Fritillaria pallidiflora Schrenk ex Fisch. & C.A.Mey. (Yi Beimu): Ethnopharmacology, Phytochemistry, Pharmacological Insights, and Future Prospects
Abstract
1. Introduction
2. Materials and Methods
3. Taxonomy, Distribution, and Ecology of F. pallidiflora
4. Ethnopharmacology and Traditional Uses
5. Phytochemistry of F. pallidiflora
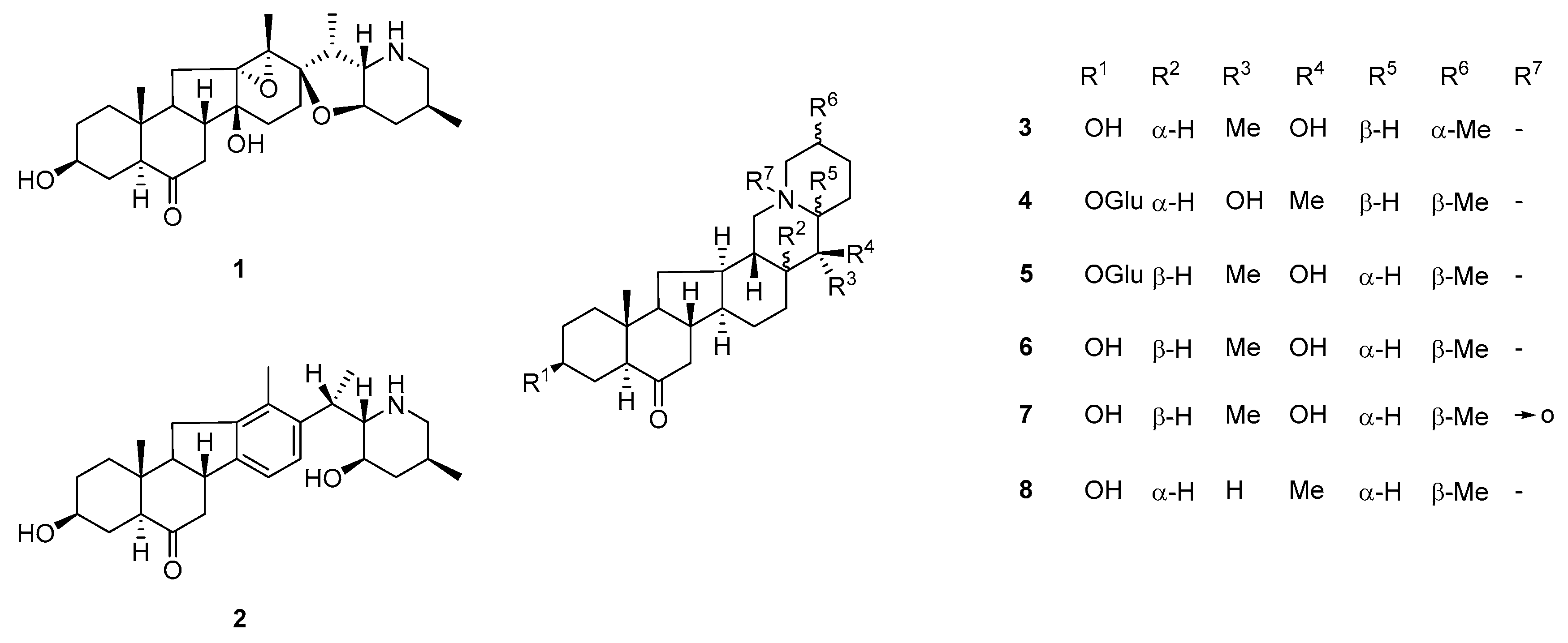
5.1. Steroidal Alkaloids (Hallmark Constituents)
5.2. Steroidal Saponins (Chemotaxonomic Markers)
5.3. Flavonoids and Other Phenolics
5.4. Polysaccharides
5.5. Analytical and Quality-Control Notes
6. Pharmacological Activities
6.1. Antitussive and Anti-Asthmatic Activity
6.2. Anti-Inflammatory and Antioxidant Effects
6.3. Antitumor Potential
6.4. Antimicrobial and Antiviral Activities
6.5. Other Reported Activities (Exploratory)
7. Pharmacokinetics, Bioavailability, and Toxicology
7.1. Absorption and Oral Bioavailability
7.2. Distribution
7.3. Metabolism and Drug–Drug Interaction (DDI) Liabilities
7.4. Excretion
7.5. Toxicology and Safety Considerations
7.6. Practical Implications and Gaps
8. Conservation, Cultivation, and Sustainable Use
8.1. Status and Drivers of Resource Pressure
8.2. Progress in Cultivation and Regionalization
8.3. Sustainable Propagation: Tissue Culture and Seed Systems
8.4. Controlled Cultivation and Habitat Stewardship
8.5. Quality Standardization and Authentication
8.6. Practical Roadmap
9. Challenges and Future Perspectives
9.1. Knowledge Gaps
9.2. Methodological Needs
9.3. Drug Discovery Potential
9.4. Toward Sustainable and Translational Development
10. Conclusions
Author Contributions
Funding
Institutional Review Board Statement
Informed Consent Statement
Data Availability Statement
Conflicts of Interest
References
- Manisha, D.R.B.; Begam, A.M.; Chahal, K.S.; Ashok, M.A. Medicinal Plants and Traditional Uses and Modern Applications. J. Neonatal Surg. 2025, 14, 3. [Google Scholar] [CrossRef]
- Wu, H.-Y.; Wong, K.-L.; Law, S.T.-S.; Nong, W.; Chan, K.-T.; Hui, J.H.-L.; Lin, G.; Chan, W.-H.; Shaw, P.-C. Determination of ITS1 Haplotypes of Fritillariae cirrhosae Bulbus by Amplicon Sequencing. Chin. Med. 2024, 19, 33. [Google Scholar] [CrossRef]
- Nile, S.H.; Su, J.; Wu, D.; Wang, L.; Hu, J.; Sieniawska, E.; Kai, G. Fritillaria Thunbergii Miq (Zhe beimu): A Review on Its Traditional Uses, Phytochemical Profile and Pharmacological Properties. Food Chem. Toxicol. 2021, 153, 112289. [Google Scholar] [CrossRef]
- Dai, Y.; Liu, S.; Yang, L.; He, Y.; Guo, X.; Ma, Y.; Li, S.; Huang, D. Explorative Study for the Rapid Detection of Fritillaria Using Gas Chromatography-Ion Mobility Spectrometry. Front. Nutr. 2024, 11, 1361668. [Google Scholar] [CrossRef]
- Wu, L.; Wu, M.; Cui, N.; Xiang, L.; Li, Y.; Li, X.; Chen, S. Plant Super-Barcode: A Case Study on Genome-Based Identification for Closely Related Species of Fritillaria. Chin. Med. 2021, 16, 52. [Google Scholar] [CrossRef]
- Hao, L.; da Silva, J.A.T.; Yu, X. Transcriptome Analysis of Floral Bud Development in Fritillaria pallidiflora. Ornam. Plant Res. 2025, 5, e034. [Google Scholar] [CrossRef]
- Thoppil, J.E. Holistic Approach on Bioactivities, Phytochemicals, Nanoparticle Biosynthesis and Endophyte Isolation from Two Ficus Species. Ph.D. Thesis, University of Calicut, Tenhipalam, India, 2024. [Google Scholar]
- Liu, S.; Yang, T.; Ming, T.W.; Gaun, T.K.W.; Zhou, T.; Wang, S.; Ye, B. Isosteroid Alkaloids with Different Chemical Structures from Fritillariae Cirrhosae Bulbus Alleviate LPS-Induced Inflammatory Response in RAW 264.7 Cells by MAPK Signaling Pathway. Int. Immunopharmacol. 2020, 78, 106047. [Google Scholar] [CrossRef] [PubMed]
- Shen, S.; Li, G.; Huang, J.; Chen, C.; Ren, B.; Lu, G.; Tan, Y.; Zhang, J.; Li, X.; Wang, J. Steroidal Saponins from Fritillaria pallidiflora Schrenk. Fitoterapia 2012, 83, 785–794. [Google Scholar] [CrossRef] [PubMed]
