0.0 | 21.2 | 99.5 | 13.4 | 13.2 |
| 1986 | 34.5 | 0.0 | 24.4 | 0.0 | 0.0 | 0.0 | 0.0 | 0.3 | 0.0 | 7.0 | 0.4 | 0.0 | 5.6 |
| 1987 | 0.0 | 0.0 | 0.0 | 0.0 | 0.0 | 0.0 | 0.0 | 0.0 | 0.0 | 10.0 | 0.5 | 0.0 | 0.9 |
| 1988 | 0.5 | 0.0 | 0.0 | 0.0 | 0.0 | 0.0 | 0.0 | 4.0 | 0.0 | 0.1 | 9.3 | 0.0 | 1.2 |
| 1989 | 0.0 | 0.0 | 0.0 | 1.6 | 10.9 | 0.0 | 0.0 | 0.0 | 0.0 | 45.1 | 4.9 | 2.4 | 5.4 |
| 1990 | 0.0 | 0.0 | 0.0 | 12.4 | 0.0 | 0.0 | 0.0 | 0.0 | 0.0 | 0.1 | 35.0 | 2.0 | 4.1 |
| 1991 | 0.0 | 2.0 | 0.0 | 48.0 | 0.0 | 0.0 | 0.0 | 0.0 | 0.0 | 18.3 | 20.8 | 0.0 | 7.4 |
| 1992 | 0.0 | 0.0 | 0.0 | 0.5 | 0.0 | 0.0 | 0.1 | 5.0 | 0.0 | 5.2 | 96.9 | 0.4 | 9.0 |
| 1993 | 0.0 | 0.2 | 0.0 | 193.8 | 0.0 | 0.0 | 0.0 | 0.0 | 0.0 | 27.6 | 15.0 | 4.2 | 20.1 |
| 1994 | 11.2 | 0.0 | 0.0 | 0.0 | 4.0 | 0.0 | 5.5 | 0.2 | 0.0 | 0.0 | 0.0 | 0.0 | 1.7 |
| 1995 | 38.2 | 0.0 | 1.4 | 0.0 | 0.0 | 7.0 | 0.0 | 0.0 | 0.0 | 24.2 | 53.8 | 0.0 | 10.4 |
| 1996 | 1.0 | 0.0 | 0.0 | 0.0 | 0.0 | 0.0 | 0.0 | 0.0 | 0.0 | 5.0 | 50.4 | 6.6 | 5.3 |
| 1997 | 0.0 | 0.0 | 0.0 | 0.0 | 1.1 | 0.0 | 1.7 | 0.0 | 0.0 | 241.3 | 36.9 | 0.0 | 23.4 |
| 1998 | 0.0 | 0.0 | 0.0 | 0.0 | 1.2 | 0.0 | 25.0 | 5.4 | 0.0 | 3.0 | 0.0 | 0.0 | 2.9 |
| 1999 | 2.1 | 0.0 | 0.0 | 7.0 | 0.5 | 0.0 | 0.0 | 0.0 | 0.0 | 22.0 | 10.6 | 122.8 | 13.8 |
| 2000 | 0.0 | 0.0 | 0.0 | 4.4 | 0.0 | 0.0 | 2.0 | 0.0 | 0.0 | 25.4 | 60.5 | 70.3 | 13.6 |
| 2001 | 0.0 | 0.0 | 0.0 | 0.0 | 0.0 | 0.0 | 0.0 | 0.0 | 0.0 | 0.0 | 4.9 | 24.1 | 2.4 |
| 2002 | 0.0 | 0.6 | 0.4 | 0.0 | 0.0 | 0.0 | 0.0 | 0.0 | 0.0 | 0.0 | 96.6 | 0.0 | 8.1 |
| 2003 | 0.0 | 0.0 | 0.0 | 0.0 | 1.0 | 0.0 | 11.3 | 0.0 | 0.0 | 0.0 | 7.6 | 1.0 | 1.7 |
| 2004 | 0.5 | 0.0 | 0.0 | 0.0 | 0.0 | 0.0 | 0.0 | 0.0 | 0.0 | 11.1 | 0.0 | 100.3 | 9.3 |
| 2005 | 0.0 | 0.0 | 0.0 | 2.0 | 0.0 | 0.0 | 15.8 | 18.4 | 0.0 | 0.0 | 0.0 | 2.0 | 3.2 |
| 2006 | 0.0 | 0.0 | 0.0 | 0.0 | 0.0 | 0.0 | 0.0 | 1.0 | 0.0 | 65.2 | 11.8 | 0.0 | 6.5 |
| 2007 | 0.0 | 0.0 | 0.0 | 0.0 | 0.0 | 8.0 | 19.3 | 7.0 | 0.0 | 0.0 | 0.1 | 0.0 | 2.9 |
| 2008 | 0.0 | 0.0 | 0.0 | 0.0 | 0.0 | 0.0 | 0.0 | 0.0 | 0.0 | 0.0 | 0.0 | 0.0 | 0.0 |
| 2009 | 3.0 | 0.0 | 0.0 | 0.0 | 0.0 | 0.0 | 0.0 | 0.0 | 0.0 | 0.0 | 2.1 | 3.6 | 0.7 |
| 2010 | 0.0 | 0.0 | 0.0 | 1.0 | 0.0 | 13.0 | 4.8 | 5.8 | 0.0 | 0.0 | 122.7 | 112.2 | 21.6 |
| 2011 | 13.1 | 0.0 | 0.0 | 0.5 | 0.0 | 0.0 | 1.5 | 0.0 | 0.0 | 0.0 | 0.0 | 1.0 | 1.3 |
| 2012 | 0.0 | 0.0 | 0.0 | 0.0 | 0.0 | 0.0 | 0.0 | 0.0 | 0.0 | 30.0 | 0.0 | 0.0 | 2.5 |
| 2013 | 0.0 | 0.0 | 0.0 | 0.0 | 0.0 | 0.0 | 0.0 | 1.1 | 0.0 | 0.0 | 0.0 | 1.0 | 0.2 |
| 2014 | 0.0 | 0.0 | 0.0 | 0.0 | 2.3 | 0.0 | 18.2 | 0.0 | 0.0 | 5.4 | 23.1 | 24.4 | 6.1 |
| 2015 | 0.0 | 0.0 | 0.0 | 0.0 | 0.0 | 0.0 | 0.0 | 0.0 | 0.0 | 28.1 | 0.0 | 32.4 | 5.0 |
References
- Dutta, P.K.; Radner, R. A strategic analysis of global warming: Theory and some numbers. J. Econ. Behav. Organ. 2009, 71, 187–209. [Google Scholar] [CrossRef]
