Vitis rotundifolia Genes Introgressed with RUN1 and RPV1: Poor Recombination and Impact on V. vinifera Berry Transcriptome
Abstract
1. Introduction
2. Results
2.1. RNA-Seq Reads Statistics
2.2. Principal Component Analysis (PCA) Highlights the Development Program of the Single Berry
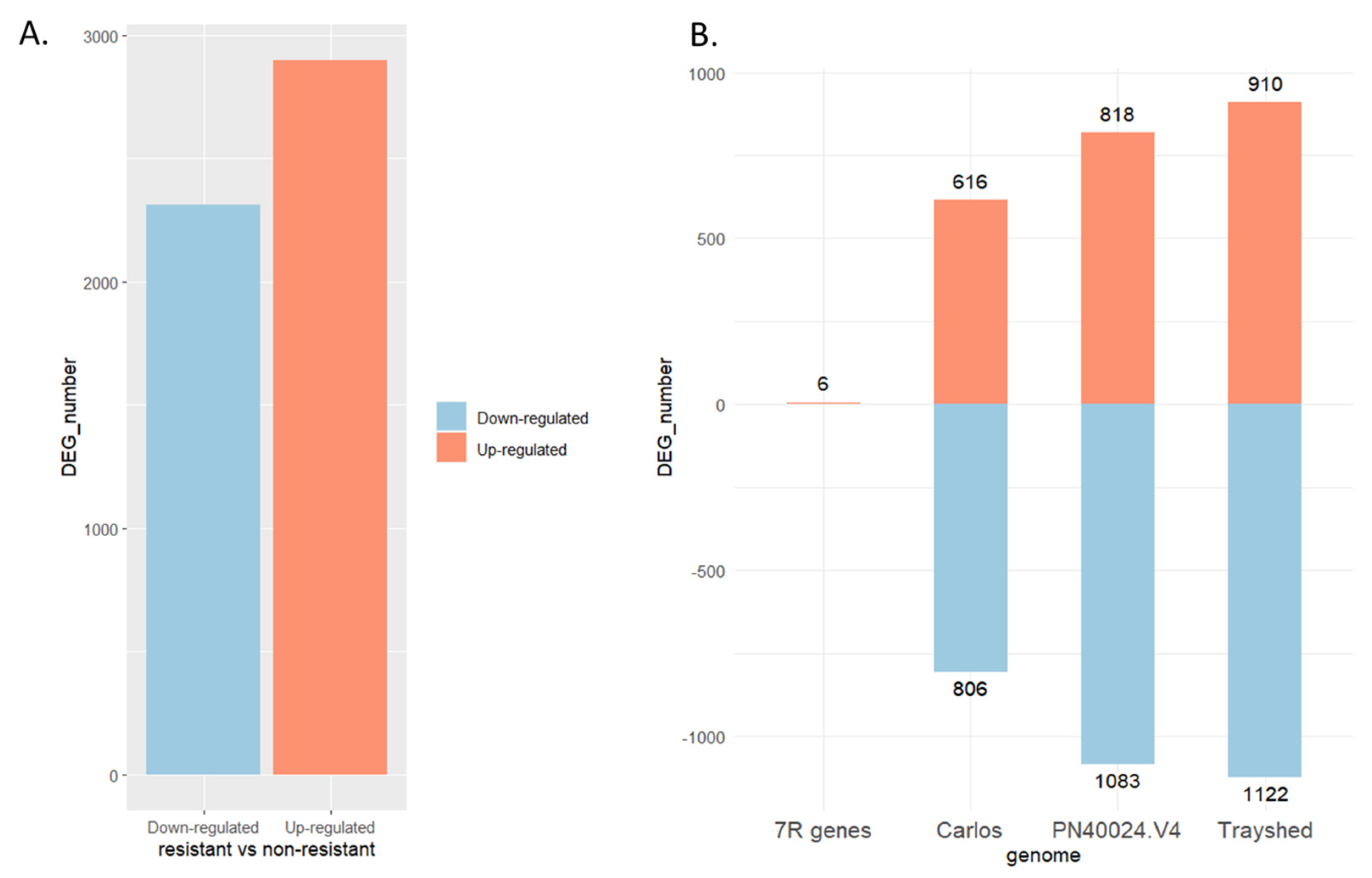
2.3. Identification of Differentially Expressed Genes
2.4. Functional Annotation of the Differentially Expressed Genes
2.5. Weighted Gene Co-Expression Network Analysis (WGCNA)
2.6. Identification of Key Modules Associated with Traits
2.6.1. Yellow-Green Module-Positively Associated with the Presence of MrRUN1/MrRPV1 Microsatellites Markers
2.6.2. Green-Yellow Module: G5 Specific Transcripts, Almost Lost in the Next Backcross
2.7. Gene Introgressed with MrRUN1/MrRPV1 on Chromosome 12
3. Discussion
3.1. PCA and Gene Expression Profiles
3.2. Merged V. vinifera and V. rotundifolia Genome
3.3. Regulation of Genes Related to Pathogen Response
4. Materials and Methods
4.1. Grapevine Genotypes
4.2. Single Berry Sampling
4.3. HPLC Analysis of Primary Metabolites in Single Berries
4.4. RNA Extraction and Sequencing
4.5. Methodology for Transcriptome Analysis
4.6. GO Annotation Analysis
4.7. WGCNA Analysis
5. Conclusions
Supplementary Materials
Author Contributions
Funding
Data Availability Statement
Acknowledgments
Conflicts of Interest
References
- This, P.; Lacombe, T.; Thomas, M.R. Historical origins and genetic diversity of wine grapes. Trends Genet. TIG 2006, 22, 511–519. [Google Scholar] [CrossRef] [PubMed]
- Ferreira, R.B.; Monteiro, S.S.; Piçarra-Pereira, M.A.; Teixeira, A.R. Engineering grapevine for increased resistance to fungal pathogens without compromising wine stability. Trends Biotechnol. 2004, 22, 168–173. [Google Scholar] [CrossRef] [PubMed]
- Riaz, S.; Menéndez, C.M.; Tenscher, A.; Pap, D.; Walker, M.A. Genetic mapping and survey of powdery mildew resistance in the wild Central Asian ancestor of cultivated grapevines in Central Asia. Hortic. Res. 2020, 7, 104. [Google Scholar] [CrossRef] [PubMed]
- Fontaine, M.C.; Labbé, F.; Dussert, Y.; Delière, L.; Richart-Cervera, S.; Giraud, T.; Delmotte, F. Europe as a bridgehead in the worldwide invasion history of grapevine downy mildew, Plasmopara viticola. Curr. Biol. 2021, 31, 2155–2166.e4. [Google Scholar] [CrossRef] [PubMed]
- Ons, L.; Bylemans, D.; Thevissen, K.; Cammue, B.P.A. Combining Biocontrol Agents with Chemical Fungicides for Integrated Plant Fungal Disease Control. Microorganisms 2020, 8, 1930. [Google Scholar] [CrossRef] [PubMed]
- Yobrégat, O. Introduction to resistant vine types: A brief history and overview of the situation. OENO One 2018, 52, 241–246. [Google Scholar] [CrossRef]