- Wang, L.; Jiang, Y.; Yaseen, A.; Li, F.; Chen, B.; Shen, X.-F.; Zheng, C.; Zhang, G.-L.; Wang, M.-K. Steroidal Alkaloids from the Bulbs of Fritillaria pallidiflora Schrenk and Their Anti-Inflammatory Activity. Bioorganic Chem. 2021, 112, 104845. [Google Scholar] [CrossRef]
- Borjigin, G.; Wei, F.; Jiang, S.; Li, Q.; Yang, C. Extraction, Purification, Structural Characterization and Biological Activity of Polysaccharides from Fritillaria: A Review. Int. J. Biol. Macromol. 2023, 242, 124817. [Google Scholar] [CrossRef]
- Qu, A.; Wu, Q.; Su, J.; Li, C.; Yang, L.; Wang, Z.; Wang, Z.; Li, Z.; Ruan, X.; Zhao, Y. A Review on the Composition and Biosynthesis of Alkaloids and on the Taxonomy, Domestication, and Cultivation of Medicinal Fritillaria Species. Agronomy 2022, 12, 1844. [Google Scholar] [CrossRef]
- Zhang, Y.; Han, H.; Li, D.; Fan, Y.; Liu, M.; Ren, H.; Liu, L. Botanical Characterization, Phytochemistry, Biosynthesis, Pharmacology Clinical Application, and Breeding Techniques of the Chinese Herbal Medicine Fritillaria unibracteata. Front. Pharmacol. 2024, 15, 1428037. [Google Scholar] [CrossRef]
- Zhou, B.W.; Liu, H.M.; Jia, X.H. The role and mechanisms of traditional Chinese medicine for airway inflammation and remodeling in asthma: Overview and progress. Front. Pharmacol. 2022, 13, 917256. [Google Scholar] [CrossRef] [PubMed]
- Niharika, S.; Satsangi, M.; Umar, S.; Ali, A.; Parveen, B.; Ahmad, S. Unveiling Plant-Based Healing Wisdom Through Ethnobotany and Medicinal Ethnopharmacology. In Ethnopharmacology and OMICS Advances in Medicinal Plants Volume 1: Uncovering Diversity and Ethnopharmacological Aspects; Springer: Berlin/Heidelberg, Germany, 2024; pp. 149–171. [Google Scholar]
- Xu, Y.; Ming, T.W.; Gaun, T.K.; Wang, S.; Ye, B. A comparative assessment of acute oral toxicity and traditional pharmacological activities between extracts of Fritillaria cirrhosae Bulbus and Fritillaria pallidiflora Bulbus. J. Ethnopharmacol. 2019, 238, 111853. [Google Scholar] [CrossRef] [PubMed]
- Guo, C.-A.; Ding, X.-Y.; Addi, Y.-W.; Zhang, Y.; Zhang, X.-Q.; Zhuang, H.-F.; Wang, Y.-H. An Ethnobotany Survey of Wild Plants Used by the Tibetan People of the Yadong River Valley, Tibet, China. J. Ethnobiol. Ethnomed. 2022, 18, 28. [Google Scholar]
- Wang, D.; Chen, X.; Atanasov, A.G.; Yi, X.; Wang, S. Plant Resource Availability of Medicinal Fritillaria Species in Traditional Producing Regions in Qinghai-Tibet Plateau. Front. Pharmacol. 2017, 8, 502. [Google Scholar] [CrossRef]
- Wang, Y.; Hou, H.; Ren, Q.; Hu, H.; Yang, T.; Li, X. Natural drug sources for respiratory diseases from Fritillaria: Chemical and biological analyses. Chin. Med. 2021, 16, 40. [Google Scholar] [CrossRef] [PubMed]
- Firdaus, A.; Yunus, M.H.; Izhar, S.K.; Afaq, U. Medicinal Plants in the Treatment of Respiratory Diseases and Their Future Aspects. Recent Pat. Biotechnol. 2025, 19, 2–18. [Google Scholar] [CrossRef]
- Liu, C.; Liu, S.; Tse, W.M.; Tse, K.W.G.; Erbu, A.; Xiong, H.; Lanzi, G.; Liu, Y.; Ye, B. A Distinction between Fritillaria cirrhosa Bulbus and Fritillaria pallidiflora Bulbus via LC–MS/MS in Conjunction with Principal Component Analysis and Hierarchical Cluster Analysis. Sci. Rep. 2023, 13, 2735. [Google Scholar]
- Cao, Q.; Wei, Y.; Li, W.; Feng, Y.; Abduraimov, O.S. The Distribution Characteristics of Vegetation in the Subrange of the Altai Mountains, Xinjiang. Plants 2023, 12, 3915. [Google Scholar] [CrossRef]
- Zhao, B.; Shu, X.; Zhang, H. Pulmonary Diseases and Traditional Chinese Medicine. In Lung Biology and Pathophysiology; Taylor and Francis: Abingdon, UK, 2024. [Google Scholar]
- Kottara, C.; Asonitou, S.; Kavalieraki-Foka, D. A Conceptual Framework for Student Retention in an Advanced Financial Accounting Course: Traditional vs. Blended Learning Environments. Trends High. Educ. 2025, 4, 30. [Google Scholar]
- Wu, F.; Tian, M.; Sun, Y.; Wu, C.; Liu, X. Efficacy, Chemical Composition, and Pharmacological Effects of Herbal Drugs Derived from Fritillaria cirrhosa D. Don and Fritillaria thunbergii Miq. Front. Pharmacol. 2022, 13, 985935. [Google Scholar] [CrossRef]
