Response of Carbon-Fixing Bacteria to Patchy Degradation of the Alpine Meadow in the Source Zone of the Yellow River, West China
Abstract
1. Introduction
2. Materials and Methods
2.1. Site Description
2.2. Experimental Design and Vegetation and Soil Sampling
2.3. Physical and Chemical Analyses of Soil Samples
2.4. DNA Extraction and PCR Analysis
2.5. High-Throughput Sequencing
2.6. Plotting Methods
2.7. Statistical Analysis
3. Results
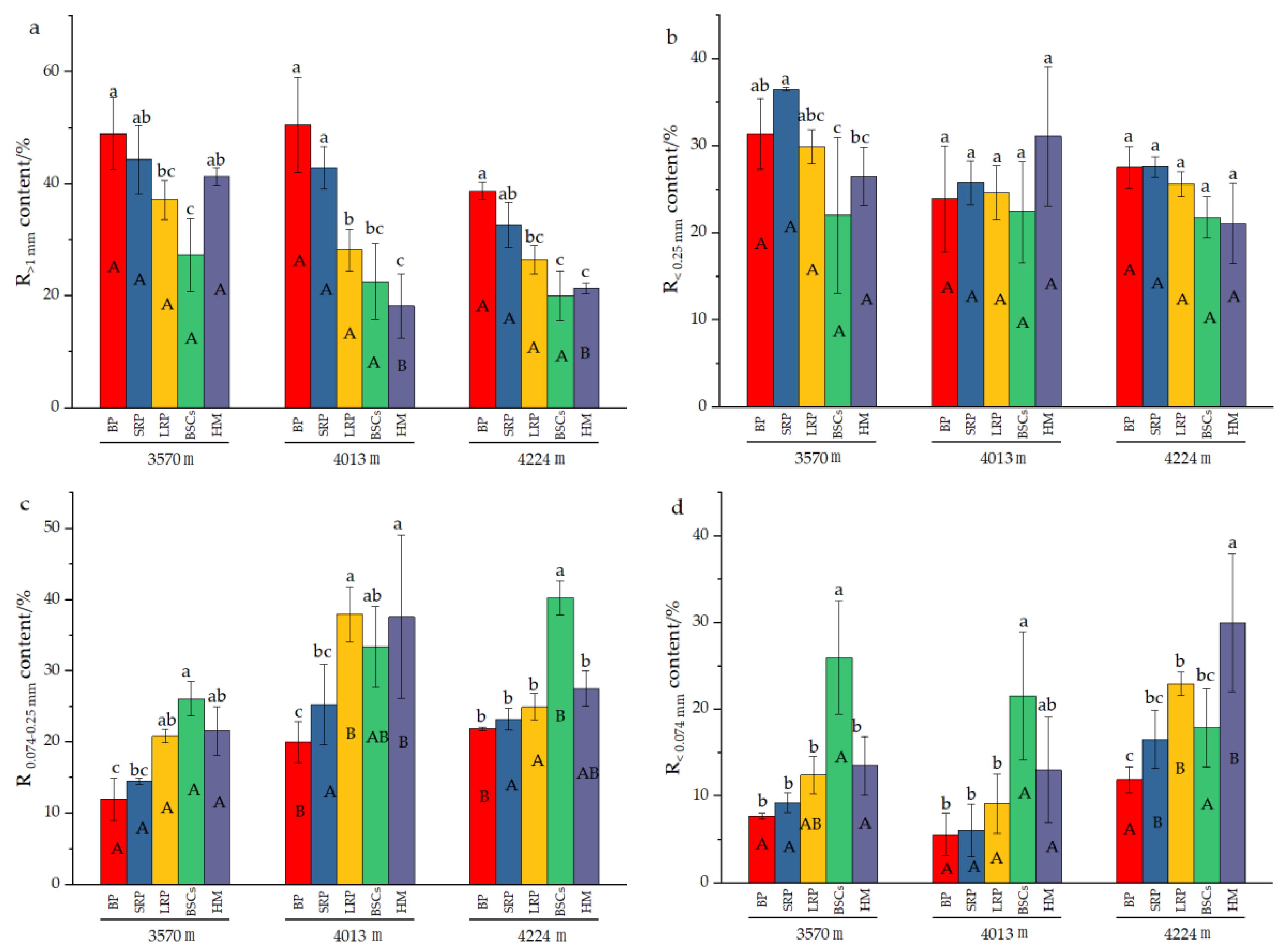
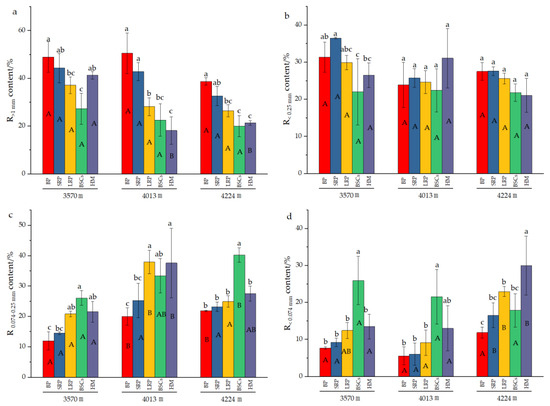
3.1. Vegetation and Soil Physicochemical Properties
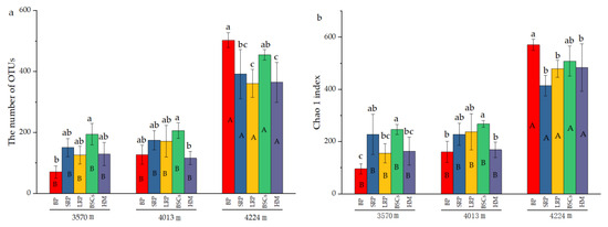
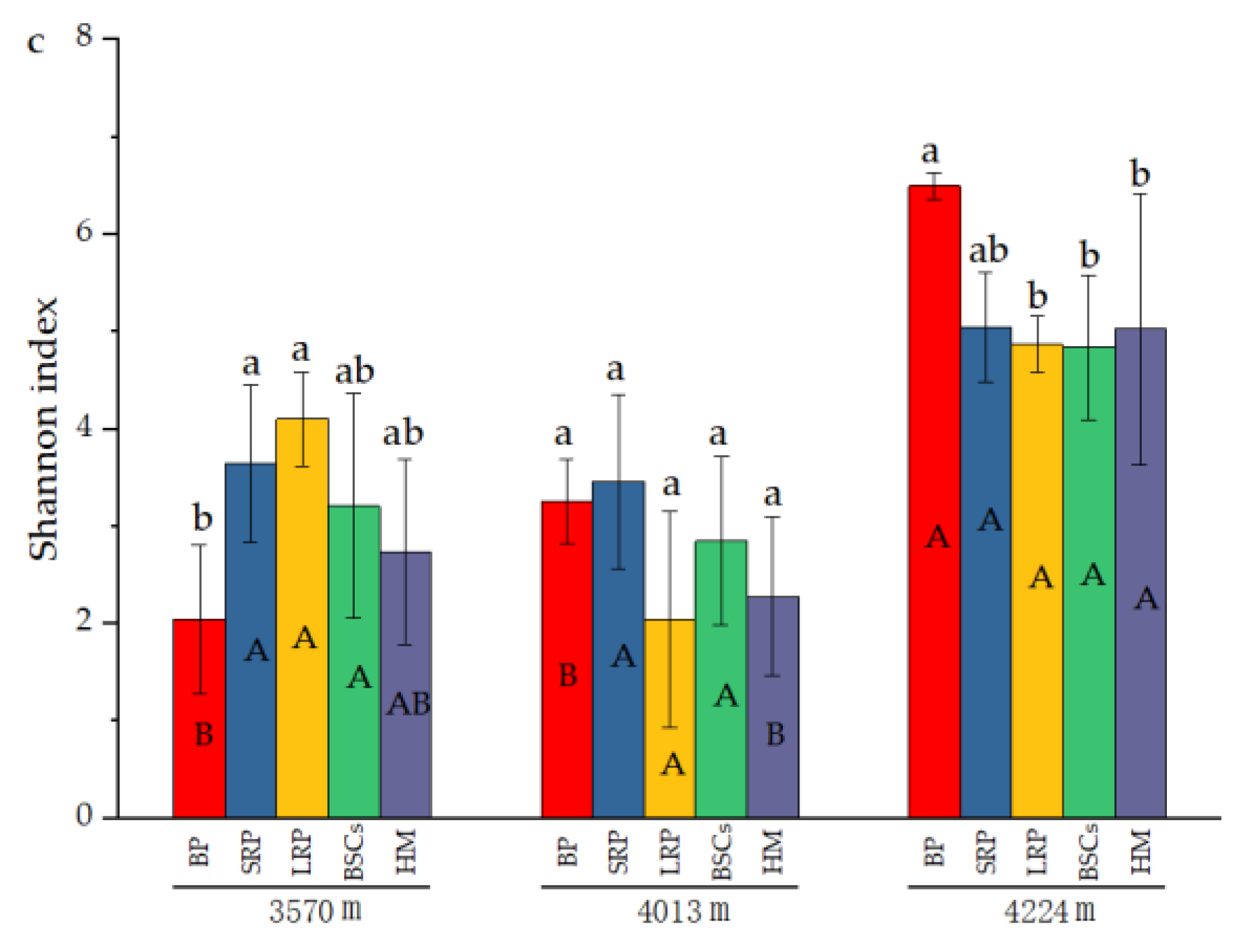
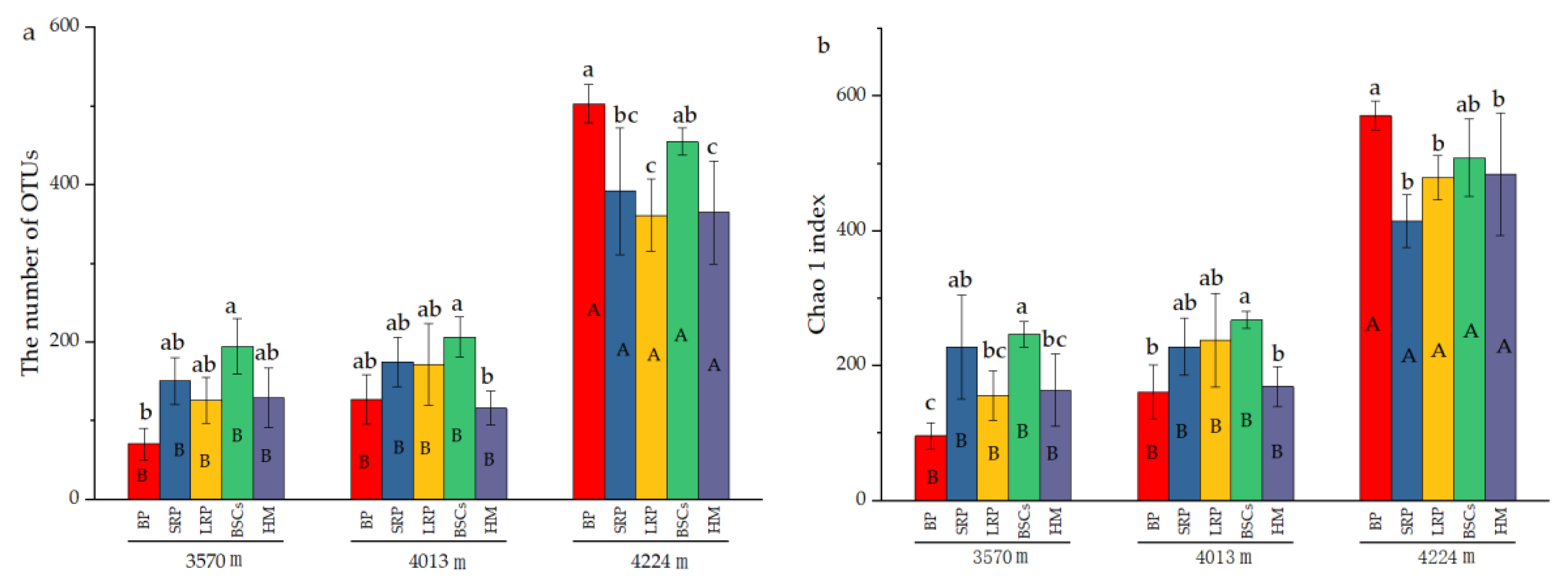
3.2. Diversity of C-Fixing Microbial Community
3.3. Correlations between the C-Fixing Community and Environmental Factors
4. Discussion
4.1. Structure and Diversity of C-Fixing Bacteria
4.2. Effect of Environmental Factors on Carbon Fixing Bacteria
5. Conclusions
Author Contributions
Funding
Data Availability Statement
Acknowledgments
Conflicts of Interest
References
- Philippot, L.; Spor, A.; Hénault, C.; Bru, D.; Bizouard, F.; Jones, C.M.; Sarr, A. Loss in microbial diversity affects nitrogen cycling in soil. ISME J. 2013, 7, 1609–1619. [Google Scholar] [CrossRef] [PubMed]
- Bell, T.; Newman, J.A.; Silverman, B.W.; Turner, S.L.; Lilley, A.K. The contribution of species richness and composition to bacterial services. Nature 2015, 436, 1157–1160. [Google Scholar] [CrossRef] [PubMed]
- Teng, Z.D.; Zhu, Y.D.; Li, M.; Whelan, M.J. Microbial community composition and activity controls phosphorus transformation in rhizosphere soils of the Yeyahu Wetland in Beijing, China. Sci. Total Environ. 2018, 628, 1266–1277. [Google Scholar] [CrossRef]
- Saghai, A.; Wittorf, L.; Philippot, L.; Sara, H. Loss in soil microbial diversity constrains microbiome selection and alters the abundance of N-cycling guilds in barley rhizosphere. Appl. Soil Ecol. 2022, 169, 104224. [Google Scholar] [CrossRef]
- Badger, M.R.; Bek, E.J. Multiple Rubisco forms in proteobacteria: Their functional significance in relation to CO2 acquisition by the CBB cycle. J. Exp. Bot. 2008, 59, 1525–1541. [Google Scholar] [CrossRef]
- Hügler, M.; Sievert, S.M. Beyond the Calvin cycle: Autotrophic carbon fixation in the ocean. Annu. Rev. Mar. Sci. 2010, 3, 261–289. [Google Scholar] [CrossRef] [PubMed]
- Falkowski, P.; Scholes, R.J.; Boyle, E.; Canadell, J.; Canfield, D.; Elser, J.; Gruber, N.; Hibbard, K.; Hogberg, P.; Linder, S.; et al. The global carbon cycle: A test of our knowledge of earth as a system. Science 2000, 290, 291–296. [Google Scholar] [CrossRef]
- Tabita, F.R. Microbial ribulose 1,5-bisphosphate carboxylase/oxygenase: A different perspective. Photosynth. Res. 1999, 60, 1–28. [Google Scholar] [CrossRef]
- Kelly, D.P.; Wood, A.P. Reclassification of some species of Thiobacillus to the newly designated genera Acidithiobacillus gen. nov. Halothiobacillus gen. nov. and Thermithiobacillus gen. nov. Int. J. Syst. Evol. Micr. 2000, 50, 511–516. [Google Scholar] [CrossRef]
