New Eudesmane-Type Sesquiterpene Glycosides from the Leaves of Aster koraiensis
Abstract
1. Introduction
2. Results and Discussion
2.1. Structure Elucidation of 1–7
2.2. Inhibitory Activities of the Isolates on LPS-Stimulated NO and PGE2 Production
3. Materials and Methods
3.1. Plant Material
3.2. General Experimental Procedures
3.3. Extraction and Isolation
3.3.1. (1R,5S,6R,7S,9S,10S)-1,6,9-trihydroxy-eudesm-3-ene-1,6-di-O-β-d-glucopyranoside (1)
3.3.2. 1R,9S,10S-1,9-Dihydroxy-eudesm-4,6-diene-1-O-β-d-glucopyranoside (1a)
3.3.3. 1R,9S,10R-1,9-Dihydroxy-eudesm-4,6-diene (1b)
3.3.4. (1R,5S,6S,7R,9S,10S)-1,6,9,11-tetrahydroxy-eudesm-3-ene-1,6-di-O-β-d-glucopyranoside (3)
3.3.5. (1R,5S,6R,7S,9S,10R)-O-(Z-p-coumaroyl)-1,6,9-Trihydroxy-eudesm-3-ene-6-O-β-d-glucopyranoside (6)
3.3.6. (1R,5S,6R,7S,9S,10R)-O-(E-feruloyl)-1,6,9-Trihydroxy-eudesm-3-ene-6-O-β-d-glucopyranoside (7)
3.4. Acidic and Enzymatic Hydrolysis of 1
3.5. Absolute Configurations of β-Glucose in 1
3.6. Computational Methods
3.7. Measurement of Cell Viability and NO Production
3.8. Measurement of PGE2
4. Conclusions
Supplementary Materials
Author Contributions
Funding
Conflicts of Interest
References
- Ahn, D.K. Illustrated Book of Korean Medicinal Herbs; Kyo-hak Publishing Co.: Seoul, Korea, 1998; p. 107. [Google Scholar]
- Kwon, J.H.; Kang, S.W.; Shen, S.S.; Park, C.S. Occurrence of stem rot of wild Aster (Aster koraiensis) caused by Sclerotium rolfsii in Korea. Mycobiology 2001, 29, 58–60. [Google Scholar] [CrossRef][Green Version]
- Jung, H.J.; Min, B.S.; Park, J.Y.; Kim, Y.H.; Lee, H.K.; Bae, K.H. Gymnasterkoreaynes A–F, Cytotoxic polyacetylenes from Gymnaster koraiensis. J. Nat. Prod. 2002, 65, 897–901. [Google Scholar] [CrossRef] [PubMed]
- Lee, I.K.; Kim, K.H.; Ryu, S.Y.; Choi, S.U.; Lee, K.R. Phytochemical constituents from the flowers of Gymnaster koraiensis and their cytotoxic activities in vitro. Bull. Korean Chem. Soc. 2010, 31, 227–229. [Google Scholar] [CrossRef][Green Version]
- Lee, T.G.; Hyun, S.W.; Lee, I.S.; Park, B.K.; Kim, J.S.; Kim, C.S. Antioxidant and α-glucosidase inhibitory activities of the extracts of Aster koraiensis leaves. Korean J. Med. Crop Sci. 2018, 26, 382–390. [Google Scholar]
- Kim, K.A.; Kang, K.D.; Lee, E.H.; Nho, C.W.; Jung, S.H. Edible wild vegetable, Gymnaster koraiensis protects retinal ganglion cells against oxidative stress. Food Chem. Toxicol. 2011, 49, 2131–2143. [Google Scholar] [CrossRef]
