Corchorus tridens L.: A Review of Its Botany, Phytochemistry, Nutritional Content and Pharmacological Properties
Abstract
1. Introduction
2. Distribution and Characteristics
2.1. Botanical Description
2.2. Taxonomy
2.3. Variation and Distribution
3. Traditional Uses
4. Chemical Constituents of Corchorus tridens L.
4.1. Phytochemical Content
4.2. Bioactive Compounds Identified
4.3. Nutritional Contents
5. Biological Activities
5.1. Anti-Microbial Activities
5.2. Anti-Oxidant Activities
5.3. Pesticidal Properties
6. Toxicology and Clinical Trials
7. Search Procedure
7.1. Inclusion and Exclusion Criteria
7.1.1. Inclusion Criteria
- Access to full-text articles in English.
- Published studies with information on the botany, distribution, taxonomy, toxicity, pharmacological activities, traditional uses, nutritional content, phytochemical content, and bioactive compounds of Corchorus tridens L. and other species within the same genus were included when reviewing the literature for this review paper.
7.1.2. Exclusion Criteria
- Articles that were not published in English were excluded.
- Articles that did not have any information on the plant were excluded.
- Studies that only listed the plant’s name without providing details on its botany, distribution, traditional uses, phytochemistry, pharmacological and biological effects, nutritional value, or other purposes were excluded.
7.2. Risk Bias Assessment
8. Limitations
9. Future Perspectives
10. Conclusions
Author Contributions
Funding
Data Availability Statement
Conflicts of Interest
References
- Khedher, A.; Dhibi, S.; Bouzenna, H.; Akermi, S.; El Feki, A.; Teles, P.H.V.; Almeida, J.R.G.S.; Hfaiedh, N. Antiulcerogenic and antioxidant activities of Plantago ovata ethanolic extract in rats. Braz. J. Biol. 2022, 84, e255120. [Google Scholar] [CrossRef] [PubMed]
- Fawzi, N.M. Seed morphology and its implication in classification of some selected species of genus Corchorus L. (Malvaceae). Middle East J. Agric. Res. 2018, 7, 1–11. [Google Scholar]
- Tharmabalan, R.T. Nutritional Profiles of Four Promising Wild Edible Plants Commonly Consumed by the Semai in Malaysia. Curr. Dev. Nutr. 2023, 7, 100054. [Google Scholar] [CrossRef] [PubMed]
- Alam, M.K.; Rana, Z.H.; Islam, S.N.; Akhtaruzzaman, M. Comparative assessment of nutritional composition, polyphenol profile, antidiabetic and antioxidative properties of selected edible wild plant species of Bangladesh. Food Chem. 2020, 320, 126646. [Google Scholar] [CrossRef]
- Sivakumar, D.; Chen, L.; Sultanbawa, Y. A comprehensive review on beneficial dietary phytochemicals in common traditional Southern African leafy vegetables. Food Sci. Nutr. 2018, 6, 714–727. [Google Scholar] [CrossRef] [PubMed]
- Bi, T.; Honoré, I.; Bernard, A.C.; Koffi, G. Evaluation of the iron content of the genus Corchorus species encountered in Cote d’ivoire. J. Pharmacogn. Phytochem. 2020, 9, 19–21. [Google Scholar]
- Mathibela, K.M. An Investigation into Aspects of Medicinal Plant Use by Traditional Healers from Blouberg Mountain, Limpopo Province, South Africa. Ph.D. Thesis, University of Limpopo, Polokwane, South Africa, 2013. [Google Scholar]
- Edmonds, J.M. Herbarium Survey of African Corchorus L. Species; IBPGR: Rome, Italy, 1990; ISBN 92-9043-191-1. [Google Scholar]
- Maroyi, A. Use of weeds as traditional vegetables in Shurugwi District, Zimbabwe. J. Ethnobiol. Ethnomed. 2013, 9, 60. [Google Scholar] [CrossRef] [PubMed]
- Mathieu, G.; Meissa, D. Traditional leafy vegetables in Senegal: Diversity and medicinal uses. Afr. J. Tradit. Complement. Altern. Med. 2007, 4, 469–475. [Google Scholar] [CrossRef]
- Schönfeldt, H.C.; Pretorius, B. The nutrient content of five traditional South African dark green leafy vegetables—A preliminary study. J. Food Compos. Anal. 2011, 24, 1141–1146. [Google Scholar] [CrossRef]
- Duguma, H.T. Wild Edible Plant Nutritional Contribution and Consumer Perception in Ethiopia. Int. J. Food Sci. 2020, 2020, 2958623. [Google Scholar] [CrossRef]
- García-Herrera, P.; Sánchez-Mata, M.C.; Cámara, M.; Fernández-Ruiz, V.; Díez-Marqués, C.; Molina, M.; Tardío, J. Nutrient composition of six wild edible Mediterranean Asteraceae plants of dietary interest. J. Food Compos. Anal. 2014, 34, 163–170. [Google Scholar] [CrossRef]
- Mabogo, D.E.N. The Ethnobotany of the Vha Venda. Master’s Thesis, University of Pretoria, Pretoria, South Africa, 1990; p. 264. [Google Scholar]
