Effect of Growth Stages on Anthocyanins and Polyphenols in the Root System of Sweet Potato
Abstract
1. Introduction
2. Results
2.1. Histological Observation of Root System
2.2. Change in Anthocyanin Content and Composition
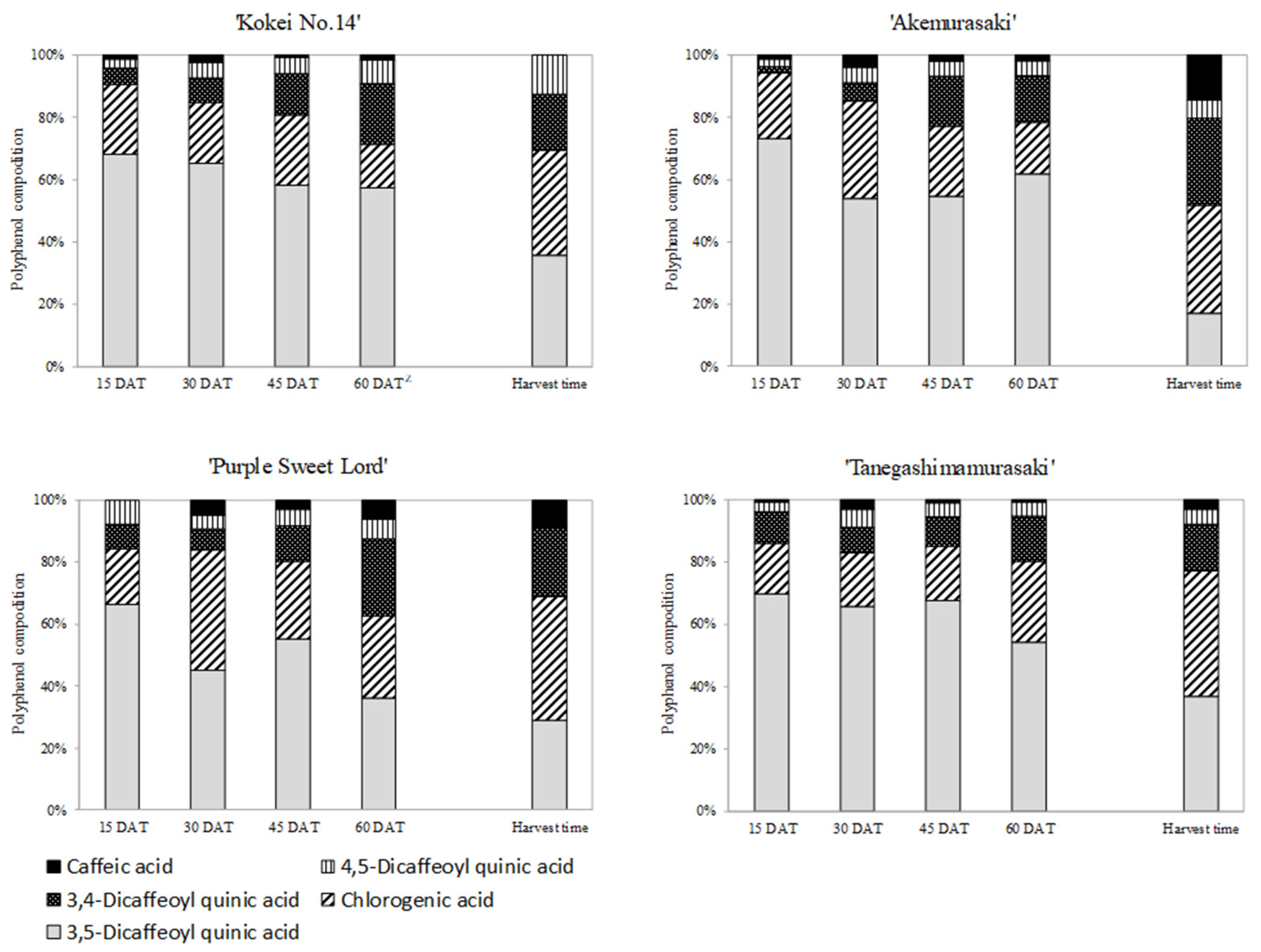
2.3. Changes in Polyphenol Content and Composition
3. Discussion
4. Materials and Methods
4.1. Plant Materials
4.2. Histological Observation of Root System
4.3. Determination of Anthocyanin Content and Composition
4.4. Determination of Polyphenol Content and Composition
4.5. Statistical Analysis
5. Conclusions
Author Contributions
Funding
Institutional Review Board Statement
Informed Consent Statement
Data Availability Statement
Acknowledgments
Conflicts of Interest
References
- Musa, A.; Tanimum, U.; Muhammad, A.; Muhammad, A.S.; Umar, I.M. Screening of sweet potato feathery mottle virus resistant sweet potato (Ipomoea batatas L., Lam.) cultivars in Kebbi State, Arch. Agric. Environ. Sci. 2022, 7, 26–30. [Google Scholar] [CrossRef]
- Cartabiano-Leite, C.E.; Porcu, O.M.; de Casas, A.F. Sweet potato (Ipomoea batatas L. Lam) nutritional potential and social relevance: A review. Int. J. Eng. Res. Appl. 2020, 11, 23–40. [Google Scholar]
- Manach, C.; Scalbert, A.; Morand, C.; Rémésy, C.; Jiménez, L. Polyphenols: Food sources and bioavailability. Am. J. Clin. Nutr. 2004, 79, 727–747. [Google Scholar] [CrossRef] [PubMed]
- Pinto, G.; Illiano, A.; Carpentieri, A.; Spinelli, M.; Melchiorre, C.; Fontanarosa, C.; Serio, M.; Amoresano, A. Quantification of polyphenols and metals in Chinese tea infusions by mass spectrometry. Foods 2020, 9, 835. [Google Scholar] [CrossRef] [PubMed]
- Ishiguro, K.; Yahara, S.; Yoshimoto, M. Changes in polyphenolic content and radical-scavenging activity of sweetpotato (Ipomoea batatas L.) during storage at optimal and low temperatures. J. Agric. Food Chem. 2007, 55, 10773–10778. [Google Scholar] [CrossRef] [PubMed]
- Monteros-Altamirano, A.A.; Paredes, D.; Buitrón-Bustamante, B.J.; Tapia, C.; Peña, G. Genetic diversity of sweet potatoes [Ipomoea batatas (L) Lam.] in Ecuador. Genet. Resour. Crop Evol. 2021, 68, 307–320. [Google Scholar] [CrossRef]
