Water and Fertilizer Management Is an Important Way to Synergistically Enhance the Yield, Rice Quality and Lodging Resistance of Hybrid Rice
Abstract
1. Introduction
2. Results
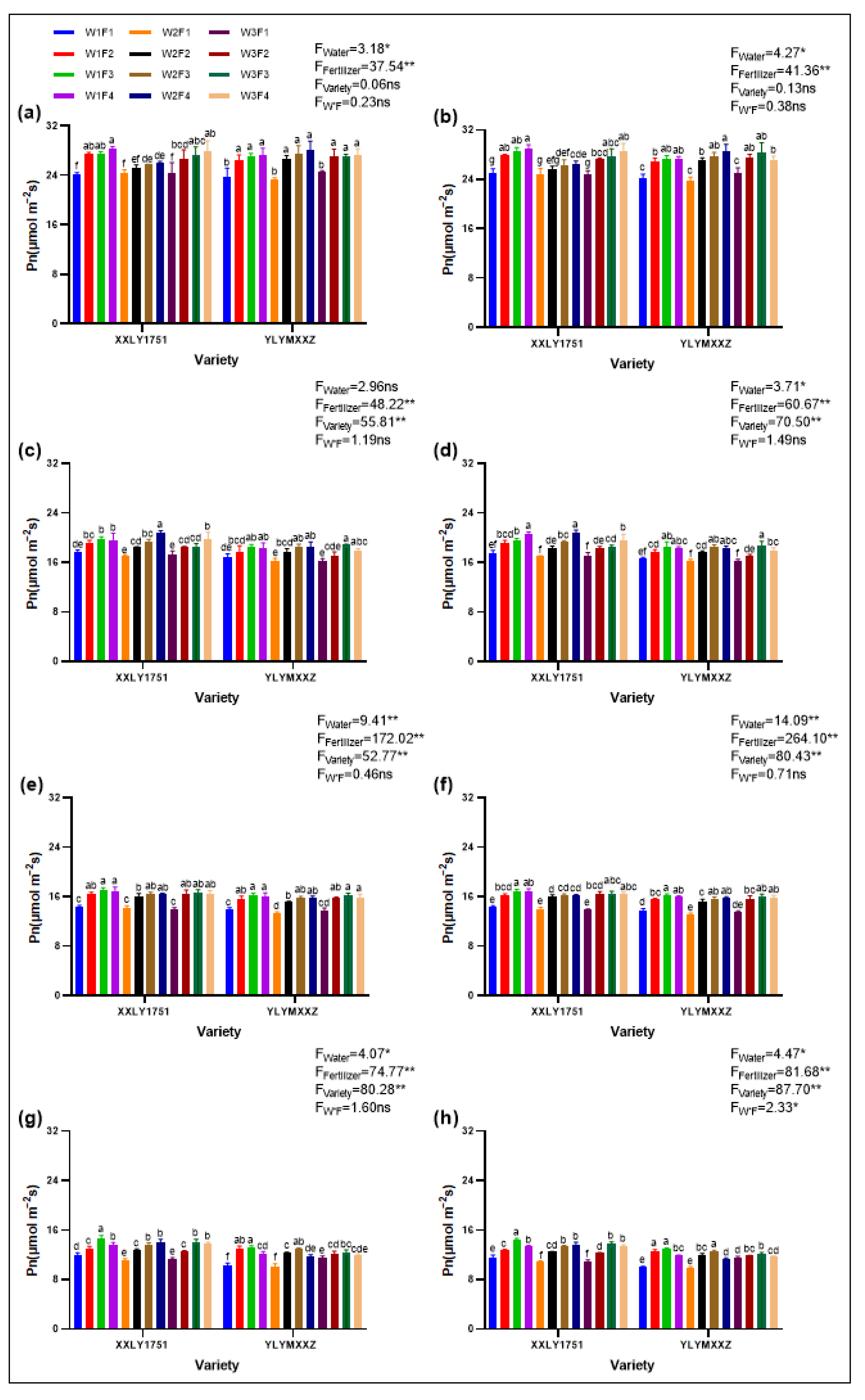
2.1. Photosynthetic Rate
2.2. Total Dry Weight (TDW)
2.3. Yield
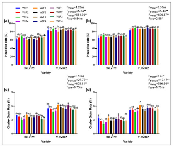
2.4. Appearance Quality
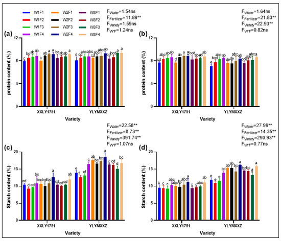
2.5. Nutritional Quality
2.6. Plant Height at Center of Gravity and Panicle Length
2.7. Lodging Index
2.8. Non-Structural Carbohydrate (NSC)
2.9. Lignin and Cellulose
2.10. Amylase Activity
2.11. Variance Analysis
3. Discussion
3.1. Effect of Water and Fertilizer on the Yield
3.2. Effect of Water and Fertilizer on Quality
3.3. Effect of Water and Fertilizer on Lodging Resistance
3.4. Synergistic Regulation of Yield, Quality, and Lodging Resistance by Water and Fertilizer Management
4. Materials and Methods
4.1. Climatic Condition
4.2. Experiment Design and Plant Materials
4.3. Sampling and Measurement
4.4. Statistical Analysis
5. Conclusions
Author Contributions
Funding
Data Availability Statement
Acknowledgments
Conflicts of Interest
References
- Zhu, H.; Zhang, T.; Zhang, C.; He, X.; Shi, A.; Tan, W.; Yi, Z.; Wang, X. Optimizing Irrigation and Nitrogen Management to Increase Yield and Nitrogen Recovery Efficiency in Double-Cropping Rice. Agronomy 2022, 12, 1190. [Google Scholar] [CrossRef]
- He, X.; Zhu, H.; Shi, A.; Wang, X. Optimizing Nitrogen Fertilizer Management Enhances Rice Yield, Dry Matter, and Nitrogen Use Efficiency. Agronomy 2024, 14, 919. [Google Scholar] [CrossRef]
- Huang, M.; Hu, L.; Cao, J.; Zhang, R.; Chen, J.; Cao, F.; Liu, L.; Fang, S.; Zhang, M. Texture and digestion properties of hybrid rice: A comparison between two cultivars released 18 years apart. Food Chem. X. 2022, 13, 100215. [Google Scholar] [CrossRef] [PubMed]
- Ma, G.; Yuan, L. Hybrid rice achievements, development and prospect in China. J. Integr. Agric. 2015, 14, 197–205. [Google Scholar] [CrossRef]
- Djaman, K.; Mel, V.C.; Diop, L.; Sow, A.; El-Namaky, R.; Manneh, B.; Saito, K.; Futakuchi, K.; Irmak, S. Effects of Alternate Wetting and Drying Irrigation Regime and Nitrogen Fertilizer on Yield and Nitrogen Use Efficiency of Irrigated Rice in the Sahel. Water 2018, 10, 711. [Google Scholar] [CrossRef]
- Pan, J.; Liu, Y.; Zhong, X.; Lampayan, R.M.; Singleton, G.R.; Huang, N.; Liang, K.; Peng, B.; Tian, K. Grain yield, water productivity and nitrogen use efficiency of rice under different water management and fertilizer-N inputs in South China. Agric. Water Manag. 2017, 184, 191–200. [Google Scholar] [CrossRef]
- Sun, Y.; Yan, F.; Sun, Y.; Xu, H.; Guo, X.; Yang, Z.; Yin, Y.; Guo, C.; Ma, J. Effects of different water regimes and nitrogen application strategies on grain filling characteristics and grain yield in hybrid rice. Arch. Agron. Soil Sci. 2018, 64, 1152–1171. [Google Scholar] [CrossRef]