- Shatri, A.M.N.; Mumbengegwi, D.R. Ethnomedicinal use and phytochemical analysis of medicinal plants used to treat gastrointestinal conditions by Awambo people in Iikokola Village, Namibia. Sci. Afr. 2022, 18, e01428. [Google Scholar] [CrossRef]
- Maroyi, A. An ethnobotanical survey of medicinal plants used by the people in Nhema communal area, Zimbabwe. J. Ethnopharmacol. 2011, 136, 347–354. [Google Scholar] [CrossRef] [PubMed]
- Kumari, N.; Choudhary, S.B.; Sharma, H.K.; Singh, B.K.; Kumar, A.A. Health-promoting properties of Corchorus leaves: A review. J. Herb. Med. 2019, 15, 100240. [Google Scholar] [CrossRef]
- Ushie, O.; Kendeson, A.; Longbab, B.; Galadima, A. Antioxidants activities of four different solvent extracts of Corchorus tridens leaf using DPPH free radical scavenging assay. J. Chem. Res. Adv. Res. Artic. 2023, 4, 10–14. [Google Scholar]
- Kapoor, B.; Raksha, M.; Sanjay, A.; Swati, L.; Veena, P. Antimicrobial screening of some herbal plants of the Rajasthan desert: An overview. Unique J. Eng. Adv. Sci. 2013, 1, 38–40. [Google Scholar]
- Isaiah, S.; Kumar, A.C.; Senthamizh, N. Phytochemical Screening, Anti-microbial Activity and GC-MS Analysis of Corchorus tridens L. Int. J. Pharmacol. Res. 2016, 6, 2277–3312. [Google Scholar] [CrossRef]
- Gotyal, B.S.; Selvaraj, K.; Meena, P.N.; Satpathy, S. Host Plant Resistance in Cultivated Jute and Its Wild Relatives towards Jute Hairy Caterpillar Spilosoma obliqua (Lepidoptera: Arctiidae). Fla. Entomol. 2015, 98, 721–727. [Google Scholar] [CrossRef]
- Gwarzo, U.S.; Gimba, C.E.; Ademeyo, D.J.; Paul, E.D. Neutron Activation Analysis (NAA) and Energy Dispersive X-ray Fluorescence Analysis (EDXRF) on Corchorus tridens Linn. ChemSearch J. 2017, 8, 50–55. [Google Scholar]
- Freiberger, C.E.; Vanderjagt, D.J.; Pastuszyn, A.; Glew, R.S.; Mounkaila, G.; Millson, M.; Glew, R.H. Nutrient content of the edible leaves of seven wild plants from Niger. Plant Foods Hum. Nutr. 1998, 53, 57–69. [Google Scholar] [CrossRef]
- Sanigwarzo, U. Nutritional Quality of Corchorus tridens Linn. IOSR J. Appl. Chem. (IOSR-JAC) 2018, 11, 36–39. [Google Scholar]
- Mahdy, E.M.B.; Ahmad, H. A study of Corchorus L. diversity in Egypt using high-throughput phenotyping platform (HTPP): An Egyptian gene bank example. Genet. Resour. Crop Evol. 2023, 70, 2009–2019. [Google Scholar] [CrossRef]
- Benor, S.; Blattner, F.R.; Demissew, S.; Hammer, K. Collection and ethnobotanical investigation of Corchorus species in Ethiopia: Potential leafy vegetables for dry regions. Genet. Resour. Crop Evol. 2010, 57, 293–306. [Google Scholar] [CrossRef]
- Emongor, V.E.; Mathowa, T.; Kabelo, S. The Effect of Hot Water, Sulphuric Acid, Nitric Acid, Gibberellic Acid and Ethephon on the Germination of Corchorus (Corchorus tridens) Seed. J. Agron. 2004, 3, 196–200. [Google Scholar] [CrossRef][Green Version]
- Choudhary, S.B.; Sharma, H.K.; Karmakar, P.G.; Kumar, A.A.; Saha, A.R.; Hazra, P.; Mahapatra, B.S. Nutritional profile of cultivated and wild jute (Corchorus) species. Aust. J. Crop Sci. 2013, 7, 1973–1982. [Google Scholar]
- Bera, A.; Mukhopadhyay, E.; Kar, C.S.; Kumar, M.; Bhandari, H.R. Efficacy of scarification treatments on release of seed coat-imposed dormancy in five wild species of genus Corchorus. S. Afr. J. Bot. 2020, 135, 144–147. [Google Scholar] [CrossRef]
- Adeyinka, A.C.; Akintade, M.J. Morphological characterisation and hybridisation in four species of Corchorus. J. Biol. Nat. 2015, 4, 179–192. [Google Scholar]
- Khan, M.S.; Bano, S.; Javed, K.; Mueed, M.A. A comprehensive review on the chemistry, and pharmacology of Corchorus species—A source of cardiac glycosides, triterpenoids, ionones, flavonoinds, coumarins, steroids and some other compounds. J. Sci. Ind. Res. 2006, 65, 283–293. [Google Scholar]
- Majumder, S.; Saha, P.; Datta, K.; Datta, S.K. Fiber crop, jute improvement by using genomics and genetic engineering. In Advancement in Crop Improvement Techniques; Elsevier: Oxford, UK, 2020; pp. 363–383. [Google Scholar] [CrossRef]
- Magwede, K.; van Wyk, B.E.; van Wyk, A.E. An inventory of Vhavenḓa useful plants. S. Afr. J. Bot. 2019, 122, 57–89. [Google Scholar] [CrossRef]
- Benor, S. Molecular phylogeny of the genus Corchorus (Grewioideae, Malvaceae s.l.) based on nuclear rDNA ITS sequences. Crop J. 2018, 6, 552–563. [Google Scholar] [CrossRef]
- Nair, K.P. Utilizing Crop Wild Relatives to Combat Global Warming. Adv. Agron. 2019, 153, 175–258. [Google Scholar] [CrossRef]
- POWO, Plants of the World Online. Facilitated by the Royal Botanic Gardens, Kew. Available online: https://powo.science.kew.org/results?q=Corchorus%20tridens (accessed on 5 July 2023).