- Luo, B.; Tong, Y.; Liu, Y.; Zhang, Y.; Qin, Y.; Hu, R. Ethnobotanical Insights into the Traditional Food Plants of the Baiku Yao Community: A Study of Cultural Significance, Utilization, and Conservation. J. Ethnobiol. Ethnomed. 2024, 20, 52. [Google Scholar]
- Lavhale, P.M.; Shakya, A.; Kesharwani, P.; Trivedi, A. Recent advancements in cough management: Emerging strategies and therapies. J. Appl. Pharm. Sci. Res. 2023, 6, 1–7. [Google Scholar] [CrossRef]
- Ali, F.; Saeed, M.T.; Safdar, W.; Naqvi, S.Z. In vitro antiviral potential of H. helix L. and V. thapsus L. on Vero cell adapted Human parainfluenza virus (HPIV) With Molecular Docking Insights. Pharmacol. Res.-Mod. Chin. Med. 2025, 8, 100672. [Google Scholar]
- An, Y.; Wei, W.; Guo, D. Application of Analytical Technologies in the Discrimination and Authentication of Herbs from Fritillaria: A Review. Crit. Rev. Anal. Chem. 2024, 54, 1775–1796. [Google Scholar] [PubMed]
- Zhao, X.; Zhu, A.L.; Liu, X.; Li, H.; Tao, H.; Guo, X.; Liu, J. Current Status, Challenges, and Opportunities for Sustainable Crop Production in Xinjiang. iScience 2025, 28, 112114. [Google Scholar] [CrossRef] [PubMed]
- Zhang, X.; Wang, Y.; Huang, H.; Yuan, S.; Hua, R.; Tang, Y.; Shi, C. Evaluating Resource Endowments and Optimization Strategies for Traditional Riverside Villages in Shaanxi: A Yellow River Cultural Perspective. Sustainability 2025, 17, 5014. [Google Scholar] [CrossRef]
- An, Y.; Wei, W.; Li, H.; Li, Z.; Yao, C.; Qu, H.; Yao, S.; Huang, Y.; Zhang, J.; Bi, Q. An Enhanced Strategy Integrating Offline Superimposed Two-Dimensional Separation with Mass Defect Filter and Diagnostic Ion Filter: Comprehensive Characterization of Steroid Alkaloids in Fritillariae pallidiflorae Bulbus as a Case Study. J. Chromatogr. A 2021, 1643, 462029. [Google Scholar] [CrossRef]
- Lin, G.; Li, P.; Li, S.-L.; Chan, S.-W. Chromatographic Analysis of Fritillaria Isosteroidal Alkaloids, the Active Ingredients of Beimu, the Antitussive Traditional Chinese Medicinal Herb. J. Chromatogr. A 2001, 935, 321–338. [Google Scholar] [CrossRef]
- Wu, X.; Chan, S.; Ma, J.; Li, P.; Shaw, P.; Lin, G. Investigation of Association of Chemical Profiles with the Tracheobronchial Relaxant Activity of Chinese Medicinal Herb Beimu Derived from Various Fritillaria Species. J. Ethnopharmacol. 2018, 210, 39–46. [Google Scholar] [CrossRef]
- Ogbuagu, O.O.; Mbata, A.O.; Balogun, O.D.; Oladapo, O.; Ojo, O.O.; Muonde, M. Novel Phytochemicals in Traditional Medicine: Isolation and Pharmacological Profiling of Bioactive Compounds. Int. J. Med. All Body Health Res. 2022, 3, 63–71. [Google Scholar] [CrossRef]
- Dong, Q.; Li, J.; Liu, L.; Aisa, H.A.; Yili, A. Unusual Ring B-Seco Isosteroidal Alkaloid, Yibeiglycoalkaloids A−E from Fritillaria pallidiflora Schrenk. Phytochemistry 2022, 203, 113351. [Google Scholar] [CrossRef] [PubMed]
- Bouabdallah, S.; Al-Maktoum, A.; Amin, A. Steroidal saponins: Naturally occurring compounds as inhibitors of the hallmarks of cancer. Cancers 2023, 15, 3900. [Google Scholar] [CrossRef] [PubMed]
- Shen, S.; Chen, C.-J.; Bu, R.; Ga, L.; Li, G.-Y.; Tan, Y.; Li, X.; Wang, J.-H. Three New Steroidal Saponins from Fritillaria pallidiflora. J. Asian Nat. Prod. Res. 2011, 13, 1014–1022. [Google Scholar] [CrossRef] [PubMed]
- Li, N.; Zhang, J.; Zhang, Y.; Ma, Z.; Liao, J.; Cao, H.; Wu, M. Chromatographic Fingerprints Analysis and Determination of Seven Components in Danmu Preparations by HPLC–DAD/QTOF-MS. Chin. Med. 2020, 15, 19. [Google Scholar] [CrossRef]
- Rashid, I.; Yaqoob, U. Traditional Uses, Phytochemistry and Pharmacology of Genus Fritillaria—A Review. Bull. Natl. Res. Cent. 2021, 45, 124. [Google Scholar] [CrossRef]
- Tang, Y.-C.; Liu, Y.-J.; He, G.-R.; Cao, Y.-W.; Bi, M.-M.; Song, M.; Yang, P.-P.; Xu, L.-F.; Ming, J. Comprehensive Analysis of Secondary Metabolites in the Extracts from Different Lily Bulbs and Their Antioxidant Ability. Antioxidants 2021, 10, 1634. [Google Scholar] [CrossRef]