- Zhang, Y.; Zhang, S.; Zhang, J.; Wei, W.; Zhu, T.; Qu, H.; Liu, Y.; Xu, G. Improving rice eating and cooking quality by enhancing endogenous expression of a nitrogen-dependent floral regulator. Plant Biotechnol. J. 2023, 21, 2654–2670. [Google Scholar] [CrossRef]
- Wang, S.; Li, S.; Liu, Q.; Wu, K.; Zhang, J.; Wang, S.; Wang, Y.; Chen, X.; Zhang, Y.; Gao, C.; et al. The OsSPL16-GW7 regulatory module determines grain shape and simultaneously improves rice yield and grain quality. Nat. Genet. 2015, 47, 949–954. [Google Scholar] [CrossRef]
- Guo, L.; Liu, M.; Tao, Y.; Zhang, Y.; Li, G.; Lin, S.; Dittert, K. Innovative water-saving ground cover rice production system increases yield with slight reduction in grain quality. Agric. Syst. 2020, 180, 102795. [Google Scholar] [CrossRef]
- Qi, D.; Yan, J.; Zhu, J. Effect of a reduced fertilizer rate on the water quality of paddy fields and rice yields under fishpond effluent irrigation. Agric. Water Manag. 2020, 231, 105999. [Google Scholar] [CrossRef]
- Liu, X.; Li, M.; Guo, P.; Zhang, Z. Optimization of water and fertilizer coupling system based on rice grain quality. Agric. Water Manag. 2019, 221, 34–46. [Google Scholar] [CrossRef]
- Sun, Y.; Wu, Y.; Sun, Y.; Luo, Y.; Guo, C.; Li, B.; Li, F.; Xing, M.; Yang, Z.; Ma, J. Effects of Water and Nitrogen on Grain Filling Characteristics, Canopy Microclimate with Chalkiness of Directly Seeded Rice. Agriculture 2022, 12, 122. [Google Scholar] [CrossRef]
- Ning, H.; Sun, J.; Liu, H.; Gao, Y.; Shen, X.; Wang, G.; Zhang, K. The effects of nitrogen application rate on the grain physicochemical properties of<i>japonica</i>rice under controlled and flooding irrigation. J. Sci. Food Agric. 2021, 101, 2428–2438. [Google Scholar]
- Huang, M.; Tao, Z.; Lei, T.; Cao, F.; Chen, J.; Yin, X.; Zou, Y.; Liang, T. Improving lodging resistance while maintaining high grain yield by promoting pre-heading growth in rice. Field Crops Res. 2021, 270, 108212. [Google Scholar] [CrossRef]
- Tao, Z.; Lei, T.; Cao, F.; Chen, J.; Yin, X.; Liang, T.; Huang, M. Contrasting Characteristics of Lodging Resistance in Two Super-Rice Hybrids Differing in Harvest Index. Phyton-Int. J. Exp. Bot. 2022, 91, 429–437. [Google Scholar] [CrossRef]
- Wu, D.-H.; Chen, C.-T.; Yang, M.-D.; Wu, Y.-C.; Lin, C.-Y.; Lai, M.-H.; Yang, C.-Y. Controlling the lodging risk of rice based on a plant height dynamic model. Bot. Stud. 2022, 63, 25. [Google Scholar] [CrossRef]
- Gao, H.; Dou, Z.; Chen, L.; Lu, Y.; Sun, D.; Xu, Q.; Sun, R.; Chen, X. Effects of semi-deep water irrigation on hybrid indica rice lodging resistance. Front. Plant Sci. 2022, 13, 1038129. [Google Scholar] [CrossRef]
