Next Article in Journal
Opportunities for Green Energy through Emerging Crops: Biogas Valorization of Cannabis sativa L. Residues
Next Article in Special Issue
Economic and Ecological Impacts of Increased Drought Frequency in the Edwards Aquifer
Previous Article in Journal
Grapevine and Ozone: Uptake and Effects
Previous Article in Special Issue
Achieving Food Security in a Climate Change Environment: Considerations for Environmental Kuznets Curve Use in the South African Agricultural Sector
 
 
Font Type:
Arial Georgia Verdana
Font Size:
Aa Aa Aa
Line Spacing:
Column Width:
Background:
Article

Climate Change Impacts on Forest Management: A Case of Korean Oak Wilt

Korea Rural Economic Institute, Naju-si, Jeollanam-do 58321, Korea
*
Author to whom correspondence should be addressed.
Climate 2019, 7(12), 141; https://doi.org/10.3390/cli7120141
Submission received: 31 October 2019 / Revised: 10 December 2019 / Accepted: 10 December 2019 / Published: 12 December 2019

Abstract

Climate change is expected to affect the occurrence of forest pests. This study depicts a method to measure the impact of damage inflicted by a forest pest like oak wilt as a result of climate change. We determine the damage function considering the factors related to the pest damage and forecast the future damage rate under future climate change. We estimated the damage rate by using the quasi-maximum likelihood estimation (QMLE) and predicted the future damage rate by using representative concentration pathways (RCP) 8.5 data. We assessed the impact of pests on the management income and the rotation age by using a dynamic optimization model. The results show that the damage rate and the affected area from oak wilt would increase under the climate change. In addition, the economic evaluation indicates that altered climate would reduce the management returns and increase uncertainty. However, these outcomes could be alleviated by carrying out the control and prevention measures after the infection occurs.

1. Introduction

Climate change, such as an increase in temperature and drought, is expected to directly and indirectly affect the occurrence of pests. Economic losses caused by forest damage in Korea are expected to increase due to the future climate conditions and resulting pests. The insect vector of Korean oak wilt, Platypus koryoensis, has emerged since the 2000s. The changed domestic environmental conditions due to climate change made the damage done by the pests severe while the pests had not been a serious concern in the past [1].
Some previous studies examined the relationship between climate change and forest pests in terms of distribution, control, and forest management [2,3,4]. Other studies used climatic variables, such as seasonal temperature, precipitation, and humidity, as well as other variables such as tree volume, tree health, and pest populations to determine the damage function of forest pests [5,6,7].
Economic impacts on forest products or services need to consider the effect of time because the growing period is very long for wood. Dynamic optimization can be used to find the optimal rotation age for trees suggested by Faustmann [8] and further suggested by Hartman [9], considering wood as well as non-wood services. Macpherson et al. [10] generalized the Hartman model and showed that when the payout to non-timber value is considered, the rotation age could be shortened or extended relying on the distribution of the pathogenic pests. The result was contrary to the notion that the rotation age is generally believed to decrease when forest pests occur.
We expect to obtain the specific damage rate of forest pests by considering the interaction of host trees, pest occurrence, and climate factors, while the previous studies focused on the potential occurrence and habitat of the pests. Our damage function represents the complex mechanism of pest occurrences by dealing with both the direct and indirect factors that affect pest populations and pests affecting host trees, respectively. In addition, the model includes other factors, such as forest management and human population to assess the impact of human activities. There are few studies examining the economic impact of forest pests in terms of climate change in Korea. While some studies such as An et al. [11] conducted an economic assessment by assuming the damage rate, we use the directly derived damage rate to assess the economic impact. Previous research such as Haight et al. [12] assessed the economic damage from Ceratocystics fagacearum, a fungus that causes significant disease of oaks in the central United States using a landscape level model. In their study, the metric of damage is a removal cost. They predict that the discounted damage would be $18-60 million in Anoka County, Minnesota, over the next decade. However, the removal cost is on the lower bounds in total economic loss from the oak wilt because they do not consider the economic losses from reduced services [12]. Our study assesses the economic impact of pests on the management income and rotation age by using a dynamic optimization model. We consider not only the direct impact due to forest pests, such as revenue decrease, but also the revenue change according to managerial factors, such as control and prevention of pests. Lastly, we employ the concept of green payments to cover the indirect value of the environment to deduce a new strategic direction for pest control in forests.
In this paper, we assess the impact of forest pests on the management income and rotation age by using a dynamic optimization model under climate change. In particular, we determine the damage function considering the direct and indirect factors related to the pest damage and forecast the future damage rate under the future climate conditions. Moreover, we evaluate the economic impact of Korean oak wilt: how it changes future return, forest owners, and the optimal rotation age using a dynamic optimization model. We then conduct simulations that deduce the implications for effective pest management in the forest sector. Korean oak wilt is caused by the Raffaelea fungus by blocking the nutrient and moisture pathways [3]. Platypus koryoensis, a major insect vector of Korean oak wilt, appeared in the 1930s in Korea, but the damage from the Korean oak wilt began to surface in 2004 [13]. The mass damage of oak trees by Korean oak wilt was reported in Gyeonggi Province across a wide distribution of oak trees, and the outbreak had increased rapidly until 2008 [14]. There have been few studies that analyzed the cause of the sudden proliferation of Korean oak wilt. However, the damage in Japanese oak wilt appears mostly in the years with high temperature and low precipitation, so the relationship between the climate and the occurrence of the oak wilt should be paid attention to [14].
We suggest the proliferation factors of Korean oak wilt as the climatic and non-climatic factors by referring to the previous studies. The climatic factors play a direct role in the infection rate by changing the health of trees and the ecology of insect vectors. The non-climatic factors take part in the oak wilt resulting from the host preference of the insect vectors, human activities, and management factors.
The growth of insects, whose habitat was in the southern area of Korea, was promoted by the increasing temperature due to climate change in Korea. The increased temperature may have made the environment advantageous to the insect vector, and thus the damage began to appear [13].
The optimal temperature for growth of the Raffaelea fungus inflicting the oak wilt is reported as 25–30 °C [3]. Since the growth of thermophilic species is largely affected by a thermal threshold, their population can significantly decrease when larva is exposed to cold winter temperatures [15]. Experimental report shows that the thermal threshold of an adult flight is 5.8°C [13]. Trees with water stress is usually exposed to attacks by Platypus koryoensis because their main target is weak and withered trees [16]. Insect vectors inhabiting weak trees can even attack healthy trees if they are located in nearby areas [17].
The Korea National Park Research Institute (KNPRI) [18] assessed the contribution rate of climatic variables affecting the damage of Korean oak wilt from two national parks in Korea using the maximum entropy model. The results showed that maximum temperature, minimum temperature, and precipitation have high contribution rates, but the average temperature has a low contribution rate. The contribution of maximum temperature is higher than average temperature to the damage of oak wilt According to the research from KNPRI [3], Platypus koryoensis preferred to attack the trees with a high DBH. KNPRI collected the sample data from the national park and found that the vectors tend to attack the trees with a 30 cm or larger DBH. The KNPRI survey also confirmed that there is a positive relationship between the damage level and DBH of the trees.
The damage rate of Korean oak wilt also is related to artificial factors, such as the roads, trails, and distance from the village [18]. The experiment data collected from the Bukhansan National Park shows the population of Platypus koryoensis was high in the area with a high level of human activity, such as the parking lot and the trail road [18]. However, the author stressed that more detailed research is necessary to determine whether the reason is related to the vector’s ecological characteristics, such as a flight habit of Platypus koryoensis or the artificial shifting of damaged timber from human activity. In Chiaksan National Park, the damaged trees by Korean oak wilt were concentrated within 20 m of the trail road near Temple Sangwon, where many people frequently visited. They stressed the possibility of Platypus koryoensis being infected through the hiking trails in forests. Logging trees also could be a rapid incensement of population of pests [19].
The grass generated by trees attacked by insect vectors releases aggregation pheromone to cause proliferation of damage by group attack. Consequently, failing to manage the damaged trees properly can expand the damage to nearby healthy forests. The insect vectors tend to concentrate on attacking weak trees. Therefore, it is necessary to establish management measures to immediately dispose the withered trees and improve the health of all trees.

