Generic Workflow of a Highly Effective and Easy Anther Culture Method for Both Japonica and Indica Rice
Abstract
1. Introduction
2. Results
2.1. Different Responses in Callus Induction for Different Rice Genotypes
2.2. Different Responses in Plantlet Regeneration for Different Rice Genotypes
2.3. Ploidy Identification of Regenerated Plants
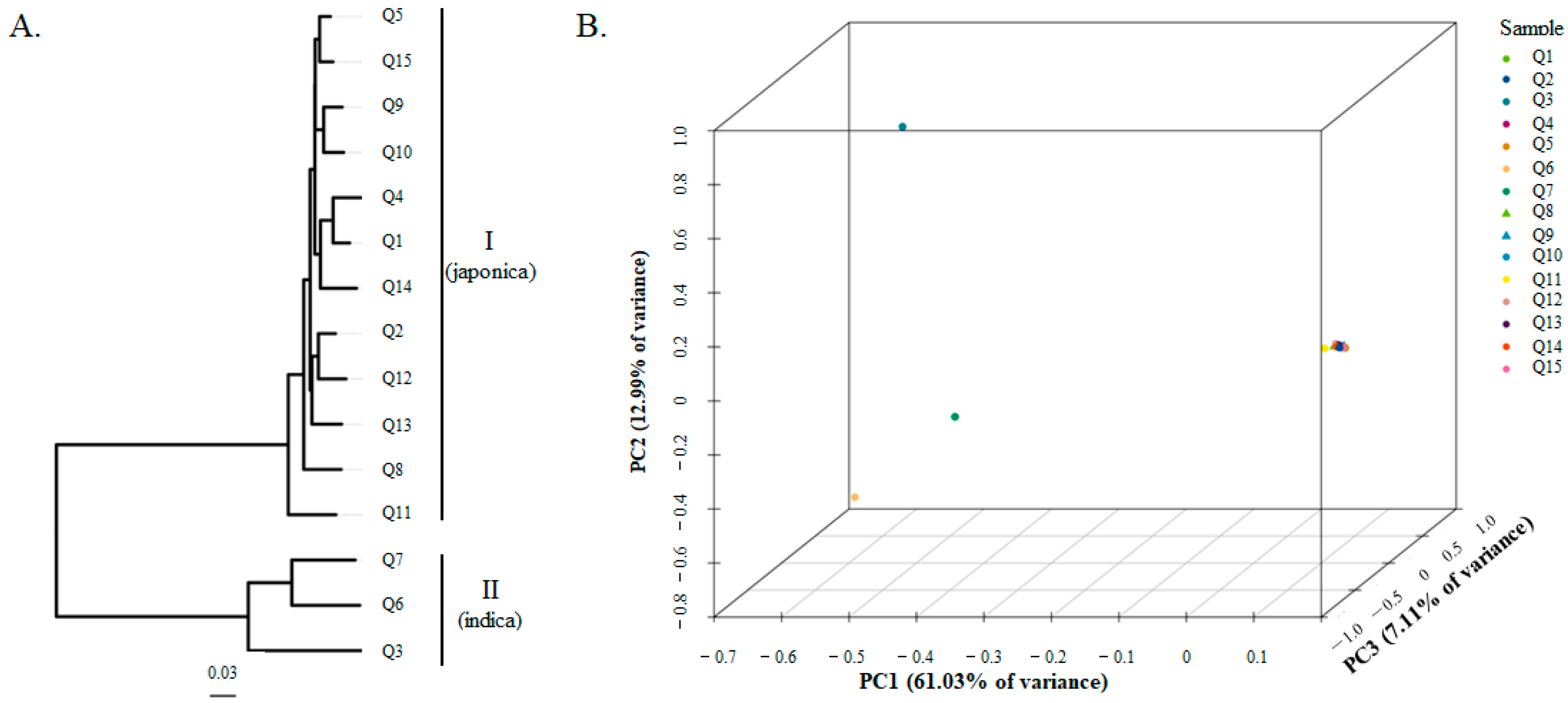
2.4. SNP Markers and Genetic Diversity Analysis
3. Discussion
4. Materials and Methods
4.1. Plant Materials
4.2. Tiller Collection and Cold Pretreatment
4.3. Culture Media and Preparation
4.4. In Vitro Anther Culture
4.5. Plantlets Regeneration, Rooting and Ploidy Determination
4.6. Genotyping-by-Sequencing (GBS)
4.7. Genetic Diversity Analysis
5. Conclusions
Supplementary Materials
Author Contributions
Funding
Data Availability Statement
Acknowledgments
Conflicts of Interest
References
- Hale, B.; Ferrie, A.M.R.; Chellamma, S.; Samuel, J.P.; Phillips, G.C. Androgenesis-based Doubled Haploidy: Past, Present, and Future Perspectives. Front. Plant Sci. 2022, 12, 751230. [Google Scholar] [CrossRef] [PubMed]
- Islam, M.T.; Arif, M.R.; Hasan, M.T.; Robin, A.H. Anther Culture in Crop Plants: Progress and Perspectives. Plant Breed. Biotechnol. 2023, 11, 69–96. [Google Scholar] [CrossRef]
- Germanà, M.A. Anther Culture for Haploid and Doubled Haploid Production. Plant Cell Tissue Organ Cult. 2011, 104, 283–300. [Google Scholar] [CrossRef]
- Wei, X.; Chen, M.; Zhang, Q.; Gong, J.; Liu, J.; Yong, K.; Wang, Q.; Fan, J.; Chen, S.; Hua, H.; et al. Genomic Investigation of 18,421 Lines Reveals the Genetic Architecture of Rice. Science 2024, 385, eadm8762. [Google Scholar] [CrossRef]
- Niizeki, H.; Oono, K. Induction of Haploid Rice Plant from Anther Culture. Proc. Jpn. Acad. 1968, 44, 554–557. [Google Scholar] [CrossRef]
- Chen, Y.; Wang, R.F.; Tian, W.Z. Studies on Pollen Culture in vitro and Induction of Plantlets in Oryza Sativa Subsp. Keng. Acta Genet. Sin. 1980, 7, 46–54. (In Chinese) [Google Scholar]
- Kelliher, T.; Starr, D.; Richbourg, L.; Chintamanani, S.; Delzer, B.; Nuccio, M.L.; Green, J.; Chen, Z.; McCuiston, J.; Wang, W.; et al. Matrilineal, A Sperm-specific Phospholipase, Triggers Maize Haploid Induction. Nature 2017, 542, 105–109. [Google Scholar] [CrossRef]