- Zhang, M.; Mo, Z.; Liao, J.; Pan, S.; Chen, X.; Zheng, L.; Luo, X.; Wang, Z. Lodging Resistance Related to Root Traits for Mechanized Wet-Seeding of Two Super Rice Cultivars. Rice Sci. 2021, 28, 200–208. [Google Scholar]
- Lampayan, R.M.; Bouman, B.A.M.; de Dios, J.L.; Espiritu, A.J.; Soriano, J.B.; Lactaoen, A.T.; Faronilo, J.E.; Thant, K.M. Yield of aerobic rice in rainfed lowlands of the Philippines as affected by nitrogen management and row spacing. Field Crops Res. 2010, 116, 165–174. [Google Scholar] [CrossRef]
- Jing, Q.; Van Keulen, H.; Hengsdijk, H.; Cao, W.; Bindraban, P.S.; Dai, T.; Jiang, D. Quantifying N response and N use efficiency in rice-wheat (RW) cropping systems under different water management. J. Agr. Sci. 2009, 147, 303–312. [Google Scholar] [CrossRef][Green Version]
- Li, Y.; Shao, X.; Li, D.; Xiao, M.; Hu, X.; He, J. Effects of water and nitrogen coupling on growth, physiology and yield of rice. Int. J. Agr. Biol. Eng. 2019, 12, 60–66. [Google Scholar] [CrossRef]
- Bhuiyan, K.A.; Bhuiya, S.U.; Saleque, M.A.; Khatun, A. Grain yield, growth response, and water use efficiency of direct wet-seeded rice as affected by nitrogen rates under alternate wetting and drying irrigation system. Commun. Soil Sci. Plant Anal. 2018, 49, 2527–2545. [Google Scholar] [CrossRef]
- Li, G.; Hu, Q.; Shi, Y.; Cui, K.; Nie, L.; Huang, J.; Peng, S. Low Nitrogen Application Enhances Starch-Metabolizing Enzyme Activity and Improves Accumulation and Translocation of Non-structural Carbohydrates in Rice Stems. Front. Plant Sci. 2018, 9, 1128. [Google Scholar] [CrossRef] [PubMed]
- Xu, G.-W.; Song, K.-J.; Lu, D.-K.; Wang, H.-Z.; Chen, M.-C. Influence of Water Management and Nitrogen Application on Rice Root and Shoot Traits. Agron. J. 2019, 111, 2232–2244. [Google Scholar] [CrossRef]
- Fu, J.; Huang, Z.; Wang, Z.; Yang, J.; Zhang, J. Pre-anthesis non-structural carbohydrate reserve in the stem enhances the sink strength of inferior spikelets during grain filling of rice. Field Crops Res. 2011, 123, 170–182. [Google Scholar] [CrossRef]
- Wei, H.; Ge, J.; Zhang, X.; Zhu, W.; Deng, F.; Ren, W.; Chen, Y.; Meng, T.-; Dai, Q. Decreased panicle N application alleviates the negative effects of shading on rice grain yield and grain quality. J. Integr. Agric. 2023, 22, 2041–2053. [Google Scholar] [CrossRef]
- Gao, Y.; Liu, C.; Wang, J.; Liu, X.; Zhang, X.; Zhou, J.; Li, X.; Wang, Y.; Dong, G.; Huang, J.; et al. Modified TAL expression in rice plant regulates yield components and grain quality in a N-rate dependent manner. Field Crops Res. 2024, 306, 109219. [Google Scholar] [CrossRef]
- Zhang, Q.; Liu, X.; Yu, G.; Duan, B.; Wang, H.; Zhao, H.; Feng, D.; Gu, M.; Hu, Y.; Chen, Y.; et al. Alternate wetting and moderate soil drying could increase grain yields in both main and ratoon rice crops. Crop Sci. 2022, 62, 2413–2427. [Google Scholar] [CrossRef]
