The Effect of Salinity on Heavy Metal Tolerance in Two Energy Willow Varieties
Abstract
1. Introduction
2. Results
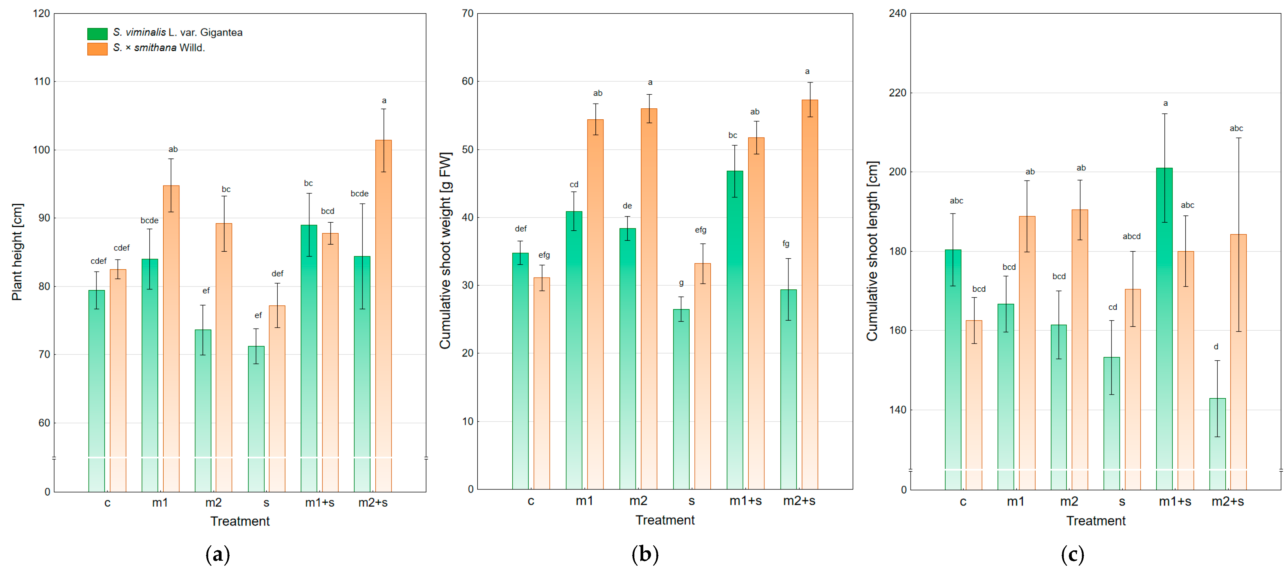
2.1. Biomass Parameters
2.2. Relative Water Content in Leaves
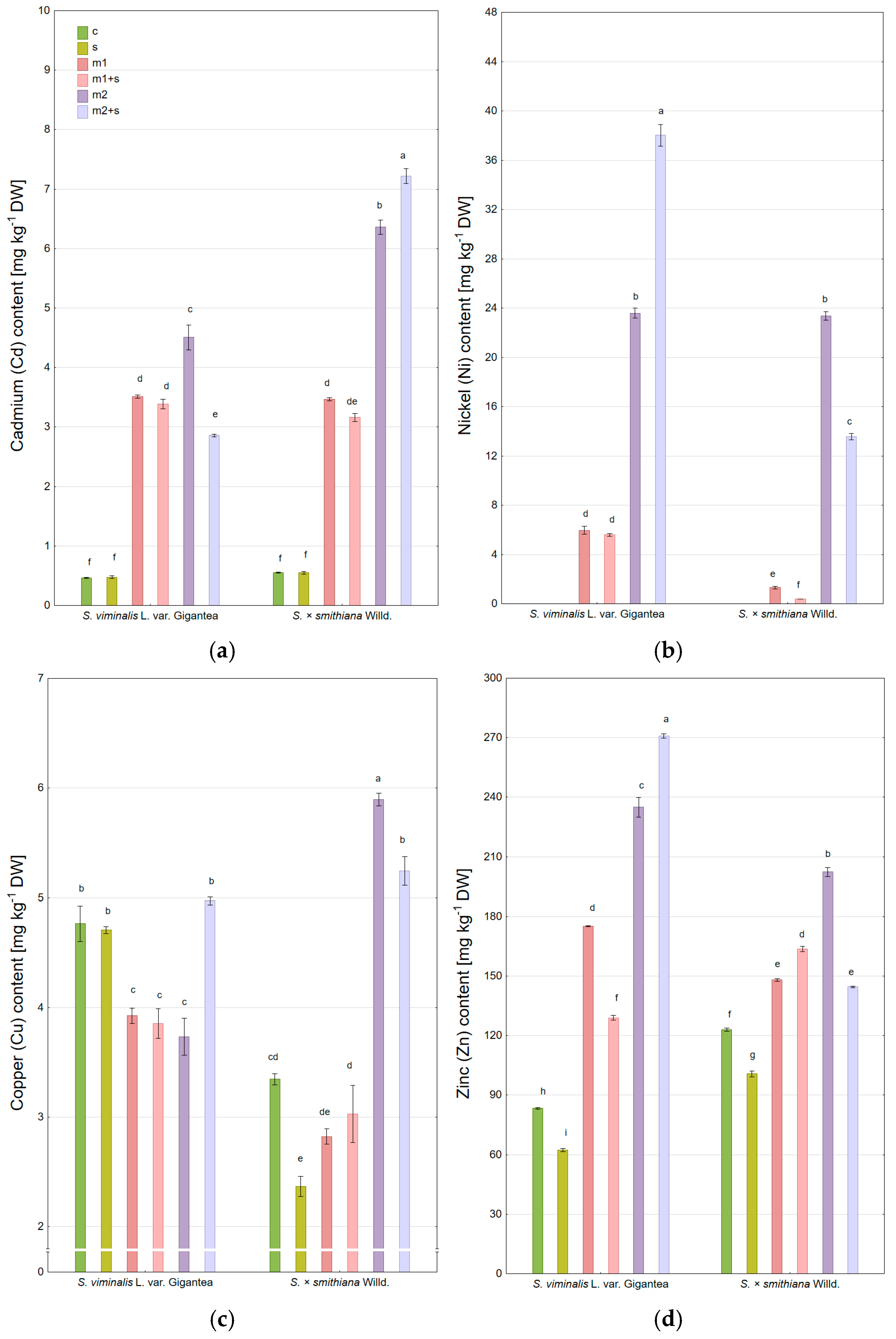
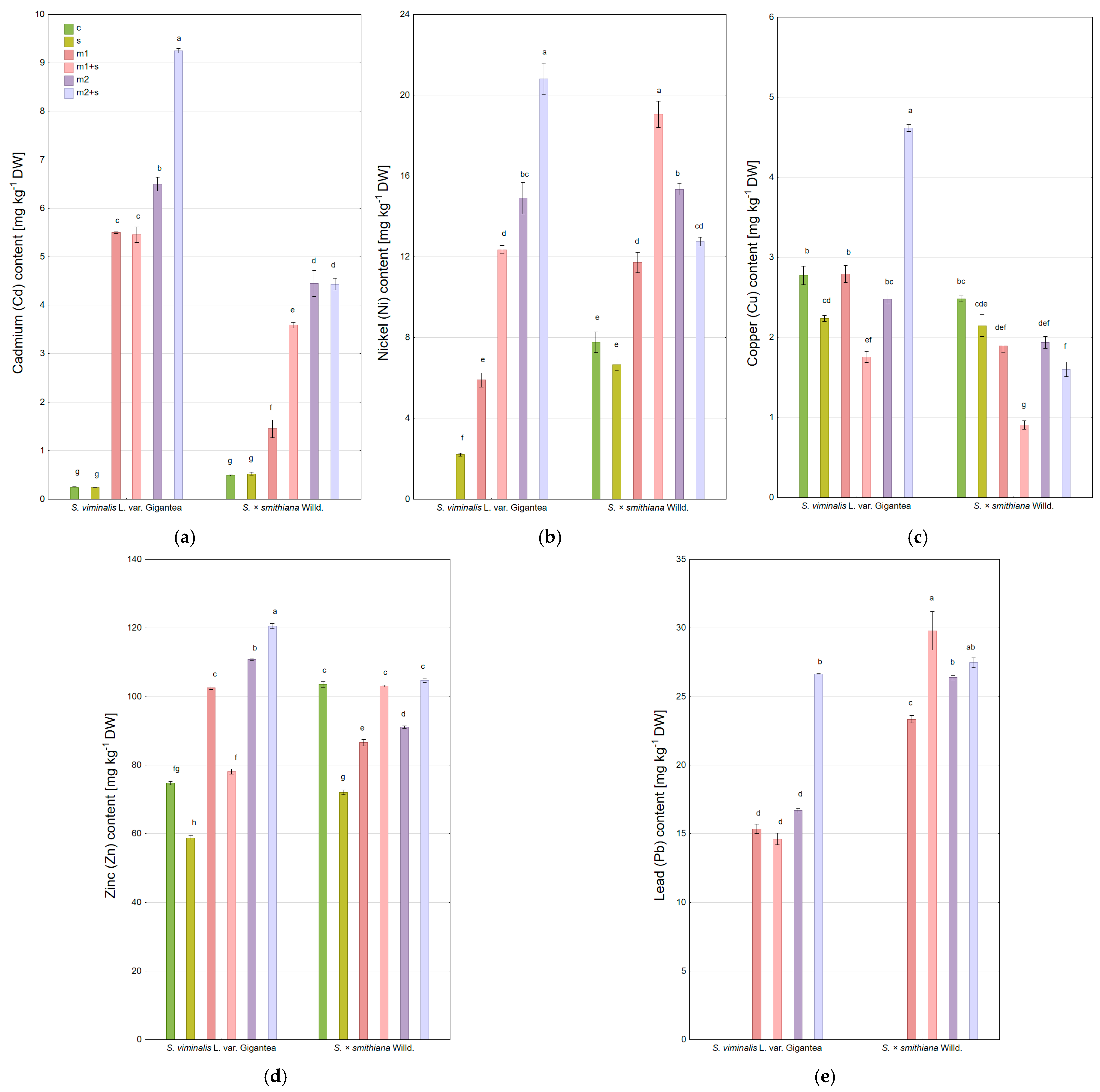
2.3. Metal Content in Willow Organs
2.3.1. Leaves
2.3.2. Stems
2.3.3. Roots
2.3.4. Metal Accumulation Ratios
2.4. Principle Component Analysis (PCA)
3. Discussion
3.1. Growth Response
3.2. Water Content as Physiological Response
3.3. Mechanism of Plant Reaction Behind Salinity Effect on Heavy Metal Toxicity
3.4. Metal Uptake and Accumulation Patterns
3.5. Implications for Phytoremediation of Metal-Polluted Soil
4. Materials and Methods
4.1. Plant Material and Experiment Setup
4.2. Relative Water Content of Leaves
4.3. Metal Content in Willow Organs and Uptake Ratios
4.4. Statistical Analysis
5. Conclusions
Author Contributions
Funding
Data Availability Statement
Acknowledgments
Conflicts of Interest
References
- Hou, D.; Jia, X.; Wang, L.; McGrath, S.P.; Zhu, Y.G.; Hu, Q.; Zhao, F.-J.; Bank, M.S.; O’Connor, D.; Nriagu, J. Global Soil Pollution by Toxic Metals Threatens Agriculture and Human Health. Science 2025, 388, 316–321. [Google Scholar] [CrossRef]
- Li, X.; Chen, Y.; Kumar, A.; Wang, Y.; Singh, R.P. Anthropogenic Inputs and Ecotoxicological Impacts of Heavy Metals in Aquatic Systems: A Global Review. Environ. Res. 2024, 258, 119440. [Google Scholar] [CrossRef]
- Ali, H.; Khan, E.; Ilahi, I. Environmental Chemistry and Ecotoxicology of Hazardous Heavy Metals: Environmental Persistence, Toxicity, and Bioaccumulation. J. Chem. 2019, 2019, 6730305. [Google Scholar] [CrossRef]
- Kafle, A.; Timilsina, A.; Gautam, A.; Adhikari, K.; Bhattarai, A.; Aryal, N. Phytoremediation: Mechanisms, Plant Selection and Enhancement by Natural and Synthetic Agents. Environ. Adv. 2022, 8, 100203. [Google Scholar] [CrossRef]