- Kelliher, T.; Starr, D.; Su, X.; Tang, G.; Chen, Z.; Carter, J.; Wittich, P.E.; Dong, S.; Green, J.; Burch, E.; et al. One-step Genome Editing of Elite Crop Germplasm during Haploid Induction. Nat. Biotechnol. 2019, 37, 287–292. [Google Scholar] [CrossRef] [PubMed]
- Yao, L.; Zhang, Y.; Liu, C.; Liu, Y.; Wang, Y.; Liang, D.; Liu, J.; Sahoo, G.; Kelliher, T. OsMATL Mutation Induces Haploid Seed Formation in Indica Rice. Nat. Plants 2018, 4, 530–533. [Google Scholar] [CrossRef]
- Chen, C.C.; Tsay, H.S.; Huang, C.R. Factors Affecting Andro-genesis in Rice (Oryza sativa L.). In Rice. Bio-Technology in Agriculture and Forestry; Bajajv, Y.P.S., Ed.; Springer: Berlin/Heidelberg, Germany; New York, NY, USA, 1991; Volume 14, pp. 192–215. [Google Scholar]
- Zhang, Y.; Gao, R.; Li, L.; Du, Z.; Guo, G.; Chen, Z.; He, T.; Lu, R.; Huang, J. Relationship between Anther Culture Response and Plant Drought Tolerance of Rice (Oryza sativa L.) under Water Stress. Plant Physiol. J. 2011, 47, 1188–1194. [Google Scholar]
- Lantos, C.; Jancsó, M.; Székely, Á.; Nagy, É.; Szalóki, T.; Pauk, J. Improvement of Anther Culture to Integrate Doubled Haploid Technology in Temperate Rice (Oryza sativa L.) Breeding. Plants 2022, 11, 3446. [Google Scholar] [CrossRef] [PubMed]
- He, T.; Yang, Y.; Tu, S.B.; Yu, M.Q.; Li, X.F. Selection of Interspecific Hybrids for Anther Culture of Indica Rice. Plant Cell Tissue Organ Cult. 2006, 86, 271–277. [Google Scholar] [CrossRef][Green Version]
- Mishra, R.; Rao, G.J.N. In-vitro Androgenesis in Rice: Advantages, Constraints and Future Prospects. Rice Science 2016, 23, 57–68. [Google Scholar] [CrossRef]
- Wang, C.; Liu, Q.; Shen, Y.; Hua, Y.; Wang, J.; Lin, J.; Wu, M.; Sun, T.; Cheng, Z.; Mercier, R.; et al. Clonal Seeds from Hybrid Rice by Simultaneous Genome Engineering of Meiosis and Fertilization Genes. Nat. Biotechnol. 2019, 37, 283–286. [Google Scholar] [CrossRef] [PubMed]
- Lu, R.; Chen, Z.; Gao, R.; He, T.; Wang, Y.; Xu, H.; Guo, G.; Li, Y.; Liu, C.; Huang, J. Genotypes-independent Optimization of Nitrogen Supply for Isolated Microspore Cultures in Barley. BioMed Res. Int. 2016, 2016, 1801646. [Google Scholar] [CrossRef] [PubMed]
- Chen, P.; You, Y.; Dai, Z.; Peng, Y. Effects of Different Media on Anther Culture Ability of Rice. Fujian Agric. Sci. 2019, 4, 1–3. (In Chinese) [Google Scholar]