- Terahara, N.; Shimizu, T.; Kato, Y.; Nakamura, M.; Maitani, T.; Yamaguchi, M.A.; Goda, Y. Six diacylated anthocyanins from the storage roots of purple sweet potato, Ipomoea batatas. Biosci. Biotechnol. Biochem. 1999, 63, 1420–1424. [Google Scholar] [CrossRef]
- Takahata, Y.; Kai, Y.; Tanaka, M.; Nakayama, H.; Yoshinaga, M. Enlargement of the variances in amount and composition of anthocyanin pigments in sweetpotato storage roots and their effect on the differences in DPPH radical-scavenging activity. Sci. Hortic. 2011, 127, 469–474. [Google Scholar] [CrossRef]
- Nakagawa, S.; Setoguchi, Y.; Ohmura, R.; Toshima, S.; Park, H.; Narasako, Y.; Hirano, T.; Otani, M.; Kunitake, H. Effects of cross combination on the total content and its composition of anthocyanins in sweetpotato (Ipomoea batatas L.). Sci. Hortic. 2022, 299, 110999. [Google Scholar] [CrossRef]
- Yoshinaga, M.; Tanaka, M.; Nakatani, M. Changes in anthocyanin content and composition of developing storage root of purple-fleshed sweet potato (Ipomoea batatas (L.) Lam). Breed. Sci. 2000, 50, 59–64. [Google Scholar] [CrossRef]
- Padda, M.; Picha, D. Antioxidant activity and phenolic composition in ‘Beauregard’ sweetpotato are affected by root size and leaf age. J. Amer. Soc. Hort. Sci. 2007, 132, 447–451. [Google Scholar] [CrossRef]
- Nakagawa, S.; Ohmura, R.; Toshima, S.; Park, H.; Narasako, Y.; Hirano, T.; Otani, M.; Kunitake, H. Changes in polyphenols, anthocyanins, and DPPH radical-scavenging activities in sweetpotato (Ipomoea batatas L.) during tuber growth. Sci. Hortic. 2021, 284, 110100. [Google Scholar] [CrossRef]
- Mohanraj, R.; Sivasankar, S. Sweet Potato (Ipomoea batatas [L.] Lam)-A valuable medicinal food: A review. J. Med. Food. 2014, 17, 733–741. [Google Scholar] [CrossRef]
- Liao, Y.; Zeng, L.; Rao, S.; Gu, D.; Liu, X.; Wang, Y.; Zhu, H.; Hou, X.; Yang, Z. Induced biosynthesis of chlorogenic acid in sweetpotato leaves confers the resistance against sweetpotato weevil attack. J. Adv. Res. 2020, 24, 513–522. [Google Scholar] [CrossRef] [PubMed]