- Salmon, J.-M.; Ojeda, H.; Escudier, J.-L. Disease resistant grapevine varieties and quality: The case of Bouquet varieties. OENO One 2018, 52, 225–230. [Google Scholar] [CrossRef]
- Volynkin, V.A.; Likhovskoi, V.V.; Vasylyk, I.A.; Rybachenko, N.A.; Lushchay, E.A.; Gorislavets, S.M.; Volodin, V.A.; Risovannaya, V.I.; Potokina, E.K. Introgressions of Vitis rotundifolia Michx. to obtain grapevine genotypes with complex resistance to biotic and abiotic stresses. Vavilov J. Genet. Breed. 2021, 25, 693–700. [Google Scholar] [CrossRef] [PubMed]
- Da Silva, C.; Zamperin, G.; Ferrarini, A.; Minio, A.; Dal Molin, A.; Venturini, L.; Buson, G.; Tononi, P.; Avanzato, C.; Zago, E.; et al. The high polyphenol content of grapevine cultivar tannat berries is conferred primarily by genes that are not shared with the reference genome. Plant Cell 2013, 25, 4777–4788. [Google Scholar] [CrossRef]
- Venturini, L.; Ferrarini, A.; Zenoni, S.; Tornielli, G.B.; Fasoli, M.; Dal Santo, S.; Minio, A.; Buson, G.; Tononi, P.; Zago, E.D.; et al. De novo transcriptome characterization of Vitis vinifera cv. Corvina unveils varietal diversity. BMC Genom. 2013, 14, 41. [Google Scholar] [CrossRef]
- Savoi, S.; Wong, D.; Arapitsas, P.; Miculan, M.; Bucchetti, B.; Peterlunger, E.; Fait, A.; Mattivi, F.; Castellarin, S.D. Transcriptome and metabolite profiling reveals that prolonged drought modulates the phenylpropanoid and terpenoid pathway in white grapes (Vitis vinifera L.). BMC Plant Biol. 2016, 16, 67. [Google Scholar] [CrossRef] [PubMed]
- Ma, W.-F.; Li, Y.-B.; Nai, G.-J.; Liang, G.-P.; Ma, Z.-H.; Chen, B.-H.; Mao, J. Changes and response mechanism of sugar and organic acids in fruits under water deficit stress. PeerJ 2022, 10, e13691. [Google Scholar] [CrossRef]
- Rienth, M.; Torregrosa, L.; Sarah, G.; Ardisson, M.; Brillouet, J.-M.; Romieu, C. Temperature desynchronizes sugar and organic acid metabolism in ripening grapevine fruits and remodels their transcriptome. BMC Plant Biol. 2016, 16, 164. [Google Scholar] [CrossRef]
- Ju, Y.; Min, Z.; Zhang, Y.; Zhang, K.; Liu, M.; Fang, Y. Transcriptome profiling provide new insights into the molecular mechanism of grapevine response to heat, drought, and combined stress. Sci. Hortic. 2021, 286, 110076. [Google Scholar] [CrossRef]
- Pilati, S.; Bagagli, G.; Sonego, P.; Moretto, M.; Brazzale, D.; Castorina, G.; Simoni, L.; Tonelli, C.; Guella, G.; Engelen, K.; et al. Abscisic Acid Is a Major Regulator of Grape Berry Ripening Onset: New Insights into ABA Signaling Network. Front. Plant Sci. 2017, 8, 1093. [Google Scholar] [CrossRef] [PubMed]
- Lei, Y.; Yuan, X.; Chen, T.; Yuan, Y.; Liu, X.; Tang, X.; Chen, Q. Transcriptome Analysis of Berries of Spine Grape (Vitis davidii Föex) Infected by Colletotrichum viniferum during Symptom Development. Horticulturae 2022, 8, 843. [Google Scholar] [CrossRef]