- Lee, J.Y.; Song, D.G.; Lee, E.H.; Jung, S.H.; Nho, C.W.; Cha, K.H.; Pan, C.H. Inhibitory effects of 3, 5−O−dicaffeoyl−epi−quinic acid from Gymnaster koraiensis on AKR1B10. J. Korean Soc. Appl. Biol. Chem. 2009, 52, 731–734. [Google Scholar] [CrossRef]
- Sohn, E.; Kim, J.; Kim, C.S.; Kim, Y.S.; Jang, D.S.; Kim, J.S. Extract of the aerial parts of Aster koraiensis reduced development of diabetic nephropathy via anti−apoptosis of podocytes in streptozotocin−induced diabetic rats. Biochem. Biophys. Res. Commun. 2010, 391, 733–738. [Google Scholar] [CrossRef]
- Kim, J.; Jo, K.; Lee, I.S.; Kim, C.S.; Kim, J.S. The extract of Aster koraiensis prevents retinal pericyte apoptosis in diabetic rats and its active compound, Chlorogenic acid inhibits AGE formation and AGE/RAGE interaction. Nutrients 2016, 8, 585. [Google Scholar] [CrossRef]
- Lee, S.B.; Kang, K.; Oidovsambuu, S.; Jho, E.H.; Yun, J.H.; Yoo, J.H.; Nho, C.W. A polyacetylene from Gymnaster koraiensis exerts hepatoprotective effects in vivo and in vitro. Food. Chem. Toxicol. 2010, 48, 3035–3041. [Google Scholar] [CrossRef]
- Dat, N.T.; Cai, X.F.; Shen, Q.; Im, S.L.; Lee, E.J.; Park, Y.K.; Kim, Y.H. Gymnasterkoreayne G, a new inhibitory polyacetylene against NFAT transcription factor from Gymnaster koraiensis. Chem. Pharm. Bull. 2005, 53, 1194–1196. [Google Scholar] [CrossRef]
- Jung, H.J.; Hung, T.M.; Na, M.K.; Min, B.S.; Kwon, B.M.; Bae, K.H. ACAT Inhibition of polyactylenes from Gymnaster koraiensis. Nat. Prod. Sci. 2009, 15, 110–113. [Google Scholar]
- Butler, S.M.; Wallig, M.A.; Nho, C.W.; Pan, C.H.; Lee, E.H.; Jung, S.H.; Jeffery, E.H. A polyacetylene−rich extract from Gymnaster koraiensis strongly inhibits colitis−associated colon cancer in mice. Food. Chem. Toxicol. 2013, 53, 235–239. [Google Scholar] [CrossRef] [PubMed]
- Park, J.Y.; Min, B.S.; Jung, H.J.; Kim, Y.H.; Lee, H.K.; Bae, K.H. Polyacetylene glycosides from Gymnaster koraiensis. Chem. Pharm. Bull. 2002, 50, 685–687. [Google Scholar] [CrossRef] [PubMed]
- Lee, I.K.; Kim, K.H.; Ryu, S.Y.; Lee, K.R. Two new sesquiterpene glucosides from Gymnaster koraiensis. Heterocycles 2009, 8, 2827–2835. [Google Scholar] [CrossRef]
- Lee, J.; Lee, Y.M.; Lee, B.W.; Kim, J.H.; Kim, J.S. Chemical constituents from the aerial parts of Aster koraiensis with protein glycation and aldose reductase inhibitory activities. J. Nat. Prod. 2012, 75, 267–270. [Google Scholar] [CrossRef] [PubMed]
