An Integrated Analysis of Anatomical and Sugar Contents Identifies How Night Temperatures Regulate the Healing Process of Oriental Melon Grafted onto Pumpkin
Abstract
1. Introduction
2. Results
2.1. Anatomical Observation during Graft Union Formation
2.2. Reconnection of Vascular Bundles
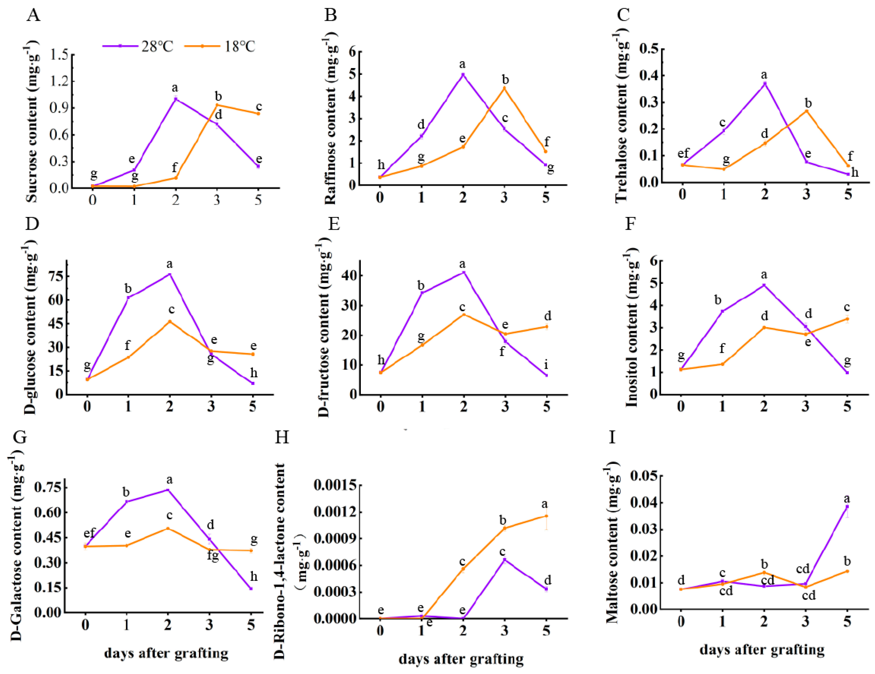
2.3. Variations of Sugars
2.4. Exogenous Sucrose, Glucose, or Fructose Treatment under 18 °C Night Temperature
3. Discussion
3.1. Elevated Temperature Improves the Process of Graft Union Formation
3.2. The Levels of Nine Sugars Affect Graft Union Formation
4. Materials and Methods
4.1. Plant Materials
4.2. Grafting and Temperature Treatment
4.3. Exogenous Glucose, Fructose, and Sucrose Treatments
4.4. Paraffin Sectioning and Microscopy
4.5. Assays of Phloem and Xylem Connectivity
4.6. Determination of Sugar Contents
4.7. Statistical Analysis
5. Conclusions
Author Contributions
Funding
Institutional Review Board Statement
Informed Consent Statement
Data Availability Statement
Conflicts of Interest
References
- Lee, J.M.; Kubota, C.; Tsao, S.J.; Bie, Z.L.; Hoyos Echevarria, P.; Morra, L.; Oda, M. Current status of vegetable grafting: Diffusion, grafting techniques, automation. Sci. Hortic. 2010, 127, 93–105. [Google Scholar] [CrossRef]
- Davis, A.R.; Perkins-Veazie, P.; Sakata, Y.; López-Galarza, S.; Maroto, J.V.; Lee, S.-G.; Huh, Y.-C.; Sun, Z.; Miguel, A.; King, S.; et al. Cucurbit Grafting. Crit. Rev. Plant Sci. 2008, 27, 50–74. [Google Scholar] [CrossRef]
- Nawaz, M.A.; Wang, L.; Jiao, Y.; Chen, C.; Zhao, L.; Mei, M.; Yu, Y.; Bie, Z.; Huang, Y. Pumpkin rootstock improves nitrogen use efficiency of watermelon scion by enhancing nutrient uptake, cytokinin content, and expression of nitrate reductase genes. Plant Growth Regul. 2017, 82, 233–246. [Google Scholar] [CrossRef]
- Yan, G.; Feng, M.; Lin, W.; Huang, Y.; Tong, R.; Cheng, Y. Review and Prospect for Vegetable Grafting Robot and Relevant Key Technologies. Agriculture 2022, 12, 1578. [Google Scholar] [CrossRef]
- Loupit, G.; Brocard, L.; Ollat, N.; Cookson, S.J. Grafting in plants: Recent discoveries and new applications. J. Exp. Bot. 2023, 74, 2433–2447. [Google Scholar] [CrossRef]
- Liu, Y.; Liu, H.; Zhang, T.; Liu, J.; Sun, X.; Sun, X.; Wang, W.; Zheng, C. Interactions between rootstock and scion during grafting and their molecular regulation mechanism. Sci. Hortic. 2023, 308, 111554. [Google Scholar] [CrossRef]
- Feng, M.; Augstein, F.; Kareem, A.; Melnyk, C.W. Plant grafting: Molecular mechanisms and applications. Mol. Plant 2024, 17, 75–91. [Google Scholar] [CrossRef]
- Avanzato, D.; Tamponi, G. The effect of heating of walnut graft unions on grafting success. Acta Hortic. 1988, 227, 79–83. [Google Scholar] [CrossRef]
- Serivichyaswat, P.T.; Bartusch, K.; Leso, M.; Musseau, C.; Iwase, A.; Chen, Y.; Sugimoto, K.; Quint, M.; Melnyk, C.W. High temperature perception in leaves promotes vascular regeneration and graft formation in distant tissues. Development 2022, 149, dev200079. [Google Scholar] [CrossRef]