- Spinoni, J.; Naumann, G.; Carrao, H.; Barbosa, P.; Vogt, J. World Drought Frequency, Duration, and Severity for 1951–2010. Int. J. Climatol. 2014, 34, 2792–2804. [Google Scholar] [CrossRef]
- Cramer, W.; Guiot, J.; Fader, M.; Garrabou, J.; Gattuso, J.P.; Iglesias, A.; Lange, M.A.; Lionello, P.; Llasat, M.C.; Paz, S.; et al. Climate Change and Interconnected Risks to Sustainable Development in the Mediterranean. Nat. Clim. Change 2018, 8, 972–980. [Google Scholar] [CrossRef]
- Williams, A.P.; Cook, B.I.; Smerdon, J.E. Rapid Intensification of the Emerging Southwestern North American Megadrought in 2020–2021. Nat. Clim. Change 2022, 12, 232–234. [Google Scholar] [CrossRef]
- Sharma, P.; Jha, A.B.; Dubey, R.S. Enhancing Phytoremediation Efficacy in Plants Cultivated in Heavy Metal-Contaminated Soil under Drought Stress: Understanding Plant Responses and Genetic Engineering Strategies. Water Air Soil Pollut. 2024, 235, 451. [Google Scholar] [CrossRef]
- Hassani, A.; Azapagic, A.; Shokri, N. Predicting Long-Term Dynamics of Soil Salinity and Sodicity on a Global Scale. Proc. Natl. Acad. Sci. USA 2020, 117, 33017–33027. [Google Scholar] [CrossRef]
- Stavi, I.; Thevs, N.; Priori, S. Soil Salinity and Sodicity in Drylands: A Review of Causes, Effects, Monitoring, and Restoration Measures. Front. Environ. Sci. 2021, 9, 712831. [Google Scholar] [CrossRef]
- Alghamdi, S.A. Drought and Salinity Effects on Plant Growth: A Comprehensive Review. SABRAO J. Breed. Genet. 2024, 56, 2331–2340. [Google Scholar] [CrossRef]
- Karp, A.; Shield, I. Bioenergy from plants and the sustainable yield challenge. New Phytol. 2008, 179, 15–32. [Google Scholar] [CrossRef]
- Landberg, T.; Greger, M. Phytoremediation Using Willow in Industrial Contaminated Soil. Sustainability 2022, 14, 8449. [Google Scholar] [CrossRef]