- Corchorus tridens L. in GBIF Secretariat, “Corchorus tridens L.”. Available online: https://www.gbif.org/species/3152090 (accessed on 21 July 2023).
- Dzerefos, C.M.; Shackleton, C.M.; Scholes, M.C. Seed Germination, Nitrogen Nutrition and Water Requirements of the Edible Herb Corchorus tridens (Tiliaceae). Econ. Bot. 1995, 49, 380–386. [Google Scholar] [CrossRef]
- Moyo, M.; Aremu, A.O.; Van Staden, J. Medicinal plants: An invaluable, dwindling resource in sub-Saharan Africa. J. Ethnopharmacol. 2015, 174, 595–606. [Google Scholar] [CrossRef] [PubMed]
- Magwede, K.; Van Wyk, B.E. A quantitative survey of Vhavenda useful plants. S. Afr. J. Bot. 2018, 115, 295. [Google Scholar] [CrossRef]
- Shaheen, H.; Qureshi, R.; Qaseem, M.F.; Amjad, M.S.; Bruschi, P. The cultural importance of indices: A comparative analysis based on the useful wild plants of Noorpur Thal Punjab, Pakistan. Eur. J. Integr. Med. 2017, 12, 27–34. [Google Scholar] [CrossRef]
- Datta, S.; Sinha, B.K.; Bhattacharjee, S.; Seal, T. Nutritional composition, mineral content, antioxidant activity and quantitative estimation of watewater-solubleamins and phenolics by RP-HPLC in some lesser used wild edible plants. Heliyon 2019, 5, 1431. [Google Scholar] [CrossRef] [PubMed]
- Cook, J.A.; VanderJagt, D.J.; Pastuszyn, A.; Mounkaila, G.; Glew, R.S.; Millson, M.; Glew, R.H. Short communication: Nutrient and Chemical Composition of 13 Wild Plant Foods of Niger. J. Food Compos. Anal. 2000, 13, 83–92. [Google Scholar] [CrossRef]
- Hamill, F.A.; Apio, S.; Mubiru, N.K.; Bukenya-Ziraba, R.; Mosango, M.; Maganyi, O.W.; Soejarto, D.D. Traditional herbal drugs of Southern Uganda, II: Literature analysis and antimicrobial assays. J. Ethnopharmacol. 2003, 84, 57–78. [Google Scholar] [CrossRef] [PubMed]
- Hedimbi, M.; Chinsembu, K.C. Ethnomedicinal study of plants used to manage HIV/AIDS-related disease conditions in the Ohangwena region, Namibia. Int. J. Med. Plants Res. 2012, 1, 4–11. [Google Scholar]
- Ojelel, S.; Mucunguzi, P.; Katuura, E.; Kakudidi, E.K.; Namaganda, M.; Kalema, J. Wild edible plants used by communities in and around selected forest reserves of Teso-Karamoja region, Uganda. J. Ethnobiol. Ethnomed. 2019, 15, 3. [Google Scholar] [CrossRef]
- Ray, A.; Ray, R.; Sreevidya, E.A. How Many Wild Edible Plants Do We Eat—Their Diversity, Use, and Implications for Sustainable Food System: An Exploratory Analysis in India. Front. Sustain. Food Syst. 2020, 4, 56. [Google Scholar] [CrossRef]
- Radha; Kumar, M.; Puri, S.; Pundir, A.; Bangar, S.P.; Changan, S.; Mekhemar, M. Evaluation of nutritional, phytochemical, and mineral composition of selected medicinal plants for therapeutic uses from cold desert of western himalaya. Plants 2021, 10, 1429. [Google Scholar] [CrossRef] [PubMed]
- White, P.J.; Broadley, M.R. Calcium in Plants. Ann. Bot. 2003, 92, 487–511. [Google Scholar] [CrossRef] [PubMed]
- Wang, X.; Hao, L.; Zhu, B.; Jiang, Z. Plant Calcium Signaling in Response to Potassium Deficiency. Int. J. Mol. Sci. 2018, 19, 3456. [Google Scholar] [CrossRef] [PubMed]
- Morris, A.L.; Mohiuddin, S.S. Biochemistry, Nutrients. In StatPearls; StatPearls Publishing: Tampa, FL, USA, 2023. Available online: https://www.ncbi.nlm.nih.gov/books/NBK554545/ (accessed on 20 August 2023).