- Liu, W.; Fan, X.; Liu, Y.; Bao, S.; Lu, Y.; Gai, D.; Fu, X.; Du, J.; Guo, L.; Zhang, Q.; et al. Relationship between characteristics of basal internodes and lodging and its physiological mechanism in direct-seeded rice. J. Agron. Crop Sci. 2023, 209, 632–650. [Google Scholar] [CrossRef]
- Zhang, J.; Li, G.; Huang, Q.; Liu, Z.; Ding, C.; Tang, S.; Chen, L.; Wang, S.; Ding, Y.; Zhang, W. Effects of culm carbohydrate partitioning on basal stem strength in a high-yielding rice population. Crop J. 2017, 5, 478–487. [Google Scholar] [CrossRef]
- Zheng, Y.; Ding, Y.; Liu, Z.; Wang, S. Effects of Panicle Nitrogen Fertilization on Non-Structural Carbohydrate and Grain Filling in Indica Rice. Agric. Sci. China 2010, 9, 1630–1640. [Google Scholar] [CrossRef]
- Cao, P.; Sun, W.; Huang, Y.; Yang, J.; Yang, K.; Lv, C.; Wang, Y.; Yu, L.; Hu, Z. Effects of Elevated CO2 Concentration and Nitrogen Application Levels on the Accumulation and Translocation of Non-Structural Carbohydrates in Japonica Rice. Sustainability 2020, 12, 5386. [Google Scholar] [CrossRef]
- Li, W.; Han, M.; Pang, D.; Chen, J.; Wang, Y.; Dong, H.; Chang, Y.; Jin, M.; Luo, Y.; Li, Y.; et al. Characteristics of lodging resistance of high-yield winter wheat as affected by nitrogen rate and irrigation managements. J. Integr. Agric. 2022, 21, 1290–1309. [Google Scholar] [CrossRef]
- Liu, Q.; Ma, J.; Zhao, Q.; Zhou, X. Physical Traits Related to Rice Lodging Resistance under Different Simplified-Cultivation Methods. Agron. J. 2018, 110, 127–132. [Google Scholar] [CrossRef]
- Zhang, W.; Wu, L.; Wu, X.; Ding, Y.; Li, G.; Li, J.; Weng, F.; Liu, Z.; Tang, S.; Ding, C.; et al. Lodging Resistance of Japonica Rice (Oryza Sativa L.): Morphological and Anatomical Traits due to top-Dressing Nitrogen Application Rates. Rice 2016, 9, 31. [Google Scholar] [CrossRef]
- Hu, Y.; Lin, Y.; Xia, Y.; Xu, X.; Wang, Z.; Cui, X.; Han, L.; Li, J.; Zhang, R.; Ding, Y.; et al. Overexpression of OsSnRK1a through a green tissue-specific promoter improves rice yield by accelerating sheath-to-panicle transport of nonstructural carbohydrates and increasing leaf photosynthesis. Plant Physiol. Bioch. 2023, 203, 108048. [Google Scholar] [CrossRef]
- Dong, C.; Xu, N.; Ding, C.; Gu, H. Rapid evaluation method for rice straw feeding quality. Field Crops Res. 2018, 228, 204–209. [Google Scholar] [CrossRef]
- Dong, C.F.; Liu, X.B.; Qu, H.; Shen, Y.X. Dynamical partition of photosynthates in tillers of rice during late growth period and its correlation with feeding value of rice straw at harvest. Field Crops Res. 2011, 123, 273–280. [Google Scholar] [CrossRef]