- Zha, Z.; Guo, Y.; Yin, D.; Hu, J.; Zheng, X.; Dong, H.; Liu, Y.; Wang, H.; Xue, L.; Xu, D. Effects of Different Media on Anther Culture of Rice. Hubei Agric. Sci. 2022, 61, 202–205. (In Chinese) [Google Scholar]
- Lantos, C.; Jancsó, M.; Székely, Á.; Szalóki, T.; Venkatanagappa, S.; Pauk, J. Development of in vitro Anther Culture for Doubled Haploid Plant Production in Indica Rice (Oryza sativa L.) Genotypes. Plants 2023, 12, 1774. [Google Scholar] [CrossRef]
- Afza, R.; Shen, M.; Zapata-Arias, F.J.; Xie, J.; Fundi, H.K.; Lee, K.-S.; Bobadilla-Mucino, E.; Kodym, A. Effect of Spikelet Position on Rice Anther Culture Efficiency. Plant Sci. 2000, 153, 155–159. [Google Scholar] [CrossRef]
- Ali, J.; Nicolas, K.L.C.; Akther, S.; Torabi, A.; Ebadi, A.A.; Marfori-Nazarea, C.M.; Mahender, A. Improved Anther Culture Media for Enhanced Callus Formation and Plant Regeneration in Rice (Oryza sativa L.). Plants 2021, 10, 839. [Google Scholar] [CrossRef]
- He, P.; Shen, L.; Lu, C.; Chen, Y.; Zhu, L. Analysis of Quantitative Trait Loci Which Contribute to Anther Culturability in Rice (Oryza sativa L.). Mol. Breed. 1998, 4, 165–172. [Google Scholar] [CrossRef]
- Asaduzzaman, M.; Bari, M.A.; Rahman, M.H.; Khatun, N.; Islam, M.A.; Rahman, M. In vitro Plant Regeneration Through Anther Culture of Five Rice Varieties. J. Biol. Sci. 2003, 3, 167–171. [Google Scholar]
- Ghalagi, C.; Namratha, M.R.; Kotyal, K.; Prakash, S.; Raju, B.M. A Novel Visual Marker to Distinguish Haploids from Doubled Haploids in Rice (Oryza sativa L.) at Early Growth Stages. Plant Methods 2023, 19, 137. [Google Scholar] [CrossRef]
- Seguí-Simarro, J.M.; Nuez, F. How Microspores Transform into Haploid Embryos: Changes Associated with Embryogenesis Induction and Microspore-derived Embryogenesis. Physiol. Plant 2008, 134, 1–12. [Google Scholar] [CrossRef] [PubMed]
- Naik, N.; Rout, P.; Umakanta, N.; Verma, R.L.; Katara, J.L.; Sahoo, K.K.; Singh, O.N.; Samantaray, S. Development of Doubled Haploids from An Elite Indica Rice Hybrid (BS6444G) Using Anther Culture. Plant Cel, Tissue Organ Cult. 2017, 128, 679–689. [Google Scholar] [CrossRef]
- Chen, Z.; Guo, Z.; Li, L.; Halford, N.G.; Guo, G.; Zhang, S.; Zong, Y.; Liu, S.; Liu, C.; Zhou, L. Genetic Diversity and Genome-Wide Association Analysis of the Hulled/Naked Trait in a Barley Collection from Shanghai Agricultural Gene Bank. Int. J. Mol. Sci. 2024, 25, 5217. [Google Scholar] [CrossRef] [PubMed]