2. Materials and Methods

2.1. Pest Damage Function

To measure the damage from pest outbreaks, we used the damage function following the previous study [7]. The damage function of the Korean oak wilt reflecting the factors that affect the insect vectors, pathogens, and host trees can be expressed as follows:
D = f d ( Z , P ) , P = f p ( Z , V ) , Z = f z ( W ) ,
where
D = damage rate, Z = characteristics of hosts, P = population of insect vector
V, and W = exogenous variables.
The pest occurrence (damage) rate D can be represented as the function of the characteristics of the host (Z) and the pest population P. The pest population P is affected by the vector of characteristics of hosts Z and the exogenous variables V such as climatic factors. W is exogenous variables such as precipitation and management factors that affect the tree health. The simultaneous equation can be simplified to the following reduced form as in Cobourn et al. [7]:
D = g ( W , V ) .
The simplified model is the practical model since exogenous variables V and W are relatively easy to obtain. The possible bias of estimation using W instead of Z may be alleviated if we use a more appropriate explanatory variable W.
The damage rate D can be calculated by following equation:
= D a m a g e d   a r e a   ( h a ) T o t a l   b r o a d   l e a v e   f o r e s t   a r e a   ( h a ) ,      D = [ 0 , 1 ] .
The population of insect vectors P is assumed to be a function of the minimum winter temperature of a year ago, relative winter humidity of a year ago, maximum spring temperature, relative spring humidity, maximum summer temperature and its square term, maximum autumn temperature, relative fall humidity, human population, unsalvaged area of damaged tree areas, diameter at breast height (DBH), and dummy variable of the national forest.
We included the climatic variables that directly affect the population of insect vectors. Low minimum winter temperature of last year can cause a decrease in the population of adult beetles since the over-winter larvae tend to be killed under harsh winter conditions. The maximum spring, summer, and autumn temperatures in the current year can affect the flight period of adult beetles. Since the vector beetle is one of the Platypus species adapted to warm weather, we chose the maximum temperature, not average temperature, as the variable based on the study by KNPRI [18]. We included the relative humidity in consideration of the fungi that provide food for the larvae. The fungi proliferate more under the hot and humid conditions.
We included the municipality population to investigate the impacts of pest infestation through roads and human movement [20]. The population of the municipality thus can be the instrument variable of infrastructure, such as roads and human movement. The averaged DBH of the trees is included because the insect vectors prefer trees with a large diameter. We also include some management variables, such as the unsalvaged area of trees and national forests. Since the beetle tends to attack the damaged trees, damaged but not salvaged trees may attract more beetles than healthy ones [6]. We also included the national forest (NFi) as a dummy variable to study the difference of the damage rate according to the management factors. Since national forests are intensively cared for by the government in Korea, rather than private forests, this can be the instrument variable to investigate the impact of human effect on forest insect outbreaks.
The temperature and precipitation are closely related to the health of host trees. The trees are vulnerable to beetle attacks under hot and dry weather since the water stress deteriorates the resistance of host trees [15]. Therefore, we included the precipitation in winter in year t − 1 and precipitation in spring, summer, and autumn in year t in the variables. We also included the square term of summer temperature because domestic oak trees are a kind of forest that could be vulnerable under too high temperature.
The period of the data, t, was from 2011 to 2017, and a total of 1610 samples were obtained from 230 municipalities of i, nationwide. The forest-related data, including damaged area by the Korean oak wilt, DBH, and the unsalvaged area of trees in each municipality, were provided by the National Institute of Forest Science. The historical climate data and future climate scenario data of each municipality were obtained from the Climate Change Information Center. Spring is defined as March through May, summer as June through August, autumn as September through November, and winter as December through February in the following year.