- Sande, D.; de Oliveira, G.P.; eMoura, M.A.F.; de Almeida Martins, B.; Lima, M.T.N.S.; Takahashi, J.A. Edible mushrooms as a ubiquitous source of essential fatty acids. Food Res. Int. 2019, 125, 108524. [Google Scholar] [CrossRef] [PubMed]
- Dansi, A.; Adjatin, A.; Adoukonou-Sagbadja, H.; Faladé, V.; Yedomonhan, H.; Odou, D.; Dossou, B. Traditional leafy vegetables and their use in the Benin Republic. Genet. Resour. Crop Evol. 2008, 55, 1239–1256. [Google Scholar] [CrossRef]
- Steyn, N.P.; Olivier, J.; Winter, P.; Burger, S.; Nesamvuni, C. A survey of wild, green, leafy vegetables and their potential in combating micronutrient deficiencies in rural populations. S. Afr. J. Sci. 2001, 97, 276–279. [Google Scholar]
- Teinkela, J.E.M.; Noundou, X.S.; Nguemfo, E.L.; Meyer, F.; Wintjens, R.; Isaacs, M.; Mpondo, A.E.M.; Hoppe, H.C.; Krause, R.W.M.; Azebaze, A.G.B. Biological activities of plant extracts from Ficus elastica and Selaginella vogelli: An antimalarial, antitrypanosomal and cytotoxity evaluation. Saudi J. Biol. Sci. 2018, 25, 117–122. [Google Scholar] [CrossRef] [PubMed]
- Rajput, M.; Kumar, N. Medicinal plants: A potential source of novel bioactive compounds showing antimicrobial efficacy against pathogens infecting hair and scalp. Gene Rep. 2020, 21, 100879. [Google Scholar] [CrossRef]
- Yadav, M.; Chatterji, S.; Gupta, K.; Watal, G. Preliminary phytochemical screening of six medicinal plants used in traditional medicine. Int. J. Pharm. Pharm. Sci. 2014, 6, 539–542. [Google Scholar]
- Mughal, T.A.; Ali, S.; Hassan, A.; Kazmi, S.A.R.; Saleem, M.Z.; Shakir, H.A.; Nazer, S.; Farooq, M.A.; Awan, M.Z.; Khan, M.A.; et al. Phytochemical screening, antimicrobial activity, in vitro and in vivo antioxidant activity of Berberis lycium Royle root bark extract. Braz. J. Biol. 2021, 84, 1678–4375. [Google Scholar] [CrossRef] [PubMed]
- Vaou, N.; Stavropoulou, E.; Voidarou, C.; Tsigalou, C.; Bezirtzoglou, E. Towards advances in medicinal plant antimicrobial activity: A review study on challenges and future perspectives. Microorganisms 2021, 9, 41. [Google Scholar] [CrossRef] [PubMed]
- Negi, B.S.; Dave, B.P.; Agarwal, Y.K. Evaluation of Antimicrobial Activity of Bauhinia purpurea Leaves Under In Vitro Conditions. Indian J. Microbiol. 2012, 52, 360–365. [Google Scholar] [CrossRef]
- Łuczaj, Ł. Ethnobotanical review of wild edible plants of Slovakia. Acta Soc. Bot. Pol. 2012, 81, 245–255. [Google Scholar] [CrossRef]
- Balouiri, M.; Sadiki, M.; Ibnsouda, S.K. Methods for in vitro evaluating antimicrobial activity: A review. J. Pharm. Anal. 2016, 6, 71–79. [Google Scholar] [CrossRef]
- Liu, B.; Wang, M.; Wang, X. Phytochemical analysis and antibacterial activity of methanolic extract of Bergenia purpurascens against common respiratory infection causing bacterial species in vitro and in neonatal rats. Microb. Pathog. 2018, 117, 315–319. [Google Scholar] [CrossRef] [PubMed]
- Altemimi, A.; Lakhssassi, N.; Baharlouei, A.; Watson, D.G.; Lightfoot, D.A. Phytochemicals: Extraction, isolation, and identification of bioactive compounds from plant extracts. Plants 2017, 6, 42. [Google Scholar] [CrossRef] [PubMed]
- Nwozo, O.S.; Effiong, E.M.; Aja, P.M.; Awuchi, C.G. Antioxidant, phytochemical, and therapeutic properties of medicinal plants: A review. Int. J. Food Prop. 2023, 26, 359–388. [Google Scholar] [CrossRef]
