Influence of PGPB Inoculation on HSP70 and HMA3 Gene Expression in Switchgrass under Cadmium Stress
Abstract
1. Introduction
2. Results
2.1. Biomass of the PGPB-Inoculated Plants with and without Cd Stress
2.2. Determination of Cd Concentrations inside Plant Tissues
2.3. Concentrations of IAA in Plants Determined through HPLC
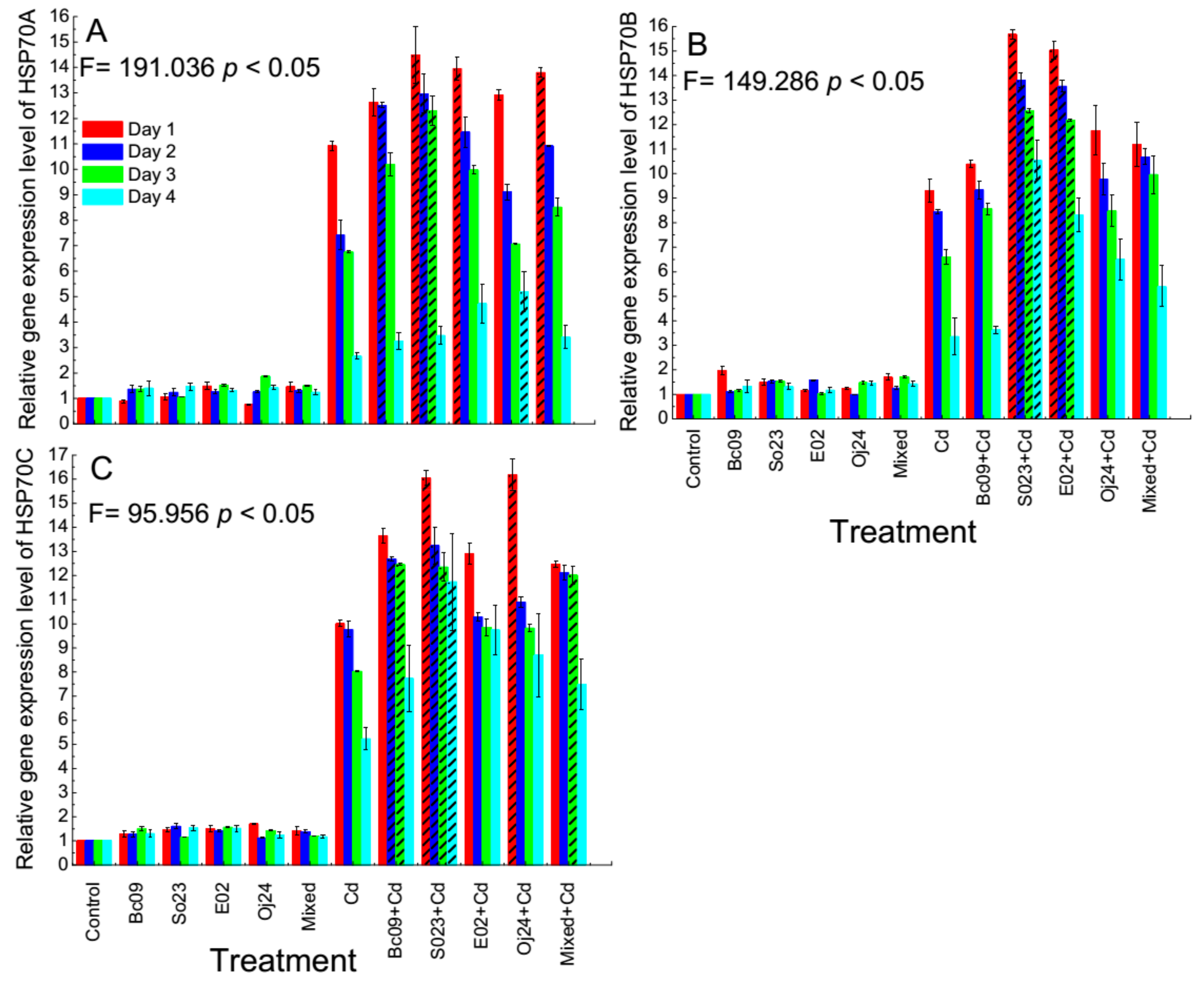
2.4. Expression of the HSP70 Gene in PGPB-Inoculated and Noninoculated Switchgrass
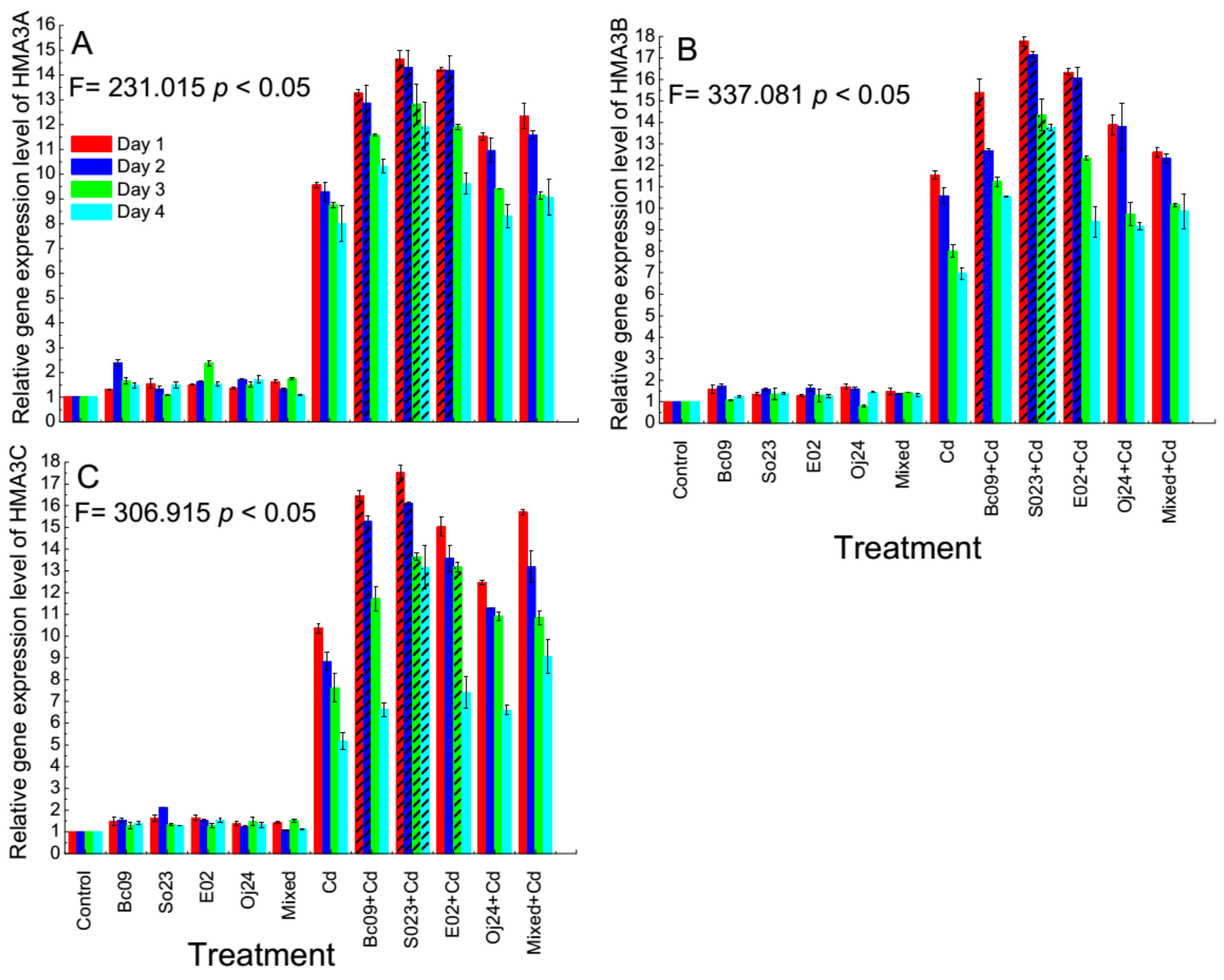
2.5. Expression of HMA3 Gene in PGPB-Inoculated and Noninoculated Switchgrass
2.6. PCA to Evaluate the Correlation between Plant Growth Parameters, Cd Concentrations, TF, IAA Concentrations, and HSP70 and HMA3 Gene Expression Level
3. Discussion
4. Materials and Methods
4.1. Plant Cultivation, Harvest, Measurement of Biomass and Determination Cd Concentrations
4.2. Determination of IAA through HPLC
4.3. Gene Expression of HSP70 and HMA3 in PGPB-Inoculated and Noninoculated Switchgrass
4.3.1. Total RNA Extraction
4.3.2. Reverse Transcriptional Polymerase Reaction (RT-PCR)
4.3.3. Quantitative Real-time PCR (qRT-PCR)
4.4. PCA to Evaluate the Correlation between Plant Growth Parameters, Cd Concentrations, TFs, IAA Concentration, and HSP70 and HMA3 Gene Expression Levels
4.5. Statistical Analyses
5. Conclusions
Author Contributions
Funding
Acknowledgments
Conflicts of Interest
References
- Cvjetko, P.; Zovko, M.; Balen, B. Proteomics of heavy metal toxicity in plants. Arh. Hig. Rada. Toksikol. 2014, 65, 1–18. [Google Scholar] [CrossRef] [PubMed]
- Zhang, J.; Martinoia, E.; Lee, Y. Vacuolar Transporters for Cadmium and Arsenic in Plants and their Applications in Phytoremediation and Crop Development. Plant Cell Physiol. 2018, 59, 1317–1325. [Google Scholar] [CrossRef] [PubMed]
- Wang, C.; Guo, W.; Cai, X.; Li, R.; Ow, D.W. Engineering low-cadmium rice through stress-inducible expression of OXS3-family member genes. New Biotechnol. 2019, 48, 29–34. [Google Scholar] [CrossRef] [PubMed]
- Al Mahmud, J.; Hasanuzzaman, M.; Nahar, K.; Bhuyan, M.B.; Fujita, M. Insights into citric acid-induced cadmium tolerance and phytoremediation in Brassica juncea L.: Coordinated functions of metal chelation, antioxidant defense and glyoxalase systems. Ecotox. Environ. Safe. 2018, 147, 990–1001. [Google Scholar] [CrossRef] [PubMed]