- Alamgir, A. Secondary Metabolites: Secondary Metabolic Products Consisting of C and H, C, H, and O, N, S, and P Elements and O/N Heterocycles. In Therapeutic Use of Medicinal Plants and Their Extracts: Volume 2: Phytochemistry and Bioactive Compounds; Springer: Berlin/Heidelberg, Germany, 2018; pp. 165–309. [Google Scholar]
- Liu, Y.; Luo, J.; Peng, L.; Zhang, Q.; Rong, X.; Luo, Y.; Li, J. Flavonoids: Potential Therapeutic Agents for Cardiovascular Disease. Heliyon 2024, 10, e32563. [Google Scholar] [CrossRef]
- Chen, X.; Li, H.; Zhang, B.; Deng, Z. The Synergistic and Antagonistic Antioxidant Interactions of Dietary Phytochemical Combinations. Crit. Rev. Food Sci. Nutr. 2022, 62, 5658–5677. [Google Scholar] [CrossRef]
- Magny, R.; Yann, B.; Gregory, G.; Emmanuel, B. Application of a molecular networking approach using LC-HRMS combined with the MetWork webserver for clinical and forensic toxicology. Heliyon 2024, 10, e36735. [Google Scholar] [CrossRef] [PubMed]
- Erkisa, M.; Sariman, M.; Geyik, O.G.; Geyik, C.; Stanojkovic, T.; Ulukaya, E. Natural products as a promising therapeutic strategy to target cancer stem cells. Curr. Med. Chem. 2022, 29, 741–783. [Google Scholar] [CrossRef]
- Abuduwaili, A.; Rozi, P.; Mutailifu, P.; Berdiev, N.S.; Yili, A.; Aisa, A. Polysaccharides from Fritillaria pallidiflora Bulbs and Their Antioxidant Activity. Chem. Nat. Compd. 2018, 54, 334–336. [Google Scholar] [CrossRef]
- Rozi, P.; Abuduwaili, A.; Mutailifu, P.; Gao, Y.; Rakhmanberdieva, R.; Aisa, H.A.; Yili, A. Sequential Extraction, Characterization and Antioxidant Activity of Polysaccharides from Fritillaria pallidiflora Schrenk. Int. J. Biol. Macromol. 2019, 131, 97–106. [Google Scholar] [CrossRef] [PubMed]
- Song, D.; Guo, J.; Li, D.; Zheng, X.; Han, H.; Chen, Z. Using the UPLC-QTOF-MS Fingerprinting Coupled with Clustering Analysis to Verify the Quality Control of Fritillaria Przewalskii Maxim. Pharmacogn. Mag. 2023, 19, 336–345. [Google Scholar] [CrossRef]
- Liu, C.; Zhen, D.; Du, H.; Gong, G.; Wu, Y.; Ma, Q.; Quan, Z. Synergistic Anti-Inflammatory Effects of Peimine, Peiminine, and Forsythoside a Combination on LPS-Induced Acute Lung Injury by Inhibition of the IL-17-NF-κB/MAPK Pathway Activation. J. Ethnopharmacol. 2022, 295, 115343. [Google Scholar] [CrossRef] [PubMed]
- Jeong, J.-S.; Kim, J.-W.; Kim, J.-H.; Chung, E.-H.; Ko, J.-W.; Hwang, Y.-H.; Kim, T.-W. Investigating Changes in Pharmacokinetics of Steroidal Alkaloids from a Hydroethanolic Fritillariae thunbergii Bulbus Extract in 2, 4-Dinitrobenzene Sulfonic Acid-Induced Colitis Rats. Pharmaceuticals 2024, 17, 1001. [Google Scholar] [CrossRef]
- Xu, Y.; Chen, C.; Cai, J.; Lin, L.; Song, W.; Yang, K.; Zhao, Y.; Wen, C.; Wei, J.; Liu, Z. Comparative Analysis of Sipeimine Content, Metabolome and Chloroplast Genome in Cultivated and Wild Varieties of Fritillaria taipaiensis. J. Sci. Food Agric. 2024, 104, 7271–7280. [Google Scholar] [CrossRef]
- Ren, X.; Yuan, L.; Yao, H.; Wang, Y.; Wang, H.; Guo, D.; Zhou, N. Effects of phosphorus-solubilizing fungi on bulb quality and the Fritillaria taipaiensis rhizosphere soil environment. PeerJ 2025, 21, 19283. [Google Scholar] [CrossRef]
- Dong, H.; Zhang, Y.; Ming, T.W.; Wang, S.; Li, J.; Fu, S.; Zhang, Q.; Zeng, K.; Tu, P.; Liang, H. Cirrhosinones AH, 24-Hydroxy Cevanine-Type Alkaloids from Fritillaria cirrhosa. Phytochemistry 2022, 197, 113129. [Google Scholar] [CrossRef]
- Jia, Y.; Xia, G.; Wang, L.; Xia, H.; Wei, X.; Lin, S. Glycoalkaloids: Structural Diversity and Pharmacological Activities. Guidel. Stand. Chin. Med. 2024, 2, 44–61. [Google Scholar]
- Li, T.-Y.; Du, Y.; Wang, M.-C.; Liu, K.; Liu, Y.; Cao, Y.; Wang, Y.-Y.; Chen, W.-W.; Qian, X.-Y.; Qiu, P.-C. Cytotoxic Steroidal Saponins Containing a Rare Fructosyl from the Rhizomes of Paris polyphylla Var. Latifolia. Int. J. Mol. Sci. 2023, 24, 7149. [Google Scholar]