- Berg, I.A. Ecological aspects of the distribution of different autotrophic CO2 fixation pathways. Appl. Environ. Microbiol. 2011, 77, 1925–1936. [Google Scholar] [CrossRef]
- Selesi, D.; Pattis, I.; Schmid, M.; Kandeler, E.; Hartmann, A. Quantification of bacterial RubisCO genes in soils by cbbL targeted real-time PCR. J. Microbiol. Meth. 2007, 69, 497–503. [Google Scholar] [CrossRef]
- Xiao, K.Q.; Bao, P.; Bao, Q.L.; Jia, Y.; Huang, F.Y.; Su, J.Q.; Zhu, Y.G. Quantitative analyses of ribulose-1,5-bisphosphate carboxylase/oxygenase (RubisCO) large-subunit genes (cbbL) in typical paddy soils. Fems Microbio. Ecol. 2013, 87, 89–101. [Google Scholar] [CrossRef]
- Zhou, H.; Zhang, D.G.; Jiang, Z.H.; Sun, P.; Xiao, H.L.; Wu, Y.X.; Chen, J.G. Changes in the soil microbial communities of alpine steppe at Qinghai-Tibetan Plateau under different degradation levels. Sci. Total Environ. 2019, 651, 2281–2291. [Google Scholar] [CrossRef]
- Zhang, Q.; Fan, K.; Singh, V.P.; Song, C.Q.; Xu, C.Y.; Sun, P. Is Himalayan-Tibetan Plateau “drying”? Historical estimations and future trends of surface soil moisture. Sci. Total Environ. 2019, 658, 374–384. [Google Scholar] [CrossRef]
- Ren, J.Z.; Hu, Z.Z.; Zhao, J.; Zhang, D.G. A grassland classification system and its application in China. Rangel. J. 2008, 30, 199–209. [Google Scholar] [CrossRef]
- Niu, Y.J.; Yang, S.W.; Wang, G.Z.; Liu, L.; Hua, L.M. Effects of grazing disturbance on plant diversity, community structure and direction of succession in an alpine meadow on Tibet Plateau, China. Sheng Tai Xue Bao 2018, 38, 179–185. [Google Scholar] [CrossRef]
- Cao, G.M.; Long, R.J.; Zhang, F.W.; Lin, L.; Li, Y.K.; Liang, D.Y. Mechanism of denuded pits developing in degraded alpine kobresia humilis meadow in the Three Rivers Source Region. Grassl. Turf. 2010, 30, 16–21. [Google Scholar] [CrossRef]
- Che, R.X.; Wang, Y.F.; Li, K.X.; Xu, Z.H.; Hu, J.M.; Wang, F.; Rui, Y.C.; Li, L.F.; Pang, Z.; Cui, X.Y. Degraded patch formation significantly changed microbial community composition in alpine meadow soils. Soil Tillage Res. 2019, 195, 104426. [Google Scholar] [CrossRef]
- Wu, G.L.; Ren, G.H.; Dong, Q.M.; Shi, J.J.; Wang, Y.L. Above- and belowground response along degradation gradient in an alpine grassland of the Qinghai-Tibetan Plateau. Clean Soil Air Water 2014, 42, 319–323. [Google Scholar] [CrossRef]
- Peng, F.; Zhang, W.J.; Li, C.Y.; Lai, C.M.; Sun, J.; Tsubo, M.; Tsunekawa, A.; Wang, T. Plant community of alpine steppe shows stronger association with soil properties than alpine meadow alongside degradation. Sci. Total Environ. 2020, 733, 139048. [Google Scholar] [CrossRef]
- Li, Y.J.; Liu, J.; Xu, C.L.; Cao, W.X. Effects of different grassland degradation levels on inorganic nitrogen and urease activity in alpine meadow soils. Cao Ye Xue Bao 2018, 27, 45–53. [Google Scholar]