- Vigneron, N.; Grimplet, J.; Remolif, E.; Rienth, M. Unravelling molecular mechanisms involved in resistance priming against downy mildew (Plasmopara viticola) in grapevine (Vitis vinifera L.). Sci. Rep. 2023, 13, 14664. [Google Scholar] [CrossRef]
- Fajardo, T.V.M.; Quecini, V. Comparative transcriptome analyses between cultivated and wild grapes reveal conservation of expressed genes but extensive rewiring of co-expression networks. Plant Mol. Biol. 2021, 106, 1–20. [Google Scholar] [CrossRef]
- Long, Q.; Cao, S.; Huang, G.; Wang, X.; Liu, Z.; Liu, W.; Wang, Y.; Xiao, H.; Peng, Y.; Zhou, Y. Population comparative genomics discovers gene gain and loss during grapevine domestication. Plant Physiol. 2024, 195, kiae039. [Google Scholar] [CrossRef]
- Ferrero, V.; Baeten, L.; Blanco-Sánchez, L.; Planelló, R.; Díaz-Pendón, J.A.; Rodríguez-Echeverría, S.; Haegeman, A.; de la Peña, E. Complex patterns in tolerance and resistance to pests and diseases underpin the domestication of tomato. New Phytol. 2020, 226, 254–266. [Google Scholar] [CrossRef]
- Lukšić, K.; Zdunić, G.; Hančević, K.; Mihaljević, M.Ž.; Mucalo, A.; Maul, E.; Riaz, S.; Pejić, I. Identification of powdery mildew resistance in wild grapevine (Vitis vinifera subsp. sylvestris Gmel Hegi) from Croatia and Bosnia and Herzegovina. Sci. Rep. 2022, 12, 2128. [Google Scholar] [CrossRef] [PubMed]
- Liu, J.; Wang, L.; Jiang, S.; Wang, Z.; Li, H.; Wang, H. Mining of Minor Disease Resistance Genes in V. vinifera Grapes Based on Transcriptome. Int. J. Mol. Sci. 2023, 24, 15311. [Google Scholar] [CrossRef]
- Possamai, T.; Migliaro, D.; Gardiman, M.; Velasco, R.; De Nardi, B. Rpv Mediated Defense Responses in Grapevine Offspring Resistant to Plasmopara viticola. Plants 2020, 9, 781. [Google Scholar] [CrossRef] [PubMed]
- Park, M.; Vera, D.; Kambrianda, D.; Gajjar, P.; Cadle-Davidson, L.; Tsolova, V.; El-Sharkawy, I. Chromosome-level genome sequence assembly and genome-wide association study of Muscadinia rotundifolia reveal the genetics of 12 berry-related traits. Hortic. Res. 2022, 9, uhab011. [Google Scholar] [CrossRef] [PubMed]
- Sargolzaei, M.; Maddalena, G.; Bitsadze, N.; Maghradze, D.; Bianco, P.A.; Failla, O.; Toffolatti, S.L.; De Lorenzis, G. Rpv29, Rpv30 and Rpv31: Three Novel Genomic Loci Associated with Resistance to Plasmopara viticola in Vitis vinifera. Front. Plant Sci. 2020, 11, 562432. [Google Scholar] [CrossRef]
- Bouquet, A.; Pauquet, J.; Adam-Blondon, A.-F.; Torregrosa, L.; Merdinoglu, D.; Wiedemann-Merdinoglu, S. Vers l’obtention de variétés de vigne résistantes à l’oïdium et au mildiou par les méthodes conventionnelles et biotechnologiques. Bull. OIV 2000, 73, 445–452. [Google Scholar]