- Clemens, S. Molecular mechanisms of plant metal tolerance and homeostasis. Planta 2001, 212, 475–486. [Google Scholar] [CrossRef] [PubMed]
- Hossain, Z.; Komatsu, S. Contribution of proteomic studies towards understanding plant heavy metal stress response. Front. Plant Sci. 2013, 3, 310. [Google Scholar] [CrossRef]
- Sørensen, J.G.; Kristensen, T.N.; Loeschcke, V. The evolutionary and ecological role of heat shock proteins. Ecol. Lett. 2003, 6, 1025–1037. [Google Scholar] [CrossRef]
- Hasan, M.K.; Cheng, Y.; Kanwar, M.K.; Chu, X.-Y.; Ahammed, G.J.; Qi, Z.-Y. Responses of Plant Proteins to Heavy Metal Stress—A Review. Front. Plant Sci. 2017, 8. [Google Scholar] [CrossRef]
- Chen, B.; Feder, M.E.; Kang, L. Evolution of heat-shock protein expression underlying adaptive responses to environmental stress. Mol. Ecol. 2018, 27, 3040–3054. [Google Scholar] [CrossRef]
- Kieffer, P.; Planchon, S.; Oufir, M.; Ziebel, J.; Dommes, J.; Hoffmann, L.; Hausman, J.-F.; Renaut, J. Combining proteomics and metabolite analyses to unravel cadmium stress-response in poplar leaves. J. Proteome Res. 2008, 8, 400–417. [Google Scholar] [CrossRef]
- Stout, R.G.; Al-Niemi, T.S. Heat-tolerant Flowering Plants of Active Geothermal Areas in Yellowstone National Park. Ann. Bot. 2002, 90, 259–267. [Google Scholar] [CrossRef] [PubMed]
- Amm, I.; Sommer, T.; Wolf, D.H. Protein quality control and elimination of protein waste: The role of the ubiquitin–proteasome system. BBA Mol. Cell Res. 2014, 1843, 182–196. [Google Scholar] [CrossRef] [PubMed]
- Gupta, S.C.; Sharma, A.; Mishra, M.; Mishra, R.K.; Chowdhuri, D.K. Heat shock proteins in toxicology: How close and how far? Life Sci. 2010, 86, 377–384. [Google Scholar] [CrossRef] [PubMed]
- Wang, W.; Vinocur, B.; Shoseyov, O.; Altman, A. Role of plant heat-shock proteins and molecular chaperones in the abiotic stress response. Trends Plant Sci. 2004, 9, 244–252. [Google Scholar] [CrossRef] [PubMed]
- Park, C.J.; Seo, Y.S. Heat shock proteins: A review of the molecular chaperones for plant immunity. Plant Pathol. J. 2015, 31, 323. [Google Scholar] [CrossRef]