- Nhoek, P.; Ahn, J.; Chae, H.S.; Pel, P.; Kim, Y.M.; Lee, S.E.; Lee, J.H.; Kim, J.; Choi, Y.H.; Lee, K.; et al. Isolation of polyacetylenes with proprotein convertase/kexin type 9 downregulating activity and two new sesquiterpenes from the aerial parts of Aster koraiensis. Tetrahedron Lett. 2020, 151957. [Google Scholar] [CrossRef]
- Kwon, J.; Ko, K.; Zhang, L.; Zhao, D.; Yang, H.O.; Kwon, H.C. An autophagy inducing triterpene saponin derived from Aster koraiensis. Molecules 2019, 24, 4489. [Google Scholar] [CrossRef]
- Dat, N.T.; Van Kiem, P.; Cai, X.F.; Shen, Q.; Bae, K.; Kim, Y.H. Gymnastone, a new benzofuran derivative from Gymnaster koraiensis. Arch. Pharm. Res. 2004, 27, 1106–1108. [Google Scholar] [CrossRef]
- Wu, Q.Z.; Zhao, D.X.; Xiang, J.; Zhang, M.; Zhang, C.F.; Xu, X.H. Antitussive, expectorant, and anti-inflammatory activities of four caffeoylquinic acids isolated from Tussilago farfara. Pharm. Biol. 2016, 54, 1117–1124. [Google Scholar] [CrossRef]
- Tanaka, T.; Tatsuya, N.; Toshihisa, U.; Kenji, T.; Isao, K. Facile discrimination of aldose enantiomers by reversed-phase HPLC. Chem. Pharm. Bull. 2007, 55, 899–901. [Google Scholar] [CrossRef]
- Kwon, J.; Lee, H.; Ko, W.; Kim, D.C.; Kim, K.W.; Kwon, H.C.; Guo, Y.; Sohn, J.H.; Yim, J.H.; Kim, Y.C. Chemical constituents isolated from Antarctic marine-derived Aspergillus sp. SF-5976 and their anti-inflammatory effects in LPS-stimulated RAW 264.7 and BV2 cells. Tetrahedron 2017, 73, 3905–3912. [Google Scholar] [CrossRef]
- Lee, J.S.; Jeong, M.; Park, S.; Ryu, S.M.; Lee, J.; Song, Z.; Guo, Y.; Choi, J.H.; Lee, D.; Jang, D.S. Chemical constituents of the leaves of butterbur (Petasites japonicus) and their anti-inflammatory effects. Biomolecules 2019, 9, 806. [Google Scholar] [CrossRef] [PubMed]
- Shin, J.S.; Lee, K.G.; Lee, H.H.; Lee, H.J.; An, H.J.; Nam, J.H.; Jang, D.S.; Lee, K.T. α−Solanine isolated from Solanum tuberosum, L. cv Jayoung abrogates LPS−induced inflammatory responses via NF−κB inactivation in RAW 264.7 macrophages and endotoxin−induced shock model in mice. J. Cell. Biochem. 2016, 117, 2327–2339. [Google Scholar] [CrossRef] [PubMed]

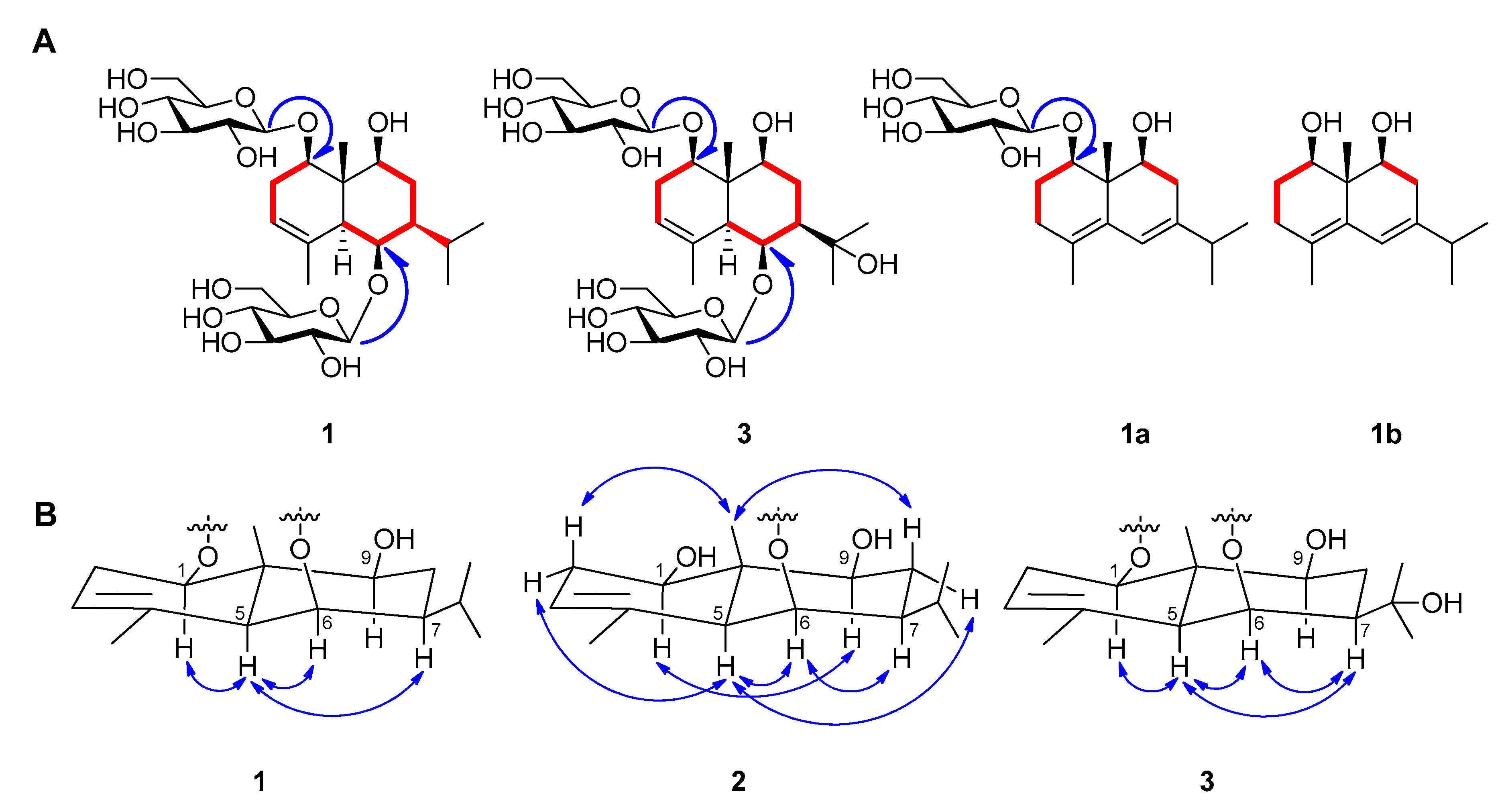
) correlations of 1, 3, 1a, and 1b (A). Key NOESY (
) correlations of 1, 2, and 3 (B).