- Pulford, I.D.; Watson, C. Phytoremediation of Heavy Metal-Contaminated Land by Trees—A Review. Environ. Int. 2003, 29, 529–540. [Google Scholar] [CrossRef]
- Cao, Y.; Tan, Q.; Zhang, F.; Ma, C.; Xiao, J.; Chen, G. Phytoremediation Potential Evaluation of Multiple Salix Clones for Heavy Metals (Cd, Zn and Pb) in Flooded Soils. Sci. Total Environ. 2022, 813, 152482. [Google Scholar] [CrossRef]
- Mleczek, M.; Rutkowski, P.; Goliński, P.; Kaczmarek, Z.; Szentner, K.; Waliszewska, B.; Stolarski, M.; Szczukowski, S. Biological Diversity of Salix Taxa in Cu, Pb and Zn Phytoextraction from Soil. Int. J. Phytoremediation 2017, 19, 121–132. [Google Scholar] [CrossRef] [PubMed]
- Nagajyoti, P.C.; Lee, K.D.; Sreekanth, T.V.M. Heavy Metals, Occurrence and Toxicity for Plants: A Review. Environ. Chem. Lett. 2010, 8, 199–216. [Google Scholar] [CrossRef]
- DalCorso, G.; Farinati, S.; Furini, A. Regulatory Networks of Cadmium Stress in Plants. Plant Signal. Behav. 2010, 5, 663–667. [Google Scholar] [CrossRef]
- Landberg, T.; Greger, M. Differences in Uptake and Tolerance to Heavy Metals in Salix from Unpolluted and Polluted Areas. Appl. Geochem. 1996, 11, 175–180. [Google Scholar] [CrossRef]
- Jalal, A.; Oliveira Junior, J.C.; Ribeiro, J.S.; Fernandes, G.C.; Mariano, G.G.; Trindade, V.D.R.; Reis, A.R.D. Hormesis in Plants: Physiological and Biochemical Responses. Ecotoxicol. Environ. Saf. 2021, 207, 111225. [Google Scholar] [CrossRef]
- Manousaki, E.; Kalogerakis, N. Halophytes—An Emerging Trend in Phytoremediation. Int. J. Phytoremediation 2011, 13, 959–969. [Google Scholar] [CrossRef] [PubMed]
- Parida, A.K.; Das, A.B. Salt Tolerance and Salinity Effects on Plants: A Review. Ecotoxicol. Environ. Saf. 2005, 60, 324–349. [Google Scholar] [CrossRef] [PubMed]