- Ishikawa, J.; Okamura, M.; Arai-Sanoh, Y.; Baba, K.; Furuya, M.; Maeda, H.; Kondo, M. Close relationship between potassium accumulation in internodes and translocation of non-structural carbohydrate to grains in rice cultivars with different yields. Field Crops Res. 2023, 300, 109007. [Google Scholar] [CrossRef]
- Nakano, H.; Tanaka, R.; Hakata, M. Nonstructural carbohydrate content in the stubble per unit area regulates grain yield of the second crop in rice ratooning. Crop Sci. 2022, 62, 1603–1613. [Google Scholar] [CrossRef]
- Wei, H.; Meng, T.; Ge, J.; Zhang, X.; Shi, T.; Ding, E.; Lu, Y.; Li, X.; Tao, Y.; Chen, Y.; et al. Reduced nitrogen application rate with dense planting improves rice grain yield and nitrogen use efficiency: A case study in east China. Crop J. 2021, 9, 954–961. [Google Scholar] [CrossRef]
- Zhu, T.; Yin, C.; Zhu, T.; Zhou, P.; Wu, L.; Wang, G.; He, H.; You, C.; Zhang, Q.; Ke, J. Delaying panicle nitrogen application to emergence of 3rd leaf from flag leaf increases the grain-filling ability and yield of large-panicle rice by increasing stem nonstructural carbohydrates at heading. Field Crops Res. 2024, 312, 109405. [Google Scholar] [CrossRef]
- Zhu, H.; He, X.; Wang, X.; Long, P. Increasing Hybrid Rice Yield, Water Productivity, and Nitrogen Use Efficiency: Optimization Strategies for Irrigation and Fertilizer Management. Plants 2024, 13, 1717. [Google Scholar] [CrossRef] [PubMed]
- Wang, D.R.; Wolfrum, E.J.; Virk, P.; Ismail, A.; Greenberg, A.J.; McCouch, S.R. Robust phenotyping strategies for evaluation of stem non-structural carbohydrates (NSC) in rice. J. Exp. Bot. 2016, 67, 6125–6138. [Google Scholar] [CrossRef]
- Zhang, R.; Jia, Z.; Ma, X.; Ma, H.; Zhao, Y. Characterising the morphological characters and carbohydrate metabolism of oat culms and their association with lodging resistance. Plant Biol. 2020, 22, 267–276. [Google Scholar] [CrossRef]
- Du, T.; Meng, P.; Huang, J.; Peng, S.; Xiong, D. Fast photosynthesis measurements for phenotyping photosynthetic capacity of rice. Plant Methods 2020, 16, 6. [Google Scholar] [CrossRef]
- Zhu, H.; Wen, T.; Sun, M.; Ali, I.; Sheteiwy, M.S.; Wahab, A.; Tan, W.; Wen, C.; He, X.; Wang, X. Enhancing Rice Yield and Nitrogen Utilization Efficiency through Optimal Planting Density and Reduced Nitrogen Rates. Agronomy 2023, 13, 1387. [Google Scholar] [CrossRef]
- Huang, M.; Chen, J.; Cao, F.; Zou, Y. Increased hill density can compensate for yield loss from reduced nitrogen input in machine-transplanted double-cropped rice. Field Crops Res. 2018, 221, 333–338. [Google Scholar] [CrossRef]
- Ali, I.; Iqbal, A.; Ullah, S.; Muhammad, I.; Yuan, P.; Zhao, Q.; Yang, M.; Zhang, H.; Huang, M.; Liang, H.; et al. Effects of Biochar Amendment and Nitrogen Fertilizer on RVA Profile and Rice Grain Quality Attributes. Foods 2022, 11, 625. [Google Scholar] [CrossRef]