- Pauquet, J.; Bouquet, A.; This, P.; Adam-Blondon, A.-F. Establishment of a local map of AFLP markers around the powdery mildew resistance gene Run1 in grapevine and assessment of their usefulness for marker assisted selection: Theor. Appl. Genet. 2001, 103, 1201–1210. [Google Scholar] [CrossRef]
- Merdinoglu, D.; Schneider, C.; Prado, E.; Wiedemann-Merdinoglu, S.; Mestre, P. Breeding for durable resistance to downy and powdery mildew in grapevine. OENO One 2018, 52, 203–209. [Google Scholar] [CrossRef]
- Cadle-Davidson, L. Variation Within and Between Vitis spp. for Foliar Resistance to the Downy Mildew Pathogen Plasmopara viticola. Plant Dis. 2008, 92, 1577–1584. [Google Scholar] [CrossRef]
- Dry, I.B.; Feechan, A.; Anderson, C.; Jermakow, A.M.; Bouquet, A.; Adam-Blondon, A.-F.; Thomas, M.R. Molecular strategies to enhance the genetic resistance of grapevines to powdery mildew. Aust. J. Grape Wine Res. 2009, 16, 94–105. [Google Scholar] [CrossRef]
- Hofberger, J.A.; Zhou, B.; Tang, H.; Jones, J.D.; Schranz, M.E. A novel approach for multi-domain and multi-gene family identification provides insights into evolutionary dynamics of disease resistance genes in core eudicot plants. BMC Genom. 2014, 15, 966. [Google Scholar] [CrossRef]
- Feechan, A.; Anderson, C.; Torregrosa, L.; Jermakow, A.; Mestre, P.; Wiedemann-Merdinoglu, S.; Merdinoglu, D.; Walker, A.R.; Cadle-Davidson, L.; Reisch, B.; et al. Genetic dissection of a TIR-NB-LRR locus from the wild North American grapevine species Muscadinia rotundifolia identifies paralogous genes conferring resistance to major fungal and oomycete pathogens in cultivated grapevine. Plant J. 2013, 76, 661–674. [Google Scholar] [CrossRef] [PubMed]
- Riaz, S.; Tenscher, A.C.; Ramming, D.W.; Walker, M.A. Using a limited mapping strategy to identify major QTLs for resistance to grapevine powdery mildew (Erysiphe necator) and their use in marker-assisted breeding. Theor. Appl. Genet. 2011, 122, 1059–1073. [Google Scholar] [CrossRef] [PubMed]
- Massonnet, M.; Fasoli, M.; Tornielli, G.B.; Altieri, M.; Sandri, M.; Zuccolotto, P.; Paci, P.; Gardiman, M.; Zenoni, S.; Pezzotti, M. Ripening Transcriptomic Program in Red and White Grapevine Varieties Correlates with Berry Skin Anthocyanin Accumulation. Plant Physiol. 2017, 174, 2376–2396. [Google Scholar] [CrossRef] [PubMed]
- Savoi, S.; Torregrosa, L.; Romieu, C. Transcripts switched off at the stop of phloem unloading highlight the energy efficiency of sugar import in the ripening V. vinifera fruit. Hortic. Res. 2021, 8, 193. [Google Scholar] [CrossRef]
- Theine, J.; Holtgräwe, D.; Herzog, K.; Schwander, F.; Kicherer, A.; Hausmann, L.; Viehöver, P.; Töpfer, R.; Weisshaar, B. Transcriptomic analysis of temporal shifts in berry development between two grapevine cultivars of the Pinot family reveals potential genes controlling ripening time. BMC Plant Biol. 2021, 21, 327. [Google Scholar] [CrossRef] [PubMed]