- Jan, R.; Asaf, S.; Numan, M.; Kim, K.M. Plant secondary metabolite biosynthesis and transcriptional regulation in response to biotic and abiotic stress conditions. Agronomy 2021, 11, 968. [Google Scholar] [CrossRef]
- Naing, A.H.; Kim, C.K. Abiotic stress-induced anthocyanins in plants: Their role in tolerance to abiotic stresses. Physiol. Plant 2021, 172, 1711–1723. [Google Scholar] [CrossRef]
- Ning, Z.; Hu, K.; Zhou, Z.; Zhao, D.; Tang, J.; Wang, H.; Li, L.; Ding, C.; Chen, X.; Yao, G.; et al. IbERF71, with IbMYB340 and IbbHLH2, coregulates anthocyanin accumulation by binding to the IbANS1 promoter in purple-fleshed sweet potato (Ipomoea batatas L.). Plant Cell Rep. 2021, 40, 157–169. [Google Scholar] [CrossRef]
- Oki, T.; Masuda, M.; Furuta, S.; Nishiba, Y.; Terahara, N.; Suda, I. Involvement of anthocyanins and other phenolic compounds in radical-scavenging activity of purple-fleshed sweet potato cultivars. J. Food Sci. 2002, 67, 1752–1756. [Google Scholar] [CrossRef]
- Zhao, C.L.; Yu, Y.Q.; Chen, Z.J.; Wen, G.S.; Wei, F.G.; Zheng, Q.; Wang, C.D.; Xiao, X.L. Stability-increasing effects of anthocyanin glycosyl acylation. Food Chem. 2017, 214, 119–128. [Google Scholar] [CrossRef]
- Noh, S.A.; Lee, H.S.; Huh, E.J.; Huh, G.H.; Paek, K.H.; Shin, J.S.; Bae, J.M. SRD1 is involved in the auxin-mediated initial thickening growth of storage root by enhancing proliferation of metaxylem and cambium cells in sweetpotato (Ipomoea batatas). J. Exp. Bot. 2010, 61, 1337–1349. [Google Scholar] [CrossRef]
- He, S.; Wang, H.; Hao, X.; Wu, Y.; Bian, X.; Yin, M.; Zhang, Y.; Fun, W.; Dai, H.; Yuan, L.; et al. Dynamic network biomarker analysis discovers IbNAC083 in the initiation and regulation of sweet potato root tuberization. Plant J. 2021, 108, 793–813. [Google Scholar] [CrossRef] [PubMed]
- Meng, Y.Y.; Wang, N.; Si, C.C. The Application of Nitrogen Source in Regulating Lignin Biosynthesis, Storage Root Development and Yield of Sweet Potato. Agronomy 2022, 12, 2317. [Google Scholar] [CrossRef]
