Dry Matter Accumulation, Water Productivity and Quality of Potato in Response to Regulated Deficit Irrigation in a Desert Oasis Region
Abstract
1. Introduction
2. Results
2.1. Above-Ground Dry Matter Accumulation Characteristics
2.1.1. Above-Ground Dry Matter at Different Stages
2.1.2. Above-Ground Dry Matter Accumulation Rate and Its Characteristic Parameters
2.2. Water Consumption
2.3. Tuber Yield, Dry Matter Content and Harvest Index
2.4. Water Use Efficiency (WUE) and Irrigation Water Use Efficiency (IWUE)
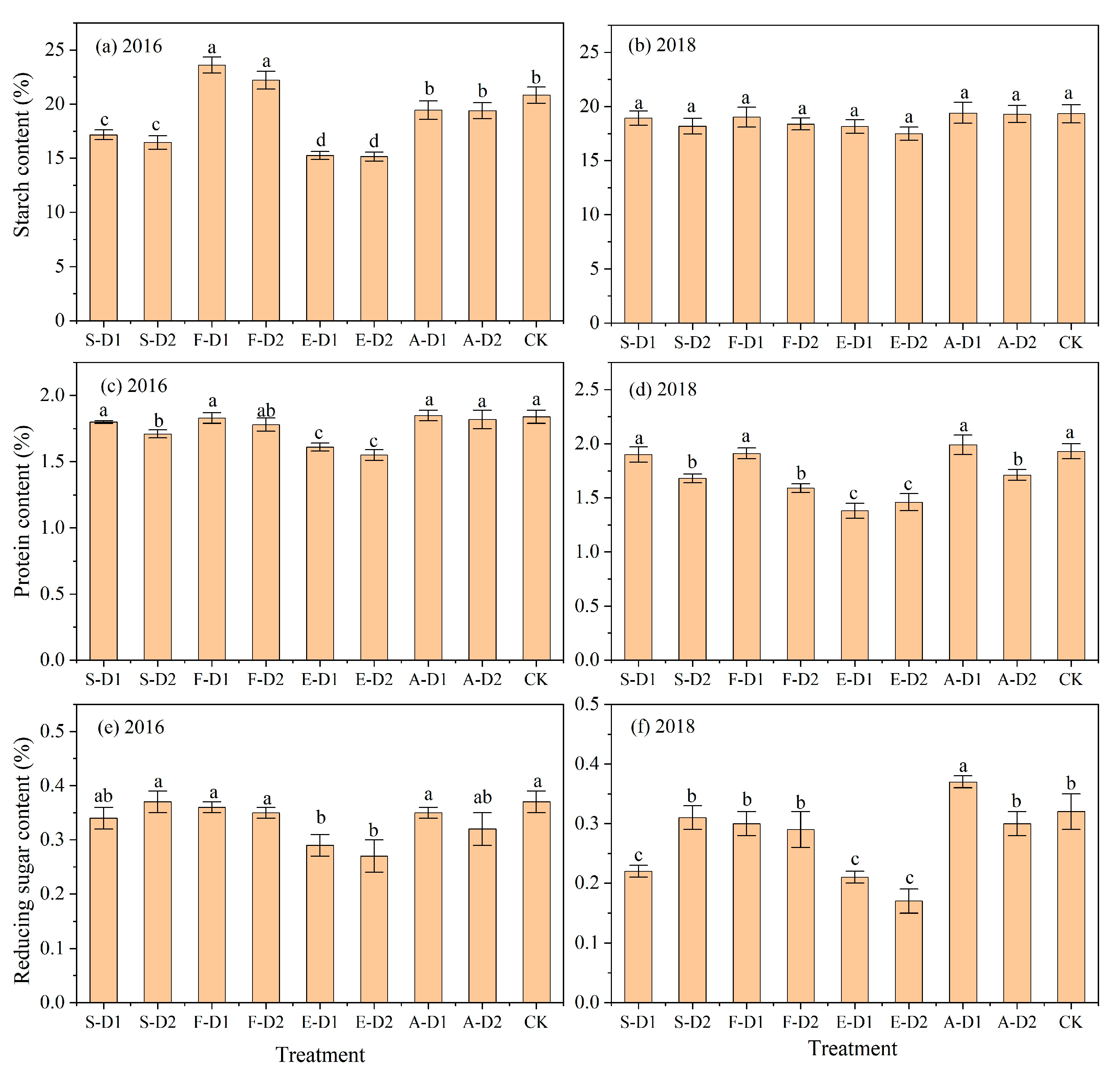
2.5. Tuber Quality
2.6. Optimization of Potato Water Deficit Strategy Based on Entropy Weight and TOPSIS
3. Discussion
3.1. Effects of Water Deficit on Potato Plant Above-Ground Dry Matter, Yield and Water Use Efficiency
3.2. Effect of Water Deficit on Tuber Quality
3.3. Comprehensive Evaluation Based on Entropy Weight and TOPSIS
4. Materials and Methods
4.1. Experimental Site Description
4.2. Experimental Design and Field Management
4.3. Measurements, Calculations and Methodologies
4.3.1. Dry Matter Accumulation
4.3.2. Tuber Yield
4.3.3. Tuber Quality
4.3.4. Water Consumption
4.3.5. Water Use Efficiency and Irrigation Water Use Efficiency
4.3.6. Multi-Objective Optimization Based on Entropy Weight Method and TOPSIS
- (1)
- Construct the original matrix.
- (2)
- Determination of weights using entropy weighting.
- (3)
- Multi-objective optimization using TOPSIS.
4.4. Statistical Analysis
5. Conclusions
Author Contributions
Funding
Data Availability Statement
Acknowledgments
Conflicts of Interest
References
- Cheng, M.H.; Wang, H.D.; Fan, J.L.; Zhang, S.H.; Wang, Y.L.; Li, Y.P.; Sun, X.; Yang, L.; Zhang, F.C. Water productivity and seed cotton yield in response to deficit irrigation: A global meta-analysis. Agric. Water Manag. 2021, 255, 12. [Google Scholar] [CrossRef]
- Wang, Y.B.; Wu, P.T.; Zhao, X.N.; Li, J.L. Development tendency of agricultural water structure in China. Chin. J. Eco-Agric. 2010, 18, 399–404. [Google Scholar] [CrossRef]
- Yawson, D.O.; Adu, M.O.; Armah, F.A.; Chiroro, C. Virtual water and phosphorus gains through rice imports to Ghana: Implications for food security policy. Int. J. Agric. Resour. Gov. Ecol. 2014, 10, 374–393. [Google Scholar] [CrossRef]
- Chai, Q.; Gan, Y.T.; Zhao, C.; Xu, H.L.; Waskom, R.M.; Niu, Y.N.; Siddique, K.H.M. Regulated deficit irrigation for crop production under drought stress. A review. Agron. Sustain. Dev. 2016, 36, 21. [Google Scholar] [CrossRef]
- Li, H.; Wu, Y.Z.; Huang, X.J.; Sloan, M.; Skitmore, M. Spatial-temporal evolution and classification of marginalization of cultivated land in the process of urbanization. Habitat Int. 2017, 61, 1–8. [Google Scholar] [CrossRef]