- Yimer, A.; Forsido, S.F.; Addis, G.; Ayelign, A. Phytochemical profile and antioxidant capacity of some wild edible plants consumed in Southwest Ethiopia. Heliyon 2023, 9, e15331. [Google Scholar] [CrossRef]
- Biswas, A.; Dey, S.; Xiao, A.; Huang, S.; Birhanie, Z.M.; Deng, Y.; Liu, L.; Li, D. Phytochemical content and antioxidant activity of different anatomical parts of Corchorus olitorius and C. capsularis during different phenological stages. Heliyon 2023, 9, e16494. [Google Scholar] [CrossRef]
- Wanyo, P.; Kaewseejan, N.; Meeso, N.; Siriamornpun, S. Bioactive compounds and antioxidant properties of different solvent extracts derived from Thai rice by-products. Appl. Biol. Chem. 2016, 59, 373–384. [Google Scholar] [CrossRef]
- Nawaz, H.; Shad, M.A.; Rehman, N.; Andaleeb, H.; Ullah, N. Effect of solvent polarity on extraction yield and antioxidant properties of phytochemicals from bean (Phaseolus vulgaris) seeds. Braz. J. Pharm. Sci. 2020, 56, e17129. [Google Scholar] [CrossRef]
- Kasote, D.M.; Katyare, S.S.; Hegde, M.V.; Bae, H. Significance of antioxidant potential of plants and its relevance to therapeutic applications. Int. J. Biol. Sci. 2015, 11, 982–991. [Google Scholar] [CrossRef] [PubMed]
- Lengai, G.M.W.; Muthomi, J.W.; Mbega, E.R. Phytochemical activity and role of botanical pesticides in pest management for sustainable agricultural crop production. Sci. Afr. 2020, 7, e00239. [Google Scholar] [CrossRef]
- Liu, Z.; Li, Q.X.; Song, B. Pesticidal Activity and Mode of Action of Monoterpenes. J. Agric. Food Chem. 2022, 70, 4556–4571. [Google Scholar] [CrossRef] [PubMed]
- Alshabi, A.M.; Alkahtani, S.A.; Shaikh, I.A.; Orabi, M.A.; Abdel-Wahab, B.A.; Walbi, I.A.; Habeeb, M.S.; Khateeb, M.M.; Hoskeri, J.H.; Shettar, A.K.; et al. Phytochemicals from Corchorus olitorius methanolic extract induce apoptotic cell death via activation of caspase-3, anti-Bcl-2 activity, and DNA degradation in breast and lung cancer cell lines. J. King Saud Univ. Sci. 2022, 34, 102238. [Google Scholar] [CrossRef]
- Moher, D.; Liberati, A.; Tetzlaff, J.; Altman, D.G. Preferred reporting items for systematic reviews and meta-analyses: The PRISMA statement. PLoS Med. 2009, 6, e1000097. [Google Scholar] [CrossRef]

| Part Used | Uses | Preparation | Administration | Country/Region | References |
|---|---|---|---|---|---|
| Whole plant | Treatment of stomach pains, diarrhoea | Infusion | This is taken orally as a drink | Namibia (Likokola) | [15] |
| Whole plant | Used for treatment of gonorrhoea and syphilis | Decoction is mixed with Terminalia sericea and Cassia petersiana | The decoction is taken orally as a drink | South Africa (Venda) | [14] |
| Whole plant | Used for treatment of measles | Decoction and steaming | The decoction taken orally, and the steam is inhaled | Uganda (Kampala) | [44] |
| Roots | Used for treatment of back pain | Crushed, mixed with hot water, | The extract is taken orally as a drink | Zimbabwe (Nhema) | [16] |
| Leaves and young shoot | As vegetable and soup herb | Cooked | This is eaten as a meal paired with a starch | Nigeria, South Africa, Uganda and Zimbabwe | [22] |
| Leaves | Used to treat burns, cuts, and syphilis sores | Crushed | This is applied directly to the burns, cuts, and sores | South Africa (Limpopo province) | [8] |
| Used as a plaster to reduce swellings | Chewed | This is applied directly to the affected area | Tanzania (Musoma) | [38] | |
| Fruits | Used to treat jaundice and sexual problems | Juice | The plant is made up to a juice with water and this is taken orally as a drink | Pakistan (Punjab) | [41] |