- Qin, X.-J.; Sun, D.-J.; Ni, W.; Chen, C.-X.; Hua, Y.; He, L.; Liu, H.-Y. Steroidal Saponins with Antimicrobial Activity from Stems and Leaves of Paris polyphylla Var. Yunnanensis. Steroids 2012, 77, 1242–1248. [Google Scholar] [CrossRef]
- Mahomoodally, M.-F.; Zengin, G.; Sinan, K.-I.; Yıldıztugay, E.; Lobine, D.; Ouelbani, R.; Bensari, S.; Ak, G.; Yılmaz, M.-A.; Gallo, M.; et al. A comprehensive evaluation of the chemical profiles and biological properties of six geophytes from Turkey: Sources of bioactive compounds for novel nutraceuticals. Food Res. Int. 2021, 140, 110068. [Google Scholar]
- Xiao, P.-G.; Jiang, Y.; Li, P.; Luo, Y.-B.; Liu, Y. The Botanical Origin and Pharmacophylogenetic Treatment of Chinese Materia Medica Beimu. J. Syst. Evol. 2007, 45, 473. [Google Scholar]
- Lin, C.-C.; Xu, Z.-Y.; Wang, B.-H.; Zhuang, W.-Y.; Sun, J.-H.; Li, H.; Chen, J.-G.; Wang, C.-M. Relaxation Effect of Schisandra chinensis lignans on the Isolated Tracheal Smooth Muscle in Rats and Its Mechanism. J. Med. Food 2021, 24, 825–832. [Google Scholar] [CrossRef]
- Li, Y.; Yili, A.; Muhamat, A.; Aisa, H. A New Alkaloid with Tracheal Relaxant Effect from the Bulbs of Fritillaria pallidiflora. Chem. Nat. Compd. 2017, 53, 926–928. [Google Scholar] [CrossRef]
- Li, Y.; Yili, A.; Li, J.; Muhamat, A.; Aisa, H.A. New Isosteroidal Alkaloids with Tracheal Relaxant Effect from the Bulbs of Fritillaria pallidiflora Schrenk. Bioorganic Med. Chem. Lett. 2016, 26, 1983–1987. [Google Scholar] [CrossRef]
- Gururani, R.; Patel, S.; Bisht, A.; Jain, S.; Kumari, K.; Paliwal, S.; Dwivedi, J.; Sharma, S. Airways Relaxant and Antiasthmatic Activity of Aconitum heterophyllum Wall Ex Royle. Roots: A Mechanistic Insight. Cell Biochem. Biophys. 2024, 82, 2607–2624. [Google Scholar]
- Nair, J.J.; Van Staden, J. Anti-Inflammatory Principles of the Plant Family Amaryllidaceae. Planta Medica 2024, 90, 900–937. [Google Scholar] [CrossRef]
- Teka, N.; Alminderej, F.M.; Souid, G.; El-Ghoul, Y.; Le Cerf, D.; Majdoub, H. Characterization of Polysaccharides Sequentially Extracted from Allium roseum Leaves and Their Hepatoprotective Effects against Cadmium Induced Toxicity in Mouse Liver. Antioxidants 2022, 11, 1866. [Google Scholar] [CrossRef]
- Siddiqui, A.J.; Jahan, S.; Singh, R.; Saxena, J.; Ashraf, S.A.; Khan, A.; Choudhary, R.K.; Balakrishnan, S.; Badraoui, R.; Bardakci, F. Plants in Anticancer Drug Discovery: From Molecular Mechanism to Chemoprevention. BioMed Res. Int. 2022, 2022, 5425485. [Google Scholar] [CrossRef]
- Dey, P.; Kundu, A.; Chakraborty, H.J.; Kar, B.; Choi, W.S.; Lee, B.M.; Bhakta, T.; Atanasov, A.G.; Kim, H.S. Therapeutic Value of Steroidal Alkaloids in Cancer: Current Trends and Future Perspectives. Int. J. Cancer 2019, 145, 1731–1744. [Google Scholar] [CrossRef]
- Wang, D.; Li, Z.; Zhang, L.; Atanasov, A.G.; Wang, S. Characterization of the Isosteroidal Alkaloid Chuanbeinone from Bulbus of Fritillaria pallidiflora as Novel Antitumor Agent in Vitro and in Vivo. Planta Medica 2016, 82, 195–204. [Google Scholar] [CrossRef]
- Ngashangva, N.; Mukherjee, P.; Sharma, K.C.; Kalita, M.; Indira, S. Analysis of Antimicrobial Peptide Metabolome of Bacterial Endophyte Isolated from Traditionally Used Medicinal Plant Millettia pachycarpa Benth. Front. Microbiol. 2021, 12, 656896. [Google Scholar] [CrossRef]
- Shirsat, H.; Datt, M.; Kale, A.; Mishra, M. Plant Defense Peptides: Exploring the Structure–Function Correlation for Potential Applications in Drug Design and Therapeutics. ACS Omega 2025, 10, 7583–7596. [Google Scholar] [CrossRef]
- Janissen, R.; Eslami-Mossallam, B.; Artsimovitch, I.; Depken, M.; Dekker, N.H. High-Throughput Single-Molecule Experiments Reveal Heterogeneity, State Switching, and Three Interconnected Pause States in Transcription. Cell Rep. 2022, 39, 110749. [Google Scholar]
- Chen, T.; Ding, L.; Zhao, M.; Song, S.; Hou, J.; Li, X.; Li, M.; Yin, K.; Li, X.; Wang, Z. Recent Advances in the Potential Effects of Natural Products from Traditional Chinese Medicine against Respiratory Diseases Targeting Ferroptosis. Chin. Med. 2024, 19, 49. [Google Scholar] [CrossRef]