- McKenna, A.; Hanna, M.; Banks, E.; Sivachenko, A.; Cibulskis, K.; Kernytsky, A.; Garimella, K.; Altshuler, D.; Gabriel, S.; Daly, M.; et al. The Genome Analysis Toolkit: A MapReduce framework for analyzing next-generation DNA sequencing data. Genome Res. 2010, 20, 1297–1303. [Google Scholar] [CrossRef]
- Danecek, P.; Auton, A.; Abecasis, G.; Albers, C.A.; Banks, E.; DePristo, M.A.; Handsaker, R.E.; Lunter, G.; Marth, G.T.; Sherry, S.T.; et al. The variant call format and VCFtools. Bioinformatics 2011, 27, 2156–2158. [Google Scholar] [CrossRef]
- Cingolani, P.; Platts, A.; Wang, L.L.; Coon, M.; Nguyen, T.; Wang, L.; Land, S.J.; Lu, X.; Ruden, D.M. A Program for Annotating and Predicting the Effects of Single Nucleotide Polymorphisms, SnpEff: SNPs in the Genome of Drosophila Melanogaster strain w1118; iso-2; iso-3. Fly 2012, 6, 80–92. [Google Scholar] [CrossRef]
- Saitou, N.; Nei, M. The Neighbor-joining Method: A New Method for Reconstructing Phylogenetic Trees. Mol. Biol. Evol. 1987, 4, 406–425. [Google Scholar]
- Ruan, J.; Li, H.; Chen, Z.; Coghlan, A.; Coin, L.J.; Guo, Y.; Heriche, J.K.; Hu, Y.; Kristiansen, K.; Li, R.; et al. TreeFam: 2008 Update. Nucleic Acids Res. 2008, 36, D735–D740. [Google Scholar] [CrossRef] [PubMed]
- Efron, B. Bootstrap Methods: Another Look at the Jackknife. In Breakthroughs in Statistics: Methodology and Distribution; Springer: New York, NY, USA, 1992; pp. 569–593. [Google Scholar]
- Yang, J.; Lee, S.H.; Goddard, M.E.; Visscher, P.M. GCTA: A Tool for Genome-wide Complex Trait Analysis. Am. J. Hum. Genet. 2011, 88, 76–82. [Google Scholar] [CrossRef] [PubMed]




| Code of Rice Genotype | Total Number of Triangular Flasks for Anther Inoculation | Total Number of Contaminated Triangular Flasks | Total Number of Triangular Flasks without Induced Calli | Total Number of Triangular Flasks with Induced Calli | Total Number of Anthers of Induced Calli | Total Callus Introduction Rate (%) |
|---|---|---|---|---|---|---|
| Q1 | 53 | 2 | 4 | 47 | 350 | 5.72 |
| Q2 | 30 | 3 | 5 | 22 | 158 | 4.88 |
| Q3 | 35 | 0 | 6 | 29 | 67 | 1.60 |
| Q4 | 50 | 5 | 17 | 28 | 101 | 1.87 |
| Q5 | 43 | 0 | 0 | 43 | 608 | 11.78 |
| Q6 | 43 | 1 | 6 | 36 | 291 | 5.77 |
| Q7 | 40 | 0 | 25 | 15 | 39 | 0.81 |
| Q8 | 25 | 0 | 0 | 25 | 203 | 6.77 |