- Wang, H.D.; Wu, L.F.; Cheng, M.H.; Fan, J.L.; Zhang, F.C.; Zou, Y.F.; Chau, H.W.; Gao, Z.J.; Wang, X.K. Coupling effects of water and fertilizer on yield, water and fertilizer use efficiency of drip-fertigated cotton in northern Xinjiang, China. Field Crops Res. 2018, 219, 169–179. [Google Scholar] [CrossRef]
- Tang, J.Z.; Wang, J.; Fang, Q.X.; Dayananda, B.; Yu, Q.; Zhao, P.Y.; Yin, H.; Pan, X.B. Identifying agronomic options for better potato production and conserving water resources in the agro-pastoral ecotone in North China. Agric. For. Meteorol. 2019, 272, 91–101. [Google Scholar] [CrossRef]
- Cao, X.C.; Liu, Z.; Wu, M.Y.; Guo, X.P.; Wang, W.G. Temporal-spatial distribution and driving mechanism of arable land water scarcity index in China from water footprint perspective. Trans. Chin. Soc. Agric. Eng. 2019, 35, 94–100. [Google Scholar]
- Tang, J.Z.; Xiao, D.P.; Wang, J.; Wang, R.D.; Bai, H.Z.; Guo, F.H.; Liu, J.F. Optimizing irrigation and nitrogen management for potato production under multi-objective production conditions. Trans. Chin. Soc. Agric. Eng. 2021, 37, 108–116. [Google Scholar]
- Devaux, A.; Goffart, J.P.; Kromann, P.; Andrade-Piedra, J.; Polar, V.; Hareau, G. The Potato of the Future: Opportunities and Challenges in Sustainable Agri-Food Systems. Potato Res. 2022, 65, 211. [Google Scholar] [CrossRef]
- Yang, Y.D.; Duan, D.D.; Ju, Z.H.; Du, Y.T.; Luo, Q.Y.; Zhang, Q. Optimization analysis of China’s potato spatial layout at county level based on FAO-GAEZ model. Agric. For. Meteorol. 2022, 41, 3352–3363. [Google Scholar] [CrossRef]
- Wagg, C.; Hann, S.; Kupriyanovich, Y.; Li, S. Timing of short period water stress determines potato plant growth, yield and tuber quality. Agric. Water Manag. 2021, 247, 10. [Google Scholar] [CrossRef]
- Haverkort, A.J.; Van de Waart, M.; Bodlaender, K.B.A. The effect of early drought stress on numbers of tubers and stolons of potato in controlled and field conditions. Potato Res. 1990, 33, 89–96. [Google Scholar] [CrossRef]
- Tang, J.Z.; Wang, J.; Wang, E.L.; Yu, Q.; Yin, H.; He, D.; Pan, X.B. Identifying key meteorological factors to yield variation of potato and the optimal planting date in the agro-pastoral ecotone in North China. Agric. For. Meteorol. 2018, 256, 283–291. [Google Scholar] [CrossRef]
- Wang, Z.Y.; Yu, S.C.; Zhang, H.J.; Lei, L.; Liang, C.; Chen, L.L.; Su, D.D.; Li, X. Deficit mulched drip irrigation improves yield, quality, and water use efficiency of watermelon in a desert oasis region. Agric. Water Manag. 2023, 277, 16. [Google Scholar] [CrossRef]