- Ibrahim, N.A.; Rathore, D.; Janiyani, K.; Gupta, A.; Sulieman, A.M.E.; Tahir, H.E.; Mir, R.H.; Fatima, S.B.; Adnan, M.; Surti, M. A Comprehensive Review on Plant-Derived Bioactive Saponins as Promising Antimicrobial Agents: From Bioavailability Challenges, Molecular Mechanistic Insights to Therapeutic Applications. Naunyn-Schmiedeberg’s Arch. Pharmacol. 2025, 7, 1–31. [Google Scholar] [CrossRef]
- Kumar, P.; Kumar, V.; Sharma, S.; Sharma, R.; Warghat, A.R. Fritillaria Steroidal Alkaloids and Their Multi-Target Therapeutic Mechanisms: Insights from Network Pharmacology. Naunyn-Schmiedeberg’s Arch. Pharmacol. 2025, 398, 2209–2228. [Google Scholar]
- Wu, K.; Mo, C.; Xiao, H.; Jiang, Y.; Ye, B.; Wang, S. Imperialine and Verticinone from Bulbs of Fritillaria wabuensis Inhibit Pro-Inflammatory Mediators in LPS-Stimulated RAW 264.7 Macrophages. Planta Medica 2015, 81, 821–829. [Google Scholar] [CrossRef] [PubMed]
- Wang, W.; Xu, J.; Liu, Y. A Simple and Sensitive LC-MS/MS Method for Quantitation of Peimine and Its Pharmacokinetic in Beagle Dogs. Drug Res. 2013, 63, 69–73. [Google Scholar] [CrossRef]
- Chen, L.; Lu, X.; Liang, X.; Hong, D.; Guan, Z.; Guan, Y.; Zhu, W. Mechanistic Studies of the Transport of Peimine in the Caco-2 Cell Model. Acta Pharm. Sin. B 2016, 6, 125–131. [Google Scholar] [CrossRef]
- Chen, L.; Zhang, H.; Guan, Z.; Zhu, W.; Yi, W.; Guan, Y.; Wang, S.; Liu, H. Sex Dependent Pharmacokinetics, Tissue Distribution and Excretion of Peimine and Peiminine in Rats Assessed by Liquid Chromatography–Tandem Mass Spectrometry. J. Ethnopharmacol. 2013, 145, 77–84. [Google Scholar] [CrossRef]
- Bertol, E.; Favretto, D. Pharmacokinetics: Drug Absorption, Distribution, and Elimination. In Karch’s Drug Abuse Handbook; CRC Press: Boca Raton, FL, USA, 2022; Volume 29, pp. 133–178. [Google Scholar]
- Wang, Y.; Wu, S.; Chen, Z.; Zhang, H.; Zhao, W. Inhibitory Effects of Cytochrome P450 Enzymes CYP1A2, CYP2A6, CYP2E1 and CYP3A4 by Extracts and Alkaloids of Gelsemium elegans Roots. J. Ethnopharmacol. 2015, 166, 66–73. [Google Scholar] [CrossRef]
- Chen, Q.; Yin, C.; Li, Y.; Yang, Z.; Tian, Z. Pharmacokinetic Interaction between Peimine and Paeoniflorin in Rats and Its Potential Mechanism. Pharm. Biol. 2021, 59, 127–131. [Google Scholar] [CrossRef]
- Zhang, W.; Wan, Y.; Sun, S.; Xie, Y.; Zhao, D.; Li, B.; Li, J.; Tian, Y.; Feng, S. A Pharmacokinetic Study of Sixteen Major Bioactive Components of Jinshui-Huanxian Granules in Pulmonary Fibrosis Model and Control Rats Using Orbitrap Fusion Mass Spectrometry. Molecules 2023, 28, 6492. [Google Scholar] [CrossRef]
- Kan, L.; Zhao, W.; Pan, L.; Xu, J.; Chen, Q.; Xu, K.; Xiao, L.; Chen, Y. Peimine Inhibits hERG Potassium Channels through the Channel Inactivation States. Biomed. Pharmacother. 2017, 89, 838–844. [Google Scholar] [CrossRef]
- Mealey, K.L.; Karriker, M.J. Comparative Pharmacokinetics and Pharmacodynamics. In Pharmacotherapeutics for Vetetrinary Dispensing; John Wiley and Sons: Hoboken, NJ, USA, 2019; pp. 75–94. [Google Scholar]
- Kato, R.; Zhang, L.; Kinatukara, N.; Huang, R.; Asthana, A.; Weber, C.; Xia, M.; Xu, X.; Shah, P. Investigating Blood–Brain Barrier Penetration and Neurotoxicity of Natural Products for Central Nervous System Drug Development. Sci. Rep. 2025, 15, 7431. [Google Scholar] [CrossRef]
- Zhu, X.; Li, Y.; Luo, H.; Zhang, Y.; Zhang, Z.; Li, J. In Vitro, in Vivo, and in Silico Approaches for Evaluating the Preclinical DMPK Profiles of Ammoxetine, a Novel Chiral Serotonin and Norepinephrine Reuptake Inhibitor. Front. Pharmacol. 2024, 15, 1486856. [Google Scholar] [CrossRef]
- Dong, J.; Zhao, W.; Shi, P.; Zhou, M.; Liu, Z.; Wang, Y. Soil Differentiation and Soil Comprehensive Evaluation of in Wild and Cultivated Fritillaria pallidiflora Schrenk. Sci. Total Environ. 2023, 872, 162049. [Google Scholar] [CrossRef]
- Hamilton, A.C. Medicinal Plants, Conservation and Livelihoods. Biodivers. Conserv. 2004, 13, 1477–1517. [Google Scholar] [CrossRef]