| Q9 | 35 | 0 | 2 | 33 | 199 | 4.74 |
| Q10 | 35 | 2 | 0 | 33 | 375 | 9.47 |
| Q11 | 35 | 0 | 0 | 35 | 526 | 12.52 |
| Q12 | 31 | 2 | 0 | 29 | 263 | 7.56 |
| Q13 | 35 | 0 | 0 | 35 | 243 | 5.79 |
| Q14 | 31 | 0 | 1 | 30 | 237 | 6.37 |
| Q15 | 19 | 0 | 0 | 19 | 318 | 13.95 |
| Code of Rice Genotype | Total Number of Anthers of Induced Calli | Number of Green Plantlets | Number of Albino Plantlets | Number of Green Spots | Green Plantlet Regeneration Rate (%) | Albino Plantlet Regeneration Rate (%) | Ratio of Green and Albino Plantlets |
|---|---|---|---|---|---|---|---|
| Q1 | 350 | 745 | 313 | 55 | 212.86 | 89.43 | 2.38 |
| Q2 | 158 | 375 | 68 | 1122 | 237.34 | 43.04 | 5.51 |
| Q3 | 67 | 6 | 37 | 8 | 8.96 | 55.22 | 0.16 |
| Q4 | 101 | 77 | 60 | ND | 76.24 | 59.41 | 1.28 |
| Q5 | 608 | 587 | 197 | 1033 | 96.55 | 32.40 | 2.98 |
| Q6 | 132 | 24 | 93 | ND | 18.18 | 70.45 | 0.26 |
| Q7 | 39 | 102 | 16 | ND | 261.54 | 41.03 | 6.38 |
| Q8 | 203 | 57 | 135 | 29 | 28.08 | 66.50 | 0.42 |
| Q9 | 199 | 226 | 156 | 85 | 113.57 | 78.39 | 1.45 |
| Q10 | 375 | 355 | 389 | 946 | 94.67 | 103.73 | 0.91 |
| Q11 | 526 | 48 | 18 | 113 | 9.13 | 3.42 | 2.67 |
| Q12 | 263 | 136 | 78 | ND | 51.71 | 29.66 | 1.74 |
| Q13 | 243 | 564 | 275 | 161 | 232.10 | 113.17 | 2.05 |
| Q14 | 237 | 966 | 116 | 57 | 407.59 | 48.95 | 8.33 |
| Q15 | 318 | 822 | 190 | 250 | 258.49 | 59.75 | 4.33 |
| Code of Rice Genotype | Total Number of Transfer Plants | Number of Haploid Plants | Number of Diploid Plants | Percentage of Haploid Plants (%) | Percentage of Diploid Plants (%) | Ratio of Diploid and Haploid Plants |
|---|---|---|---|---|---|---|
| Q1 | 50 | 18 | 32 | 36 | 64 | 1.78 |
| Q2 | 50 | 28 | 22 | 56 | 44 | 0.79 |
| Q3 | 20 | 7 | 13 | 35 | 65 | 1.86 |
| Q4 | 50 | 28 | 22 | 56 | 44 | 0.79 |
| Q5 | 50 | 35 | 15 | 70 | 30 | 0.43 |
| Q6 | 50 | 8 | 42 | 16 | 84 | 5.25 |
| Q7 | 50 | 15 | 35 | 30 | 70 | 2.33 |
| Q8 | 50 | 43 | 7 | 86 | 14 | 0.16 |
| Q9 | 50 | 34 | 16 | 68 | 32 | 0.47 |
| Q10 | 50 | 42 | 8 | 84 | 16 | 0.19 |
| Q11 | 50 | 9 | 41 | 18 | 82 | 4.56 |
| Q12 | 50 | 16 | 34 | 32 | 68 | 2.13 |
| Q13 | 50 | 34 | 16 | 68 | 32 | 0.47 |
| Q14 | 50 | 25 | 25 | 50 | 50 | 1.00 |
| Q15 | 50 | 32 | 18 | 64 | 36 | 0.56 |
| Code | Rice Genotype | Subspecies | Origin |
|---|---|---|---|
| Q1 | Nipponbare | Japonica | National Mid-term Bank for Rice, China |