| Roots, leaves, and whole plant | Used for treatment of fever, genital ulcers and to prevent anaemia. | Decoction | This is taken orally as a drink | Zambia (Livingstone), India | [17,20] |
| Stems and leaves | Used to treat genital ulcers caused by syphilis or chancroids. | Paste | Crushed in water and applied on wounds | Namibia (Ohangwena) | [17,20,45] |
| Plant Part | Solvent Used | Phytochemicals | Analytical Methods Used | References |
|---|---|---|---|---|
| Whole plant | Water and methanol | Total phenol and flavonoid contents, coumarins, flavonoids, tannins, triterpenoids, anthraquinone, alkaloids, and saponins | Standard chemical tests and TLC | [15] |
| Ethanol | Alkaloids, flavonoids, quinines, steroids, phenols, amide, alcohol, halogen compounds, and tannins | Standard chemical tests and FTIR | [20] | |
| Petroleum ether | Alkaloids, flavonoids, quinines, steroids, tannins, carbohydrates, vitamin C, and terpenoids | Standard chemical tests | [20] |
| Name of Compound | Molecular Formula | Molecular Weight | Chemical Structure | Detection Method | |
|---|---|---|---|---|---|
| 1 | 1-Iodo-2-methylundecane | C12H25I | 296 | ![]() | GC-MS |
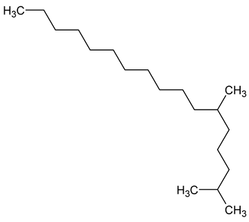
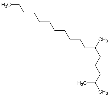
| 2 | Heptadecane, 2,6,10,15-tetramethyl | C21H44 | 296 | ![]() | |
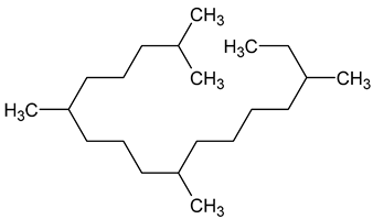
| 3 | Heptadecane, 2,6-dimethyl | C19H40 | 268 | ![]() | |
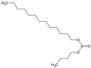
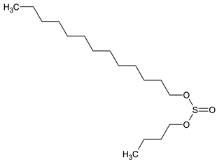
| 4 | Sulphurous acid, hexyl tetradecyl ester | C20H42O3S | 362 | ![]() | |
| 5 | Hexadecanoic acid, 15-methyl, methyl ester | C18H36O2 | 284 | ![]() | |
| 6 | Eicosanoic acid, ethyl ester | C22H42O3 | 340 | ![]() | |
| 7 | n-Hexadecanoic acid | C16H32O2 | 256 | ![]() | |
| 8 | Heptacosane, 1-chloro | C27H55Cl | 414 | ![]() | |
| 9 | 11,14-Eicosadienoic acid, methyl ester | C21H38O2 | 322 | ![]() | |
| 10 | Phytol | C20H40O | 296 | ![]() | |
| 11 | 9-Octadecynoic acid | C18H32O2 | 280 | ![]() | |
| 12 | Tetracontane, 3,5,24-trimethyl | C43H88 | 604 | ![]() | |
| 13 | Tritetracontane | C40H82 | 604 | ![]() | |
| 14 | Sulphurous acid, hexyl pentadecyl ester | C21H44O3S | 376 | ![]() | |
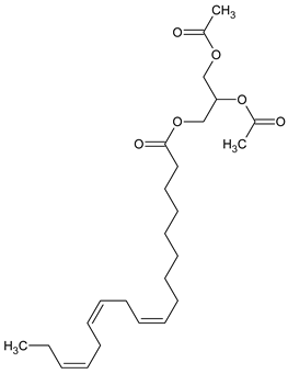
| 15 | 9,12,15-Octadecatrienoic acid, 2,3- bis(acetyloxy)propyl ester, (Z, Z, Z) | C18H30O2 | 436 | ![]() | |
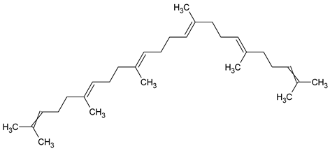
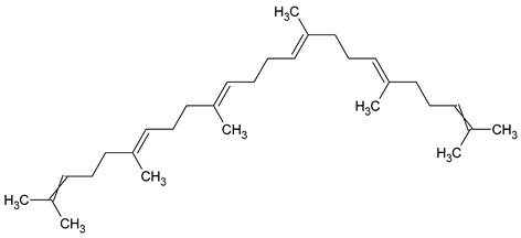
| 16 | Squalene | C30H50 | 410 | ![]() | |
| 17 | Sulphurous acid, butyl tridecyl ester | C17H36O3S | 320 | ![]() | |
| 18 | dl-alpha-Tocopherol | C29H50O2 | 430 | ![]() | |
| 19 | Stigmastan-6,22-dien, 3,5-dedihydro | C29H46 | 394 | ![]() | |
| 20 | Cholesterol 3-O-[(2-acetoxy) ethyl] | C31H52O3 | 472 | ![]() | |
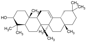
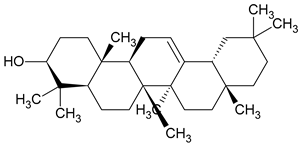
| 21 | β-amyrin | C30H50O | 426 | ![]() |
| Plant Part | Nutritional Content | Amounts | Method of Analysis | References |
|---|---|---|---|---|
| Leaves | Total protein | 3.74% | Micro-Kjeldahl nitrogen methods | [28] |
| Leaves | 2.7–19.0% | Pico-Tag system | [23] | |
| Leaves | Carbohydrates | 7.29 ± 0.07% | Standard analytical methods | [24] |
| Leaves | Crude fibre | 8.40 ± 0.51% | Standard analytical methods | [24] |
| Fatty acids | ||||
| Leaves | 16:0 | 4.65–4.70 mg/g | GC-MS | [23] |
| Leaves | 18:0 | 0.46–0.47 mg/g | GC-MS | [23] |