2.2. Nonlinear Panel Probit Estimation

The dependent variable in the damage function is the proportional dependent variable that has the value between 0 and 1. Without reflecting the characteristics of the proportional dependent variable, the estimated coefficient can be biased. To reflect such characteristics of the proportional dependent variable, we can express
E ( y i t | x i t , c ) = Φ ( x i t β + c i ) ,     t = 1 , , T .
Here, the range of the pest damage rate is limited as 0 y i t 1 , and the dependent X i t is the 1 × k vector. Φ is expressed as the cumulative density function (CDF) of the standard normal distribution and c i is expressed as the effect between the unobserved cross-section observations. The equation can be expressed by the following equation if we assume exogeneity and the conditional normalized distribution of c i :
E ( y i t | x i ) Φ ( ψ + x i t β + x i ¯ ξ ) .
To estimate the equation, we can apply the generalized linear model (GLM) with quasi-likelihood estimation (QMLE) that uses the probit link function [21]. However, inefficiency can be generated since GLM tends to ignore the serial dependence that exists in the joint distribution.
The multivariate weighted nonlinear least square (MWNLS) is known to be ideal to estimate the panel data that has the serial dependence and heteroscedasticity. However, it is very difficult to estimate the parametric model to V a r ( y i | x i ) [21].
To supplement the weakness, Papke and Wooldridge [21] suggested using the quasi-maximum likelihood estimation (QMLE) instead of finding the parametric model. When correctly specified, MWNLS and QMLE become the asymptotically equivalent estimation. This study that has the panel data and proportional dependent variable utilized the QMLE that applied the probit link function and robust standard errors.
The below equation shows the conditional average of the pest damage rate of this study that has N municipalities ( i = 1 , , N ) and T years ( t = 1 , , T ).
E ( y i t | x i ) Φ ( ψ + x i t β + x i ¯ ξ ) .
Here, the variables y i t , x i t , and x i ¯ refer to the pest damage rate (dependent variable), climatic factors and non-climatic factors (explanatory variable), and the average of the panels of the explanatory variables, respectively. Since it is difficult to analyze the estimation coefficients of the nonlinear model estimated with QMLE, we should deduce the average marginal effect (AME) which means the change of the dependent variable affected by the change of a unit of the explanatory variable [21]. We can observe the effect of the change of a unit of the dependent variable on the pest damage rate using the AME:
A M E k = N 1 i = 1 N β k ^ ϕ ( ψ ^ + x i β ^ + x i ¯ ξ ^ ) .
Here, ϕ means the probability density function (PDF) for the standard normal distribution.

2.3. Projections of Korean Oak Wilt Climate Change

We used the representative concentration pathways (RCP) 8.5 data provided by the Korea Meteorological Administration (KMA) to forecast the future damage rate according to climate change in the Korean Peninsula. The forecast measured the dependent variable (damage rate) by applying the future weather data to the estimated coefficient. We assumed the non-climatic variables to be the same as in 2018 and created the future data through the assumption. The damage rates of the Korean oak wilt in each municipality in South Korea from 2018 to 2020 were calculated in the process.
We assumed that the population and the area of infected trees without control were the same as 2018. Although it may not be consistent with the declining population trend in Korea, this study focuses on the correlation between climate and oak wilt rather than the artificial factors such as the population. For the DBH, we applied the average DBH change rate with reference to the “Timber Biomass and Harvesting Table” published by NIFS [22]. In other words, we added the average DBH change rate every 10 years to the average DBH observed in 2018 to obtain the DBH change until 2100.

2.4. Economic Evaluation of Korean Oak Wilt

The following equation developed by Macpherson shows the objective function to assess the forest value that includes the timber and the non-timber incomes [10]:
max t P V ( t ) L e r t C L + 0 t G ( L ) e r s d s + t a L e r s d s ,
where the L is forest area, and G(L) implies the green payment that is assumed to be a function of the forest area. Then the optimal condition can be expressed as the following equation:
V ( t ) V ( t ) r = 1 L a L G ( L ) P V ( t ) .
We assume areas producing timber value affected by oak wilt outbreaks is expressed as L T B i , and the area generating non-timber value affected by oak wilt outbreaks is expressed as L N T B i . L N T B i can be divided into n small sections. Then the total area of producing timber value would be expressed as the following equation:
L N T B i = i = 1 n σ i x i ,      0 σ i 1 .
Therefore, the objective function including the timber and non-timber values can be expressed as follows:
max t P V ( t ) L T B i ( t ) e r t C L + 0 t G ( L N T B i ( s ) ) e r s d s + t a L e r s d s .
Since the green payment G ( L N T B i ( t ) ) is granted to the area that creates the non-timber value, the total green payment can be calculated by the following equation where g is the green payment per unit area. This represents the non-timber values from the forests.
G ( L N T B i ( t ) ) = g × L N T B i ( t ) .
Taking first differentiation to the above equation with respect to time (t), the condition for the optimal forest rotation age can be expressed as follows:
V ( t ) V ( t ) r = 1 L T B i ( t ) ( | d L T B i ( t ) d t | + 1 P V ( t ) ( a L e r t d d t ( 0 t G ( L N T B i ( s ) ) e r s d s ) ) ) .
Finally, if we include the control and prevention of oak wilt, the objective function can be expressed as the following. The purpose of the objective function is to find the optimal rotation age (t), which generates the best present value for the cost of the control and prevention to the oak wilt outbreaks. We assume the non-timber value is provided annually, and the timber values are generated during harvest.
max t P V ( t ) L T B c ( t ) e r t C L + 0 t [ G ( L N T B c ( s ) ) D ( I ( s ) ) ] e r s d s + t a L e r s d s .
The optimal condition can be expressed as follows:
V ( t ) V ( t ) r = 1 L T B c ( t ) ( | d L T B c ( t ) d t | + 1 P V ( t ) ( a L e r t d d t ( 0 t [ G ( L N T B c ( s ) ) D ( I ( s ) ) ] e r s d s ) ) ) .
When no action has been carried out in the infected area, the forest area can be separated into two classes: the susceptible region (S(t)) and the infected region (I(t)). That is, the total area L, the sum of S(t) and I(t). If the forest areas affecting timber and non-timber return ( L T B i and L N T B i ) are denoted as follows:
L T B i ( t ) = S ( t ) + ρ ( L S ( t ) ) ,
where (L-S(t)) in the right-hand side implies the infected area (I(t)). When the control and preventive measures are applied, timber areas can be separated into three classes: the susceptible area (S(t)), the controlled area (T(t)), and the infected area (I(t)). Thus, the area can be expressed as the following if control and prevention are included:
L T B c ( t ) = S ( t ) + ( α + ρ ) L S ( t ) 1 + α ,
L N T B c ( t ) = S ( t ) + ( α + σ ) L S ( t ) 1 + α ,
where the controlled area (T(t)) is assumed to be free from pest infestation or timber production and to be linearly proportional to the infected area ( T ( t ) = α I ( t ) ) with the control rate α .
The data needed for a numerical assessment using the above model involve timber production function, changes in the pest infestation area over time, annual land area, damage rates, costs for control and prevention, timber prices, and costs for logging and afforestation. Most of the data are publicly accessible, but the pest infection area over time can be gained by using the SI model (susceptible–infected model). The SI model for the no-action model can be denoted as follows:
d S d t = β S ( t ) ( I ( t ) + p ) , d I d t = β ( S ( t ) ( I ( t ) + p ) ,
with p referring to the initial infected area and β referring to the secondary infection rate within the forest. The total forest area (L) is expressed as the sum of S(t) and I(t) if no control measures to the oak wilt have been carried out, and the change of S(t) with respect to time is described as follows:
d S d t = β S ( t ) ( L S ( t ) + p ) .
Applying the variable separation method for the solution of the above differential equation, S(t) can be described as follows:
S ( t ) = L + p ( p / L ) e ( L + p ) β t + 1 .
In models for control and prevention (L is separated into S(t), T(t), and I(t)), changes in S(t) with respect to time are expressed as follows:
d S d t = β S ( t ) ( L S ( t ) 1 + α + p ) .
Similarly, S(t) yields the following equation by using the variable separation:
S ( t ) = L + p ( 1 + α ) p ( 1 + α ) L exp ( ( L + p ( 1 + α ) ) β t 1 + α ) + 1 .