- Zhu, X.; Zhou, T.; Wang, S.; Ye, B.; Singla, R.K.; Tewari, D.; Atanasov, A.G.; Wang, D.; Liu, S. LC–MS/MS Coupled with Chemometric Analysis as an Approach for the Differentiation of Fritillariae cirrhosae Bulbus and Fritillariae pallidiflorae Bulbus. Separations 2023, 10, 75. [Google Scholar] [CrossRef]
- Cao, H.; Tao, H.; Zhang, Z. Projected Spatial Distribution Patterns of Three Dominant Desert Plants in Xinjiang of Northwest China. Forests 2025, 16, 1031. [Google Scholar] [CrossRef]
- Long, C.; Hammer, K. East Asiatic Region of Diversity. In Diversity and Geography of Cultivated Plants; CRC Press: Boca Raton, FL, USA, 2025; pp. 23–89. ISBN 0-429-27679-6. [Google Scholar]
- Jiao, W.; Chen, Y.; Li, W.; Zhu, C.; Li, Z. Estimation of Net Primary Productivity and Its Driving Factors in the Ili River Valley, China. J. Arid Land 2018, 10, 781–793. [Google Scholar] [CrossRef]
- Huang, H.; Liao, J.; Zhang, Z.; Zhan, Q. Ex Situ Flora of China. Plant Divers. 2017, 39, 357–364. [Google Scholar] [CrossRef]
- Zhao, X.; Chen, H.; Wu, J.; Ren, H.; Wei, J.; Ye, P.; Si, Q. Ex Situ Conservation of Threatened Higher Plants in Chinese Botanical Gardens. Glob. Ecol. Conserv. 2022, 38, e02206. [Google Scholar] [CrossRef]
- Ak, B.E.; Hatipoğlu, İ.H.; Hatipoğlu, M. Modern Methods in Ornamental Plant Propagation: Improving Resistance and Sustainability. Endanger. Species 2024, 1, 3. [Google Scholar]
- Lai, R.; Lai, S. Role of Tissue Culture in Rapid Clonal Propagation and Production of Pathogen–Free Plants. In Crop Improvement Utilizing Biotechnology; CRC Press: Boca Raton, FL, USA, 2019; pp. 73–116. [Google Scholar]
- Yasemin, S.; Beruto, M. A Review on Flower Bulb Micropropagation: Challenges and Opportunities. Horticulturae 2024, 10, 284. [Google Scholar] [CrossRef]
- Adamipour, N.; Nazari, F.; Teixeira da Silva, J.A. Genetics and Breeding of Fritillaria spp. In Breeding of Ornamental Crops: Bulbous Flowers; Springer: Berlin/Heidelberg, Germany, 2025; pp. 343–380. [Google Scholar]
- Zhang, Z.; Xing, C.; Su, H.; Wang, J.; Qi, Y.; Li, M. In Vitro Plant Regeneration and Bioactive Metabolite Production of Endangered Medicinal Plant Fritillaria cirrhosa. Curr. Plant Biol. 2024, 39, 100363. [Google Scholar] [CrossRef]
- Sharma, P.; Jain, S.M. Micropropagation Applications in Conservation of Horticultural Crops. In Sustainable Utilization and Conservation of Plant Genetic Diversity; Springer: Berlin/Heidelberg, Germany, 2024; pp. 683–710. [Google Scholar]
- Kalaskar, M.; Ayyanar, M.; Gurav, N.; Surana, S.J. Cultivation, Collection, and Preparation of Plant Drugs. In Pharmacognosy and Phytochemistry; AkiNik Publications: New Delhi, India, 2025; pp. 83–102. [Google Scholar]
- Ilikj, M.; Brchina, I.; Ugrinova, L.; Karcev, V.; Grozdanova, A. GMP/GACP-New Standards for Quality Assurance of Cannabis; LAP LAMBERT Academic Publishing: Saarbrucken, Germany, 2021; ISBN 620-3-30778-5. [Google Scholar]
- Khan, B. Post-Colonial Justice in the Post-Prohibitionist Market: A Political Economy View on IP and Cannabis. In Intellectual Property and Cannabis; Edward Elgar Publishing: Cheltenham, UK, 2025; pp. 294–321. ISBN 1-0353-2939-5. [Google Scholar]
- Archer, S.R. Rangeland Conservation and Shrub Encroachment: New Perspectives on an Old Problem. In Wild Rangelands: Conserving Wildlife While Maintaining Livestock in Semi–Arid Ecosystems; John Wiley and Sons: Hoboken, NJ, USA, 2010; pp. 53–97. [Google Scholar]
- Jiang, Y.; Li, X.; Zhao, W.-J.; Liu, F.-J.; Yang, L.-L.; Li, P.; Li, H.-J. Integration of Untargeted and Pseudotargeted Metabolomics Reveals Specific Markers for Authentication and Adulteration Detection of Fritillariae Bulbus Using Tandem Mass Spectrometry and Chemometrics. J. Pharm. Biomed. Anal. 2024, 242, 116013. [Google Scholar] [CrossRef] [PubMed]
- Yang, K. Assessing and Evaluating Biomarkers and Chemical Markers by Targeted and Untargeted Mass Spectrometry-Based Metabolomics. Ph.D. Thesis, Miami University, Oxford, OH, USA, 2020. [Google Scholar]