- Barker, C.L.; Donald, T.; Pauquet, J.; Ratnaparkhe, M.B.; Bouquet, A.; Adam-Blondon, A.-F.; Thomas, M.R.; Dry, I. Genetic and physical mapping of the grapevine powdery mildew resistance gene, Run1, using a bacterial artificial chromosome library. Theor. Appl. Genet. 2005, 111, 370–377. [Google Scholar] [CrossRef]
- Foria, S.; Magris, G.; Jurman, I.; Schwope, R.; De Candido, M.; De Luca, E.; Ivanišević, D.; Morgante, M.; Di Gaspero, G. Extent of wild–to–crop interspecific introgression in grapevine (Vitis vinifera) as a consequence of resistance breeding and implications for the crop species definition. Hortic. Res. 2022, 9, uhab010. [Google Scholar] [CrossRef] [PubMed]
- Cochetel, N.; Minio, A.; Massonnet, M.; Vondras, A.M.; Figueroa-Balderas, R.; Cantu, D. Diploid chromosome-scale assembly of the Muscadinia rotundifolia genome supports chromosome fusion and disease resistance gene expansion during Vitis and Muscadinia divergence. G3 GenesGenomesGenetics 2021, 11, jkab033. [Google Scholar] [CrossRef]
- Huff, M.; Hulse-Kemp, A.M.; Scheffler, B.E.; Youngblood, R.C.; Simpson, S.A.; Babiker, E.; Staton, M. Long-read, chromosome-scale assembly of Vitis rotundifolia cv. Carlos and its unique resistance to Xylella fastidiosa subsp. fastidiosa. BMC Genom. 2023, 24, 409. [Google Scholar] [CrossRef]
- Robinson, J.T.; Thorvaldsdottir, H.; Turner, D.; Mesirov, J.P. igv.js: An embeddable JavaScript implementation of the Integrative Genomics Viewer (IGV). Bioinformatics 2023, 39, btac830. [Google Scholar] [CrossRef] [PubMed]
- Velt, A.; Frommer, B.; Blanc, S.; Holtgräwe, D.; Duchêne, É.; Dumas, V.; Grimplet, J.; Hugueney, P.; Kim, C.; Lahaye, M.; et al. An improved reference of the grapevine genome reasserts the origin of the PN40024 highly homozygous genotype. G3 GenesGenomesGenetics 2023, 13, jkad067. [Google Scholar] [CrossRef]
- Di Gaspero, G.; Radovic, S.; De Luca, E.; Spadotto, A.; Magris, G.; Falginella, L.; Cattonaro, F.; Marroni, F. Evaluation of sensitivity and specificity in RNA-Seq-based detection of grapevine viral pathogens. J. Virol. Methods 2022, 300, 114383. [Google Scholar] [CrossRef] [PubMed]
- Jiao, C.; Gao, M.; Wang, X.; Fei, Z. Transcriptome characterization of three wild Chinese Vitis uncovers a large number of distinct disease related genes. BMC Genom. 2015, 16, 223. [Google Scholar] [CrossRef] [PubMed]
- Rispe, C.; Legeai, F.; Papura, D.; Bretaudeau, A.; Hudaverdian, S.; Le Trionnaire, G.; Tagu, D.; Jaquiéry, J.; Delmotte, F. De novo transcriptome assembly of the grapevine phylloxera allows identification of genes differentially expressed between leaf- and root-feeding forms. BMC Genom. 2016, 17, 219. [Google Scholar] [CrossRef] [PubMed]