- Pan, H.; Liu, H.Y.; Liu, Y.W.; Zhang, Q.C.; Luo, L.Y.; Liu, X.M.; Liu, Y.M.; Xu, J.M.; Di, H.J.; Li, Y. Understanding the relationships between grazing intensity and the distribution of nitrifying communities in grassland soils. Sci. Total Environ. 2018, 634, 1157–1164. [Google Scholar] [CrossRef]
- Zhan, P.F.; Xiao, X.R.; Yan, P.F.; Liu, Z.Y.; Ma, J.C.; Chen, Z.M.; Ge, R.; Tian, W.; Wang, X. Soil degradation-associated microbial community structure changes in an alpine meadow under Tibetan pig herding. Environ. Sci. 2018, 39, 1840–1850. [Google Scholar] [CrossRef]
- Sun, H.F.; Li, X.L.; Jin, L.Q.; Zhao, Y.R.; Li, C.Y.; Song, Z.H.; Su, X.X.; Liu, K. Changes in soil bacterial community diversity in degraded patches of alpine meadow in the source area of the Yellow River. Environ. Sci. 2022, 43, 4662–4673. [Google Scholar] [CrossRef]
- Han, X.; Li, Y.H.; Du, X.F.; Li, Y.B.; Wang, Z.W.; Jiang, S.W.; Li, Q. Effect of grassland degradation on soil quality and soil biotic community in a semi-arid temperate steppe. Ecol. Process 2020, 9, 63. [Google Scholar] [CrossRef]
- Dong, L.; Li, J.; Sun, J.; Yang, C. Soil degradation influences soil bacterial and fungal community diversity in overgrazed alpine meadows of the Qinghai-Tibet Plateau. Sci. Rep. 2021, 11, 11538. [Google Scholar] [CrossRef] [PubMed]
- Zhang, Y.J.; Ding, M.G.; Zhang, H.; Wang, N.Y.; Yu, Z.P.; Xu, H.; Huang, P. Degradation-driven bacterial homogenization closely associated with the loss of soil multifunctionality in alpine meadows. Agric. Ecosyst. Environ. 2023, 344, 108284. [Google Scholar] [CrossRef]
- Lynn, T.M.; Ge, T.; Yuan, H.Z.; Wei, X.M.; Wu, X.H.; Xiao, K.Q.; Kumaresan, D.; Yu, S.S.; Wu, J.S.; Whiteley, A.S. Soil carbon-fixation rates and associated bacterial diversity and abundance in three natural ecosystems. Microb. Ecol. 2016, 73, 1–13. [Google Scholar] [CrossRef] [PubMed]
- Wu, X.H.; Ge, T.; Yan, W.D.; Zhou, J.; Wei, X.M.; Chen, L.; Chen, X.B.; Nannipieri, P.; Wu, J.S. Irrigation management and phosphorus addition alter the abundance of carbon dioxide-fixing autotrophs in phosphorus-limited paddy soil. FEMS Microb. Ecol. 2017, 93, 154. [Google Scholar] [CrossRef] [PubMed]
- Xiao, H.B.; Li, Z.W.; Chang, X.F.; Deng, L.; Nie, X.D.; Liu, C.; Liu, L.; Jiang, J.Y.; Chen, J.; Wang, D.Y. Microbial CO2 assimilation is not limited by the decrease in autotrophic bacterial abundance and diversity in eroded watershed. Biol. Fertil. Soils 2018, 54, 595–605. [Google Scholar] [CrossRef]
- Song, A.L.; Li, Z.M.; Liao, Y.L.; Liang, Y.C.; Wang, E.Z.; Wang, S.; Li, X.; Bi, J.J.; Si, Z.Y.; Lu, Y.H.; et al. Soil bacterial communities interact with silicon fraction transformation and promote rice yield after long-term straw return. Soil Ecol. Lett. 2021, 3, 395–408. [Google Scholar] [CrossRef]
- Wang, X.Y.; Li, W.; Xiao, Y.T.; Cheng, A.Q.; Shen, T.M.; Zhu, M.; Yu, L.J. Abundance and diversity of carbon-fixing bacterial communities in karst wetland soil ecosystems. Catena 2021, 204, 105418. [Google Scholar] [CrossRef]