- Dong, X.C.; Tang, H.X.; Zhang, Q.; Zhang, C.M.; Wang, Z.T. Transcriptomic analyses provide new insights into jujube fruit quality affected by water deficit stress. Sci. Hortic. 2022, 291, 11. [Google Scholar] [CrossRef]
- Du, T.S.; Kang, S.Z.; Zhang, J.H.; Davies, W.J. Deficit irrigation and sustainable water-resource strategies in agriculture for China’s food security. J. Exp. Bot. 2015, 66, 2253–2269. [Google Scholar] [CrossRef] [PubMed]
- Dingre, S.K.; Gorantiwar, S.D. Soil moisture based deficit irrigation management for sugarcane (Saccharum officinarum L.) in semiarid environment. Agric. Water Manag. 2021, 245, 14. [Google Scholar] [CrossRef]
- Cantore, V.; Lechkar, O.; Karabulut, E.; Sellami, M.H.; Albrizio, R.; Boari, F.; Stellacci, A.M.; Todorovic, M. Combined effect of deficit irrigation and strobilurin application on yield, fruit quality and water use efficiency of “cherry” tomato (Solanum lycopersicum L.). Agric. Water Manag. 2016, 167, 53–61. [Google Scholar] [CrossRef]
- Nikanorova, A.D.; Milanova, E.V.; Dronin, N.M.; Telnova, N.O. Estimation of water deficit under climate change and irrigation conditions in the Fergana Valley of Central Asia. Arid. Ecosyst. 2016, 6, 260–267. [Google Scholar] [CrossRef]
- Istanbulluoglu, A. Effects of irrigation regimes on yield and water productivity of safflower (Carthamus tinctorius L.) under Mediterranean climatic conditions. Agric. Water Manag. 2009, 96, 1792–1798. [Google Scholar] [CrossRef]
- Woli, P.; Hoogenboom, G.; Alva, A. Simulation of potato yield, nitrate leaching, and profit margins as influenced by irrigation and nitrogen management in different soils and production regions. Agric. Water Manag. 2016, 171, 120–130. [Google Scholar] [CrossRef]
- Onder, S.; Caliskan, M.E.; Onder, D.; Caliskan, S. Different irrigation methods and water stress effects on potato yield and yield components. Agric. Water Manag. 2005, 73, 73–86. [Google Scholar] [CrossRef]
- Elhani, S.; Haddadi, M.; Csákvári, E.; Zantar, S.; Hamim, A.; Villányi, V.; Douaik, A.; Bánfalvi, Z. Effects of partial root-zone drying and deficit irrigation on yield, irrigation water-use efficiency and some potato (Solanum tuberosum L.) quality traits under glasshouse conditions. Agric. Water Manag. 2019, 224, 10. [Google Scholar] [CrossRef]
- Zhang, F.; Chen, M.R.; Xing, Y.Y.; Dang, F.F.; LI, Y.; WANG, X.K. Optimization of fertilizer and drip irrigation levels for efficient potato production based on entropy weight method and TOPSIS. J. Plant Nutr. Fertil. 2023, 29, 732–744. [Google Scholar]