- Li, X.; Zhang, M.; Xiao, Z.; Liu, L.; Cao, F.; Chen, J.; Huang, M. Relationships between texture properties of cooked rice with grain amylose and protein content in high eating quality indica rice. Cereal Chem. 2024, 101, 577–582. [Google Scholar] [CrossRef]
- Huang, M.; Lei, T.; Cao, J.; Tao, Z.; Cao, F.; Chen, J.; Yin, X.; Zou, Y. Linking grain yield and lodging resistance with growth patterns in rice. Exp. Agric. 2022, 58, e24. [Google Scholar] [CrossRef]
- Li, X.; Zhang, R.; Chen, G.; Xie, J.; Xiao, Z.; Cao, F.; Ali, I.; Iqbal, A.; Wahab, A.; Huang, M.; et al. Increasing grain weight and yield stability by increasing pre-heading non-structural carbohydrate reserves per spikelet in short-growth duration rice. Crop J. 2023, 11, 1912–1920. [Google Scholar] [CrossRef]
- Zhang, W.; Wu, L.; Ding, Y.; Yao, X.; Wu, X.; Weng, F.; Li, G.; Liu, Z.; Tang, S.; Ding, C.; et al. Nitrogen fertilizer application affects lodging resistance by altering secondary cell wall synthesis in japonica rice (Oryza sativa). J. Plant Res. 2017, 130, 859–871. [Google Scholar] [CrossRef] [PubMed]











| Year | Variety | Irrigation | Fertilizer | M | WP | LI | |||
|---|---|---|---|---|---|---|---|---|---|
| J3 | J4 | J3 | J4 | J3 | J4 | ||||
| 2022 | V1 | W1 | F1 | 861.99 e | 833.07 g | 1159.26 bcd | 923.69 def | 0.74 de | 0.9 f |
| F2 | 955.67 c | 932.54 de | 1475.44 a | 1174.63 a | 0.65 g | 0.79 g | |||
| F3 | 1008.96 b | 1055.43 a | 1545.99 a | 1176.86 a | 0.65 g | 0.9 f | |||
| F4 | 999.54 b | 761.54 h | 1069.37 de | 1125.94 ab | 0.93 b | 0.68 h | |||
| W2 | F1 | 717.56 g | 757.67 h | 1024.27 de | 769.23 gh | 0.7 f | 0.98 e | ||
| F2 | 742.9 fg | 947.31 cd | 1218.76 bc | 915.86 def | 0.61 h | 1.03 d | |||
| F3 | 982.38 bc | 1005.86 b | 1120.87 cde | 834.78 fg | 0.88 c | 1.2 b | |||
| F4 | 1005.08 b | 983.44 bc | 1013.36 e | 699.08 h | 0.99 a | 1.41 a | |||
| W3 | F1 | 769.54 f | 880.81 f | 1064.27 de | 990.99 cd | 0.72 ef | 0.89 f | ||
| F2 | 981.74 bc | 895.71 ef | 1290.56 b | 1038.12 bc | 0.76 d | 0.86 f | |||
| F3 | 904.99 d | 884.15 f | 1222.8 bc | 932.08 de | 0.74 de | 0.95 e | |||
| F4 | 1053.27 a | 927.14 def | 1029.34 de | 852.12 efg | 1.02 a | 1.09 c | |||
| Mean | 915.30 | 905.39 | 1186.19 | 952.78 | 0.78 | 0.97 | |||
| V2 | W1 | F1 | 460.05 e | 623.43 d | 1134.24 f | 882.62 de | 0.41 d | 0.71 cd | |
| F2 | 465.03 e | 598.32 d | 1520.39 a | 1130.49 a | 0.31 g | 0.53 g | |||
| F3 | 551.55 b | 708.63 b | 1422.99 ab | 1073.58 ab | 0.39 d | 0.66 f | |||
| F4 | 599.2 a | 758.58 a | 1212.07 def | 1030.63 abc | 0.49 a | 0.74 c | |||
| W2 | F1 | 454.6 e | 627.8 d | 1008.7 g | 764.52 f | 0.45 c | 0.82 b | ||
| F2 | 460.53 e | 697.12 bc | 1373.79 bc | 1027.06 abc | 0.34 f | 0.68 ef | |||