- Kim, Y.H.; Park, S.C.; Ji, C.Y.; Lee, J.J.; Jeong, J.C.; Lee, H.S.; Kwak, S.S. Diverse antioxidant enzyme levels in different sweetpotato root types during storage root formation. Plant Growth Regul. 2015, 75, 155–164. [Google Scholar] [CrossRef]
- Apel, K.; Hirt, H. Reactive oxygen species: Metabolism, oxidative stress, and signaling transduction. Annu. Rev. Plant Biol. 2004, 55, 373–399. [Google Scholar] [CrossRef] [PubMed]
- Laloi, C.; Apel, K.; Danon, A. Reactive oxygen signalling: The latest news. Curr. Opin. Plant Biol. 2004, 7, 323–328. [Google Scholar] [CrossRef]
- Marone, D.; Mastrangelo, A.M.; Borrelli, G.M.; Mores, A.; Laidò, G.; Russo, M.A.; Ficco, D.B.M. Specialized metabolites: Physiological and biochemical role in stress resistance, strategies to improve their accumulation, and new applications in crop breeding and management. Plant Physiol. Biochem. 2022, 172, 48–55. [Google Scholar] [CrossRef]
- Bauduin, S.; Latini, M.; Belleggia, I.; Migliore, M.; Biancucci, M.; Mattioli, R.; Francioso, A.; Mosca, L.; Funck, D.; Trovato, M. Interplay between proline metabolism and ROS in the fine tuning of root-meristem size in arabidopsis. Plants 2022, 11, 1512. [Google Scholar] [CrossRef]
- Oki, T.; Sato-Furukawa, F.M.; Terahara, N. A modified method for the determination of acylated anthocyanins in purplefleshed sweet potato (Ipomoea batatas (L).) tubers by high-performance liquid chromatography with visible absorption. Food Sci. Technol. Res. 2017, 23, 855–862. [Google Scholar] [CrossRef]
- Gong, Y.; Liu, J.Q.; Xu, M.J.; Zhang, C.M.; Gao, J.; Li, C.G.; Xing, K.; Qin, S. Antifungal volatile organic compounds from Streptomyces setonii WY228 control black spot disease of sweet potato. Appl. Environ. Microbiol. 2022, 88, e02317-21. [Google Scholar] [CrossRef]





| DAT y | 15 | 30 | 45 | 60 | Harvest Time |
|---|---|---|---|---|---|
![]() | ![]() | ![]() | ![]() | ![]() | |
| Anthocyanin content (mg·100 g−1 FW) | |||||