- Hughes, L. Biological consequences of global warming: Is the signal already apparent? Trends Ecol. Evol. 2000, 15, 56–61. [Google Scholar] [CrossRef]
- McCarthy, J.J.; Canziani, O.F.; Leary, N.A.; Dokken, D.J.; White, K.S. Climate Change 2001: Impacts, Adaptation, and Vulnerability. Contribution of Working Group II to the Third Assessment Report of the Intergovernmental Panel on Climate Change; Published for the Intergovernmental Panel on Climate Change (IPCC); Cambridge University Press: Cambridge, UK, 2001; pp. 1–1032. [Google Scholar]
- Nadeau, C.P.; Urban, M.C.; Bridle, J.R. Climates Past, Present, and Yet-to-Come Shape Climate Change Vulnerabilities. Trends Ecol. Evol. 2007, 32, 786–800. [Google Scholar] [CrossRef] [PubMed]
- Ye, X.P.; Yu, X.P.; Yu, C.Q.; Taybazhaer, A.; Xu, F.J.; Skidmore, A.K.; Wang, J.J. Impacts of future climate and land cover changes on threatened mammals in the semi-arid Chinese Altai Mountains. Sci. Total Environ. 2018, 612, 775–787. [Google Scholar] [CrossRef] [PubMed]
- Watson, R.T.; Zinyowera, M.C.; Moss, R.H.; Dokken, D.J. Climate Change 1995. Impacts, Adaptions and Mitigation of Climate Change: Scientific-Technical Analyses. Contribution of Working Group II to the Second Assessment Report of the Intergovernmental Panel on Climate Change; Cambridge University Press: Cambridge, UK, 1996; pp. 1–879. [Google Scholar]
- Berchin, I.I.; Valduga, I.B.; Garcia, J.; de Andrade Guerra, J.B.S.O. Climate change and forced migrations: An effort towards recognizing climate refugees. Geoforum 2017, 84, 147–150. [Google Scholar] [CrossRef]
- Cheval, S.; Dumitrescu, A.; Birsan, M.-V. Variability of the aridity in the South-Eastern Europe over 1961–2050. Catena 2007, 151, 74–86. [Google Scholar] [CrossRef]
- Wang, H.J.; Pan, Y.P.; Chen, Y.N.; Ye, Z.W. Linear trend and abrupt changes of climate indices in the arid region of northwestern China. Atmos. Res. 2007, 196, 108–118. [Google Scholar] [CrossRef]
- Dore, M.H. Climate change and changes in global precipitation patterns: What do we know? Environ. Int. 2005, 31, 1167–1181. [Google Scholar] [CrossRef]
- Fu, Q.; Li, B.; Hou, Y.; Bi, X.; Zhang, X.S. Effects of land use and climate change on ecosystem services in Central Asia’s arid regions: A case study in Altay Prefecture, China. Sci. Total Environ. 2017, 607–608, 633–646. [Google Scholar] [CrossRef]
- Wang, Y.; Yan, X.D. Climate change induced by Southern Hemisphere desertification. Phys. Chem. Earth 2017, 102, 40–47. [Google Scholar] [CrossRef]
- Zarch, M.A.A.; Sivakumar, B.; Malekinezhad, H.; Sharma, A. Future aridity under conditions of global climate change. J. Hydrol. 2017, 554, 451–469. [Google Scholar] [CrossRef]
- Chen, Y.N.; Li, Z.; Fan, Y.T.; Wang, H.J.; Deng, H.J. Progress and prospects of climate change impacts on hydrology in the arid region of northwest China. Environ. Res. 2015, 139, 11–19. [Google Scholar] [CrossRef] [PubMed]