3. Results

3.1. Estimated Damage Function

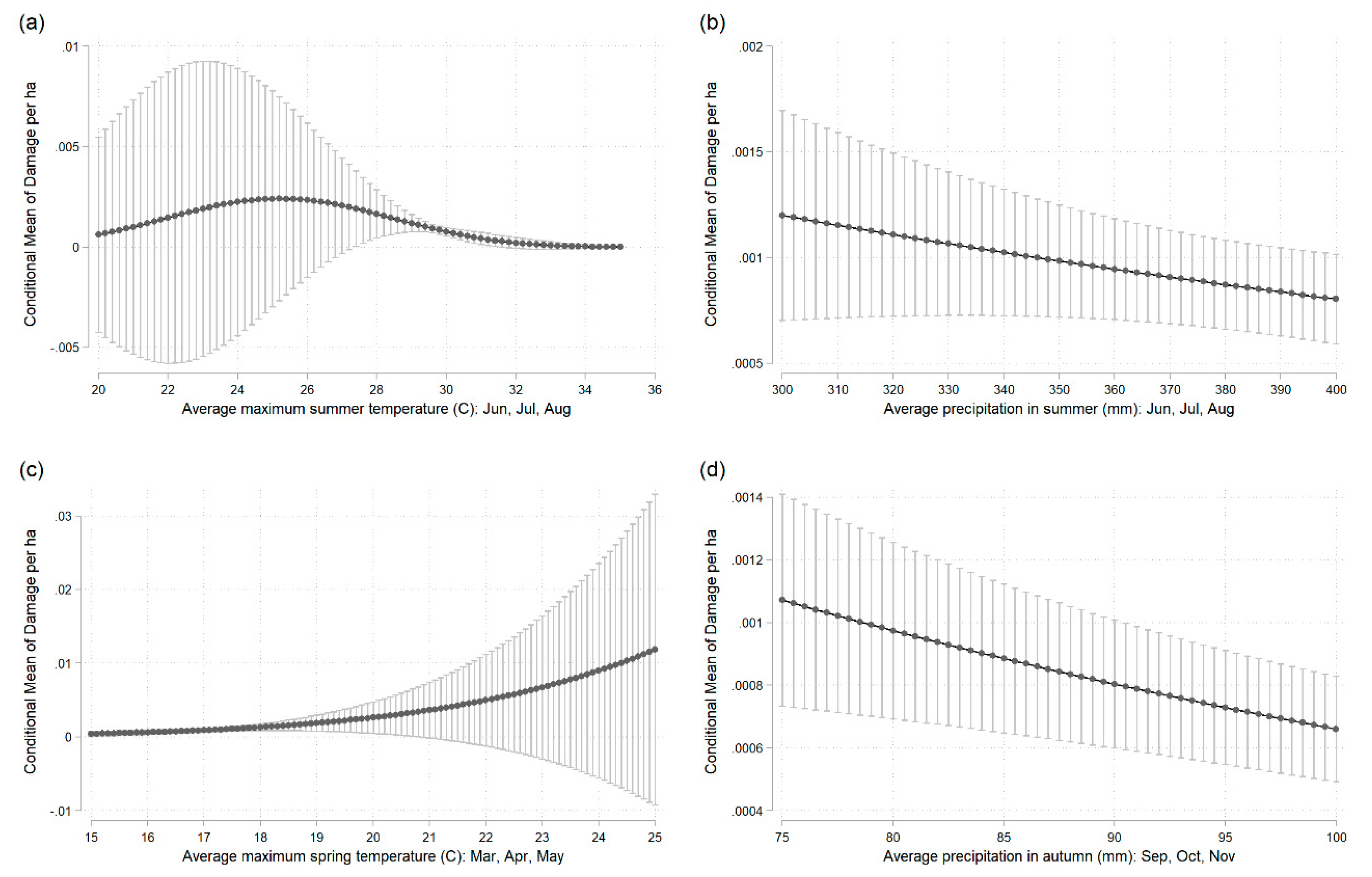
Table 1 shows the coefficients and average marginal effects of the factors on the damage rate of Korean oak wilt. The results show that the climatic factors are related to the proliferation of Korean oak wilt, including the minimum last winter temperature and precipitation, maximum spring temperature, maximum summer temperature and precipitation, and relative humidity in autumn. In general, increasing temperature is expected to extend the outbreak rate of the oak wilt. Because the relationship between the damage rate and the average marginal effect of the minimum winter temperature and maximum spring temperature is linear with a positive sign, the damage rate from the oak wilt is likely to extend by increasing the minimum winter temperature and maximum spring temperature on average. Although the marginal effects of the maximum summer temperature show a negative sign on average, its quadratic form leads to the marginal effect gradually decreasing at 27 °C or higher and approaching 0 at 35 °C or higher as in Figure 1.
Precipitation in general shows a negative relationship with the damage rate. Pertaining to the seasonal factors, the average precipitation in winter, summer, and autumn are statistically significant at the 1% and 10% levels, respectively. The decrease in precipitation affects moisture stress and reduces the resistance of the host trees, and thus it is prone to extend the damage due to the rapid proliferation of the oak wilt. Decreasing precipitation in the winter, autumn, and summer is likely to increase the damage rate from the oak wilt.
Previous studies have shown that increasing temperature leads to the increase in the active period of the insect vector because of the decreasing death rate of larvae and early eclosion of adults. These studies show that the proliferation of oak wilt is directly affected by the increased activity and population of the insect vector. Our estimation results are consistent with these studies in that the increasing temperature is likely to extend the damage rate and the high summer temperature could lead to a reduced infection rate thanks to slowed spawning or the migration of the insect vector.
Figure 1 shows the conditional mean of the damage rate per ha and the 95% confidence intervals pertaining to the level of some climatic variables. Increasing the confidence intervals indicates that the uncertainty is likely to increase as the maximum spring temperature increases and the precipitation in summer and autumn decreases. However, the uncertainty due to the large interval is not likely to be significant under the RCP 8.5 scenario predicting the 4 °C rise in temperature by 2100.
The non-climatic factors such as the infected area without control, diameter at breast height (DBH), and population are also significantly associated with the damage rate. The estimation results demonstrate the positive relationship between the damage rate and the infected area without control, DBH, and population. As the infected area without control increases, the damage to nearby healthy forests is proliferated because of the pheromone emitted by the insect vector of the infected trees that attracts the other insect vectors nearby. Gan [6] also showed the positive relationship between the damage rate and the infected trees without control. Thus, dealing with the infected trees properly is likely to alleviate the proliferation of the damage rate while neglecting them can worsen the damage rate.
The estimation result that the damage rate increases as DBH increases is consistent with the result of existing studies that the damage mostly occurs in large trees. In other words, the large trees are more likely to be attacked by Platypus koryoensis.
We employed the population as the proxy variable showing human activities and infrastructure such as roads. The results show that the population is positively associated with the damage rate. Previous studies have shown that the population of insect vectors in regions with roads and trails, with a high floating population, was larger than the areas difficult to access, such as forests.
The pest control in national forests is known to be better than that in the municipality or private sector, but the marginal effect of the national forest on the damage rate is not statistically significant. This may be because the unit of the panel is the municipalities and the large difference in the number of samples among the forests by owner type.