- Song, Z.H.; Li, X.L.; Li, J.X.; Ka, Z.C.R.; Ma, G.L. Characteristics of plant functional groups and root-soil complexes of different disturbed patches in alpine meadow. Ecol. Sci. 2022, 41, 31–38. [Google Scholar] [CrossRef]
- Sun, H.F.; Li, X.L.; Jin, L.Q.; Su, X.X.; Li, C.Y.; Kou, J.C. Effects of biological soil crusts on soil labile organic carbon of patchy alpine meadows in the Source Zone of the Yellow River, West China. Catena 2023, 220, 106715. [Google Scholar] [CrossRef]
- Zhang, Y.; Dong, S.; Gao, Q.; Liu, S.; Zhou, H.; Ganjurjav, H.; Wang, X. Climate change and human activities altered the diversity and composition of soil microbial community in alpine grasslands of the Qinghai-Tibetan Plateau. Sci. Total Environ. 2016, 562, 353–363. [Google Scholar] [CrossRef] [PubMed]
- Tang, M.; Li, L.; Wang, X.; You, J.; Li, J.N.; Chen, X. Elevational is the main factor controlling the soil microbial community structure in alpine tundra of the Changbai Mountain. Sci. Rep. 2020, 10, 12442. [Google Scholar] [CrossRef] [PubMed]
- D’Alò, F.; Odriozola, I.; Baldrian, P.; Zucconi, L.; Ripa, C.; Cannone, N.; Malfasi, F.; Brancaleoni, L.; Onofri, S. Microbial activity in alpine soils under climate change. Sci. Total Environ. 2021, 783, 147012. [Google Scholar] [CrossRef] [PubMed]
- Feng, H.; Wang, Z.; Jia, P.; Gai, J.P.; Chen, B.D.; Wang, S.K. Diversity and distribution of CO2-fixing microbial community along elevation gradients in meadow soils on the Tibetan Plateau. Sci. Rep. 2022, 12, 9621. [Google Scholar] [CrossRef] [PubMed]
- Shen, C.; Ni, Y.; Liang, W.; Chu, H. Distinct soil bacterial communities along a small-scale elevational gradient in alpine tundra. Front. Microbiol. 2015, 6, 582. [Google Scholar] [CrossRef]
- Zakavi, M.; Askari, H.; Shahrooei, M. Bacterial diversity changes in response to an altitudinal gradient in arid and semi-arid regions and their effects on crops growth. Front. Microbiol. 2022, 13, 984925. [Google Scholar] [CrossRef] [PubMed]
- Song, Z.H.; Li, X.L.; Li, J.X.; Ka, Z.C.R.; Ma, G.L. Effects of plateau pika (Ochotona curzoniae) trails on enlargement and connection of degraded patches in alpine meadow. Chin. J. Ecol. 2020, 39, 3276–3284. [Google Scholar] [CrossRef]
- GB/T 17296-2009; Classification and Codes for Chinese Soil. Science Press: Beijing, China, 2009.
- Jenkinson, D.S.; Powlson, D.S. The effects of biocidal treatments on metabolism in forest soils. A method for measuring soil biomass. Soil Biol. Biochem. 1976, 8, 189–202. [Google Scholar] [CrossRef]
- Song, J.G.; Wang, J.; Lin, S. Determination of soil microbial biomass nitrogen by continuous flow analytical system. J. Plant. Nutr. Soil Sci. 1999, 5, 282–287. [Google Scholar] [CrossRef]
- Esparza, M.; Cárdenas, J.P.; Bowien, B.; Jedlicki, E.; Holmes, D.S. Genes and pathways for CO2 fixation in the obligate, chemolithoautotrophic acidophile, Acidithiobacillus ferrooxidans, Carbon fixation in A. ferrooxidans. BMC Microbiol. 2010, 10, 229. [Google Scholar] [CrossRef] [PubMed]