- Xie, Z.Y.; Huete, A.; Ma, X.L.; Restrepo-Coupe, N.; Devadas, R.; Clarke, K.; Lewis, M. Landsat and GRACE observations of arid wetland dynamics in a dryland river system under multi-decadal hydroclimatic extremes. J. Hydrol. 2016, 543, 818–831. [Google Scholar] [CrossRef]
- Becerril-Piña, R.; Mastachi-Loza, C.A.; González-Sosa, E.; Díaz-Delgado, C.; Bâ, K.M. Assessing desertification risk in the semi-arid highlands of central Mexico. J. Arid Environ. 2015, 120, 4–13. [Google Scholar] [CrossRef]
- Klein, J.A.; Harte, J.; Zhao, X.Q. Experimental warming, not grazing, decreases rangeland quality on the Tibetan Plateau. Ecol. Appl. 2007, 17, 541–557. [Google Scholar] [CrossRef]
- Djebou, D.C.S.; Singh, V.P.; Frauenfeld, O.W. Vegetation response to precipitation across the aridity gradient of the southwestern United States. J. Arid Environ. 2015, 115, 35–43. [Google Scholar] [CrossRef]
- Sultan, S.E. Phenotypic plasticity and plant adaptation. Acta Bot. Neerl. 1995, 44, 363–383. [Google Scholar] [CrossRef]
- Sam, A.K.; Ahamed, M.M.; El Khangi, F.A.; El Nigum, Y.O.; Holm, E. Radioactivity levels in the Red Sea coastal environment of Sudan. Mar. Pollut. Bull. 1998, 36, 19–26. [Google Scholar] [CrossRef]
- Archer, D.R.; Fowler, H.J. Characterizing flash flood response to intense rainfall and impacts using historical information and gauged data in Britain. J. Flood Risk Manag. 2018, 11, S121–S133. [Google Scholar] [CrossRef]
- Herrmann, S.M.; Anyamba, A.; Tucker, C.J. Recent trends in vegetation dynamics in the African Sahel and their relationship to climate. Glob. Environ. Chang. 2005, 15, 394–404. [Google Scholar] [CrossRef]
- Lebel, T.; Cappelaere, B.; Galle, S.; Hanan, N.; Kergoat, L.; Levis, S.; Vieux, B.; Descroix, L.; Gosset, M.; Mougin, E.; et al. AMMA-CATCH studies in the Sahelian region of West-Africa: An overview. J. Hydrol. 2009, 375, 3–13. [Google Scholar] [CrossRef]
- Elagib, N.A.; Elhag, M.M. Major climate indicators of ongoing drought in Sudan. J. Hydrol. 2011, 409, 612–625. [Google Scholar] [CrossRef]
- Dawelbait, M.; Morari, F. Monitoring desertification in a Savannah region in Sudan using Landsat images and spectral mixture analysis. J. Arid Environ. 2012, 80, 45–55. [Google Scholar] [CrossRef]
- Sulieman, H.M.; Elagib, N.A. Implications of climate, land-use and land-cover changes for pastoralism in eastern Sudan. J. Arid Environ. 2012, 85, 132–141. [Google Scholar] [CrossRef]
- Sulieman, H.M. Exploring drivers of forest degradation and fragmentation in Sudan: The case of Erawashda forest and its surrounding community. Sci. Total Environ. 2018, 621, 895–904. [Google Scholar] [CrossRef]
- Krupp, F.; Türkay, M.; El Hag, A.G.D.; Nasr, D. Comparative Ecological Analysis of Biota and Habitats in Littoral and Shallow Sublittoral Waters of the Sudanese Red Sea; Forschungsinstitut Senckenberg: Frankfurt, Germany; Faculty of Marine Science and Fisheries: Port Sudan, Sudan, 1994; pp. 1–89. [Google Scholar]