| F3 | 463.35 e | 679.84 bc | 1249.3 de | 928.85 cd | 0.37 e | 0.73 c | |||
| F4 | 515.49 d | 745.11 a | 1168.81 ef | 820.59 ef | 0.44 c | 0.91 a | |||
| W3 | F1 | 451.34 e | 625.83 d | 1027.19 g | 784.05 ef | 0.44 c | 0.8 b | ||
| F2 | 529.81 cd | 674.48 c | 1417.64 b | 1043.46 ab | 0.37 e | 0.65 f | |||
| F3 | 541.7 bc | 749.42 a | 1280.45 cd | 1016.42 bc | 0.42 cd | 0.74 c | |||
| F4 | 558.12 b | 620.01 d | 1174.3 ef | 886.62 de | 0.48 b | 0.7 de | |||
| Mean | 504.23 | 675.71 | 1249.16 | 949.07 | 0.41 | 0.72 | |||
| 2023 | V1 | W1 | F1 | 895.28 g | 1078.83 f | 1401.65 bc | 1070.58 de | 0.64 g | 1.01 d |
| F2 | 1082.66 e | 1271.38 bc | 1577.03 a | 1206.32 b | 0.69 fg | 1.05 d | |||
| F3 | 1239.04 bcd | 1327.3 abc | 1573.71 a | 1299.14 a | 0.79 de | 1.02 d | |||
| F4 | 1317.46 ab | 1301.19 abc | 1382.95 bc | 1161.1 bc | 0.95 c | 1.12 d | |||
| W2 | F1 | 867.32 g | 1134.01 def | 1095.14 d | 867.17 g | 0.79 de | 1.31 c | ||
| F2 | 884.6 g | 1359 ab | 1302.8 c | 990.76 e | 0.68 fg | 1.37 bc | |||
| F3 | 1202.37 cd | 1415.9 a | 1267.95 c | 954.06 ef | 0.95 c | 1.48 ab | |||
| F4 | 1263.2 abc | 1223.3 cde | 1110.95 d | 895.99 f | 1.14 a | 1.37 bc | |||
| W3 | F1 | 994.43 f | 1115.41 ef | 1340.03 bc | 984.98 e | 0.74 ef | 1.13 d | ||
| F2 | 1040.69 ef | 1259.89 bcd | 1473.39 ab | 1108.15 cd | 0.71 f | 1.14 d | |||
| F3 | 1173.33 d | 1373.67 ab | 1403.52 bc | 1006.83 e | 0.84 d | 1.36 bc | |||
| F4 | 1338.62 a | 1415.28 a | 1279.68 c | 901.6 f | 1.05 b | 1.57 a | |||
| Mean | 1108.25 | 1272.93 | 1350.73 | 1037.22 | 0.83 | 1.24 | |||
| V2 | W1 | F1 | 599.5 e | 773.81 d | 1240.13 de | 822.6 g | 0.48 bc | 0.94 ab | |
| F2 | 682.76 cd | 841.56 bc | 1616.17 a | 1153.71 a | 0.42 e | 0.73 ef | |||
| F3 | 701.6 bc | 877.17 bc | 1600.53 a | 1107.21 ab | 0.44 de | 0.79 d | |||
| F4 | 757.63 a | 944.24 a | 1473.88 b | 1050.86 bcd | 0.51 b | 0.9 bc | |||
| W2 | F1 | 524.99 f | 705.23 e | 1128.8 e | 940.1 ef | 0.47 cd | 0.75 def | ||
| F2 | 640.9 de | 851.91 bc | 1380.83 bc | 1101.69 abc | 0.46 cd | 0.77 de | |||
| F3 | 663.18 cd | 992.58 a | 1319.2 cd | 1015.98 cde | 0.5 b | 0.98 a | |||
| F4 | 740.67 ab | 831 bcd | 1298.16 cd | 921.32 f | 0.57 a | 0.9 bc | |||
| W3 | F1 | 543.63 f | 699.8 e | 1298.25 cd | 1007.25 def | 0.42 e | 0.69 f | ||
| F2 | 696.26 bc | 881.03 b | 1606.12 a | 1122.51 ab | 0.43 de | 0.78 de | |||
| F3 | 732.91 ab | 1000.65 a | 1458.66 b | 1016.52 cde | 0.5 b | 0.98 a | |||
| F4 | 770.8 a | 815.84 cd | 1304.82 cd | 936.19 ef | 0.59 a | 0.87 c | |||
| Mean | 671.24 | 851.24 | 1393.80 | 1016.33 | 0.48 | 0.84 | |||
| SOV | Pn | TDW | Yield | HRY | Protein | Amylose | NSC | Cellulose | Lignin | BR |
|---|---|---|---|---|---|---|---|---|---|---|
| F | ** | ** | ** | ** | ** | ** | ** | ** | ** | ** |
| V | ** | ** | ** | ** | ** | ** | ** | ** | ** | ** |