- Song, G.; Yuan, S.; Wen, X.; Xie, Z.; Lou, L.; Hu, B.; Cai, Q.; Xu, B. Transcriptome analysis of Cd-treated switchgrass root revealed novel transcripts and the importance of HSF/HSP network in switchgrass Cd tolerance. Plant Cell Rep. 2018, 37, 1485–1497. [Google Scholar] [CrossRef]
- Shao, J.F.; Xia, J.; Yamaji, N.; Shen, R.F.; Ma, J.F. Effective reduction of cadmium accumulation in rice grain by expressing OsHMA3 under the control of the OsHMA2 promoter. J. Exp. Bot. 2018, 69, 2743–2752. [Google Scholar] [CrossRef]
- Sasaki, A.; Yamaji, N.; Ma, J.F. Overexpression of OsHMA3 enhances Cd tolerance and expression of Zn transporter genes in rice. J. Exp. Bot. 2014, 65, 6013–6021. [Google Scholar] [CrossRef]
- Ueno, D.; Yamaji, N.; Kono, I.; Huang, C.F.; Ando, T.; Yano, M.; Ma, J.F. Gene limiting cadmium accumulation in rice. Proc. Natl. Acad. Sci. USA 2010, 107, 16500–16505. [Google Scholar] [CrossRef]
- Santoyo, G.; Moreno-Hagelsieb, G.; del Carmen Orozco-Mosqueda, M.; Glick, B.R. Plant growth-promoting bacterial endophytes. Microbiol. Res. 2016, 183, 92–99. [Google Scholar] [CrossRef]
- Ibort, P.; Imai, H.; Uemura, M.; Aroca, R. Proteomic analysis reveals that tomato interaction with plant growth promoting bacteria is highly determined by ethylene perception. J. Plant Physiol. 2018, 220, 43–59. [Google Scholar] [CrossRef]
- Hussain, S.S.; Mehnaz, S.; Siddique, K.H.M. Harnessing the Plant Microbiome for Improved Abiotic Stress Tolerance. In Plant Microbiome: Stress Response; Egamberdieva, D., Ahmad, P., Eds.; Springer: Singapore, 2018. [Google Scholar]
- Zanetti, F.; Zegada-Lizarazu, W.; Lambertini, C.; Monti, A. Salinity effects on germination, seedlings and full-grown plants of upland and lowland switchgrass cultivars. Biomass Bioenerg. 2019, 120, 273–280. [Google Scholar] [CrossRef]
- Emery, S.M.; Kinnetz, E.R.; Bell-Dereske, L.; Stahlheber, K.A.; Gross, K.L.; Pennington, D. Low variation in arbuscular mycorrhizal fungal associations and effects on biomass among switchgrass cultivars. Biomass Bioenerg. 2018, 119, 503–508. [Google Scholar] [CrossRef]
- Esmaeel, Q.; Miotto, L.; Rondeau, M.; Leclère, V.; Clément, C.; Jacquard, C.; Sanchez, L.; Barka, E.A. Paraburkholderia phytofirmans PsJN-Plants Interaction: From Perception to the Induced Mechanisms. Front. Microbiol. 2018, 9, 2093. [Google Scholar] [CrossRef] [PubMed]