3.2. Projection Results

Figure 2 demonstrates the forecast of the damage rate from the Korean oak wilt under the RCP 8.5 scenario. For the period of 2011–2017, the Korean oak wilt occurs in Seoul and Gyeonggi Province that are the most populated areas in Korea. The affected areas are likely to be expanded to not only further north but also to the east and west coastal areas. From the 2050s, the affected areas are expected to gradually expand to South Gyeongsang Province, the coastal areas of Chungcheong regions, and some coastal areas of Gangwon Province are likely to be affected by the oak wilt in the 2090s. Although insect outbreak may be affected by biological factors, such as the natural enemies of pathogens and resources for insects, our model mostly focuses on impacts of climate and human intervention on Korean oak wilt outbreaks. Future research considering complicated biological characteristics may be conducted to improve the estimates of the projected damage rates.

3.3. Economic Evaluation of Korean Oak Wilt

To analyze the economic evaluation of Korean oak wilt, we utilized the forest harvest table of NIFS [22] and chose Quercus acutissima, Quercus variabilis, and Quercus mongolica. Table 2 illustrates the parameters for setting the baseline with p referring to the area initially infected and β referring to the secondary infection rate. The p per area (ha) was estimated to be 0.00087 by using the 2010 data of the infected areas. We calculated the β value using the equation d I / d t = β S ( t ) ( I ( t ) + p ) with the infected area (I(t)) and susceptible area (S(t)) data of the region in the 2012–2017 period, which results in 0.0017. We assumed that the infected area with possible use of timber (ρ) and the infected area with possible use of non-timber (σ) are 0.5, which indicates that the infected trees are assumed to lose half of their timber and non-timber value. We used age-specific volumes by using the surveyed data of tree age from the “Timber Biomass and Harvesting Table” published by NIFS [22] instead of the volume production function. Data for timber price (KRW 1000/m3), planting cost (KRW 1000/m3), and afforestation cost (KRW 1000/m3) were obtained from Min et al. [23]. We assumed that the oak wilt appears in 10 year or older trees due to the preference of the insect vector of oak wilt for large trees and that the trunk injection is targeted to trees over 10 cm in DBH, which are in general 15 to 20 years old.
Table 3 shows the forest rotation ages decrease when the trees are infected compared to the no infection case (44–70 years). Furthermore, the rotation age is likely to be shortened when the pest control and prevention is not carried out (33–44 years) than when the measure is carried out (41–59 years).
Under the given condition, it is difficult to expect positive returns through forest management because the present values of objective function are negative in every case. However, the objective function value is highest in the case of no infection, and the value is much higher in the case of the control measures than in the case of no control measures when the oak wilt occurs. It indicates that the cost of pest control and preventive measures are less than the cost of losing timber and non-timber values.

3.4. Simulation

We conducted a simulation on Quercus variabilis according to the parameter values and examined the impact of parameter changes from the baseline on the rotation age and the objective function value. We then deduced policy implications based on the simulation results.

3.4.1. Changes in the Market Price of Timber

The simulation results in Figure 3 show that as the timber market price increased (KRW 80,000–200,000/m3). The forest rotation age of Quercus variabilis is expected to reduce from 45 to 31 years when no infection occurs and from 33 to 28 years when no control is carried out after the infection occurs. The changes of the forest rotation age when the control measures are carried out are similar to the changes when no infection occurs, and the rotation age in the two cases are similar at the price of timber of KRW 180,000/m3 or higher.
Figure 3 also illustrates that forest management return reduces if pest infection occurs, but the value increases if the control measures are carried out and becomes close to the value of the case of no infection. The objective function value turns to a positive value when the price of timber is around KRW 160,000/m3 in all cases.

3.4.2. Changes in Green Payments

Assuming that the green payments are paid to the forest owners with the amount of KRW 100,000/ha, the simulation results in Figure 4 show the forest rotation age of 44, 33 (infection with no control), and 41 years (infection with control). Figure 4 illustrates that the forest rotation age and the forest management returns are expected to gradually increase as the amount of green payments increases. The forest owners are likely to have the incentive to preserve the trees and forests as the green payments become higher. The results also indicate the difference of rotation age between the cases of control and no control after the infection, in which the increasing green payments are far more significant in the increases in the rotation age and the management returns. In the case of no infection and infection with control measures, the forest management returns turn to positive value with the green payments of about KRW 300,000/ha.