- Li, F.Q.; Deng, H.L.; Wang, Y.C.; Li, X.; Chen, X.T.; Liu, L.T.; Zhang, H.J. Potato growth, photosynthesis, yield, and quality response to regulated deficit drip irrigation under film mulching in a cold and arid environment. Sci. Rep. 2021, 11, 16. [Google Scholar] [CrossRef] [PubMed]
- Jensen, C.R.; Battilani, A.; Plauborg, F.; Psarras, G.; Chartzoulakis, K.; Janowiak, F.; Stikic, R.; Jovanovic, Z.; Li, G.T.; Qi, X.B.; et al. Deficit irrigation based on drought tolerance and root signalling in potatoes and tomatoes. Agric. Water Manag. 2010, 98, 403–413. [Google Scholar] [CrossRef]
- Kifle, M.; Gebretsadikan, T.G. Yield and water use efficiency of furrow irrigated potato under regulated deficit irrigation, Atsibi-Wemberta, North Ethiopia. Agric. Water Manag. 2016, 170, 133–139. [Google Scholar] [CrossRef]
- Patanè, C.; Tringali, S.; Sortino, O. Effects of deficit irrigation on biomass, yield, water productivity and fruit quality of processing tomato under semi-arid Mediterranean climate conditions. Sci. Hortic. 2011, 129, 590–596. [Google Scholar] [CrossRef]
- Ledoigt, G.; Griffaut, B.; Debiton, E.; Vian, C.; Mustel, A.; Evray, G.; Maurizis, J.C.; Madelmont, J.C. Analysis of secreted protease inhibitors after water stress in potato tubers. Int. J. Biol. Macromol. 2006, 38, 268–271. [Google Scholar] [CrossRef]
- Erdem, T.; Halim, O.A.; Erdem, Y.; Okursoy, H. Crop water stress index for potato under furrow and drip irrigation systems. Potato Res. 2005, 48, 49–58. [Google Scholar] [CrossRef]
- Dalla Costa, L.; Delle Vedove, G.; Gianquinto, G.; Giovanardi, R.; Peressotti, A. Yield, water use efficiency and nitrogen uptake in potato: Influence of drought stress. Potato Res. 1997, 40, 19–34. [Google Scholar] [CrossRef]
- Martínez-Romero, A.; Domínguez, A.; Landeras, G. Regulated deficit irrigation strategies for different potato cultivars under continental Mediterranean-Atlantic conditions. Agric. Water Manag. 2019, 216, 164–176. [Google Scholar] [CrossRef]
- Bélanger, G.; Walsh, J.R.; Richards, J.E.; Milburn, P.H.; Ziadi, N. Yield response of two potato culivars to supplemental irrigation and N fertilization in New Brunswick. Am. J. Potato Res. 2000, 77, 11–21. [Google Scholar] [CrossRef]
- Zhang, L.L.; Shi, Y.; Qi, X.; Wang, Q.X.; Cui, L. Effects of drought stress on the ultrastructure and physiological indexes of leaf cells in three potato varieties. Agric. Res. Arid. Areas 2015, 33, 75–80. [Google Scholar]
- Greenwood, D.J.; Zhang, K.; Hilton, H.W.; Thompson, A.J. Opportunities for improving irrigation efficiency with quantitative models, soil water sensors and wireless technology. J. Agric. Sci. 2010, 148, 1–16. [Google Scholar] [CrossRef]