) correlations of 1, 3, 1a, and 1b (A). Key NOESY (
) correlations of 1, 2, and 3 (B).

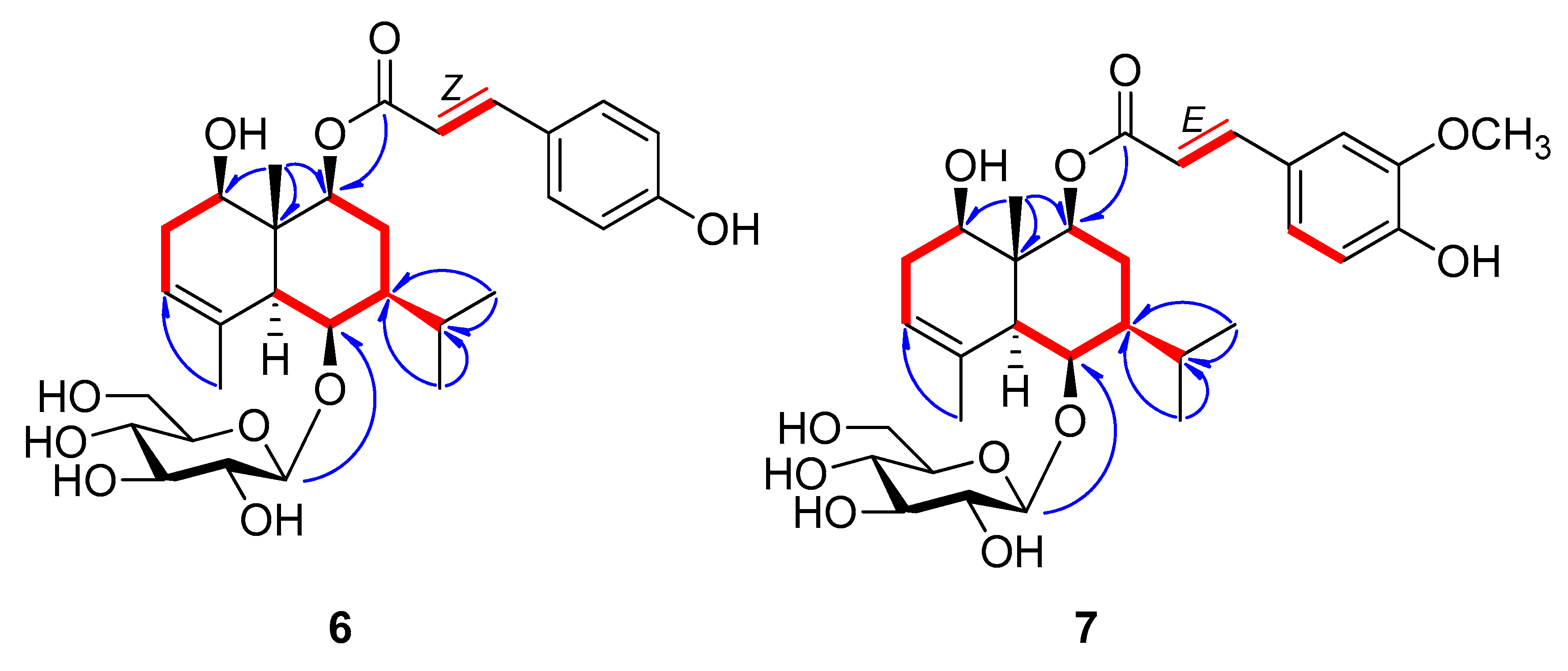
) correlations of 6 and 7.