3.4.3. Changes in Climate

Considering the estimation and projection results, the increasing damage rate due to climate change is expected to play a negative role in the economic returns in the forest as well. For the simulation, we estimated the economic impact of the adjustment of the β value corresponding to the outbreak rate under altering climate. We derived the forest rotation age and the forest management returns from timber and non-timber that satisfied the optimization condition by using the estimated β value as described above. Table 4 demonstrates the average of β of the Korean oak wilt for the 30-year periods.
In Figure 5, the forest rotation age reduces as β increases. Although the change of the returns is relatively small, the deviation increases significantly when there is no control measure (KRW 300 million) than when there are control measures (KRW 90 million) after the infection. In this case, income of forest owners can be stabilized with the control and prevention measures under the changes in climate.

3.4.4. Change in Utilization Rate of Infected Trees

Figure 6 shows the impacts of the utilization rate (ρ and σ) affecting the production of timber and non-timber on the rotation age and the forest management returns. We assumed that the ρ and σ values are the same as in the baseline. When the impact of the Korean oak wilt is high with small ρ and σ, the decrease of the returns with no control is higher than that with control measures. However, the return gap between the cases narrows as the utilization rate increases because a part of the damage from the Korean oak wilt can be offset by the high utilization rate.

4. Discussion

4.1. Estimation and Projections

The estimation result of the damage function of Korean oak wilt indicates that the damage rate is positively correlated with the minimum winter temperature, maximum spring temperature, and the linear term of the maximum summer temperature. In contrast, the damage rate is negatively correlated with the precipitation in winter, summer, and autumn, as well as the square term of the maximum summer temperature. It also indicates that the damage rate is likely to increase as temperature increases, but in exceedingly high summer temperature it is likely to begin to decrease
The non-climatic factors including the infected area without control, DBH, and population play a significant role in the damage rate from Korean oak wilt. The damage rate from Korean oak wilt extends as the area of infected trees without control increases, and when the diameter and population increase. The estimation results imply that the damage rate is more affected by indirect causes, such as the condition of host trees and managerial factors, than the insect vector population. Gan [6] also shows that management factors have a significant impact on forest pests. His research investigates the relationship between various factors, such as climate and management, as well as southern pine beetle (SPB) infestation using the panel data mode. He found a positive relationship between SPB and unsalvaged timber volume. Thus, improving the tree health through preventive measures can help prevent the Korean oak wilt
Projection results of the future damage rate indicate that the affected regions are likely to expand further north and to coastal areas in the east and the west while the current pest occurrence is concentrated on the capital and nearby regions. As in the case of Japan in which the Japanese oak wilt mainly expanded to the coastal areas, the damage in the coastal regions in Korea should be paid close attention to as well.

4.2. Economic Analysis

In the case of sustainable forests, there should be positive returns on forest management, which may be done with significant increases in timber price or payout for various values of forests. Under the current condition, however, it is difficult to expect a positive income even by considering both timber and non-timber values of forests. Our results show that it is better not to use the forest in terms of profit, and the profits are declined due to the Korean oak wilt infection. The economic evaluation results show the importance of pest control and prevention measures because the economic returns and rotation age deteriorates when there is not a control measure after the infection, even with increases in timber price, green payments, and utilization rate.
Under climate change, it is expected that the probability of Korean oak wilt infection would intensify the decreases in the management returns and the increases in the uncertainty. No control measures also exacerbate the income stability when the Korean oak wilt occurs. The forest rotation age shortens when the damage rate increases due to climate change. Previous research also shows rotation age is reduced when it maximizes the net present value of forest and trees are damaged by pests. Macpherson et al. [24] show that the rotation age is shortened when timber from infected trees has no value (only timber of undamaged trees would be sold) and the faster the infestation spreads the shorter the optimal rotation age. Increasing the risk of a catastrophic loss such as forest pest and fire shortens the optimal rotation age [25]. Reed [26], adapting the infinite rotation Faustmann formula to the arrival of fire, found that the risk of catastrophic event shortens the optimal rotation age due to increasing the effective discount rate. Therefore, the forest owners notice a higher opportunity cost of not harvesting.
Thus, active control and prevention measures with additional support for income stabilization would help prepare for increasing pest occurrence and keep forests sustainable. Our simulation results indicate that the impacts of economic support, such as green payments and increasing the timber price, would decline further in the future if the forest management returns decrease due to Korean oak wilt. Thus, the policy to stabilize and/or increase income of forest owners would be more effective when it is applied before the effects of climate change take place.

5. Conclusions

Climate change in the long run establishes the environmental circumstance favorable to pests that competently adapt to changing environments. As the favorable region for inhabitation expands, the damage is also expected to expand in new areas not previously affected by Korean oak wilt. New damages are expected on the west coast and the southern region of the east coast after the 2050s. Since Japanese oak wilt extended around the west coast in Japan in the 1990s, it is advisable to monitor the Korean oak wilt occurrence especially in the coastal areas in Korea. The predicted increase in winter temperature is expected to cause increasing damage in the cold and mountainous regions which were not affected by the damage before. The forest management returns would deteriorate if the infection of Korean oak wilt intensifies compared to when there was no oak wilt. Furthermore, this study demonstrates that the management returns worsen faster, especially in the case of no pest control after the infection. Thus, control and preventive measures are necessary to protect the income of forest owners. However, most of the Korean forest owners do not have the incentive to control forest pests because of the low economic efficiency of domestic forests. Therefore, it is necessary to provide an incentive for forest owners, such as the green payments, to actively participate in pest control and expand their role as the actual control subject. Since the estimation results show that moisture stress is one of the key factors in deteriorating tree health, it is necessary to pay attention to supplying water during the dry weather.

Author Contributions

Data curation, S.J.C.; methodology, H.A.; project administration, H.A.; software, S.J.C.; supervision, S.L.; writing—original draft, H.A. and S.L.; writing—review and editing, S.J.C.

Funding

This research was funded by Korea Rural Economic Institute (No. R840).