- Shibuya, T.; Nakashima, H.; Shimizu-Maruo, K.; Kawara, T. Improvement of Graft Development in Tomato and Eggplant Grafted Cuttings by Supplying Warmed Water to Graft Union during Low-air-temperature Storage. J. Jpn. Soc. Hortic. Sci. 2007, 76, 217–223. [Google Scholar] [CrossRef]
- Yang, X.; Hu, X.; Zhang, M.; Xu, J.; Ren, R.; Liu, G.; Yao, X.; Chen, X. Effect of low night temperature on graft union formation in watermelon grafted onto bottle gourd rootstock. Sci. Hortic. 2016, 212, 29–34. [Google Scholar] [CrossRef]
- Devi, P.; Lukas, S.; Miles, C. Advances in Watermelon Grafting to Increase Efficiency and Automation. Horticulturae 2020, 6, 88. [Google Scholar] [CrossRef]
- Nie, W.; Wen, D. Study on the Applications and Regulatory Mechanisms of Grafting on Vegetables. Plants 2023, 12, 2822. [Google Scholar] [CrossRef]
- Miao, L.; Li, Q.; Sun, T.-S.; Chai, S.; Wang, C.; Bai, L.; Sun, M.; Li, Y.; Qin, X.; Zhang, Z.; et al. Sugars promote graft union development in the heterograft of cucumber onto pumpkin. Hortic. Res. 2021, 8, 146. [Google Scholar] [CrossRef]
- Almansa, E.M.; Chica, R.M.; Lao, M.T. Influence of the quality of artificial light on grafting tomato. Aust. J. Crop Sci. 2018, 12, 318–325. [Google Scholar] [CrossRef]
- Marsch-Martínez, N.; Franken, J.; Gonzalez-Aguilera, K.L.; Folter, S.; Angenent, G.; Alvarez-Buylla, E.R. An efficient flat-surface collar-free grafting method for Arabidopsis thaliana seedlings. Plant Methods 2013, 9, 14. [Google Scholar] [CrossRef]
- Hassell, R.; Memmott, F.; Liere, D. Grafting methods for watermelon production. HortScience 2008, 43, 1677–1679. [Google Scholar] [CrossRef]
- Johnson, S.J.; Miles, C.A. Effect of healing chamber design on the survival of grafted eggplant, tomato, and watermelon. HortTechnology 2011, 21, 752–758. [Google Scholar] [CrossRef]
- Melnyk, C.W. Plant grafting: Insights into tissue regeneration. Regeneration 2016, 4, 3–14. [Google Scholar] [CrossRef]
- Dabirian, S.; Miles, C.A. Increasing Survival of Splice-grafted Watermelon Seedlings Using a Sucrose Application. HortScience 2017, 52, 579–583. [Google Scholar] [CrossRef]
- Rasool, A.; Mansoor, S.; Bhat, K.M.; Hassan, G.I.; Baba, T.R.; Alyemeni, M.N.; Alsahli, A.A.; El-Serehy, H.A.; Paray, B.A.; Ahmad, P. Mechanisms Underlying Graft Union Formation and Rootstock Scion Interaction in Horticultural Plants. Front. Plant Sci. 2020, 11, 590847. [Google Scholar] [CrossRef]
- Fan, J.; Yang, R.; Li, X.; Zhao, W.; Zhao, F.; Wang, S. The processes of graft union formation in tomato. Hortic. Environ. Biotechnol. 2015, 56, 569–574. [Google Scholar] [CrossRef]
- Zhu, Y.; Hu, S.; Min, J.; Zhao, Y.; Yu, H.; Irfan, M.; Xu, C. Transcriptomic analysis provides aninsight into the function of CmGH9B3, a key gene of β-1,4-glucanase, during the graft union healing of oriental melon scion grafted onto squash rootstock. Biotechnol. J. 2024, 19, e2400006. [Google Scholar] [CrossRef] [PubMed]