| Position a | 1 | 3 | ||
|---|---|---|---|---|
| δH Multi (J in Hz) | δC | δH Multi (J in Hz) | δC | |
| 1 | 4.18 d (9.5) | 78.4 | 4.17 m | 79.4 |
| 2 | 2.06 m/2.25 td (13.0, 11.0) | 30.3 | 2.73 q (12.0)/2.21 m | 28.5 |
| 3 | 5.30 br s | 120.4 | 4.98 br s | 120.7 |
| 4 | - | 136.7 | - | 136.7 |
| 5 | 1.83 br s | 52.3 | 1.83 s | 52.3 |
| 6 | 4.64 m | 76.6 | 4.66 br s | 80.2 |
| 7 | 0.99 m | 51.7 | 1.37 s | 51.6 |
| 8 | 2.37 m/2.53 m | 29.4 | 2.48 m | 27.3 |
| 9 | 4.08 m | 80.2 | 4.16 m | 85.0 |
| 10 | - | 43.0 | - | 42.9 |
| 11 | 2.37 m | 29.0 | - | 72.6 |
| 12 | 0.85 d (6.5) | 21.9 | 1.58 s | 29.2 |
| 13 | 1.11 d (6.0) | 21.9 | 1.38 s | 29.5 |
| 14 | 1.64 s | 10.7 | 1.68 s | 10.9 |
| 15 | 2.10 s | 22.0 | 1.93 s | 22.4 |
| Glc-1’ | 4.92 d (8.0) | 104.6 | 4.87 d (8.0) | 105.5 |
| Glc-2’ | 3.96 t (8.5) | 76.2 | 3.97 dd (8.0, 8.0) | 75.7 |
| Glc-3’ | 4.10 m | 78.4 | 4.21–4.15 | 78.8 |
| Glc-4’ | 4.15 m | 72.1 | 4.01 dd (9.5) | 72.1 |
| Glc-5’ | 3.86 m | 77.4 | 3.82 | 77.6 |
| Glc-6’ | 4.31 t (6.0)/4.47 dd (11.5, 3.0) | 63.4 | 4.38 m/4.21–4.15 | 64.0 |
| Glc-1” | 4.99 d (8.0) | 102.1 | 4.99 d (8.0) | 102.2 |
| Glc-2” | 4.64 m | 75.4 | 3.90 dd (8.0, 8.0) | 75.5 |
| Glc-3” | 4.27 t (9.0) | 78.1 | 4.21–4.15 | 78.8 |
| Glc-4” | 4.14 t (4.0) | 71.6 | 4.10 m | 71.5 |
| Glc-5” | 4.18 d (9.5) | 86.4 | 4.21–4.15 | 79.3 |
| Glc-6” | 4.41 dd (12.0, 6.0)/4.64 m | 62.9 | 4.68 m/4.42 m | 63.4 |
| Position a | 6 | 7 | ||
|---|---|---|---|---|
| δH Multi (J in Hz) | δC | δH Multi (J in Hz) | δC | |
| 1 | 4.87 overlapped | 80.8 | 4.89 overlapped | 80.5 |
| 2 | 2.22 m/2.09 m | 29.6 | 2.25 m/2.09 m | 29.7 |
| 3 | 5.29 br s | 120.4 | 5.30 br s | 120.7 |
| 4 | 136.2 | 136.0 | ||
| 5 | 2.10 br s | 52.3 | 2.11 br s | 52.4 |
| 6 | 4.46 s | 76.0 | 4.47 s | 76.0 |
| 7 | 1.18 m | 51.5 | 1.18 m | 51.5 |
| 8 | 1.98 m | 29.1 | 1.93 m | 29.1 |
| 9 | 4.92 overlapped | 80.3 | 4.98 overlapped | 80.4 |
| 10 | 42.2 | 42.3 | ||
| 11 | 1.89 m | 29.0 | 1.98 m | 29.1 |
| 12 | 1.02 d (6.5) | 21.9 | 1.02 d (6.5) | 21.9 |
| 13 | 0.93 d (6.5) | 21.8 | 0.92 d (6.5) | 21.8 |
| 14 | 1.26 s | 11.8 | 1.37 s | 11.9 |
| 15 | 1.88 s | 22.0 | 1.87 s | 22.0 |
| Glc-1’ | 4.38 d (8.0) | 104.5 | 4.39 d (8.0) | 104.5 |
| Glc-2’ | 3.14 br t (8.5) | 76.2 | 3.16 br t (8.0) | 76.2 |
| Glc-3’ | 3.32 m | 78.5 | 3.32 m | 78.5 |
| Glc-4’ | 3.31 m | 72.1 | 3.31 m | 72.1 |
| Glc-5’ | 3.21 m | 77.5 | 3.21 m | 77.6 |