Acknowledgments

This research is a modified version of the report entitled “The Effects of Climate Change on Forest Insect Disturbance in South Korea—Challenges and Prospects” that was published by Korea Rural Economic Institute in 2018.

Conflicts of Interest

The authors declare no conflict of interest.

References

  1. Lee, S.-W.; Um, T.-W. Study on the Current State and Control of Oak Wilt Infected According to Climate Change. Proc. Korean Soc. Environ. Ecol. Con. 2014, 2014, 23–24. [Google Scholar]
  2. Sturrock, R.N.; Frankel, S.J.; Brown, A.V.; Hennon, P.E.; Kliejunas, J.T.; Lewis, K.J.; Worrall, J.J.; Woods, A.J. Climate change and forest diseases. Plant Pathol. 2011, 60, 133–149. [Google Scholar] [CrossRef]
  3. The Korea National Park Research Institute. Oak Wilt Disease Outbreak and Prediction in Bukhansan National Park; Korea National Park Service: Wonju-si, Korea, 2010.
  4. Lim, J.H.; Kwon, T.S.; Chun, J.W.; Park, G.E.; Choi, W.I.; Choi, H.T.; Kim, S.; Chul, C.; Shin Kyu, K.; Dong-wook, K.; et al. Forest Ecosystem Impact Assessment and Adaptation to Climate Change; National Institute of Forest Science: Seoul, Korea, 2015.
  5. Kroll, J.C.; Reeves, H.C. A Simple Model for Predicting Annual Numbers of Southern Pine Beetle Infestations in East Texas. South. J. Appl. For. 1978, 2, 62–64. [Google Scholar] [CrossRef]
  6. Gan, J. Risk and Damage of Southern Pine Beetle Outbreaks under Global Climate Change. For. Ecol. Manag. 2004, 191, 61–71. [Google Scholar] [CrossRef]
  7. Cobourn, K.M.; Burrack, H.J.; Goodhue, R.E.; Williams, J.C.; Zalom, F.G. Implications of simultaneity in a physical damage function. J. Environ. Econ. Manag. 2011, 62, 278–289. [Google Scholar] [CrossRef]
  8. Faustmann, M. Calculation of the Value Which Forest Land and Immature Stands Possess for Forestry. Allg. Forst Jagdztg. 1849, 15, 441–455. [Google Scholar]
  9. Hartman, R. The Harvesting Decision Whena Standing Forest Has Value. Econ. Inq. 1976, 14, 52–58. [Google Scholar] [CrossRef]
  10. Macpherson, M.F.; Kleczkowski, A.; Healey, J.R.; Hanley, N. Payment for multiple forest benefits alters the effect of tree disease on optimal forest rotation length. Ecol. Econ. 2017, 134, 82–94. [Google Scholar] [CrossRef] [PubMed]
  11. HyunJin, A.; Sung Ju, C.; Sera, O.; Jae Min, J. Economic Impacts of Invasive Pests under Climate Change: A Case of Lycorma delicatula. J. Korea Acad.-Ind. Coop. Soc. 2018, 19, 415–422. [Google Scholar]
  12. Haight, R.G.; Homans, F.R.; Horie, T.; Mehta, S.V.; Smith, D.J.; Venette, R.C. Assessing the cost of an invasive forest pathogen: A case study with oak wilt. Environ. Manag. 2011, 47, 506–517. [Google Scholar] [CrossRef] [PubMed]
  13. Nam, Y.; Koh, S.-H.; Won, D.-S.; Kim, J.-K.; Choi, W.I. An empirical predictive model for the flight period of Platypus koryoensis (Coleoptera: Platypodinae). Appl. Entomol. Zool. 2013, 48, 515–524. [Google Scholar] [CrossRef]
  14. Korea Forest Research Institute. Report of Monitoring for Forest Insect Pests and Diseases in Korea; Korea Forest Research Institute: Seoul, Korea, 2011.
  15. Bentz, B.J.; Régnière, J.; Fettig, C.J.; Hansen, E.M.; Hayes, J.L.; Hicke, J.A.; Kelsey, R.G.; Negrón, J.F.; Seybold, S.J. Climate Change and Bark Beetles of the Western United States and Canada: Direct and Indirect Effects. BioScience 2010, 60, 602–613. [Google Scholar] [CrossRef]
  16. Bentz, B.J.; Logan, J.A.; Amman, G.D. Temperature-Dependent Development of The Mountain Pine Beetle (Coleoptera: Scolytidae) and Simulation of Its Phenology. Can. Entomol. 1991, 123, 1083–1094. [Google Scholar] [CrossRef]
  17. Gaylord, M. Climate Change Impacts on Bark Beetle Outbreaks and the Impact of Outbreaks on Subsequent Fires; Ecological Restoration Institute and Southwest Fire Science Consortium, Northern Arizona University: Flagstaff, AZ, USA, 2014. [Google Scholar]
  18. The Korea National Park Research Institute. Spread Prediction Analysis of Oak Wilt Disease in Gyeryongsan National Park; Korea National Park Service: Wonju-si, Korea, 2012.
  19. Ciesla, W. Forest Entomology: A Global Perspective; John Wiley & Sons: Hoboken, NJ, USA, 2011; ISBN 978-1-4443-9788-8. [Google Scholar]
  20. Roques, A.; Zhao, L.; Sun, J.; Robinet, C. Pine wood nematode, pine wilt disease, vector beetle and pine tree: How a multiplayer system could reply to climate change. In Climate Change and Insect Pests; CABI Climate Change Series; CABI: New York, NY, USA, 2015; pp. 220–234. ISBN 978 1 84593635 8. [Google Scholar]
  21. Papke, L.E.; Wooldridge, J.M. Panel data methods for fractional response variables with an application to test pass rates. J. Econom. 2008, 145, 121–133. [Google Scholar] [CrossRef]
  22. National Institute of Forest Science Timber Resources, Biomass and Standing Forest (임목재적·바이오매스 및 임분수확표); Korea Forest Service: Daejeon, Korea, 2012; ISBN 978-89-8176-875-1.
  23. Min, K.; Seok, H.; Choi, J. Policy Tasks to Improve the Profitability of Forest Management in Korea; Korea Rural Economic Institute: Naju-si, Korea, 2018.
  24. Macpherson, M.F.; Kleczkowski, A.; Healey, J.R.; Hanley, N. The Effects of Disease on Optimal Forest Rotation: A Generalisable Analytical Framework. Env. Resour. Econ. 2018, 70, 565–588. [Google Scholar] [CrossRef] [PubMed]
  25. Amacher, G.; Ollikainen, M.; Koskela, E.A. Economics of Forest Resources, 1st ed.; The MIT Press: Cambridge, MA, USA, 2009; ISBN 978-0-262-01248-5. [Google Scholar]