- Backer, H.; Schoell, M. New deeps with brines and metalliferous sediments in the Red Sea. J. Nat. Phys. Sci. 1972, 240, 153–158. [Google Scholar] [CrossRef]
- Elawad, A.N. Some Biological Aspects of Fish by-Catch Trawling. Master’s Thesis, Department of Zoology, Faculty of Science, University of Khartoum, Khartoum, Sudan, 2002; pp. 1–79. [Google Scholar]
- Byakatonda, J.; Parida, B.P.; Kenabatho, P.K.; Moalafhi, D.B. Analysis of rainfall and temperature time series to detect long-term climatic trends and variability over semi-arid Botswana. J. Earth Syst. Sci. 2018, 127, 25. [Google Scholar] [CrossRef]
- Ren, Y.-Y.; Ren, G.-Y.; Sun, X.-B.; Shrestha, A.B.; You, Q.-L.; Zhan, Y.-J.; Rajbhandari, R.; Zhang, P.-Y.; Wen, K.-M. Observed changes in surface air temperature and precipitation in the Hindu Kush Himalayan region over the last 100-plus years. Adv. Clim. Chang. Res. 2017, 8, 148–156. [Google Scholar] [CrossRef]
- Tian, Q.; Yang, S. Regional climatic response to global warming: Trends in temperature and precipitation in the Yellow, Yangtze and Pearl River basins since the 1950s. Quat. Int. 2017, 440, 1–11. [Google Scholar] [CrossRef]
- Sun, F.; Roderick, M.L.; Farquhar, G.D. Rainfall statistics, stationarity, and climate change. Proc. Natl. Acad. Sci. USA 2018, 115, 2305–2310. [Google Scholar] [CrossRef]
- Chowdhury, A.F.M.K.; Kar, K.K.; Shahid, S.; Chowdhury, R.; Rashid, M.M. Evaluation of spatio-temporal rainfall variability and performance of a stochastic rainfall model in Bangladesh. Int. J. Climatol. 2019, 39, 4256–4273. [Google Scholar] [CrossRef]
- Williams, M.; Nottage, J. Impact of extreme rainfall in the central Sudan during 1999 as a partial analogue for reconstructing early Holocene prehistoric environments. Quat. Int. 2006, 150, 82–94. [Google Scholar] [CrossRef]
- Ayoub, A.T. Extent, severity and causative factors of land degradation in the Sudan. J. Arid Environ. 1998, 38, 397–409. [Google Scholar] [CrossRef]
- Zewdie, W.; Csaplovics, E.; Inostroza, L. Monitoring ecosystem dynamics in northwestern Ethiopia using NDVI and climate variables to assess long term trends in dryland vegetation variability. Appl. Geogr. 2017, 79, 167–178. [Google Scholar] [CrossRef]
- Motsi, K.E.; Chuma, E.; Mukamuri, B.B. Rainwater harvesting for sustainable agriculture in communal lands of Zimbabwe. Phys. Chem. Earth 2004, 29, 1069–1073. [Google Scholar] [CrossRef]
- Biazin, B.; Sterk, G.; Temesgen, M.; Abdulkedir, A.; Stroosnijder, L. Rainwater harvesting and management in rainfed agricultural systems in sub-Saharan Africa—A review. Phys. Chem. Earth 2012, 47–48, 139–151. [Google Scholar] [CrossRef]
- Kahsay, G.A.; Hansen, L.G. The effect of climate change and adaptation policy on agricultural production in Eastern Africa. Ecol. Econ. 2016, 121, 54–64. [Google Scholar] [CrossRef]