| Q2 | Wuyunjing 7 | Japonica | |
| Q3 | 93–11 | Indica | |
| Q4 | Zhonghua 11 | Japonica | |
| Q5 | Nanjing 46 | Japonica | |
| Q6 | Zhongzao 39 | Indica | |
| Q7 | Zhongjiazao 17 | Indica | |
| Q8 | Xiushui 134 | Japonica | |
| Q9 | Nanjing 9108 | Japonica | |
| Q10 | Nanjing 5055 | Japonica | |
| Q11 | Shangshida 19 | Japonica | |
| Q12 | 7375 | Japonica | Crop Breeding & Cultivation Research Institute of SAAS |
| Q13 | Hudao 89 | Japonica | |
| Q14 | Huruan 1212kang | Japonica | |
| Q15 | Huxiangruan 450 | Japonica |
Disclaimer/Publisher’s Note: The statements, opinions and data contained in all publications are solely those of the individual author(s) and contributor(s) and not of MDPI and/or the editor(s). MDPI and/or the editor(s) disclaim responsibility for any injury to people or property resulting from any ideas, methods, instructions or products referred to in the content. |
© 2024 by the authors. Licensee MDPI, Basel, Switzerland. This article is an open access article distributed under the terms and conditions of the Creative Commons Attribution (CC BY) license (https://creativecommons.org/licenses/by/4.0/).
Share and Cite
Guo, G.; Liu, S.; Zhang, S.; Yang, L.; Zong, Y.; Halford, N.G.; He, T.; Gao, R.; Guo, Z.; Zhou, L.; et al. Generic Workflow of a Highly Effective and Easy Anther Culture Method for Both Japonica and Indica Rice. Plants 2024, 13, 2531. https://doi.org/10.3390/plants13172531
Guo G, Liu S, Zhang S, Yang L, Zong Y, Halford NG, He T, Gao R, Guo Z, Zhou L, et al. Generic Workflow of a Highly Effective and Easy Anther Culture Method for Both Japonica and Indica Rice. Plants. 2024; 13(17):2531. https://doi.org/10.3390/plants13172531
Chicago/Turabian StyleGuo, Guimei, Shisen Liu, Shuwei Zhang, Linian Yang, Yingjie Zong, Nigel G. Halford, Ting He, Runhong Gao, Zhenzhu Guo, Longhua Zhou, and et al. 2024. "Generic Workflow of a Highly Effective and Easy Anther Culture Method for Both Japonica and Indica Rice" Plants 13, no. 17: 2531. https://doi.org/10.3390/plants13172531
APA StyleGuo, G., Liu, S., Zhang, S., Yang, L., Zong, Y., Halford, N. G., He, T., Gao, R., Guo, Z., Zhou, L., Liu, C., Wu, S., & Chen, Z. (2024). Generic Workflow of a Highly Effective and Easy Anther Culture Method for Both Japonica and Indica Rice. Plants, 13(17), 2531. https://doi.org/10.3390/plants13172531