  26. Reed, W.J. The effects of the risk of fire on the optimal rotation of a forest. J. Environ. Econ. Manag. 1984, 11, 180–190. [Google Scholar] [CrossRef]
Figure 1. Average marginal effect by major climatic variables. (a) Average maximum summer temperature; (b) average precipitation in summer; (c) average maximum spring temperature; (d) average precipitation in autumn.
Figure 1. Average marginal effect by major climatic variables. (a) Average maximum summer temperature; (b) average precipitation in summer; (c) average maximum spring temperature; (d) average precipitation in autumn.
Climate 07 00141 g001
Figure 2. Forecast of the damage rate from Korean oak wilt.
Figure 2. Forecast of the damage rate from Korean oak wilt.
Climate 07 00141 g002
Figure 3. Change in management returns of Quercus variabilis under the change of timber price.
Figure 3. Change in management returns of Quercus variabilis under the change of timber price.
Climate 07 00141 g003
Figure 4. Change in management returns of Quercus acutissima according to the green payment.
Figure 4. Change in management returns of Quercus acutissima according to the green payment.
Climate 07 00141 g004
Figure 5. Change of management returns under the change of Korean oak wilt outbreak rate (β).
Figure 5. Change of management returns under the change of Korean oak wilt outbreak rate (β).
Climate 07 00141 g005
Figure 6. Change of management returns of Quercus variabilis under the change of utilization rate (ρ, σ) of infected trees.
Figure 6. Change of management returns of Quercus variabilis under the change of utilization rate (ρ, σ) of infected trees.
Climate 07 00141 g006
Table 1. Estimation results of the Korean oak wilt damage function.
Table 1. Estimation results of the Korean oak wilt damage function.
Coef. AME
Infected area without control (ha)0.0118(0.0038)***0.000031(0.000011)***
Diameter (cm)0.0160(0.0047)***0.000042(0.000014)***
Population (million)2.6337(0.7739)***0.006906(0.002222)***
Minimum last winter temperature (°C)0.0814(0.0335)**0.000213(0.000089)**
Precipitation in last winter (mm)−0.0219(0.0042)***−0.000058(0.000014)***
Relative humidity in last winter (%)0.0076(0.0087) 0.000020(0.000023)
Maximum spring temperature (°C)0.1269(0.0534)**0.000333(0.000130)**
Relative humidity in spring (%)0.0003(0.0025) 0.000001(0.000007)
Precipitation in spring (mm)0.0003(0.0257) 0.000001(0.000067)
Maximum summer temperature (°C)0.9137(0.7711) −0.000382(0.000207)*
Max. summer temperature squared−0.0181(0.0131)
Precipitation in summer (mm)−0.0014(0.0008)*−0.000004(0.000002)*
Maximum autumn temperature (°C)0.0352(0.0562) 0.000092(0.000151)
Relative humidity in autumn (%)0.0098(0.0228) 0.000026(0.000061)
Precipitation in autumn (mm)−0.0066(0.0018)***−0.000017(0.000006)***
National forest (1 = Yes; 0 = No)0.0389(0.0901) 0.000105(0.000251)
Constant−26.8529(11.0424)**
Number of observations2512
Number of clusters314
Pseudo R20.2019
Log-likelihood−14.5147
Note: Clustered robust standard errors are in parentheses. *, **, *** indicate statistical significance at the levels of 10%, 5%, and 1%, respectively. Coef. and AME indicate coefficients and average marginal effects, respectively.
Table 2. Parameters for the forest rotation age analysis.
Table 2. Parameters for the forest rotation age analysis.
UnitQuercus acutissimaQuercus variabilisQuercus mongolica
Market price of timberKRW 1000/m383.583.583.5
Cost of plantingKRW 1000/ha833983398339
Cost of loggingKRW 1000/ha16,10916,10916,109
Green paymentKRW 1000/ha100100100
Discount rate%333
p 0.00087 × L0.00087 × L0.00087 × L
β 0.00170.00170.0017
ρ 0.50.50.5
σ 0.50.50.5
Cost of controlKRW 1000/ha980980980
Cost of handling withered treesKRW 1000/ha220022002200
Area (L)ha100100100
Table 3. Change in forest rotation age due to the infection of Korean oak wilt (units: years, KRW).
Table 3. Change in forest rotation age due to the infection of Korean oak wilt (units: years, KRW).
No InfestationInfestation, No ControlInfestation, Control
Rotation AgePresent ValueRotation AgePresent ValueRotation AgePresent Value
Quercus variabilis44−352,83033−462,16641−378,795
Quercus acutissima70−383,33244−658,35159−478,286
Quercus mongolica67−382,36436−575,85254−436,174
Table 4. Change of Korean oak wilt breakout rate (β).
Table 4. Change of Korean oak wilt breakout rate (β).
Period2011–20402041–20702071–100
β value0.00160.00230.0044

Share and Cite

MDPI and ACS Style

An, H.; Lee, S.; Cho, S.J. Climate Change Impacts on Forest Management: A Case of Korean Oak Wilt. Climate 2019, 7, 141. https://doi.org/10.3390/cli7120141

AMA Style

An H, Lee S, Cho SJ. Climate Change Impacts on Forest Management: A Case of Korean Oak Wilt. Climate. 2019; 7(12):141. https://doi.org/10.3390/cli7120141

Chicago/Turabian Style

An, Hyunjin, Sangmin Lee, and Sung Ju Cho. 2019. "Climate Change Impacts on Forest Management: A Case of Korean Oak Wilt" Climate 7, no. 12: 141. https://doi.org/10.3390/cli7120141

APA Style

An, H., Lee, S., & Cho, S. J. (2019). Climate Change Impacts on Forest Management: A Case of Korean Oak Wilt. Climate, 7(12), 141. https://doi.org/10.3390/cli7120141

Note that from the first issue of 2016, this journal uses article numbers instead of page numbers. See further details here.

Article Metrics

Back to TopTop