- Dile, Y.T.; Karlberg, L.; Temesgen, M.; RockstrÖm, J. The role of water harvesting to achieve sustainable agricultural intensification and resilience against water related shocks in sub-Saharan Africa. Agric. Ecosyst. Environ. 2013, 181, 69–79. [Google Scholar] [CrossRef]
- Bunclark, L.; Gowing, J.; Oughton, E.; Ouattara, K.; Ouaba, S.; Benao, D. Understanding farmers’ decisions on adaptation to climate change: Exploring adoption of water harvesting technologies in Burkina Faso. Glob. Environ. Chang. 2018, 48, 243–254. [Google Scholar] [CrossRef]
- Vohland, K.; Barry, B. A review of in situ rainwater harvesting (RWH) practices modifying landscape functions in African drylands. Agric. Ecosyst. Environ. 2009, 131, 119–127. [Google Scholar] [CrossRef]












| Correlation between Parameters | Correlation Coefficient, R | p-Value |
|---|---|---|
| Max T versus years | 0.877 | 0.010 |
| Min T versus years | 0.880 | 0.010 |
| Average T versus years | 0.930 | 0.002 |
| Precipitation versus years | −0.584 | 0.108 |
| Shrub area versus years | 0.359 | 0.429 |
| MK-Zw | Sen’s Slope | p-Value | |
|---|---|---|---|
| Maximum T | 4.3851 | 0.0733 | 1.1595 e−5 |
| Minimum T | 2.6854 | 0.0400 | 0.0072 |
| Average T | 4.5550 | 0.0545 | 5.2376 e−6 |
| Precipitation | −1.1897 | −0.1263 | 0.2341 |
| Year | Max T | Min T | Ave T | Ave P | Anomaly | |||
|---|---|---|---|---|---|---|---|---|
| Max T | Min T | Ave T | P | |||||
| 1985, X1 | 33.35 | 23.53 | 28.44 | 13.2 | −0.85 | −0.57 | −0.70 | 6.44 |
| 1986, X2 | 32.86 | 23.88 | 28.37 | 5.6 | −1.34 | −0.22 | −0.77 | −1.16 |
| 1987, X3 | 33.32 | 24.13 | 28.72 | 0.9 | −0.88 | 0.03 | −0.42 | −5.86 |
| 1988, X4 | 33.92 | 24.89 | 29.40 | 1.2 | −0.28 | 0.79 | 0.26 | −5.56 |
| 1989, X5 | 32.80 | 24.11 | 28.47 | 5.4 | −1.36 | 0.01 | −0.67 | −1.36 |
| 1990, X6 | 33.20 | 23.38 | 28.27 | 4.1 | −1.03 | −0.72 | −0.87 | −2.66 |
| 1991, X7 | 32.96 | 24.54 | 28.75 | 7.4 | −1.24 | 0.44 | −0.39 | 0.64 |
| 1992, X8 | 32.30 | 23.17 | 27.74 | 9.0 | −1.90 | −0.93 | −1.40 | 2.24 |
| 1993, X9 | 33.02 | 23.29 | 28.16 | 20.1 | −1.18 | −0.81 | −0.98 | 13.34 |
| 1994, X10 | 33.60 | 24.79 | 29.19 | 1.7 | −0.61 | 0.69 | 0.05 | −5.06 |
| 1995, X11 | 33.40 | 23.15 | 28.28 | 10.4 | −0.79 | −0.95 | −0.86 | 3.64 |
| 1996, X12 | 34.11 | 23.29 | 28.70 | 5.3 | −0.09 | −0.81 | −0.44 | −1.46 |
| 1997, X13 | 34.03 | 23.15 | 28.59 | 23.4 | −0.17 | −0.95 | −0.55 | 16.64 |
| 1998, X14 | 35.43 | 23.99 | 29.71 | 2.9 | 1.23 | −0.11 | 0.57 | −3.86 |
| 1999, X15 | 35.15 | 24.03 | 29.59 | 13.8 | 0.95 | −0.07 | 0.45 | 7.04 |
| 2000, X16 | 34.52 | 23.49 | 29.01 | 13.6 | 0.32 | −0.61 | −0.14 | 6.84 |
| 2001, X17 | 35.05 | 23.70 | 29.38 | 2.4 | 0.85 | −0.40 | 0.24 | −4.36 |
| 2002, X18 | 34.52 | 23.89 | 29.21 | 8.1 | 0.32 | −0.21 | 0.07 | 1.34 |