- Badr, M.A.; El-Tohamy, W.A.; Zaghloul, A.M. Yield and water use efficiency of potato grown under different irrigation and nitrogen levels in an arid region. Agric. Water Manag. 2012, 110, 9–15. [Google Scholar] [CrossRef]
- Wang, X.K.; Guo, T.; Wang, Y.; Xing, Y.Y.; Wang, Y.F.; He, X.L. Exploring the optimization of water and fertilizer management practices for potato production in the sandy loam soils of Northwest China based on PCA. Agric. Water Manag. 2020, 237, 14. [Google Scholar] [CrossRef]
- Carli, C.; Yuldashev, F.; Khalikov, D.; Condori, B.; Mares, V.; Monneveux, P. Effect of different irrigation regimes on yield, water use efficiency and quality of potato (Solanum tuberosum L.) in the lowlands of Tashkent, Uzbekistan: A field and modeling perspective. Field Crops Res. 2014, 163, 90–99. [Google Scholar] [CrossRef]
- Xue, D.X.; Zhang, H.J.; Ba, Y.C.; Zhang, M.; Wang, S.J. Effects of regulated deficit irrigation on soil environment and yield of potato under drip irrigation. Acta Agric. Boreali-Sin. 2017, 3, 229–238. [Google Scholar]
- He, M.Z.; Dijkstra, F.A. Drought effect on plant nitrogen and phosphorus: A metaanalysis. New Phytol. 2014, 204, 924–931. [Google Scholar] [CrossRef] [PubMed]
- Kumar, D.; Singh, B.P.; Kumar, P. An overview of the factors affecting sugar content of potatoes. Ann. Appl. Biol. 2004, 145, 247–256. [Google Scholar] [CrossRef]
- Wegener, C.B.; Jürgens, H.U.; Jansen, G. Drought stress affects nutritional and bioactive compounds in potatoes (Solanum tuberosum L.) relevant to human health. Funct. Foods Health Dis. 2017, 7, 17–35. [Google Scholar] [CrossRef]
- Eldredge, E.P.; Holmes, Z.A.; Mosley, A.R.; Shock, C.C.; Stieber, T.D. Effects of transitory water stress on potato tuber stem-end reducing sugar and fry color. Am. Potato J. 1996, 73, 517–530. [Google Scholar] [CrossRef]
- Andre, C.M.; Schafleitner, R.; Legay, S.; Lefevre, I.; Aliaga, C.A.A.; Nomberto, G.; Hoffmann, L.; Hausman, J.-F.; Larondelle, Y.; Evers, D. Gene expression changes related to the production of phenolic compounds in potato tubers grown under drought stress. Phytochemistry 2009, 70, 1107–1116. [Google Scholar] [CrossRef] [PubMed]
- Muttucumaru, N.; Powers, S.J.; Elmore, J.S.; Mottram, D.S.; Haford, N.G. Effects of Water Availability on Free Amino Acids, Sugars, and Acrylamide-Forming Potential in Potato. J. Agric. Food Chem. 2015, 63, 2566–2575. [Google Scholar] [CrossRef]
- Wang, H.D.; Wang, X.K.; Bi, L.F.; Wang, Y.; Fan, J.L.; Zhang, F.C.; Hou, X.H.; Cheng, M.H.; Hu, W.H.; Wu, L.F.; et al. Multi-objective optimization of water and fertilizer management for potato production in sandy areas of northern China based on TOPSIS. Field Crops Res. 2019, 240, 55–68. [Google Scholar] [CrossRef]