| Cya 3-sop-5-glu | 0.0 ± 0.0 NS x | 0.0 ± 0.0 | 0.0 ± 0.0 | 0.0 ± 0.0 | 0.0 ± 0.0 |
| Peo 3-sop-5-glu | 0.1 ± 0.1 b z | 0.1 ± 0.0 b | 0.3 ± 0.1 a | 0.1 ± 0.0 b | 0.2 ± 0.1 ab |
| Cya 3-p-hydroxybenzoyl sop-5-glu | 0.0 ± 0.0 NS | 0.0 ± 0.0 | 0.0 ± 0.0 | 0.0 ± 0.0 | 0.0 ± 0.0 |
| Unknown | 0.0 ± 0.0 NS | 0.0 ± 0.0 | 0.0 ± 0.0 | 0.0 ± 0.0 | 0.0 ± 0.0 |
| Peo 3-p-hydroxybenzoyl sop-5-glu | 0.0 ± 0.0 b | 0.0 ± 0.0 b | 0.1 ± 0.0 b | 0.1 ± 0.0 b | 1.3 ± 0.2 a |
| Unknown | 0.0 ± 0.0 NS | 0.0 ± 0.0 | 0.0 ± 0.0 | 0.0 ± 0.0 | 0.0 ± 0.0 |
| Cya 3-feruloyl-sop-5-glu | 0.0 ± 0.0 NS | 0.0 ± 0.0 | 0.0 ± 0.0 | 0.0 ± 0.0 | 0.0 ± 0.0 |
| Peo 3-feruloyl-sop-5-glu | 0.0 ± 0.0 c | 0.0 ± 0.0 c | 0.3 ± 0.0 a | 0.1 ± 0.0 b | 0.0 ± 0.0 c |
| YGM-2 | 0.1 ± 0.1 b | 0.0 ± 0.0 b | 0.3 ± 0.0 a | 0.0 ± 0.0 b | 0.0 ± 0.0 b |
| YGM-1b | 0.0 ± 0.0 NS | 0.0 ± 0.0 | 0.0 ± 0.0 | 0.0 ± 0.0 | 0.0 ± 0.0 |
| YGM-1a | 0.0 ± 0.0 NS | 0.0 ± 0.0 | 0.0 ± 0.0 | 0.0 ± 0.0 | 0.0 ± 0.0 |
| YGM-5b | 0.6 ± 0.2 ab | 0.6 ± 0.0 ab | 1.7 ± 0.1 a | 0.5 ± 0.1 ab | 0.0 ± 0.0 b |
| YGM-3 | 0.1 ± 0.1 b | 0.1 ± 0.0 b | 0.3 ± 0.0 a | 0.1 ± 0.0 b | 0.0 ± 0.0 c |
| YGM-4b | 0.1 ± 0.0 bc | 0.1 ± 0.0 cd | 0.2 ± 0.0 a | 0.1 ± 0.0 b | 0.0 ± 0.0 d |
| YGM-5a | 0.6 ± 0.1 cd | 0.7 ± 0.0 bc | 1.3 ± 0.1 a | 1.0 ± 0.1 b | 0.4 ± 0.1 d |
| YGM-6 | 0.7 ± 0.1 bc | 0.5 ± 0.0 c | 1.7 ± 0.2 a | 0.9 ± 0.1 b | 0.9 ± 0.1 d |
| Total anthocyanin | 2.3 ± 0.7 b | 2.1 ± 0.1 b | 6.2 ± 0.7 a | 3.0 ± 0.3 b | 1.9 ± 0.4 b |
| DAT y | 15 | 30 | 45 | 60 | Harvest Time |
|---|---|---|---|---|---|
![]() | ![]() | ![]() | ![]() | ![]() | |
| Anthocyanin content (mg·100 g−1 FW) | |||||
| Cya 3-sop-5-glu | 0.1 ± 0.0 c z | 0.0 ± 0.0 c | 6.7 ± 0.3 b | 1.1 ± 0.1 c | 29.5 ± 2.3 a |
| Peo 3-sop-5-glu | 0.0 ± 0.0 c | 0.2 ± 0.0 c | 5.2 ± 0.2 b | 1.1 ± 0.1 c | 50.2 ± 2.3 a |
| Cya 3-p-hydroxybenzoyl sop-5-glu | 0.1 ± 0.1 d | 0.2 ± 0.0 d | 11.3 ± 0.3 b | 2.0 ± 0.2 c | 11.9 ± 0.2 a |
| Unknown | 0.1 ± 0.1 c | 0.0 ± 0.0 c | 0.6 ± 0.0 b | 0.0 ± 0.0 c | 2.2 ± 0.1 a |
| Peo 3-p-hydroxybenzoyl sop-5-glu | 0.0 ± 0.0 d | 0.3 ± 0.0 d | 11.4 ± 0.2 b | 2.5 ± 0.2 c | 21.1 ± 0.6 a |