- Long, X.E.; Yao, H.; Wang, J.; Huang, Y.; Singh, B.K.; Zhu, Y.G. Community structure and soil pH determine chemoautotrophic carbon dioxide fixation in drained paddy soils. Environ. Sci. Technol. 2015, 49, 7152–7160. [Google Scholar] [CrossRef]
- Ma, Y.; Zhang, D.G.; Zhou, H.; Zhou, H.C.; Cheng, J.G. Effects of alpine meadow degradation on microbial biomass and enzyme activities in rhizosphere soil of dominant species. Grassl. Turf. 2019, 39, 44–52. [Google Scholar] [CrossRef]
- Zeng, J.; Shen, J.P.; Wang, J.T.; Hu, H.W.; Zhang, C.J.; Bai, R.; Zhang, L.M.; He, J.Z. Impacts of projected climate warming and wetting on soil microbial communities in alpine grassland ecosystems of the Tibetan Plateau. Microb. Ecol. 2018, 75, 1009–1023. [Google Scholar] [CrossRef]
- Zhou, S.M.; Zhang, M.; Zhang, K.K.; Yang, X.W.; He, D.X.; Yin, J.; Wang, C.Y. Effects of reduced nitrogen and suitable soil moisture on wheat (Triticum aestivum L.) rhizosphere soil microbiological, biochemical properties and yield in the Huanghuai Plain, China. J. Integr. Agric. 2020, 19, 234–250. [Google Scholar] [CrossRef]
- Li, Z.W.; Tong, D.; Nie, X.D.; Xiao, H.B.; Jiao, P.P.; Jiang, J.Y.; Li, Q.; Liao, W.F. New insight into soil carbon fixation rate: The intensive co-occurrence network of autotrophic bacteria increases the carbon fixation rate in depositional sites. Agric. Ecosyst. Environ. 2021, 320, 107579. [Google Scholar] [CrossRef]
- Frattini, C.J.; Leduc, L.G.; Ferroni, G.D. Strain variability and the effects of organic compounds on the growth of the chemolithotrophic bacterium Thiobacillus ferrooxidans. Antonie Van Leeuwenhoek 2000, 77, 57. [Google Scholar] [CrossRef]
- Yuan, Y.; Zhou, W.L.; Wang, H.; He, S.B. Study on sulfur-based autotrophic denitrification with different electron donors. Environ. Sci. 2013, 34, 1835–1844. [Google Scholar]
- Tabita, F.R. Molecular and cellular regulation of autotrophic carbon dioxide fixation in microorganisms. Microbiol. Rev. 1988, 52, 155. [Google Scholar] [CrossRef] [PubMed]
- Nel, J.A.; Cramer, M.D. Soil microbial anaplerotic CO2 fixation in temperate soils. Geoderma 2019, 335, 170–178. [Google Scholar] [CrossRef]
- Zhao, K.; Kong, W.; Wang, F.; Long, X.E.; Guo, C.Y.; Yue, L.Y.; Yao, H.Y.; Dong, X.B. Desert and steppe soils exhibit lower autotrophic microbial abundance but higher atmospheric CO2 fixation capacity than meadow soils. Soil Biol. Biochem. 2018, 127, 230–238. [Google Scholar] [CrossRef]
- Liao, H.; Qin, F.; Wang, K.; Zhang, Y.C.; Hao, X.L.; Chen, W.L.; Huang, Q.Y. Long-term chemical fertilization-driving changes in soil autotrophic microbial community depresses soil CO2 fixation in a Mollisol. Sci. Total Environ. 2020, 748, 141317. [Google Scholar] [CrossRef]













| Altitude /m | Patch Type | TN/g·kg−1 | TP/g·kg−1 | AN/mg·kg−1 | AP/mg·kg−1 | pH | SOM/g·kg−1 | MBC/mg·kg−1 | MBN/mg·kg−1 | SVMC/% |
|---|---|---|---|---|---|---|---|---|---|---|