| W | ** | ** | * | ** | ** | ** | ** | ** | ** | ** |
| Y | ** | ** | ** | * | ** | ** | ** | ** | NS | ** |
| F*W | * | ** | ** | NS | NS | ** | ** | ** | NS | * |
| F*W*V | NS | ** | NS | NS | NS | NS | NS | NS | NS | NS |
| F*W*Y | NS | NS | NS | NS | NS | ** | NS | NS | NS | NS |
| F*V*W*Y | NS | ** | NS | NS | NS | NS | NS | NS | NS | NS |
| Year | Min T | Max T | ADR |
|---|---|---|---|
| Transplanting to Panicle initiation | |||
| 2022 | 26.3 | 34.2 | 11.2 |
| 2023 | 25.9 | 32.1 | 5.1 |
| Panicle initiation to Flowering | |||
| 2022 | 28.2 | 37.7 | 0.1 |
| 2023 | 26.1 | 34.5 | 6.9 |
| Flowering to Maturity | |||
| 2022 | 22.6 | 31.6 | 0.1 |
| 2023 | 21.2 | 29.8 | 0.4 |
| Transplanting to Maturity | |||
| 2022 | 25.8 | 34.6 | 3.3 |
| 2023 | 24.4 | 32.2 | 4.2 |
| Irrigation | RS | ES | LS | JS | HS | GS | MS |
|---|---|---|---|---|---|---|---|
| W1 | 0–20–30 | 0–20–30 | SF | 0–20–30 | 0–20–30 | 0–20–30 | NF |
| W2 | 20–50–70 | 20–50–70 | SF | 20–50–70 | 20–50–70 | 20–50–70 | NF |
| W3 | 10–30–50 | 10–30–50 | SF | 10–40–60 | 10–40–60 | 10–20–40 | NF |
Disclaimer/Publisher’s Note: The statements, opinions and data contained in all publications are solely those of the individual author(s) and contributor(s) and not of MDPI and/or the editor(s). MDPI and/or the editor(s) disclaim responsibility for any injury to people or property resulting from any ideas, methods, instructions or products referred to in the content. |
© 2024 by the authors. Licensee MDPI, Basel, Switzerland. This article is an open access article distributed under the terms and conditions of the Creative Commons Attribution (CC BY) license (https://creativecommons.org/licenses/by/4.0/).
Share and Cite
Zhu, H.; Nie, L.; He, X.; Wang, X.; Long, P.; Chen, H. Water and Fertilizer Management Is an Important Way to Synergistically Enhance the Yield, Rice Quality and Lodging Resistance of Hybrid Rice. Plants 2024, 13, 2518. https://doi.org/10.3390/plants13172518
Zhu H, Nie L, He X, Wang X, Long P, Chen H. Water and Fertilizer Management Is an Important Way to Synergistically Enhance the Yield, Rice Quality and Lodging Resistance of Hybrid Rice. Plants. 2024; 13(17):2518. https://doi.org/10.3390/plants13172518
Chicago/Turabian StyleZhu, Haijun, Lingli Nie, Xiaoe He, Xuehua Wang, Pan Long, and Hongyi Chen. 2024. "Water and Fertilizer Management Is an Important Way to Synergistically Enhance the Yield, Rice Quality and Lodging Resistance of Hybrid Rice" Plants 13, no. 17: 2518. https://doi.org/10.3390/plants13172518
APA StyleZhu, H., Nie, L., He, X., Wang, X., Long, P., & Chen, H. (2024). Water and Fertilizer Management Is an Important Way to Synergistically Enhance the Yield, Rice Quality and Lodging Resistance of Hybrid Rice. Plants, 13(17), 2518. https://doi.org/10.3390/plants13172518