- Martínez, M.; Alcaraz, C.; Muries, B.; Mota, C.; Carvajal, M. Physiological aspects of rootstock–scion interactions. Sci. Hortic. 2010, 127, 112–118. [Google Scholar] [CrossRef]
- Xu, C.; Zhang, Y.; Zhao, M.; Liu, Y.; Xu, X.; Li, T. Transcriptomic analysis of melon/squash graft junction reveals molecular mechanisms potentially underlying the graft union development. PeerJ. 2021, 9, e12569. [Google Scholar] [CrossRef]
- Fernandez, N. Graft Union Formation in Tomato Plants: Peroxidase and Catalase Involvement. Ann. Bot. 2004, 91, 53–60. [Google Scholar] [CrossRef]
- Carmach, C.; Castro, M.; Peñaloza, P.; Guzmán, L.; Marchant, M.J.; Valdebenito, S.; Kopaitic, I. Positive Effect of Green Photo-Selective Filter on Graft Union Formation in Tomatoes. Plants 2023, 12, 3402. [Google Scholar] [CrossRef]
- Savatin, D.V.; Gramegna, G.; Modesti, V.; Cervone, F. Wounding in the plant tissue: The defense of a dangerous passage. Front. Plant Sci. 2014, 5, 470. [Google Scholar] [CrossRef]
- Sami, F.; Yusuf, M.; Faizan, M.; Faraz, A.; Havat, S. Role of sugars under abiotic stress. Plant Physiol. Biochem. 2016, 109, 54–61. [Google Scholar] [CrossRef]
- Frey, C.; Álvarez, R.; Encina, A.; Acebes, J. Tomato graft union failure is associated with alterations in tissue development and the onset of cell wall defense responses. Agronomy 2021, 11, 1197. [Google Scholar] [CrossRef]
- Du, J.; Anderson, C.T.; Xiao, C. Dynamics of pectic homogalacturonan in cellular morphogenesis and adhesion, wall integrity sensing and plant development. Nat. Plants 2022, 8, 332–340. [Google Scholar] [CrossRef]
- Morkunas, I.; Borek, S.; Formela, M.; Ratajczak, L. Plant responses to sugar starvation. Carbohydr. Compr. Stud. Glycobiol. Glycotechnol. 2012, 19, 409–438. [Google Scholar]
- Frey, C.; Acebes, J.L.; Encina, A.; Álvarez, R. Histological changes associated with the graft union development in tomato. Plants 2020, 9, 1479. [Google Scholar] [CrossRef]
- Wang, L.; Ruan, Y.L. Regulation of cell division and expansion by sugar and auxin signaling. Front. Plant Sci. 2013, 4, 163. [Google Scholar] [CrossRef] [PubMed]
- Pu, D.; Zhang, J.; Lei, L.; Shang, Q.; Dong, C. Dynamics of Starch Metabolism in the Rootstock Cotyledon of Cucumber/Pumpkin Grafted Seedlings. Acta Bot. Boreali-Occident. Sin. 2022, 11, 1892–1901. [Google Scholar]
- Amri, R.; Forcada, C.F.I.; Gimenez, R.; Pina, A.; Moreno, M. Biochemical characterization and differential expression of pal genes associated with “translocated” peach/plum graft-incompatibility. Front. Plant Sci. 2021, 12, 622578. [Google Scholar] [CrossRef]
- Yan, S.; Liu, Q.; Li, W.; Yan, J.; Fernie, A.R. Raffinose Family Oligosaccharides: Crucial Regulators of Plant Development and Stress Responses. Crit. Rev. Plant Sci. 2022, 41, 286–303. [Google Scholar] [CrossRef]