| BP | 1.68 ± 0.26 Ab | 0.72 ± 0.08 Bb | 12.15 ± 1.78 Ac | 0.88 ± 0.10 Ca | 7.37 ± 0.14 Aa | 71.00 ± 8.50 Ab | 475.47 ± 8.65 Ac | 28.70 ± 0.90 Ac | 27.38 ± 2.47 Ab | |
| SRP | 1.72 ± 0.02 Ab | 0.64 ± 0.07 Cb | 13.21 ± 1.11 Ac | 0.96 ± 0.04 Ba | 6.74 ± 0.20 Bb | 86.50 ± 9.79 Ab | 399.07 ± 11.88 Bd | 93.64 ± 1.20 Aa | 27.15 ± 3.08 Ab | |
| 3570 | LRP | 1.30 ± 0.07 Bc | 1.22 ± 0.09 Aa | 26.50 ± 2.22 Aa | 0.82 ± 0.07 Ba | 6.87 ± 0.25 Ab | 102.94 ± 21.18 Aa | 456.98 ± 16.72 Cc | 80.04 ± 3.39 Ab | 27.80 ± 2.38 Ab |
| BSCs | 2.50 ± 0.14 Aa | 0.71 ± 0.05 Bb | 20.99 ± 2.04 Ab | 0.82 ± 0.08 Ca | 7.23 ± 0.13 Aa | 112.89 ± 10.28 Aa | 570.45 ± 12.23 Bb | 92.04 ± 2.33 Aa | 37.38 ± 2.67 Aa | |
| HM | 1.18 ± 0.07 Cc | 1.33 ± 0.04 Ba | 18.91 ± 2.03 Ab | 0.94 ± 0.14 Ba | 7.72 ± 0.03 Aa | 109.14 ± 13.41 Aa | 679.46 ± 12.39 Ca | 91.68 ± 2.55 Ca | 38.35 ± 0.75 Aa | |
| BP | 0.89 ± 0.23 Bc | 0.73 ± 0.11 Bc | 13.67 ± 2.01 Ab | 2.11 ± 0.28 Aa | 6.74 ± 0.18 Aa | 53.12 ± 5.28 Bd | 339.15 ± 9.12 Bd | 31.51 ± 0.56 Ad | 18.63 ± 4.70 Bc | |
| SRP | 1.09 ± 0.16 Bc | 1.01 ± 0.12 Bb | 10.90 ± 1.44 Ac | 0.57 ± 0.17 Cd | 6.73 ± 0.04 Ba | 65.16 ± 5.20 Bc | 790.19 ± 18.16 Ac | 76.57 ± 3.31 Bc | 24.3 ± 2.05 A b | |
| 4013 | LRP | 2.25 ± 0.30 Aa | 0.58 ± 0.12 Bd | 12.38 ± 3.32 Bbc | 2.11 ± 0.27 Ab | 6.79 ± 0.19 Aa | 54.01 ± 12.54 Bd | 703.52 ± 6.06 Ac | 78.40 ± 1.07 Ac | 28.8 ± 2.16 A a |
| BSCs | 1.87 ± 0.38 Bb | 0.97 ± 0.12 Bb | 15.18 ± 4.60 Bb | 3.23 ± 0.65 Aa | 6.98 ± 0.21 ABa | 87.35 ± 20.30 Ba | 832.42 ± 8.60 Ab | 100.98 ± 0.85 Ab | 27.3 ± 2.10 C a | |
| HM | 2.55 ± 0.15 Aa | 2.23 ± 0.13 Aa | 21.40 ± 1.80 Aa | 0.94 ± 0.19 Bc | 6.48 ± 0.15 Ba | 76.86 ± 6.24 Bb | 1622.89 ± 206.65 Aa | 147.02 ± 6.23 Aa | 30.67 ± 2.49 Ba | |
| BP | 0.56 ± 0.07 Cd | 1.10 ± 0.09 Ab | 5.11 ± 0.27 Bc | 1.49 ± 0.36 Bc | 7.24 ± 0.11 Aa | 54.79 ± 10.85 Bb | 237.11 ± 4.36 Cd | 28.20 ± 0.32 Ae | 14.02 ± 1.63 Cc | |
| SRP | 0.89 ± 0.12 Bc | 1.70 ± 0.10 Aa | 7.52 ± 0.36 Bb | 2.09 ± 0.10 Ab | 7.21 ± 0.08 Aa | 45.42 ± 9.33 Cc | 397.12 ± 53.69 Bc | 49.96 ± 6.92 Cd | 19.41 ± 1.49 Bb | |
| 4224 | LRP | 1.22 ± 0.12 Bb | 1.30 ± 0.02 Ab | 9.83 ± 1.12 Ba | 1.87 ± 0.35 Ab | 6.99 ± 0.05 Aab | 45.94 ± 9.93 Bc | 519.01 ± 3.56 Bb | 75.37 ± 2.84 Ab | 20.22 ± 1.25 Bb |
| BSCs | 1.37 ± 0.18 Cb | 1.76 ± 0.08 Aa | 12.90 ± 1.71 Ba | 1.26 ± 0.21 Bc | 6.79 ± 0.06 Bb | 63.52 ± 7.27 Ca | 490.64 ± 1.81 Cb | 63.43 ± 0.83 Bc | 31.65 ± 1.94 Ba | |
| HM | 1.83 ± 0.29 Ba | 1.00 ± 0.13 Bb | 13.69 ± 1.26 Ba | 3.60 ± 0.41 Aa | 6.71 ± 0.04 Bb | 68.88 ± 14.06 Ba | 1009.80 ± 32.01 Ba | 114.40 ± 10.13 Ba | 29.16 ± 1.82 Ba |
| BSCs Thickness/mm | BSCs Coverage/% | Coverage /% | Aboveground Biomass/g·m2 | |||||||
|---|---|---|---|---|---|---|---|---|---|---|
| Altitude | Patch Type | Total | Grass | Sedge | Forb | Grass | Sedge | Forb | ||
| BP | 0.00 ± 0.00 Ag | 0.00 ± 0.00 Af | 0.00 ± 0.00 Af | 0.00 ± 0.00 Ac | 0.00 ± 0.00 Ad | 0.00 ± 0.00 Af | 0.00 ± 0.00 Ad | 0.00 ± 0.00 Ae | 0.00 ± 0.00 c | |