- Robertson, G.; Schein, J.; Chiu, R.; Corbett, R.; Field, M.; Jackman, S.D.; Mungall, K.; Lee, S.; Okada, H.M.; Qian, J.Q.; et al. De novo assembly and analysis of RNA-seq data. Nat. Methods 2010, 7, 909–912. [Google Scholar] [CrossRef] [PubMed]
- Claros, M.G.; Bautista, R.; Guerrero-Fernández, D.; Benzerki, H.; Seoane, P.; Fernández-Pozo, N. Why Assembling Plant Genome Sequences Is So Challenging. Biology 2012, 1, 439–459. [Google Scholar] [CrossRef] [PubMed]
- McHale, L.; Tan, X.; Koehl, P.; Michelmore, R.W. Plant NBS-LRR proteins: Adaptable guards. Genome Biol. 2006, 7, 212. [Google Scholar] [CrossRef] [PubMed]
- Chaïb, J.; Torregrosa, L.; Mackenzie, D.; Corena, P.; Bouquet, A.; Thomas, M.R. The grape microvine—A model system for rapid forward and reverse genetics of grapevines. Plant J. Cell Mol. Biol. 2010, 62, 1083–1092. [Google Scholar] [CrossRef]
- Buck, K.; Worthington, M. Genetic Diversity of Wild and Cultivated Muscadine Grapes (Vitis rotundifolia Michx.). Front. Plant Sci. 2022, 13, 852130. [Google Scholar] [CrossRef]
- Morales-Cruz, A.; Aguirre-Liguori, J.A.; Zhou, Y.; Minio, A.; Riaz, S.; Walker, A.M.; Cantu, D.; Gaut, B.S. Introgression among North American wild grapes (Vitis) fuels biotic and abiotic adaptation. Genome Biol. 2021, 22, 254. [Google Scholar] [CrossRef] [PubMed]
- Hou, S.; Yang, Y.; Wu, D.; Zhang, C. Plant immunity. Plant Signal. Behav. 2011, 6, 794–799. [Google Scholar] [CrossRef] [PubMed]
- Wang, X.; Yu, D.; Yu, J.; Hu, H.; Hang, R.; Amador, Z.; Chen, Q.; Chai, J.; Chen, X. Toll/interleukin-1 receptor (TIR) domain-containing proteins have NAD-RNA decapping activity. Nat. Commun. 2024, 15, 2261. [Google Scholar] [CrossRef] [PubMed]
- Chen, J.; Zhang, X.; Bernoux, M.; Rathjen, J.P.; Dodds, P.N. Plant Toll/interleukin-1 receptor/resistance protein domains physically associate with enhanced disease susceptibility1 family proteins in immune signaling. iScience 2024, 27, 108817. [Google Scholar] [CrossRef] [PubMed]
- Horsefield, S.; Burdett, H.; Zhang, X.; Manik, M.K.; Shi, Y.; Chen, J.; Qi, T.; Gilley, J.; Lai, J.-S.; Rank, M.X.; et al. NAD+ cleavage activity by animal and plant TIR domains in cell death pathways. Science 2019, 365, 793–799. [Google Scholar] [CrossRef] [PubMed]
- Ordon, J.; Martin, P.; Erickson, J.L.; Ferik, F.; Balcke, G.; Bonas, U.; Stuttmann, J. Disentangling cause and consequence: Genetic dissection of the DANGEROUS MIX2 risk locus, and activation of the DM2h NLR in autoimmunity. Plant J. 2021, 106, 1008–1023. [Google Scholar] [CrossRef] [PubMed]