| Leaves | 18:1n9 | 0.46–0.64 mg/g | GC-MS | [23] |
| Leaves | 18:2n6 | 2.13–3.10 mg/g | GC-MS | [23] |
| Leaves | 18:3n3 | 7.79–10.7 mg/g | GC-MS | [23] |
| Leaves | Amino acids | Pico-Tag system | [23] | |
| Isoleucine | 8.26–10.9 mg/g | |||
| Valine | 12.0–15.3 mg/g | |||
| Phenylalanine | 9.94–14.0 mg/g | |||
| Tyrosine | 8.93–11.4 mg/g | |||
| Lysine | 9.86–12.8 mg/g | |||
| Threonine | 7.03–11.0 mg/g | |||
| Methionine | 2.24–2.58 mg/g | |||
| Cysteine | 4.08–4.87 mg/g | |||
| Tryptophan | 8.21–11.3 mg/g | |||
| Aspartate | 15.6–22.5 mg/g | |||
| Glutamate | 23.1–29.7 mg/g | |||
| Serine | 7.09–10.7 mg/g | |||
| Glycine | 8.55–12.1 mg/g | |||
| Histidine | 3.97–5.83 mg/g | |||
| Arginine | 14.2–19.5 mg/g | |||
| Alanine | 12.0–14.2 mg/g | |||
| Proline | 17.4–19.7 mg/g | |||
| Leucine | 15.5–21.3 mg/g | |||
| Leaves | Ca | 10.200–12.000 µg/g | ICP-AES | [23] |
| Leaves | 14,759.0 ± 2139.0 ppm | NAA | [22] | |
| Leaves | 17,765.0 ± 374.0 ppm | EDXRF | [22] | |
| Stems | 12,350.0 ± 1803 ppm | NAA | [22] | |
| Roots | 3788.0 ± 591.0 ppm | NAA | [22] | |
| Leaves | P | 2.839–4.350 µg/g | ICP-AES | [23] |
| Leaves | K | 3850 mg/kg | Flame photometry | [28] |
| Leaves | 32.600–54.800 µg/g | ICP-AES | [23] | |
| Leaves | 43,120.0 ± 517.0 ppm | NAA | [22] | |
| Leaves | 21,590.0 ± 1884.0 ppm | EDXRF | [22] | |
| Stems | 54,290.0 ± 326 ppm | NAA | [22] | |
| Stems | 13,210.0 ± 349.5 ppm | EDXRF | [22] | |
| Roots | 21,110.0 ± 1457.0 ppm | NAA | [22] | |
| Roots | 8985.0 ± 158.5 ppm | EDXRF | [22] | |
| Leaves | Cu | 9.8–12.8 µg/g | ICP-AES | [23] |
| Leaves | 114.885 ± 11.2 ppm | EDXRF | [22] | |
| Stems | 32.274 ± 2.14 ppm | EDXRF | [22] | |
| Roots | 22.457 ± 13.7 ppm | EDXRF | [22] | |
| Leaves | Fe | 69 mg/kg | Atomic absorption spectrophotometer | [28] |
| Leaves | 385 µg/g dry weight | ICP-AES | [23] | |
| Leaves | 1130.0 ± 73.0 ppm | NAA | [22] | |
| Leaves | 8945.0 ± 89.34 ppm | EDXRF | [22] | |
| Stems | 8005.0 ± 167.0 ppm | EDXRF | [22] | |
| Roots | 376.0 ± 45.0 ppm | EDXRF | [22] | |
| Roots | 8410.0 ± 194.6 ppm | NAA | [22] | |
| Leaves | Se | 9.7–14.9 µg/g | ICP-AES | [23] |
| Leaves | Zn | <5.0 µg/g | ICP-AES | [23] |
| Leaves | 51.0 ± 4.0 ppm | NAA | [22] | |
| Stems | 22.0 ± 3.0 ppm | NAA | [22] | |
| Roots | 14.0 ± 3.0 ppm | NAA | [22] | |
| Leaves | Ba | 138.0 ± 19.0 ppm | NAA | [22] |
| Leaves | 8.825.0 ± 2.1 ppm | EDXRF | [22] | |
| Stems | 111.0 ± 18.0 ppm | NAA | [22] | |
| Roots | BDL | NAA | [22] | |
| Leaves | Mn | 63.2 ± 2.6 ppm | NAA | [22] |
| Leaves | 496.224 ± 39.3 ppm | EDXRF | [22] | |
| Stems | 32.0 ± 1.0 ppm | NAA | [22] | |
| Stems | 234.76 ± 15.7 ppm | EDXRF | [22] | |
| Roots | 23.0 ± 1.0 ppm | NAA | [22] | |
| Roots | 196.92 ± 25.2 ppm | EDXRF | [22] | |
| Leaves | 49.7–49.8 µg/g | ICP-AES | [23] | |
| Leaves | Mg | 3.85–4.78 µg/g | ICP-AES | [23] |
| Leaves | β-Carotene | 47.00 mg/kg | Spectrophotometric method | [28] |
| Leaves | Rb | 23.0 ± 2.0 ppm | NAA | [22] |
| Stems | 20.0 ± 3.0 ppm | NAA | [22] | |
| Roots | 3.9 ± 0.8 ppm | NAA | [22] | |
| Leaves | Co | 0.47 ± 0.11 ppm | NAA | [22] |
| Stems | 0.36 ± 0.12 ppm | NAA | [22] | |
| Roots | BDL | NAA | [22] | |
| Leaves | Ash content | 4.27 ± 1.6 mg/100 g | Standard analytical methods | [24] |
| Leaves | Moisture content | 67.62 ± 0.41% | Standard analytical methods | [24] |
| Leaves | Vitamin A | 345.84 ± 0.21 mg/100 g | Spectrophotometric methods | [24] |
| Leaves | Vitamin B1, | 0.68 ± 0.35 mg/100 g | Spectrophotometric methods | [24] |