- Afzal, S.; Begum, N.; Zhao, H.; Fang, Z.; Lou, L.; Cai, Q. Influence of endophytic root bacteria on the growth cadmium tolerance and uptake of switchgrass (Panicum virgatum L.). J. Appl. Microbiol. 2017, 123, 498–510. [Google Scholar] [CrossRef] [PubMed]
- Begum, N.; Afzal, S.; Zhao, H.; Lou, L.; Cai, Q. Shoot endophytic plant growth-promoting bacteria reduce cadmium toxicity and enhance switchgrass (Panicum virgatum L.) biomass. Acta Physiol. Plant. 2018, 40, 170. [Google Scholar] [CrossRef]
- Govindasamy, V.; George, P.; Raina, S.K.; Kumar, M.; Rane, J.; Annapurna, K. Plant-Associated Microbial Interactions in the Soil Environment: Role of Endophytes in Imparting Abiotic Stress Tolerance to Crops. In Advances in Crop Environment Interaction; Bal, S.K., Mukherjee, J., Choudhury, B.U., Dhawan, A.K., Eds.; Springer Singapore: Singapore, 2018. [Google Scholar]
- Estenson, K.; Hurst, G.B.; Standaert, R.F.; Bible, A.N.; Garcia, D.; Chourey, K.; Doktycz, M.J.; Morrell-Falvey, J.L. Characterization of Indole-3-acetic Acid Biosynthesis and the Effects of This Phytohormone on the Proteome of the Plant-Associated Microbe Pantoea sp. YR343. J. Proteome Res. 2018, 17, 1361–1374. [Google Scholar] [CrossRef] [PubMed]
- Broek, A.V.; Gysegom, P.; Ona, O.; Hendrickx, N.; Prinsen, E.; Van Impe, J.; Vanderleyden, J. Transcriptional analysis of the Azospirillum brasilense indole-3-pyruvate decarboxylase gene and identification of a cis-acting sequence involved in auxin responsive expression. Mol. Plant Microbe Interact. 2005, 18, 311–323. [Google Scholar] [CrossRef]
- Kulkarni, G.; Nayak, A.; Sajjan, S.; Oblesha, A.; Karegoudar, T. Indole-3-acetic acid biosynthetic pathway and aromatic amino acid aminotransferase activities in Pantoea dispersa strain GPK. Lett. Appl. Microbiol. 2013, 56, 340–347. [Google Scholar] [CrossRef]
- Patten, C.L.; Glick, B.R. Role of Pseudomonas putida indoleacetic acid in development of the host plant root system. Appl. Environ. Microbiol. 2002, 68, 3795–3801. [Google Scholar] [CrossRef]
- Ryu, R.J.; Patten, C.L. Aromatic amino acid-dependent expression of indole-3-pyruvate decarboxylase is regulated by TyrR in Enterobacter cloacae UW5. J. Bacteriol. 2008, 190, 7200–7208. [Google Scholar] [CrossRef] [PubMed]