| Unknown | 0.0 ± 0.1 bc | 0.0 ± 0.0 c | 0.2 ± 0.0 b | 0.0 ± 0.0 c | 3.1 ± 0.1 a |
| Cya 3-feruloyl-sop-5-glu | 0.0 ± 0.0 c | 0.0 ± 0.0 c | 2.3 ± 0.1 b | 0.4 ± 0.0 c | 5.8 ± 0.3 a |
| Peo 3-feruloyl-sop-5-glu | 0.0 ± 0.0 c | 0.0 ± 0.0 c | 1.2 ± 0.1 b | 0.2 ± 0.0 c | 6.4 ± 0.2 a |
| YGM-2 | 1.0 ± 0.1 c | 0.7 ± 0.0 c | 20.3 ± 3.7 b | 3.7 ± 03 c | 71.7 ± 3.9 a |
| YGM-1b | 0.2 ± 0.0 c | 0.2 ± 0.0 c | 3.9 ± 0.2 b | 0.6 ± 0.1 c | 7.4 ± 0.4 a |
| YGM-1a | 2.1 ± 0.2 d | 3.3 ± 0.1 d | 46.5 ± 1.4 a | 8.1 ± 0.7 c | 30.8 ± 1.3 b |
| YGM-5b | 0.5 ± 0.0 c | 0.4 ± 0.0 c | 12.0 ± 0.6 b | 2.5 ± 0.2 c | 110.1 ± 5.9 a |
| YGM-3 | 0.9 ± 0.1 c | 0.7 ± 0.0 c | 11.5 ± 0.2 b | 1.8 ± 0.1 c | 28.3 ± 1.6 a |
| YGM-4b | 0.1 ± 0.0 c | 0.1 ± 0.0 c | 4.1 ± 0.1 b | 0.8 ± 0.1 c | 14.9 ± 1.0 a |
| YGM-5a | 1.8 ± 0.1 d | 3.9 ± 0.1 d | 54.1 ± 0.8 b | 10.8 ± 0.9 c | 73.2 ± 3.6 a |
| YGM-6 | 0.6 ± 0.1 c | 0.5 ± 0.0 c | 9.3 ± 0.2 b | 1.5 ± 0.1 c | 34.6 ± 1.8 a |
| Total anthocyanin | 7.6 ± 0.8 c | 10.6 ± 0.5 c | 200.7 ± 5.4 b | 37.0 ± 3.2 c | 501.2 ± 23.8 a |
| DAT y | 15 | 30 | 45 | 60 | Harvest Time |
|---|---|---|---|---|---|
![]() | ![]() | ![]() | ![]() | ![]() | |
| Anthocyanin content (mg·100 g−1 FW) | |||||
| Cya 3-sop-5-glu | 0.0 ± 0.0 c z | 0.3 ± 0.0 c | 2.2 ± 0.1 b | 3.0 ± 0.5 a | 0.3 ± 0.1 c |
| Peo 3-sop-5-glu | 0.0 ± 0.0 d | 0.8 ± 0.0 cd | 1.7 ± 0.1 c | 5.3 ± 0.7 a | 3.5 ± 0.3 b |
| Cya 3-p-hydroxybenzoyl sop-5-glu | 0.0 ± 0.0 d | 0.4 ± 0.0 cd | 2.8 ± 0.1 b | 3.6 ± 0.4 a | 0.6 ± 0.0 c |
| Unknown | 0.0 ± 0.0 c | 0.0 ± 0.0 c | 0.4 ± 0.0 b | 0.7 ± 0.1 a | 0.0 ± 0.0 c |
| Peo 3-p-hydroxybenzoyl sop-5-glu | 0.0 ± 0.0 e | 1.3 ± 0.0 d | 2.8 ± 0.2 c | 5.4 ± 0.5 a | 4.1 ± 0.1 b |
| Unknown | 0.0 ± 0.0 c | 0.0 ± 0.0 c | 0.3 ± 0.0 bc | 1.6 ± 0.2 a | 0.3 ± 0.1 b |
| Cya 3-feruloyl-sop-5-glu | 0.0 ± 0.0 d | 0.1 ± 0.0 d | 1.0 ± 0.0 b | 2.2 ± 0.3 a | 0.4 ± 0.1 b |
| Peo 3-feruloyl-sop-5-glu | 0.0 ± 0.0 c | 0.1 ± 0.0 c | 0.5 ± 0.1 c | 3.0 ± 0.4 a | 1.6 ± 0.1 b |