- Qu, J.; Dry, I.; Liu, L.; Guo, Z.; Yin, L. Transcriptional profiling reveals multiple defense responses in downy mildew-resistant transgenic grapevine expressing a TIR-NBS-LRR gene located at the MrRUN1/MrRPV1 locus. Hortic. Res. 2021, 8, 161. [Google Scholar] [CrossRef] [PubMed]
- Robb, J.; Lee, B.; Nazar, R.N. Gene suppression in a tolerant tomato–vascular pathogen interaction. Planta 2007, 226, 299–309. [Google Scholar] [CrossRef] [PubMed]
- Kroj, T.; Chanclud, E.; Michel-Romiti, C.; Grand, X.; Morel, J.-B. Integration of decoy domains derived from protein targets of pathogen effectors into plant immune receptors is widespread. New Phytol. 2016, 210, 618–626. [Google Scholar] [CrossRef]
- Ma, L.; Sun, L.; Guo, Y.; Lin, H.; Liu, Z.; Li, K.; Guo, X. Transcriptome analysis of table grapes (Vitis vinifera L.) identified a gene network module associated with berry firmness. PLoS ONE 2020, 15, e0237526. [Google Scholar] [CrossRef]
- Zhang, H.; Cao, Y.; Zhao, J.; Li, X.; Xiao, J.; Wang, S. A pair of orthologs of a leucine-rich repeat receptor kinase-like disease resistance gene family regulates rice response to raised temperature. BMC Plant Biol. 2011, 11, 160. [Google Scholar] [CrossRef]
- Brutus, A.; Sicilia, F.; Macone, A.; Cervone, F.; De Lorenzo, G. A domain swap approach reveals a role of the plant wall-associated kinase 1 (WAK1) as a receptor of oligogalacturonides. Proc. Natl. Acad. Sci. USA 2010, 107, 9452–9457. [Google Scholar] [CrossRef]
- Thomma, B.P.H.J.; Nürnberger, T.; Joosten, M.H.A.J. Of PAMPs and Effectors: The Blurred PTI-ETI Dichotomy. Plant Cell 2011, 23, 4–15. [Google Scholar] [CrossRef]
- Sun, X.-L.; Yu, Q.-Y.; Tang, L.-L.; Ji, W.; Bai, X.; Cai, H.; Liu, X.-F.; Ding, X.-D.; Zhu, Y.-M. GsSRK, a G-type lectin S-receptor-like serine/threonine protein kinase, is a positive regulator of plant tolerance to salt stress. J. Plant Physiol. 2013, 170, 505–515. [Google Scholar] [CrossRef]
- Torregrosa, L.J.-M.; Rienth, M.; Romieu, C.; Pellegrino, A. The microvine, a model for studies in grapevine physiology and genetics. OENO One 2019, 53, 373–391. [Google Scholar] [CrossRef]
- Zhou, M.; Wang, H.; Yu, X.; Cui, K.; Hu, Y.; Xiao, S.; Wen, Y.-Q. Transcription factors VviWRKY10 and VviWRKY30 co-regulate powdery mildew resistance in grapevine. Plant Physiol. 2024, 195, 446–461. [Google Scholar] [CrossRef]
- Schumacher, S.; Mertes, C.; Kaltenbach, T.; Bleyer, G.; Fuchs, R. A method for phenotypic evaluation of grapevine resistance in relation to phenological development. Sci. Rep. 2024, 14, 915. [Google Scholar] [CrossRef] [PubMed]
- Sichel, V.; Sarah, G.; Le Cunff, L.; This, P.; Lacombe, T.; Romieu, C.; Diversité, A.; Tropicales, A. Intravarietal Diversity: An Opportunity for Climate Change Adaptation. 2023. Available online: https://agris.fao.org/search/en/providers/122439/records/652f9decc1cd75198696e944 (accessed on 24 January 2024).