- Guo, N.; Fan, L.; Cao, Y.; Ling, H.; Xu, G.; Zhou, J.; Chen, Q.; Tao, J. Comparison of Two Willow Genotypes Reveals Potential Roles of Iron-Regulated Transporter 9 and Heavy-Metal ATPase 1 in Cadmium Accumulation and Resistance in Salix suchowensis. Ecotoxicol. Environ. Saf. 2022, 244, 114065. [Google Scholar] [CrossRef]
- Drzewiecka, K.; Gąsecka, M.; Magdziak, Z.; Rybak, M.; Budzyńska, S.; Rutkowski, P.; Niedzielski, P.; Mleczek, M. Drought Differently Modifies Tolerance and Metal Uptake in Zn- or Cu-Treated Male and Female Salix × fragilis L. Forests 2024, 15, 562. [Google Scholar] [CrossRef]
- Asbjornsen, H.; Goldsmith, G.R.; Alvarado-Barrientos, M.S.; Rebel, K.T.; van Osch, F.P.; Rietkerk, M.G.; Chen, J.; Gotsch, S.; Tobón, C.; Geissert, D.R.; et al. Ecohydrological Advances and Applications in Plant-Water Relations Research: A Review. J. Plant Ecol. 2011, 4, 3–22. [Google Scholar] [CrossRef]
- Szabados, L.; Savouré, A. Proline: A Multifunctional Amino Acid. Trends Plant Sci. 2010, 15, 89–97. [Google Scholar] [CrossRef]
- Yadav, S.K. Heavy Metals Toxicity in Plants: An Overview on the Role of Glutathione and Phytochelatins in Heavy Metal Stress Tolerance of Plants. S. Afr. J. Bot. 2010, 76, 167–179. [Google Scholar] [CrossRef]
- Verslues, P.E.; Agarwal, M.; Katiyar-Agarwal, S.; Zhu, J.; Zhu, J.K. Methods and Concepts in Quantifying Resistance to Drought, Salt and Freezing, Abiotic Stresses that Affect Plant Water Status. Plant J. 2006, 45, 523–539. [Google Scholar] [CrossRef]
- Zhu, J.K. Abiotic Stress Signaling and Responses in Plants. Cell 2016, 167, 313–324. [Google Scholar] [CrossRef]
- Jiang, C.; Wang, Y.; Chen, Y.; Wang, S.; Mu, C.; Shi, X. The Phytoremediation Potential of 14 Salix Clones Grown in Pb/Zn and Cu Mine Tailings. Forests 2024, 15, 257. [Google Scholar] [CrossRef]