| YGM-2 | 0.0 ± 0.0 d | 2.4 ± 0.2 c | 3.6 ± 0.2 b | 6.3 ± 0.8 a | 2.0 ± 0.3 c |
| YGM-1b | 0.0 ± 0.0 c | 0.8 ± 0.1 b | 0.7 ± 0.1 b | 1.7 ± 0.2 a | 0.1 ± 0.1 c |
| YGM-1a | 0.0 ± 0.0 e | 2.6 ± 0.2 c | 5.7 ± 0.3 a | 4.8 ± 0.6 b | 1.2 ± 0.2 d |
| YGM-5b | 0.0 ± 0.0 c | 3.2 ± 0.2 b | 3.1 ± 0.2 b | 12.4 ± 1.4 a | 10.5 ± 1.3 a |
| YGM-3 | 0.0 ± 0.0 d | 1.7 ± 0.1 c | 1.8 ± 0.1 c | 5.6 ± 0.5 a | 2.6 ± 0.4 b |
| YGM-4b | 0.1 ± 0.1 d | 2.0 ± 0.1 c | 1.1 ± 0.1 c | 5.9 ± 0.7 a | 3.2 ± 0.5 b |
| YGM-5a | 0.0 ± 0.0 d | 5.2 ± 0.3 bc | 6.8 ± 0.4 b | 10.7 ± 1.2 a | 5.0 ± 0.5 c |
| YGM-6 | 0.0 ± 0.0 d | 2.8 ± 0.1 c | 1.7 ± 0.1 cd | 12.1 ± 1.1 a | 9.6 ± 0.9 b |
| Total anthocyanin | 0.1 ± 0.1 d | 23.8 ± 1.4 c | 36.0 ± 2.2 bc | 84.4 ± 9.2 a | 45.1 ± 4.8 b |
| DAT y | 15 | 30 | 45 | 60 | Harvest Time |
|---|---|---|---|---|---|
![]() | ![]() | ![]() | ![]() | ![]() | |
| Anthocyanin content (mg 100 g−1 FW) | |||||
| Cya 3-sop-5-glu | 0.0 ± 0.0 b z | 0.0 ± 0.0 b | 0.0 ± 0.0 b | 0.0 ± 0.0 b | 0.6 ± 0.0 a |
| Peo 3-sop-5-glu | 0.0 ± 0.0 NS x | 0.0 ± 0.0 | 0.0 ± 0.0 | 0.0 ± 0.0 | 0.0 ± 0.0 |
| Cya 3-p-hydroxybenzoyl sop-5-glu | 0.0 ± 0.0 NS | 0.0 ± 0.0 | 0.0 ± 0.0 | 0.0 ± 0.0 | 0.0 ± 0.0 |
| Unknown | 0.0 ± 0.0 NS | 0.0 ± 0.0 | 0.0 ± 0.0 | 0.0 ± 0.0 | 0.0 ± 0.0 |
| Peo 3-p-hydroxybenzoyl sop-5-glu | 0.0 ± 0.0 NS | 0.0 ± 0.0 | 0.0 ± 0.0 | 0.0 ± 0.0 | 0.0 ± 0.0 |
| Unknown | 0.0 ± 0.0 NS | 0.0 ± 0.0 | 0.0 ± 0.0 | 0.0 ± 0.0 | 0.0 ± 0.0 |
| Cya 3-feruloyl-sop-5-glu | 0.0 ± 0.0 b | 0.0 ± 0.0 b | 0.0 ± 0.0 b | 0.0 ± 0.0 b | 0.9 ± 0.1 a |
| Peo 3-feruloyl-sop-5-glu | 0.0 ± 0.0 NS | 0.0 ± 0.0 | 0.0 ± 0.0 | 0.0 ± 0.0 | 0.0 ± 0.0 |
| YGM-2 | 0.1 ± 0.1 b | 0.0 ± 0.0 b | 0.1 ± 0.0 b | 0.2 ± 0.0 b | 8.7 ± 0.4 a |
| YGM-1b | 0.0 ± 0.0 b | 0.0 ± 0.0 b | 0.0 ± 0.0 b | 0.0 ± 0.0 b | 2.6 ± 0.1 a |
| YGM-1a | 0.0 ± 0.0 b | 0.0 ± 0.0 b | 0.0 ± 0.0 b | 0.0 ± 0.0 b | 1.0 ± 0.0 a |
| YGM-5b | 0.0 ± 0.0 b | 0.0 ± 0.0 b | 0.0 ± 0.0 b | 0.0 ± 0.0 b | 0.3 ± 0.1 a |
| YGM-3 | 0.0 ± 0.0 b | 0.0 ± 0.0 b | 0.0 ± 0.0 b | 0.0 ± 0.0 b | 8.6 ± 0.4 a |
| YGM-4b | 0.0 ± 0.0 NS | 0.0 ± 0.0 | 0.0 ± 0.0 | 0.0 ± 0.0 | 0.0 ± 0.0 |