- Sergeeva, E.; Hirkala, D.L.M.; Nelson, L.M. Production of indole-3-acetic acid, aromatic amino acid aminotransferase activities and plant growth promotion by Pantoea agglomerans rhizosphere isolates. Plant Soil 2007, 297, 1–13. [Google Scholar] [CrossRef]
- Liu, Y.; Yang, Y.; Li, C.; Ni, X.; Ma, W.; Wei, H. Assessing Soil Metal Levels in an Industrial Environment of Northwestern China and the Phytoremediation Potential of Its Native Plants. Sustainability 2018, 10, 2686. [Google Scholar] [CrossRef]
- Pachura, P.; Ociepa-Kubicka, A.; Skowron-Grabowska, B. Assessment of the availability of heavy metals to plants based on the translocation index and the bioaccumulation factor. Desalin. Water Treat. 2016, 57, 1469–1477. [Google Scholar] [CrossRef]
- Liu, C.; Lou, L.; Deng, J.; Li, D.; Yuan, S.; Cai, Q. Morph-physiological responses of two switchgrass (Panicum virgatum L.) cultivars to cadmium stress. Grassl. Sci. 2016, 62, 92–101. [Google Scholar] [CrossRef]
- Wang, Z.; Liu, X.; Qin, H. Bioconcentration and translocation of heavy metals in the soil-plants system in Machangqing copper mine, Yunnan Province, China. J. Geochemic. Explor. 2019, 200, 159–166. [Google Scholar] [CrossRef]
- Guo, Q.; Meng, L.; Humphreys, M.W.; Scullion, J.; Mur, L.A.J. Expression of FlHMA3, a P1B2-ATPase from Festulolium loliaceum, correlates with response to cadmium stress. Plant Physiol. Biochem. 2017, 112, 270–277. [Google Scholar] [CrossRef]
- Luo, H.; Sun, X.; Li, Z. Negative Regulator of the Abiotic Stress Response. Google Patents US2015/0337327A1, 26 November 2015. [Google Scholar]
- Fukami, J.; de la Osa, C.; Ollero, F.J.; Megías, M.; Hungria, M. Co-inoculation of maize with Azospirillum brasilense and Rhizobium tropici as a strategy to mitigate salinity stress. Funct. Plant Biol. 2018, 45, 328–339. [Google Scholar] [CrossRef]
- Song, J.; Weng, Q.; Ma, H.; Yuan, J.; Wang, L.; Liu, Y. Cloning and expression analysis of the Hsp70 gene ZmERD2 in Zea mays. Biotechnol. Biotech. Equip. 2016, 30, 219–226. [Google Scholar] [CrossRef]
- Liu, J.; Pang, X.; Cheng, Y.; Yin, Y.; Zhang, Q.; Su, W.; Hu, B.; Guo, Q.; Ha, S.; Zhang, J.; et al. The Hsp70 Gene Family in Solanum tuberosum: Genome-Wide Identification, Phylogeny, and Expression Patterns. Sci. Rep. 2018, 8, 16628. [Google Scholar] [CrossRef]