- Mleczek, M.; Rissmann, I.; Rutkowski, P.; Kaczmarek, Z.; Goliński, P. Accumulation of Selected Heavy Metals by Different Genotypes of Salix. Environ. Exp. Bot. 2009, 66, 289–296. [Google Scholar] [CrossRef]
- Tőzsér, D.; Magura, T.; Simon, E. Heavy Metal Uptake by Plant Parts of Willow Species: A Meta-Analysis. J. Hazard. Mater. 2017, 336, 101–109. [Google Scholar] [CrossRef] [PubMed]
- Lux, A.; Martinka, M.; Vaculík, M.; White, P.J. Root Responses to Cadmium in the Rhizosphere: A Review. J. Exp. Bot. 2011, 62, 21–37. [Google Scholar] [CrossRef]
- Liu, Y.; Chen, G.C.; Zhang, J.; Shi, X.; Wang, R. Uptake of Cadmium from Hydroponic Solutions by Willows (Salix spp.) Seedlings. Afr. J. Biotechnol. 2011, 10, 16209–16218. [Google Scholar]
- Urošević, J.; Stanković, D.; Jokanović, D.; Trivan, G.; Rodzkin, A.; Jović, Đ.; Jovanović, F. Phytoremediation Potential of Different Genotypes of Salix alba and S. viminalis. Plants 2024, 13, 735. [Google Scholar] [CrossRef]
- Sanità di Toppi, L.; Gabbrielli, R. Response to Cadmium in Higher Plants. Environ. Exp. Bot. 1999, 41, 105–130. [Google Scholar] [CrossRef]
- McBride, M.B.; Martinez, C.E.; Kim, B. Zn, Cd, S and Trace Metal Bioaccumulation in Willow (Salix spp.) Cultivars Grown Hydroponically. Int. J. Phytoremediation 2016, 18, 1178–1186. [Google Scholar] [CrossRef]
- Ali, H.; Khan, E.; Sajad, M.A. Phytoremediation of Heavy Metals—Concepts and Applications. Chemosphere 2013, 91, 869–881. [Google Scholar] [CrossRef]
- Tlustoš, P.; Száková, J.; Vysloužilová, M.; Pavlíková, D.; Weger, J.; Javorská, H. Variation in the Uptake of Arsenic, Cadmium, Lead, and Zinc by Different Species of Willows Salix spp. Grown in Contaminated Soils. Cent. Eur. J. Biol. 2007, 2, 254–275. [Google Scholar] [CrossRef]
- Kacálková, L.; Tlustoš, P.; Száková, J. Phytoextraction of Cadmium, Copper, Zinc and Mercury by Selected Plants. Plant Soil Environ. 2009, 55, 294–304. [Google Scholar] [CrossRef]