- Kostauli, M.R. Towards the Co-Management of Natural Resources in Protected Areas in South Africa: A Study of the Silaka Nature Reserve, in Eastern Cape Province. Master’s Thesis, Rhodes University, Grahamstad, South Africa, 2024. [Google Scholar]
- Rowley-Conwy, P.; Layton, R. Foraging and Farming as Niche Construction: Stable and Unstable Adaptations. Philos. Trans. R. Soc. B: Biol. Sci. 2011, 366, 849–862. [Google Scholar] [CrossRef] [PubMed]
- Purushothaman, H.; Davis, A.; John, M.; Kalarikkal, M.P.; Bhaskaran, A.; Eldho, B.; Antony, T. Marker Assay Guided Standardization of an Ayurvedic Concentrated Polyherbal Decoction “CiruvilvāDi KaṣāYam” and Its Application in Industrial Quality Control. Anc. Sci. Life 2017, 37, 24–30. [Google Scholar]
- Misra, P.; Saema, S. Plant Tissue Culture for in Vitro Mutagenesis, Large-Scale Propagation, and Genetic Transformation. In Plant Tissue Culture: Propagation, Conservation and Crop Improvement; Springer: Berlin/Heidelberg, Germany, 2016; pp. 309–342. [Google Scholar]








| Compound (Example) | Class | Noted Activity/Use | Reference |
|---|---|---|---|
| Imperialine (verticine) | Steroidal isosteroidal alkaloid | Antitussive/bronchodilatory; hallmark Beimu alkaloid | [8] |
| Peimine/Peiminine | Steroidal isosteroidal alkaloids | Respiratory and anti-inflammatory signals in genus; QC markers | [49] |
| Peimisine | Steroidal alkaloid | QC marker; co-occurs with sipeimine | [50] |
| Sipeimine | Steroidal alkaloid | QC/PK marker; UPLC–MS/MS quantification and metabolism mapping | [51] |
| Yibeinone F (24-OH cevanine) | New steroidal alkaloid | Expands F. pallidiflora alkaloid chemotype space | [52] |
| Ring-B-seco isosteroidal alkaloid (unnamed) + 5 SGAs | Rare glycoalkaloids | Structural novelty; potential bioactivities | [53] |
| Pallidiflosides A–C | Steroidal saponins | Chemotaxonomic markers; reported cytotoxicity (in vitro) | [54] |
| Additional saponins (5 new + 7 known) | Steroidal saponins | Cytotoxic against C6/HeLa (compound-dependent) | [55] |
| FPSP-H2-1 (acidic fraction) | Polysaccharide | Potent radical scavenging (ABTS/DPPH) | [56] |
| Imperialine-β-D-glucoside | Alkaloid glycoside | Historical isolation from bulbs; chemotaxonomic interest | [57] |
Disclaimer/Publisher’s Note: The statements, opinions and data contained in all publications are solely those of the individual author(s) and contributor(s) and not of MDPI and/or the editor(s). MDPI and/or the editor(s) disclaim responsibility for any injury to people or property resulting from any ideas, methods, instructions or products referred to in the content. |
© 2025 by the authors. Licensee MDPI, Basel, Switzerland. This article is an open access article distributed under the terms and conditions of the Creative Commons Attribution (CC BY) license (https://creativecommons.org/licenses/by/4.0/).
Share and Cite
Aierken, K.; Li, J.; Waheed, A. Fritillaria pallidiflora Schrenk ex Fisch. & C.A.Mey. (Yi Beimu): Ethnopharmacology, Phytochemistry, Pharmacological Insights, and Future Prospects. Plants 2025, 14, 3771. https://doi.org/10.3390/plants14243771
Aierken K, Li J, Waheed A. Fritillaria pallidiflora Schrenk ex Fisch. & C.A.Mey. (Yi Beimu): Ethnopharmacology, Phytochemistry, Pharmacological Insights, and Future Prospects. Plants. 2025; 14(24):3771. https://doi.org/10.3390/plants14243771
Chicago/Turabian StyleAierken, Kailibinuer, Jinyao Li, and Abdul Waheed. 2025. "Fritillaria pallidiflora Schrenk ex Fisch. & C.A.Mey. (Yi Beimu): Ethnopharmacology, Phytochemistry, Pharmacological Insights, and Future Prospects" Plants 14, no. 24: 3771. https://doi.org/10.3390/plants14243771
APA StyleAierken, K., Li, J., & Waheed, A. (2025). Fritillaria pallidiflora Schrenk ex Fisch. & C.A.Mey. (Yi Beimu): Ethnopharmacology, Phytochemistry, Pharmacological Insights, and Future Prospects. Plants, 14(24), 3771. https://doi.org/10.3390/plants14243771