- Bigard, A.; Romieu, C.; Ojeda, H.; Torregrosa, L. The sugarless grape trait characterised by single berry phenotyping. OENO One 2022, 56, 89–102. [Google Scholar] [CrossRef]
- Ojeda, H.; Bigard, A.; Escudier, J.L.; Samson, A.; Caille, S.; Romieu, C.; Torregrosa, L. De la vigne au vin: Des créations variétales adaptées au changement climatique et résistant aux maladies cryptogamiques 1/2: La résistance variétale. Rev. Øenologues Tech. Vitivinic. Øenologiques 2017, 44, 22–27. [Google Scholar]
- Cassan, O.; Lèbre, S.; Martin, A. Inferring and analyzing gene regulatory networks from multi-factorial expression data: A complete and interactive suite. BMC Genom. 2021, 22, 387. [Google Scholar] [CrossRef] [PubMed]
- Langfelder, P.; Horvath, S. WGCNA: An R package for weighted correlation network analysis. BMC Bioinform. 2008, 9, 559. [Google Scholar] [CrossRef] [PubMed]













| Genotype | Traits | Sample Year | Location | Dates of Sampling | Sample Number |
|---|---|---|---|---|---|
| G5 | resistant | 2021 | Pech Rouge | 3 dates | 8 |
| MV102 | resistant | 2018 | Greenhouse | 7 dates | 21 |
| MV32 | non-resistant | 2018 | Greenhouse | 7 dates | 21 |
| Syrah | non-resistant | 2018/2019 | SupAgro campus | 11 dates | 25 |
| Merlot clone1 | non-resistant | 2022 | Bordeaux | 4 dates | 12 |
| Merlot clone2 | non-resistant | 2022 | Bordeaux | 5 dates | 15 |
Disclaimer/Publisher’s Note: The statements, opinions and data contained in all publications are solely those of the individual author(s) and contributor(s) and not of MDPI and/or the editor(s). MDPI and/or the editor(s) disclaim responsibility for any injury to people or property resulting from any ideas, methods, instructions or products referred to in the content. |
© 2024 by the authors. Licensee MDPI, Basel, Switzerland. This article is an open access article distributed under the terms and conditions of the Creative Commons Attribution (CC BY) license (https://creativecommons.org/licenses/by/4.0/).
Share and Cite
Shi, M.; Savoi, S.; Sarah, G.; Soriano, A.; Weber, A.; Torregrosa, L.; Romieu, C. Vitis rotundifolia Genes Introgressed with RUN1 and RPV1: Poor Recombination and Impact on V. vinifera Berry Transcriptome. Plants 2024, 13, 2095. https://doi.org/10.3390/plants13152095
Shi M, Savoi S, Sarah G, Soriano A, Weber A, Torregrosa L, Romieu C. Vitis rotundifolia Genes Introgressed with RUN1 and RPV1: Poor Recombination and Impact on V. vinifera Berry Transcriptome. Plants. 2024; 13(15):2095. https://doi.org/10.3390/plants13152095
Chicago/Turabian StyleShi, Mengyao, Stefania Savoi, Gautier Sarah, Alexandre Soriano, Audrey Weber, Laurent Torregrosa, and Charles Romieu. 2024. "Vitis rotundifolia Genes Introgressed with RUN1 and RPV1: Poor Recombination and Impact on V. vinifera Berry Transcriptome" Plants 13, no. 15: 2095. https://doi.org/10.3390/plants13152095
APA StyleShi, M., Savoi, S., Sarah, G., Soriano, A., Weber, A., Torregrosa, L., & Romieu, C. (2024). Vitis rotundifolia Genes Introgressed with RUN1 and RPV1: Poor Recombination and Impact on V. vinifera Berry Transcriptome. Plants, 13(15), 2095. https://doi.org/10.3390/plants13152095