| Glc-6’ | 3.83 dd (11.5, 2.5)/3.68 dd(11.5, 5.5) | 63.3 | 3.83 dd (11.5, 2.5)/3.69 dd(11.5, 5.5) | 63.3 |
| 1” | 127.9 | 124.5 | ||
| 2” | 7.70 d (8.5) | 134.2 | 7.22 d (2.0) | 111.9 |
| 3” | 6.76 d (8.5) | 116.0 | 7.08 dd (8.5, 2.0) | 120.7 |
| 4” | 160.3 | 149.6 | ||
| 5” | 6.76 d (8.5) | 116.0 | 6.81 d(8.5) | 116.7 |
| 6” | 7.70 d (8.5) | 134.2 | 150.8 | |
| 7” | 6.89 d (12.5) | 145.7 | 7.61 d (16.0) | 147.0 |
| 8” | 5.80 d (12.5) | 117.7 | 6.38 d (16.0) | 116.7 |
| 9” | 167.8 | 168.8 | ||
| OCH3 | - | - | 3.91 s | 56.7 |
| Compound | Cell Viabilities (%) a | Inhibition Rate (%) a [IC50 (μM)] | |
|---|---|---|---|
| NO | PGE2 | ||
| 1 | 102.46 | 1.79 [>100] | 0 [>100] |
| 2 | 105.31 | 3.20 [>100] | 0 [>100] |
| 3 | 94.03 | 4.66 [>100] | 10.48 [>100] |
| 4 | 102.18 | 1.31 [>100] | 6.15 [>100] |
| 5 | 103.83 | 8.39 [>100] | 0 [>100] |
| 6 | 107.78 | 7.01 [>100] | 2.16 [>100] |
| 7 | 89.35 | 53.12 [95.7] | 41.26 [111.6] |
| 8 | 93.38 | 6.25 [>100] | 1.27 [>100] |
| 9 | 100.41 | 4.64 [>100] | 20.42 [>100] |
Publisher’s Note: MDPI stays neutral with regard to jurisdictional claims in published maps and institutional affiliations. |
© 2020 by the authors. Licensee MDPI, Basel, Switzerland. This article is an open access article distributed under the terms and conditions of the Creative Commons Attribution (CC BY) license (http://creativecommons.org/licenses/by/4.0/).
Share and Cite
Kim, J.-Y.; Seo, Y.H.; Lee, I.-H.; Choi, H.Y.; Kwon, H.C.; Choi, J.-H.; Lee, J.; Jang, D.S. New Eudesmane-Type Sesquiterpene Glycosides from the Leaves of Aster koraiensis. Plants 2020, 9, 1811. https://doi.org/10.3390/plants9121811
Kim J-Y, Seo YH, Lee I-H, Choi HY, Kwon HC, Choi J-H, Lee J, Jang DS. New Eudesmane-Type Sesquiterpene Glycosides from the Leaves of Aster koraiensis. Plants. 2020; 9(12):1811. https://doi.org/10.3390/plants9121811
Chicago/Turabian StyleKim, Ji-Young, Young Hye Seo, Im-Ho Lee, He Yun Choi, Hak Cheol Kwon, Jung-Hye Choi, Jun Lee, and Dae Sik Jang. 2020. "New Eudesmane-Type Sesquiterpene Glycosides from the Leaves of Aster koraiensis" Plants 9, no. 12: 1811. https://doi.org/10.3390/plants9121811
APA StyleKim, J.-Y., Seo, Y. H., Lee, I.-H., Choi, H. Y., Kwon, H. C., Choi, J.-H., Lee, J., & Jang, D. S. (2020). New Eudesmane-Type Sesquiterpene Glycosides from the Leaves of Aster koraiensis. Plants, 9(12), 1811. https://doi.org/10.3390/plants9121811