- Rasool, G.; Guo, X.P.; Wang, Z.C.; Ali, M.U.; Chen, S.; Zhang, S.X.; Wu, Q.J.; Ullah, M.S. Coupling fertigation and buried straw layer improves fertilizer use efficiency, fruit yield, and quality of greenhouse tomato. Agric. Water Manag. 2020, 239, 9. [Google Scholar] [CrossRef]
- Mahbod, M.; Sepaskhah, A.R.; Zand-Parsa, S. Estimation of yield and dry matter of winter wheat using logistic model under different irrigation water regimes and nitrogen application rates. Arch. Agron. Soil Sci. 2014, 60, 1661–1676. [Google Scholar] [CrossRef]
- Feng, Y.Y.; Shi, H.B.; Jia, Y.H.; Li, R.P.; Miao, Q.F.; Jia, Q. Multi-Objective Optimization Water-Nitrogen Coupling Zones of Maize under Mulched Drip Irrigation: A Case Study of West Liaohe Plain, China. Agronomy 2023, 13, 486. [Google Scholar] [CrossRef]
- Zhang, Y.; Tian, F. Potato Experiment Research Method; China Agricultural Science and Technology Press: Beijing, China, 2007. [Google Scholar]
- Wang, N.; Zhang, T.H.; Cong, A.Q.; Lian, J. Integrated application of fertilization and reduced irrigation improved maize (Zea mays L.) yield, crop water productivity and nitrogen use efficiency in a semi-arid region. Agric. Water Manag. 2023, 289, 14. [Google Scholar] [CrossRef]
- Wang, Z.Y.; Zhang, H.J.; Wang, Y.C.; Zhou, C.L. Integrated Evaluation of the Water Deficit Irrigation Scheme of Indigowoad Root under Mulched Drip Irrigation in Arid Regions of Northwest China Based on the Improved TOPSIS Method. Water 2021, 13, 1532. [Google Scholar] [CrossRef]







| Year | Treatment | Regression Equation | R2 | T1 | T2 | Tmax | ∆T | Vmax | Vmean |
|---|---|---|---|---|---|---|---|---|---|
| 2016 | S-D1 | y = 6.57/(1 + 202.270e−0.067x) | 0.997 | 59.59 | 98.90 | 79.25 | 39.31 | 0.110 | 0.047 |
| S-D2 | y = 6.72/(1 + 211.388e−0.068x) | 0.998 | 59.36 | 98.10 | 78.73 | 38.73 | 0.114 | 0.048 | |
| F-D1 | y = 5.96/(1 + 168.382e−0.066x) | 0.997 | 57.72 | 97.62 | 77.67 | 39.91 | 0.098 | 0.042 | |
| F-D2 | y = 5.77/(1 + 195.330e−0.067x) | 0.996 | 59.07 | 98.38 | 78.73 | 39.31 | 0.097 | 0.041 | |
| E-D1 | y = 5.45/(1 + 145.365e−0.071x) | 0.999 | 51.58 | 88.68 | 70.13 | 37.10 | 0.097 | 0.039 | |
| E-D2 | y = 5.01/(1 + 78.941e−0.066x) | 0.999 | 46.24 | 86.15 | 66.19 | 39.91 | 0.083 | 0.036 | |
| A-D1 | y = 6.27/(1 + 470.230e−0.081x) | 0.995 | 59.71 | 92.22 | 75.97 | 32.52 | 0.127 | 0.044 | |
| A-D2 | y = 6.33/(1 + 428.301e−0.081x) | 0.993 | 58.55 | 91.07 | 74.81 | 32.52 | 0.128 | 0.045 | |
| CK | y = 7.04/(1 + 169.513e−0.066x) | 0.999 | 57.82 | 97.73 | 77.77 | 39.91 | 0.116 | 0.050 | |