| SRP | 0.33 ± 0.16 Cg | 1.37 ± 0.45 Bf | 73.00 ± 5.77 Ac | 0.50 ± 0.76 Cc | 1.67 ± 1.37 Ad | 73.50 ± 5.88 Ab | 7.20 ± 10.44 Bd | 5.63 ± 4.03 Ae | 1961.33 ± 724.75 Aa | |
| 3570 | LRP | 1.06 ± 0.30 Bfg | 5.33 ± 1.37 Bdef | 54.50 ± 4.11 Bd | 14.62 ± 2.69 Ab | 31.50 ± 2.06 Ab | 7.17 ± 2.03 Cf | 50.29 ± 6.65 Ccd | 24.77 ± 3.33 Cde | 51.51 ± 10.00 Cc |
| BSCs | 2.99 ± 0.26 Abcde | 100.00 ± 0.00 Aa | 0.00 ± 0.00 Af | 0.00 ± 0.00 Ac | 0.00 ± 0.00 Ad | 0.00 ± 0.00 Af | 0.00 ± 0.00 Ad | 0.00 ± 0.00 Ae | 0.00 ± 0.00 Ac | |
| HM | 3.77 ± 0.64 Aab | 76.83 ± 5.49 ABb | 95.83 ± 1.21 Aab | 29.88 ± 3.43 Aa | 60.67 ± 2.29 Aa | 9.83 ± 1.57 Cef | 128.35 ± 57.56 Bab | 238.32 ± 93.39 Bb | 332.19 ± 106.72 Cbc | |
| BP | 0.00 ± 0.00 Ag | 0.00 ± 0.00 Af | 0.00 ± 0.00 Af | 0.00 ± 0.00 Ac | 0.00 ± 0.00 Ad | 0.00 ± 0.00 Af | 0.00 ± 0.00 Ad | 0.00 ± 0.00 Ae | 0.00 ± 0.00 c | |
| SRP | 2.13 ± 0.74 Adef | 9.00 ± 3.27 Ade | 71.67 ± 17.48 Ac | 1.53 ± 2.04 Bc | 1.17 ± 2.61 Ad | 78.52 ± 11.05 Ab | 0.69 ± 1.54 Cd | 96.37 ± 8.81 Bcde | 1042.51 ± 664.77 Bb | |
| 4013 | LRP | 2.57 ± 0.73 Bcde | 4.00 ± 0.96 Aef | 82.00 ± 12.82 Abc | 2.75 ± 2.27 Bc | 2.92 ± 2.39 Cd | 104.47 ± 5.45 Aa | 149.65 ± 34.60 Aaa | 133.33 ± 33.20 Ac | 2092.88 ± 109.13 Aa |
| BSCs | 2.68 ± 0.38 Abcde | 100.00 ± 0.00 ABa | 0.00 ± 0.00 Af | 0.00 ± 0.00 Ac | 0.00 ± 0.00 Ad | 0.00 ± 0.00 Af | 0.00 ± 0.00 Ad | 0.00 ± 0.00 Ae | 0.00 ± 0.00 Ac | |
| HM | 3.15 ± 0.30 Babcd | 59.17 ± 9.32 Bb = c | 99.17 ± 0.37 Aa | 34.83 ± 6.20 Aa | 60.22 ± 4.39 Aa | 53.20 ± 12.96 Ac | 175.89 ± 23.50 Aac | 511.85 ± 127.51 Aa | 2195.07 ± 873.70 Aa | |
| BP | 0.00 ± 0.00 Ag | 0.00 ± 0.00 Af | 0.00 ± 0.00 Af | 0.00 ± 0.00 Ac | 0.00 ± 0.00 Ad | 0.00 ± 0.00 Af | 0.00 ± 0.00 Ad | 0.00 ± 0.00 Ae | 0.00 ± 0.00 c | |
| SRP | 3.29 ± 0.69 Babc | 6.67 ± 2.69 Adef | 38.33 ± 6.87 Be | 14.60 ± 2.27 Ab | 0.83 ± 1.86 Bd | 30.72 ± 2.57 Bd | 86.32 ± 44.59 Abc | 85.20 ± 44.59 Bcde | 334.75 ± 172.76 Cbc | |
| 4224 | LRP | 2.97 ± 0.65 Abcde | 11.83 ± 4.10 Ad | 46.17 ± 7.75 Bde | 16.83 ± 1.21 Ab | 21.67 ± 5.06 Bc | 19.42 ± 4.84 Bde | 79.53 ± 20.20 Bbc | 81.99 ± 18.43 Bcde | 131.09 ± 61.52 Bc |
| BSCs | 1.98 ± 0.39 Aef | 100.00 ± 0.00 Ba | 0.00 ± 0.00 Af | 0.00 ± 0.00 Ac | 0.00 ± 0.00 Ad | 0.00 ± 0.00 Af | 0.00 ± 0.00 Ad | 0.00 ± 0.00 Ae | 0.00 ± 0.00 Ac | |
| HM | 4.27 ± 1.00 Ba | 59.17 ± 3.18 Ac | 99.17 ± 0.37 Aa | 33.67 ± 3.50 Aa | 59.67 ± 3.90 Aa | 27.72 ± 5.99 Bd | 74.72 ± 20.99 Ca | 108.03 ± 41.17 Ccd | 246.61 ± 52.21 Cc |
| Items | F (TN) | F (TP) | F (AN) | F (AP) | F (pH) | F (SOM) | F (MBC) | F (MBN) | F (SVMC) |
|---|---|---|---|---|---|---|---|---|---|
| Altitude | 60.795 *** | 138.387 *** | 105.739 *** | 122.041 *** | 60.606 *** | 78.150 *** | 291.319 *** | 168.485 *** | 87.294 *** |
| Patch type | 56.696 *** | 97.584 *** | 44.619 *** | 11.704 *** | 6.614 *** | 16.621 *** | 372.718 *** | 949.716 *** | 81.014 *** |
| Altitude × Patch type | 37.825 *** | 127.012 *** | 14.580 *** | 57.305 *** | 26.561 *** | 2.891 *** | 61.294 *** | 88.577 *** | 7.910 *** |