- Hao, J.H.; Li, T.L.; Sun, L.P.; Zhao, B.; Meng, S.D. Effects of Night Low Temperature on Carbohydrate Content in Different Organs along Assimilate Transport Path of Melon. Acta Bot. Boreal. 2009, 29, 0085–0092. [Google Scholar]
- Ruan, Y.L. Signaling role of sucrose metabolism in development. Mol. Plant 2012, 5, 763–765. [Google Scholar] [CrossRef]
- Ribeiro, L.M.; Nery, L.A.; Vieira, L.M.; Mercadante-Simões, M.O. Histological study of micrografting in passionfruit. Plant Cell Tissue Organ Cult. (PCTOC) 2015, 123, 173–181. [Google Scholar] [CrossRef]
- Xu, J.N.; Wei, X.Y.; Xiong, M.; Zhang, T.; Liu, C.J.; Bie, Z.L.; Huang, Y. A method for simultaneously monitoring phloem and xylem reconnections in grafted watermelon seedlings. Sci. Hortic. 2022, 299, 111058. [Google Scholar] [CrossRef]
- Yuan, H.; Zeng, X.; Yang, Q.; Xu, Q.; Wang, Y.; Jabu, D.; Sang, Z.; Tashi, N. Gene coexpression network analysis combined with metabonomics reveals the resistance responses to powdery mildew in Tibetan hulless barley. Sci. Rep. 2018, 8, 14928. [Google Scholar] [CrossRef] [PubMed]




Disclaimer/Publisher’s Note: The statements, opinions and data contained in all publications are solely those of the individual author(s) and contributor(s) and not of MDPI and/or the editor(s). MDPI and/or the editor(s) disclaim responsibility for any injury to people or property resulting from any ideas, methods, instructions or products referred to in the content. |
© 2024 by the authors. Licensee MDPI, Basel, Switzerland. This article is an open access article distributed under the terms and conditions of the Creative Commons Attribution (CC BY) license (https://creativecommons.org/licenses/by/4.0/).
Share and Cite
Liang, H.; Liu, J.; Shi, X.; Ge, M.; Zhu, J.; Wang, D.; Zhou, M. An Integrated Analysis of Anatomical and Sugar Contents Identifies How Night Temperatures Regulate the Healing Process of Oriental Melon Grafted onto Pumpkin. Plants 2024, 13, 1506. https://doi.org/10.3390/plants13111506
Liang H, Liu J, Shi X, Ge M, Zhu J, Wang D, Zhou M. An Integrated Analysis of Anatomical and Sugar Contents Identifies How Night Temperatures Regulate the Healing Process of Oriental Melon Grafted onto Pumpkin. Plants. 2024; 13(11):1506. https://doi.org/10.3390/plants13111506
Chicago/Turabian StyleLiang, Huan, Jiangfeng Liu, Xianfeng Shi, Mihong Ge, Juhong Zhu, Dehuan Wang, and Mobing Zhou. 2024. "An Integrated Analysis of Anatomical and Sugar Contents Identifies How Night Temperatures Regulate the Healing Process of Oriental Melon Grafted onto Pumpkin" Plants 13, no. 11: 1506. https://doi.org/10.3390/plants13111506
APA StyleLiang, H., Liu, J., Shi, X., Ge, M., Zhu, J., Wang, D., & Zhou, M. (2024). An Integrated Analysis of Anatomical and Sugar Contents Identifies How Night Temperatures Regulate the Healing Process of Oriental Melon Grafted onto Pumpkin. Plants, 13(11), 1506. https://doi.org/10.3390/plants13111506