| YGM-5a | 0.0 ± 0.0 NS | 0.0 ± 0.0 | 0.0 ± 0.0 | 0.0 ± 0.0 | 0.0 ± 0.0 |
| YGM-6 | 0.0 ± 0.0 b | 0.0 ± 0.0 b | 0.0 ± 0.0 b | 0.0 ± 0.0 b | 0.7 ± 0.0 a |
| Total anthocyanin | 0.1 ± 0.1 b | 0.0 ± 0.0 b | 0.1 ± 0.0 b | 0.3 ± 0.0 b | 23.3 ± 1.1 a |
Disclaimer/Publisher’s Note: The statements, opinions and data contained in all publications are solely those of the individual author(s) and contributor(s) and not of MDPI and/or the editor(s). MDPI and/or the editor(s) disclaim responsibility for any injury to people or property resulting from any ideas, methods, instructions or products referred to in the content. |
© 2023 by the authors. Licensee MDPI, Basel, Switzerland. This article is an open access article distributed under the terms and conditions of the Creative Commons Attribution (CC BY) license (https://creativecommons.org/licenses/by/4.0/).
Share and Cite
Setoguchi, Y.; Nakagawa, S.; Ohmura, R.; Toshima, S.; Park, H.; Narasako, Y.; Hirano, T.; Otani, M.; Kunitake, H. Effect of Growth Stages on Anthocyanins and Polyphenols in the Root System of Sweet Potato. Plants 2023, 12, 1907. https://doi.org/10.3390/plants12091907
Setoguchi Y, Nakagawa S, Ohmura R, Toshima S, Park H, Narasako Y, Hirano T, Otani M, Kunitake H. Effect of Growth Stages on Anthocyanins and Polyphenols in the Root System of Sweet Potato. Plants. 2023; 12(9):1907. https://doi.org/10.3390/plants12091907
Chicago/Turabian StyleSetoguchi, Yuno, Soya Nakagawa, Ryo Ohmura, Saki Toshima, Hyungjun Park, Yosuke Narasako, Tomonari Hirano, Motoyasu Otani, and Hisato Kunitake. 2023. "Effect of Growth Stages on Anthocyanins and Polyphenols in the Root System of Sweet Potato" Plants 12, no. 9: 1907. https://doi.org/10.3390/plants12091907
APA StyleSetoguchi, Y., Nakagawa, S., Ohmura, R., Toshima, S., Park, H., Narasako, Y., Hirano, T., Otani, M., & Kunitake, H. (2023). Effect of Growth Stages on Anthocyanins and Polyphenols in the Root System of Sweet Potato. Plants, 12(9), 1907. https://doi.org/10.3390/plants12091907





