- Zurayk, R.A.; Khoury, N.F.; Talhouk, S.N.; Baalbaki, R.Z. Salinity-Heavy Metal Interactions in Four Salt-Tolerant Plant Species. J. Plant Nutr. 2001, 24, 1773–1786. [Google Scholar] [CrossRef]
- Acosta, J.A.; Jansen, B.; Kalbitz, K.; Faz, A.; Martínez-Martínez, S. Salinity Increases Mobility of Heavy Metals in Soils. Chemosphere 2011, 85, 1318–1324. [Google Scholar] [CrossRef]
- Utmazian, M.N.D.S.; Wieshammer, G.; Vega, R.; Wenzel, W.W. Hydroponic Screening for Metal Resistance and Accumulation of Cadmium and Zinc in Twenty Clones of Willows and Poplars. Environ. Pollut. 2007, 148, 155–165. [Google Scholar] [CrossRef]
- Tóth, G.; Hermann, T.; da Silva, M.R.; Montanarella, L. Heavy Metals in Agricultural Soils of the European Union with Implications for Food Safety. Environ. Int. 2016, 88, 299–309. [Google Scholar] [CrossRef]
- Weatherley, P.E.; Slatyer, R.O. Relationship Between Relative Turgidity and Diffusion Pressure Deficit in Leaves. Nature 1957, 179, 1085–1086. [Google Scholar] [CrossRef]
- Baker, A.J. Accumulators and Excluders—Strategies in the Response of Plants to Heavy Metals. J. Plant Nutr. 1981, 3, 643–654. [Google Scholar] [CrossRef]
- Ma, L.Q.; Komar, K.M.; Tu, C.; Zhang, W.; Cai, Y.; Kennelley, E.D. A Fern That Hyperaccumulates Arsenic. Nature 2001, 409, 579. [Google Scholar] [CrossRef]







| Month | Parameter | ||
|---|---|---|---|
| Ambient temperature (°C) | |||
| min | max | mean | |
| April | −1.8 | 27.2 | 11.1 |
| May | 2.1 | 27.0 | 17.0 |
| June | 5.9 | 33.7 | 18.8 |
| Air relative humidity (%) | |||
| min | max | mean | |
| April | 28 | 95 | 71 |
| May | 28 | 100 | 67 |
| June | 44 | 100 | 74 |
| Precipitation | |||
| time (min) | amount (mm) | days with | |
| April | 1068 | 27.5 | 14 |
| May | 1155 | 39.7 | 12 |
| June | 1112 | 41.2 | 16 |
| Radiation (W/m2) | |||
| min | max | mean | |
| April | 0 | 1264 | 169 |