| Items | F (BSCs Thickness) | F (BSCs Coverage) | F (Total Coverage) | F (Grass Coverage) | F (Sedge Coverage) | F (Forb Coverage) | F (Grass Biomass) | F (Sedge Biomass) | F (Forb- Biomass) |
|---|---|---|---|---|---|---|---|---|---|
| Altitude | 18.121 *** | 2.941 | 28.716 *** | 32.274 *** | 37.974 *** | 272.138 *** | 9.324 *** | 36.470 *** | 45.948 *** |
| Patch type | 103.925 *** | 2728.195 *** | 658.662 *** | 484.021 *** | 1731.888 *** | 381.842 *** | 91.008 *** | 103.079 *** | 34.725 *** |
| Altitude × Patch type | 13.587 *** | 14.842 *** | 14.904 *** | 19.344 *** | 35.855 *** | 106.552 *** | 14.991 *** | 20.570 *** | 22.179 *** |
| Index | TN | Ap | pH | TP | Available Nitrogen | SOM | Microbial Carbon | Microbial Nitrogen | R0.25mm–1mm | R<0.074mm | Soil Volumetric Moisture Content |
|---|---|---|---|---|---|---|---|---|---|---|---|
| Chao1 | −0.330 ** | 0.353 ** | −0.034 | 0.232 * | −0.556 ** | −0.423 ** | −0.202 | −0.153 | −0.264 * | 0.412 ** | −0.357 ** |
| Shannon | −0.543 ** | 0.146 | 0.045 | 0.166 | -0.424 ** | −0.298 ** | −0.348 ** | −0.269 * | −0.005 | 0.193 | −0.447 ** |
| Index | BSCs Thickness | Grass Coverage | Grass Biomass | Sedge Biomass | Forb Biomass |
|---|---|---|---|---|---|
| Chao1 | 0.194 | 0.029 | −0.102 | −0.210 * | −0.270 * |
| Shannon | −0.003 | 0.001 | −0.251 * | −0.313 ** | −0.329 ** |
Disclaimer/Publisher’s Note: The statements, opinions and data contained in all publications are solely those of the individual author(s) and contributor(s) and not of MDPI and/or the editor(s). MDPI and/or the editor(s) disclaim responsibility for any injury to people or property resulting from any ideas, methods, instructions or products referred to in the content. |
© 2024 by the authors. Licensee MDPI, Basel, Switzerland. This article is an open access article distributed under the terms and conditions of the Creative Commons Attribution (CC BY) license (https://creativecommons.org/licenses/by/4.0/).
Share and Cite
Sun, H.; Su, X.; Jin, L.; Li, C.; Kou, J.; Zhang, J.; Li, X. Response of Carbon-Fixing Bacteria to Patchy Degradation of the Alpine Meadow in the Source Zone of the Yellow River, West China. Plants 2024, 13, 579. https://doi.org/10.3390/plants13050579
Sun H, Su X, Jin L, Li C, Kou J, Zhang J, Li X. Response of Carbon-Fixing Bacteria to Patchy Degradation of the Alpine Meadow in the Source Zone of the Yellow River, West China. Plants. 2024; 13(5):579. https://doi.org/10.3390/plants13050579
Chicago/Turabian StyleSun, Huafang, Xiaoxue Su, Liqun Jin, Chengyi Li, Jiancun Kou, Jing Zhang, and Xilai Li. 2024. "Response of Carbon-Fixing Bacteria to Patchy Degradation of the Alpine Meadow in the Source Zone of the Yellow River, West China" Plants 13, no. 5: 579. https://doi.org/10.3390/plants13050579
APA StyleSun, H., Su, X., Jin, L., Li, C., Kou, J., Zhang, J., & Li, X. (2024). Response of Carbon-Fixing Bacteria to Patchy Degradation of the Alpine Meadow in the Source Zone of the Yellow River, West China. Plants, 13(5), 579. https://doi.org/10.3390/plants13050579