| 2018 | S-D1 | y = 7.01/(1 + 113.236e−0.070x) | 0.999 | 48.75 | 86.38 | 67.56 | 37.63 | 0.123 | 0.052 |
| S-D2 | y = 6.64/(1 + 139.822e−0.073x) | 0.999 | 49.64 | 85.72 | 67.68 | 36.08 | 0.121 | 0.049 | |
| F-D1 | y = 6.24/(1 + 62.181e−0.066x) | 0.998 | 42.62 | 82.53 | 62.58 | 39.91 | 0.103 | 0.046 | |
| F-D2 | y = 6.05/(1 + 43.133e−0.062x) | 0.999 | 39.47 | 81.96 | 60.71 | 42.48 | 0.094 | 0.044 | |
| E-D1 | y = 6.06/(1 + 63.009e−0.072x) | 0.998 | 39.25 | 75.84 | 57.55 | 36.58 | 0.109 | 0.045 | |
| E-D2 | y = 5.42/(1 + 82.067e−0.084x) | 0.997 | 36.79 | 68.15 | 52.47 | 31.36 | 0.114 | 0.040 | |
| A-D1 | y = 6.98/(1 + 88.792e−0.076x) | 0.999 | 41.70 | 76.36 | 59.03 | 34.66 | 0.133 | 0.051 | |
| A-D2 | y = 6.88/(1 + 77.639e−0.074x) | 0.999 | 41.02 | 76.61 | 58.81 | 35.59 | 0.165 | 0.051 | |
| CK | y = 7.51/(1 + 62.0229e−0.068x) | 0.999 | 41.33 | 80.07 | 60.70 | 38.73 | 0.128 | 0.055 |
| Year | Treatment | Fresh Tuber Yield (kg ha−1) | Tuber Dry Matter Content (%) | Total Dry Biomass (kg ha−1) | Harvest Index |
|---|---|---|---|---|---|
| 2016 | S-D1 | 35,271.74 ab | 21.37 b | 13,312.03 a | 0.566 b |
| S-D2 | 35,834.08 a | 21.15 b | 13,293.98 a | 0.570 b | |
| F-D1 | 34,276.71 b | 22.64 a | 12,726.34 b | 0.610 a | |
| F-D2 | 29,701.00 c | 22.15 ab | 11,357.03 c | 0.579 b | |
| E-D1 | 25,839.44 d | 20.80 b | 10,430.18 d | 0.515 c | |
| E-D2 | 20,066.11 e | 21.02 b | 8255.62 e | 0.511 c | |
| A-D1 | 28,784.62 c | 22.60 a | 11,780.24 c | 0.552 b | |
| A-D2 | 25,975.15 d | 21.47 b | 10,688.34 d | 0.522 c | |
| CK | 36,037.23 a | 21.24 b | 13,581.47 a | 0.564 b | |
| 2018 | S-D1 | 31,913.54 ab | 25.84 a | 12,257.50 b | 0.673 bc |
| S-D2 | 32,508.33 ab | 25.67 a | 12,083.72 b | 0.691 b | |
| F-D1 | 34,852.08 a | 24.66 ab | 11,841.06 b | 0.726 a | |
| F-D2 | 32,879.17 ab | 23.98 ab | 11,733.67 bc | 0.672 bc | |
| E-D1 | 29,747.92 b | 24.01 ab | 11,197.44 c | 0.638 d | |
| E-D2 | 28,633.33 b | 22.25 b | 9996.05 d | 0.637 d | |
| A-D1 | 33,619.79 a | 25.19 a | 13,145.88 a | 0.644 d | |
| A-D2 | 34,050.00 a | 24.89 ab | 12,755.40 a | 0.664 c | |
| CK | 35,317.71 a | 25.63 a | 13,171.44 a | 0.687 b |
| Treatment | 2016 | 2018 | ||||||
|---|---|---|---|---|---|---|---|---|
| D+ | D− | Ci | Ranking | D+ | D− | Ci | Ranking | |
| S-D1 | 0.021 | 0.051 | 0.711 | 4 | 0.025 | 0.020 | 0.446 | 7 |
| S-D2 | 0.019 | 0.055 | 0.749 | 3 | 0.015 | 0.027 | 0.641 | 6 |
| F-D1 | 0.007 | 0.060 | 0.897 | 1 | 0.011 | 0.031 | 0.738 | 1 |
| F-D2 | 0.014 | 0.054 | 0.794 | 2 | 0.015 | 0.029 | 0.654 | 4 |
| E-D1 | 0.037 | 0.039 | 0.514 | 8 | 0.035 | 0.008 | 0.184 | 9 |
| E-D2 | 0.048 | 0.030 | 0.382 | 9 | 0.037 | 0.010 | 0.222 | 8 |