| 2003, X19 | 34.13 | 24.14 | 29.13 | 1.7 | −0.07 | 0.04 | −0.01 | −5.06 |
| 2004, X20 | 34.67 | 23.93 | 29.30 | 9.3 | 0.47 | −0.17 | 0.16 | 2.54 |
| 2005, X21 | 34.58 | 24.63 | 29.60 | 3.2 | 0.38 | 0.53 | 0.46 | −3.56 |
| 2006, X22 | 34.77 | 24.49 | 29.63 | 6.5 | 0.57 | 0.39 | 0.49 | −0.26 |
| 2007, X23 | 34.65 | 24.36 | 29.51 | 2.9 | 0.45 | 0.26 | 0.37 | −3.86 |
| 2008, X24 | 34.81 | 24.04 | 29.43 | 0.0 | 0.61 | −0.06 | 0.29 | −6.76 |
| 2009, X25 | 34.69 | 24.44 | 29.56 | 0.7 | 0.49 | 0.34 | 0.42 | −6.06 |
| 2010, X26 | 35.97 | 25.84 | 30.90 | 21.6 | 1.77 | 1.74 | 1.76 | 14.84 |
| 2011, X27 | 34.65 | 23.77 | 29.21 | 1.3 | 0.45 | −0.33 | 0.07 | −5.46 |
| 2012, X28 | 35.33 | 24.47 | 29.90 | 2.5 | 1.13 | 0.37 | 0.76 | −4.26 |
| 2013, X29 | 35.20 | 24.75 | 29.97 | 0.2 | 1.00 | 0.65 | 0.59 | −6.56 |
| 2014, X30 | 34.68 | 25.13 | 29.90 | 6.1 | 0.48 | 1.03 | 0.76 | −0.66 |
| 2015, X31 | 34.51 | 24.86 | 29.68 | 5.0 | 0.31 | 0.76 | 0.54 | −1.76 |
| AV = | 34.20 | 24.10 | 29.15 | 6.76 | ||||
| (a) Areas in km2 | |||||
| Years | Bare Land | Shrub | Water | Mountain | |
| 1985 | 137,885.4 | 122,686.9 | 161,783.6 | 230,373.7 | |
| 1990 | 113,302.7 | 154,140.7 | 195,421.5 | 189,110.7 | |
| 1995 | 100,163.7 | 158,568.1 | 205,538.2 | 187,670.7 | |
| 2000 | 136,286.5 | 129,212.2 | 177,182.6 | 209,300.7 | |
| 2003 | 118,777.2 | 137,457.2 | 194,845.1 | 200,899.2 | |
| 2013 | 119,751.6 | 158,988.0 | 210,053.0 | 235,635.3 | |
| 2015 | 118,270.4 | 145,909.0 | 181,891.8 | 205,913.9 | |
| (b) Percentage changes of areas compared to the preceding years. | |||||
| Years | Bare land | Shrub | Water | Mountain | |
| 1990 | −17.83 | 25.64 | 20.79 | −17.91 | |
| 1995 | −11.60 | 2.87 | 5.18 | −0.76 | |
| 2000 | 36.06 | −18.51 | −13.80 | 11.53 | |
| 2003 | −12.85 | 6.38 | 9.97 | −4.01 | |
| 2013 | 0.82 | 15.66 | 7.81 | 17.29 | |
| 2015 | −1.24 | −8.23 | −13.41 | −12.61 | |
© 2020 by the authors. Licensee MDPI, Basel, Switzerland. This article is an open access article distributed under the terms and conditions of the Creative Commons Attribution (CC BY) license (http://creativecommons.org/licenses/by/4.0/).
Share and Cite
Loh, P.S.; Mohammed Alnoor, H.I.; He, S. Impact of Climate Change on Vegetation Cover at South Port Sudan Area. Climate 2020, 8, 114. https://doi.org/10.3390/cli8100114
Loh PS, Mohammed Alnoor HI, He S. Impact of Climate Change on Vegetation Cover at South Port Sudan Area. Climate. 2020; 8(10):114. https://doi.org/10.3390/cli8100114
Chicago/Turabian StyleLoh, Pei Sun, Hussien Ibrahim Mohammed Alnoor, and Shuangyan He. 2020. "Impact of Climate Change on Vegetation Cover at South Port Sudan Area" Climate 8, no. 10: 114. https://doi.org/10.3390/cli8100114
APA StyleLoh, P. S., Mohammed Alnoor, H. I., & He, S. (2020). Impact of Climate Change on Vegetation Cover at South Port Sudan Area. Climate, 8(10), 114. https://doi.org/10.3390/cli8100114