| May | 0 | 1104 | 237 |
| June | 0 | 1147 | 224 |
| Light intensity (Lux) | |||
| min | max | mean | |
| April | 1 | 151,738 | 20,355 |
| May | 1 | 132,475 | 28,481 |
| June | 1 | 137,659 | 26,893 |
| Metal | Lower Guideline Value (m1) | Higher Guideline Value (m2) |
|---|---|---|
| Cd | 10 | 20 |
| Ni | 100 | 150 |
| Cu | 150 | 200 |
| Zn | 250 | 400 |
| Pb | 200 | 750 |
Disclaimer/Publisher’s Note: The statements, opinions and data contained in all publications are solely those of the individual author(s) and contributor(s) and not of MDPI and/or the editor(s). MDPI and/or the editor(s) disclaim responsibility for any injury to people or property resulting from any ideas, methods, instructions or products referred to in the content. |
© 2025 by the authors. Licensee MDPI, Basel, Switzerland. This article is an open access article distributed under the terms and conditions of the Creative Commons Attribution (CC BY) license (https://creativecommons.org/licenses/by/4.0/).
Share and Cite
Drzewiecka, K.; Kaźmierczak, Z.; Woźniak, M.; Rybak, M. The Effect of Salinity on Heavy Metal Tolerance in Two Energy Willow Varieties. Plants 2025, 14, 1747. https://doi.org/10.3390/plants14121747
Drzewiecka K, Kaźmierczak Z, Woźniak M, Rybak M. The Effect of Salinity on Heavy Metal Tolerance in Two Energy Willow Varieties. Plants. 2025; 14(12):1747. https://doi.org/10.3390/plants14121747
Chicago/Turabian StyleDrzewiecka, Kinga, Zuzanna Kaźmierczak, Magdalena Woźniak, and Michał Rybak. 2025. "The Effect of Salinity on Heavy Metal Tolerance in Two Energy Willow Varieties" Plants 14, no. 12: 1747. https://doi.org/10.3390/plants14121747
APA StyleDrzewiecka, K., Kaźmierczak, Z., Woźniak, M., & Rybak, M. (2025). The Effect of Salinity on Heavy Metal Tolerance in Two Energy Willow Varieties. Plants, 14(12), 1747. https://doi.org/10.3390/plants14121747