| Leaves | Vitamin B2 | 1.072 ± 0.22 mg/100 g | Spectrophotometric methods | [24] |
| Leaves | Vitamin B3 | 0.72 ± 0.02 mg/100 g | Spectrophotometric methods | [24] |
| Leaves | Vitamin C | 178. 83 ± 5.7 mg/100 g | Iodine methods | [24] |
| Plant Part | Solvent Used | Pharmacological Activity | Bioassay Model | Results | Reference Standard | Reference |
|---|---|---|---|---|---|---|
| Leaves | Methanol | In vitro Anti-oxidant | DPPH | IC50 = 34.38 mg/mL | Vitamin C | [18] |
| Ethyl ether | In vitro anti-bacterial | Disk diffusion (S. aureus) | 0.67 I/C a and 0.92 I/P a | Chloramphenicol and penicillin | [19] | |
| Disk diffusion (E. coli) | 0.79 I/C a and 0.89 I/S a | Chloramphenicol and streptomycin | ||||
| In vitro anti-fungal | Disk diffusion (C. albicans) | 0.92 I/M a | Mycostatin | |||
| Alcohol | In vitro anti-bacterial | Disk diffusion (S. aureus) | 0.71 I/C a and 0.82 I/P a | Chloramphenicol and penicillin | ||
| Disk diffusion (E. coli) | 0.89 I/C a and 0.94 I/S a | Chloramphenicol and streptomycin | ||||
| In vitro anti-fungal | Disk diffusion (C. albicans) | 0.73 0.92 I/M a | Mycostatin | |||
| Whole plant | Ethanol | In vitro anti-bacterial | Disk diffusion (S. aureus) | 14 mm | Chloramphenicol | [20] |
| Disk diffusion (B. subtilis | 14 mm | |||||
| Disk diffusion (K. aerogenes) | 14 mm | |||||
| Disk diffusion (E. coli) | 12 mm | |||||
| Petroleum ether | Disk diffusion (S. aureus) | 14 mm | ||||
| Disk diffusion (B. subtilis) | 26 mm | |||||
| Disk diffusion (K. aerogenes) | 13 mm | |||||
| Disk diffusion (E. coli) | 23 mm | |||||
| Leaves | Not indicated | In vitro Pesticidal properties | Has antibiosis effect on larval growth and development of S. oliqua | 3.3 ± 5.8 to 154.0 ± 13.1 mg | Not indicated | [21] |
Disclaimer/Publisher’s Note: The statements, opinions and data contained in all publications are solely those of the individual author(s) and contributor(s) and not of MDPI and/or the editor(s). MDPI and/or the editor(s) disclaim responsibility for any injury to people or property resulting from any ideas, methods, instructions or products referred to in the content. |
© 2024 by the authors. Licensee MDPI, Basel, Switzerland. This article is an open access article distributed under the terms and conditions of the Creative Commons Attribution (CC BY) license (https://creativecommons.org/licenses/by/4.0/).
Share and Cite
Kudumela, R.G.; Ramadwa, T.E.; Mametja, N.M.; Masebe, T.M. Corchorus tridens L.: A Review of Its Botany, Phytochemistry, Nutritional Content and Pharmacological Properties. Plants 2024, 13, 1096. https://doi.org/10.3390/plants13081096
Kudumela RG, Ramadwa TE, Mametja NM, Masebe TM. Corchorus tridens L.: A Review of Its Botany, Phytochemistry, Nutritional Content and Pharmacological Properties. Plants. 2024; 13(8):1096. https://doi.org/10.3390/plants13081096
Chicago/Turabian StyleKudumela, Refilwe Given, Thanyani Emelton Ramadwa, Neo Mokgadi Mametja, and Tracy Madimabi Masebe. 2024. "Corchorus tridens L.: A Review of Its Botany, Phytochemistry, Nutritional Content and Pharmacological Properties" Plants 13, no. 8: 1096. https://doi.org/10.3390/plants13081096
APA StyleKudumela, R. G., Ramadwa, T. E., Mametja, N. M., & Masebe, T. M. (2024). Corchorus tridens L.: A Review of Its Botany, Phytochemistry, Nutritional Content and Pharmacological Properties. Plants, 13(8), 1096. https://doi.org/10.3390/plants13081096






