- Wang, K.; Zhang, X.; Goatley, M.; Ervin, E. Heat shock proteins in relation to heat stress tolerance of creeping bentgrass at different N levels. PLoS ONE 2014, 9, e102914. [Google Scholar] [CrossRef] [PubMed]
- Asea, A.A.; Kaur, P.; Calderwood, S.K. (Eds.) Heat Shock Proteins and Plants; Springer: Berlin/Heidelberg, Germany, 2016; p. 341. [Google Scholar]
- Esposito, S.; Loppi, S.; Monaci, F.; Paoli, L.; Vannini, A.; Sorbo, S.; Maresca, V.; Fusaro, L.; Lentini, M.; De Lillo, A. In-field and in-vitro study of the moss Leptodictyum riparium as bioindicator of toxic metal pollution in the aquatic environment: Ultrastructural damage, oxidative stress and HSP70 induction. PLoS ONE 2018, 13, e0195717. [Google Scholar] [CrossRef] [PubMed]
- Yu, X.Z.; Fan, W.J.; Lin, Y.J. Analysis of gene expression profiles for metal tolerance protein in rice seedlings exposed to both the toxic hexavalent chromium and trivalent chromium. Int. Biodeterior. Biodegrad. 2018, 129, 102–108. [Google Scholar] [CrossRef]
- Rodríguez-Celma, J.; Rellán-Álvarez, R.; Abadía, A.; Abadía, J.; López-Millán, A.F. Changes induced by two levels of cadmium toxicity in the 2-DE protein profile of tomato roots. J. Proteom. 2010, 73, 1694–1706. [Google Scholar] [CrossRef]
- Kieffer, P.; Dommes, J.; Hoffmann, L.; Hausman, J.F.; Renaut, J. Quantitative changes in protein expression of cadmium-exposed poplar plants. Proteomics 2008, 8, 2514–2530. [Google Scholar] [CrossRef]
- Ahsan, N.; Lee, S.H.; Lee, D.G.; Lee, H.; Lee, S.W.; Bahk, J.D.; Lee, B.H. Physiological and protein profiles alternation of germinating rice seedlings exposed to acute cadmium toxicity. CR Biol. 2007, 330, 735–746. [Google Scholar] [CrossRef]
- Sarry, J.E.; Kuhn, L.; Ducruix, C.; Lafaye, A.; Junot, C.; Hugouvieux, V.; Jourdain, A.; Bastien, O.; Fievet, J.B.; Vailhen, D. The early responses of Arabidopsis thaliana cells to cadmium exposure explored by protein and metabolite profiling analyses. Proteomics 2006, 6, 2180–2198. [Google Scholar] [CrossRef]
- Kaushal, M.; Wani, S.P. Rhizobacterial-plant interactions: Strategies ensuring plant growth promotion under drought and salinity stress. Agric. Ecosyst. Environ. 2016, 231, 68–78. [Google Scholar] [CrossRef]