| A-D1 | 0.025 | 0.047 | 0.654 | 6 | 0.015 | 0.034 | 0.695 | 3 |
| A-D2 | 0.032 | 0.041 | 0.564 | 7 | 0.015 | 0.027 | 0.644 | 5 |
| CK | 0.023 | 0.056 | 0.710 | 5 | 0.014 | 0.033 | 0.699 | 2 |
| Treatment | Relative Soil Water Content (% of the Field Capacity) | |||
|---|---|---|---|---|
| Seedling | Tuber Formation | Tuber Expansion | Starch Accumulation | |
| S-D1 | 55–65% | 65–75% | 65–75% | 65–75% |
| S-D2 | 45–55% | 65–75% | 65–75% | 65–75% |
| F-D1 | 65–75% | 55–65% | 65–75% | 65–75% |
| F-D2 | 65–75% | 45–55% | 65–75% | 65–75% |
| E-D1 | 65–75% | 65–75% | 55–65% | 65–75% |
| E-D2 | 65–75% | 65–75% | 45–55% | 65–75% |
| A-D1 | 65–75% | 65–75% | 65–75% | 55–65% |
| A-D2 | 65–75% | 65–75% | 65–75% | 45–55% |
| CK | 65–75% | 65–75% | 65–75% | 65–75% |
Disclaimer/Publisher’s Note: The statements, opinions and data contained in all publications are solely those of the individual author(s) and contributor(s) and not of MDPI and/or the editor(s). MDPI and/or the editor(s) disclaim responsibility for any injury to people or property resulting from any ideas, methods, instructions or products referred to in the content. |
© 2024 by the authors. Licensee MDPI, Basel, Switzerland. This article is an open access article distributed under the terms and conditions of the Creative Commons Attribution (CC BY) license (https://creativecommons.org/licenses/by/4.0/).
Share and Cite
Zhang, H.; Chen, X.; Xue, D.; Zhang, W.; Li, F.; Teng, A.; Zhang, C.; Lei, L.; Ba, Y. Dry Matter Accumulation, Water Productivity and Quality of Potato in Response to Regulated Deficit Irrigation in a Desert Oasis Region. Plants 2024, 13, 1927. https://doi.org/10.3390/plants13141927
Zhang H, Chen X, Xue D, Zhang W, Li F, Teng A, Zhang C, Lei L, Ba Y. Dry Matter Accumulation, Water Productivity and Quality of Potato in Response to Regulated Deficit Irrigation in a Desert Oasis Region. Plants. 2024; 13(14):1927. https://doi.org/10.3390/plants13141927
Chicago/Turabian StyleZhang, Hengjia, Xietian Chen, Daoxin Xue, Wanheng Zhang, Fuqiang Li, Anguo Teng, Changlong Zhang, Lian Lei, and Yuchun Ba. 2024. "Dry Matter Accumulation, Water Productivity and Quality of Potato in Response to Regulated Deficit Irrigation in a Desert Oasis Region" Plants 13, no. 14: 1927. https://doi.org/10.3390/plants13141927
APA StyleZhang, H., Chen, X., Xue, D., Zhang, W., Li, F., Teng, A., Zhang, C., Lei, L., & Ba, Y. (2024). Dry Matter Accumulation, Water Productivity and Quality of Potato in Response to Regulated Deficit Irrigation in a Desert Oasis Region. Plants, 13(14), 1927. https://doi.org/10.3390/plants13141927