- Spaepen, S.; Vanderleyden, J. Auxin signaling in Azospirillum brasilense: A proteome analysis. In Biological Nitrogen Fixation; Bruijn, F.J.D., Ed.; John Wiley & Sons Inc.: Hoboken, NJ, USA, 2015; pp. 937–940. [Google Scholar]
- Lim, J.H.; Kim, S.D. Induction of drought stress resistance by multi-functional PGPR Bacillus licheniformis K11 in pepper. Plant Pathol. J. 2013, 29, 201–208. [Google Scholar] [CrossRef]
- Sharma, M.K.; Sharma, R.; Cao, P.; Harkenrider, M.; Jenkins, J.; Grimwood, J.; Zhang, J.; Udvardi, M.K.; Schmutz, J.; Ronald, P.C. Targeted switchgrass BAC library screening and sequence analysis identifies predicted biomass and stress response-related genes. BioEnergy Res. 2016, 9, 109–122. [Google Scholar] [CrossRef]
- Sharma, M.K.; Sharma, R.; Cao, P.; Jenkins, J.; Bartley, L.E.; Qualls, M.; Grimwood, J.; Schmutz, J.; Rokhsar, D.; Ronald, P.C. A genome-wide survey of switchgrass genome structure and organization. PLoS ONE 2012, 7, e33892. [Google Scholar] [CrossRef] [PubMed]
- Gravot, A.; Lieutaud, A.; Verret, F.; Auroy, P.; Vavasseur, A.; Richaud, P. AtHMA3, a plant P1B-ATPase, functions as a Cd/Pb transporter in yeast. FEBS Lett. 2004, 561, 22–28. [Google Scholar] [CrossRef]
- Benizri, E.; Kidd, P.S. The Role of the Rhizosphere and Microbes Associated with Hyperaccumulator Plants in Metal Accumulation. In Agromining: Farming for Metals. Mineral Resource Reviews; Van der Ent, A., Echevarria, G., Baker, A., Morel, J., Eds.; Springer: Cham, Switzerland, 2018; pp. 157–188. [Google Scholar]
- Cui, H.; Cao, X.; Wang, J.; Xiong, A.; Hou, X.; Li, Y. Effects of exogenous GR24 on the growth of axillary bud of non-heading Chinese cabbage. J. Nanjing Agric. Univ. 2016, 39, 366–372. [Google Scholar]
- Livak, K.J.; Schmittgen, T.D. Analysis of relative gene expression data using real-time quantitative PCR and the 2− ΔΔCT method. Methods 2001, 25, 402–408. [Google Scholar] [CrossRef] [PubMed]
- Schmittgen, T.D.; Livak, K.J. Analyzing real-time PCR data by the comparative CT method. Nat. Protoc. 2008, 3, 1101. [Google Scholar] [CrossRef]
- Jackson, J.E. Principal Components and Factor Analysis: Part I—Principal Components. J. Qual. Technol. 1980, 12, 201–213. [Google Scholar] [CrossRef]






| Parameter | RDW | SDW | RCd | SCd | TF | IAA-R | HSP70 | HMA3 |
|---|---|---|---|---|---|---|---|---|
| RDW | 1 | |||||||
| SDW | 0.830 ** | 1 | ||||||
| RCd | –0.293 | −0.627 * | 1 | |||||
| SCd | –0.304 | −0.655 * | 0.970 ** | 1 | ||||
| TF | –0.109 | –0.495 | 0.797 ** | 0.821 ** | 1 | |||
| IAA-R | 0.685 * | 0.417 | –0.039 | 0.083 | 0.083 | 1 | ||
| HSP70 | –0.013 | –0.379 | 0.857 ** | 0.788 ** | 0.888 ** | 0.02 | 1 | |
| HMA3 | –0.017 | –0.404 | 0.858 ** | 0.796 ** | 0.883 ** | 0.043 | 0.993 ** | 1 |
| Gene Name | Gene ID | Primer Sequences (5′ to 3′) |
|---|---|---|
| HSP70 | Pavir.5KG619900.1 (HSP70A) | GAGCTGTGCAAGAGCATCAA TTCTTGGTTGGGATGGTGGT |
| Pavir.9KG488300.1 (HSP70B) | ATCGACTTCTACGCGACCAT CTGCGACTTGTCCATCTTGG | |
| Pavir.5KG300400.1 (HSP70C) | AAGATCACCATCACCAGCGA CGTACGTCTCCAGCTTGTTG | |
| HMA3 | AP13CTG05330TIGR01512 (HMA3A) | GTGACCAAGTCATGGGAGGA GTGCAACAGCCAAAGAAAGC |
| AP13CTG10982TIGR01512 (HMA3B) | GGAAGACTGCACGAACCATC CACAGCCCTTGTTGCTAGTC | |
| Pavir.Ba03387.1 (HMA3C) | GTTCTGGGAGCACAGGACAT AGTTCCCGTCTTGTCGAATG | |
| FTSH4 (Internal control) | TGGATGGCTTTAAGCAGAATGA CAAAACGCCCAGGTCTGACT |
© 2019 by the authors. Licensee MDPI, Basel, Switzerland. This article is an open access article distributed under the terms and conditions of the Creative Commons Attribution (CC BY) license (http://creativecommons.org/licenses/by/4.0/).
Share and Cite
Begum, N.; Hu, Z.; Cai, Q.; Lou, L. Influence of PGPB Inoculation on HSP70 and HMA3 Gene Expression in Switchgrass under Cadmium Stress. Plants 2019, 8, 504. https://doi.org/10.3390/plants8110504
Begum N, Hu Z, Cai Q, Lou L. Influence of PGPB Inoculation on HSP70 and HMA3 Gene Expression in Switchgrass under Cadmium Stress. Plants. 2019; 8(11):504. https://doi.org/10.3390/plants8110504
Chicago/Turabian StyleBegum, Nahmina, Zhaoyang Hu, Qingsheng Cai, and Laiqing Lou. 2019. "Influence of PGPB Inoculation on HSP70 and HMA3 Gene Expression in Switchgrass under Cadmium Stress" Plants 8, no. 11: 504. https://doi.org/10.3390/plants8110504
APA StyleBegum, N., Hu, Z., Cai, Q., & Lou, L. (2019). Influence of PGPB Inoculation on HSP70 and HMA3 Gene Expression in Switchgrass under Cadmium Stress. Plants, 8(11), 504. https://doi.org/10.3390/plants8110504

