KI Increases Tomato Fruit Quality and Water Deficit Tolerance by Improving Antioxidant Enzyme Activity and Amino Acid Accumulation: A Priming Effect or Relief during Stress?
Abstract
:1. Introduction
2. Results
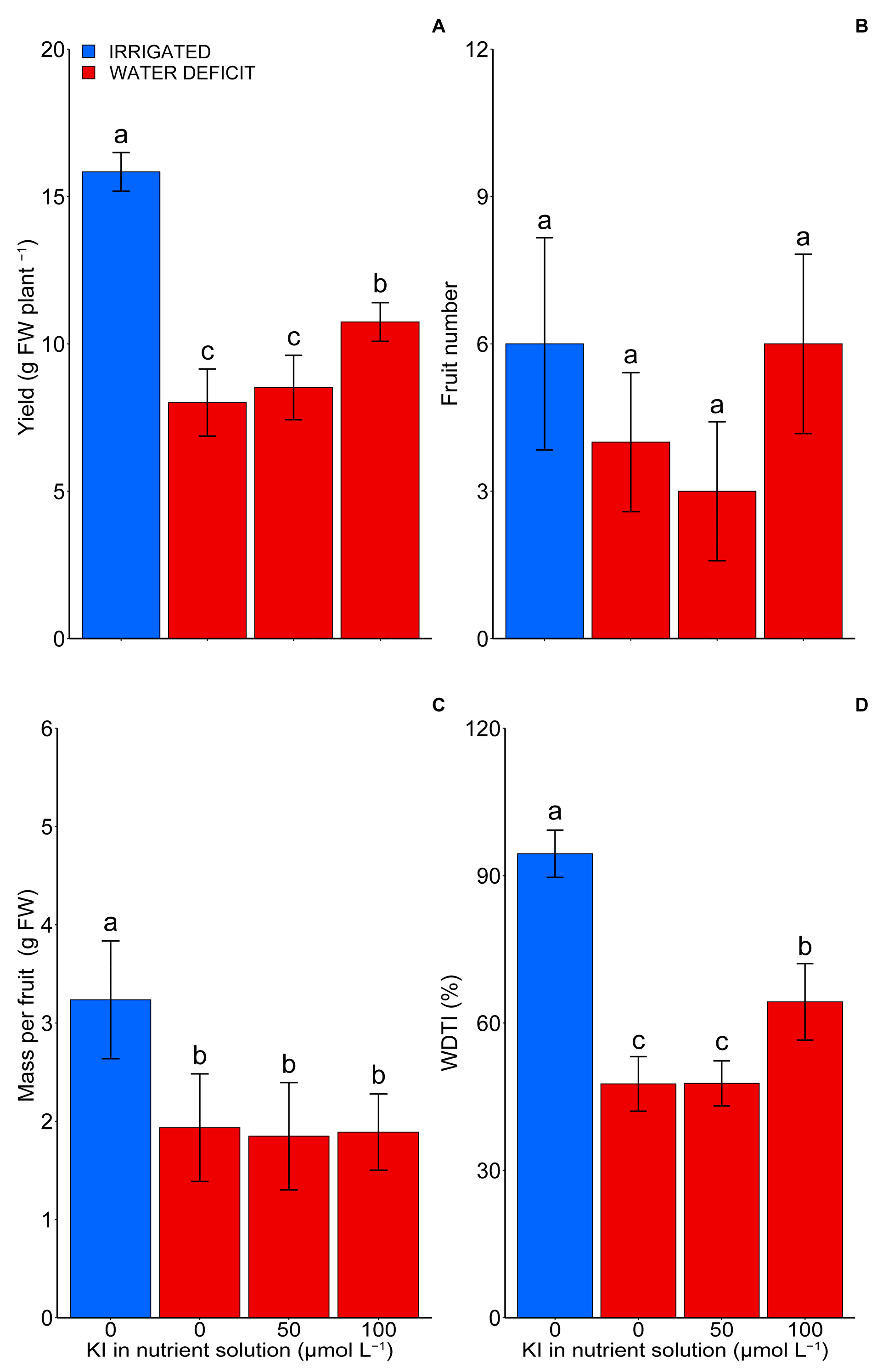
2.1. Production
2.2. Fruit Quality
2.3. Photosynthesis
2.4. Oxidative Damage and Antioxidant Enzymes
2.5. Osmolytes
2.6. Multivariate Analysis
3. Discussion
4. Materials and Methods
4.1. Cultivation System, Experimental Design, and Treatments
4.2. Production and Water Deficit Tolerance Index
4.3. Fruit Quality
4.4. Net Photosynthesis and Electron Transport Rate (ETR)
4.5. H2O2 and MDA Content
4.6. Antioxidant Enzymatic Activity
4.7. Compatible Osmolytes
4.8. Statistical Analysis
5. Conclusions
Author Contributions
Funding
Data Availability Statement
Acknowledgments
Conflicts of Interest
References
- Mukherjee, S.; Mishra, A.; Trenberth, K.E. Climate Change and Drought: A Perspective on Drought Indices. Curr. Clim. Change Rep. 2018, 4, 145–163. [Google Scholar] [CrossRef]
- Zargar, S.M.; Gupta, N.; Nazir, M.; Mahajan, R.; Malik, F.A.; Sofi, N.R.; Shikari, A.B.; Salgotra, R.K. Impact of Drought on Photosynthesis: Molecular Perspective. Plant Gene 2017, 11, 154–159. [Google Scholar] [CrossRef]
- Ngumbi, E.; Kloepper, J. Bacterial-Mediated Drought Tolerance: Current and Future Prospects. Appl. Soil. Ecol. 2016, 105, 109–125. [Google Scholar] [CrossRef]
- Barnawal, D.; Singh, R.; Singh, R.P. Chapter Six—Role of Plant Growth Promoting Rhizobacteria in Drought Tolerance: Regulating Growth Hormones and Osmolytes. In PGPR Amelioration in Sustainable Agriculture; Singh, A.K., Kumar, A., Singh, P.K., Eds.; Woodhead Publishing: Sawston, UK, 2019; pp. 107–128. ISBN 978-0-12-815879-1. [Google Scholar]
- Abdelaal, K.A.A.; Rashed, S.H.; Hossain, A.; Sabagh, A.E. Yield and Quality of Two Sugar Beet (Beta vulgaris L. ssp. vulgaris var. altissima Döll) Cultivars Are Influenced by Foliar Application of Salicylic Acid, Irrigation Timing, and Planting Density. Acta Agric. Slov. 2020, 115, 273–282. [Google Scholar] [CrossRef]
- Zulfiqar, F.; Ashraf, M. Antioxidants as Modulators of Arsenic-Induced Oxidative Stress Tolerance in Plants: An Overview. J. Hazard. Mater. 2022, 427, 127891. [Google Scholar] [CrossRef] [PubMed]
- Blasco, B.; Ríos, J.J.; Leyva, R.; Cervilla, L.M.; Sánchez-Rodríguez, E.; Rubio-Wilhelmi, M.M.; Rosales, M.A.; Ruiz, J.M.; Romero, L. Does Iodine Biofortification Affect Oxidative Metabolism in Lettuce Plants? Biol. Trace Elem. Res. 2011, 142, 831–842. [Google Scholar] [CrossRef] [PubMed]
- Lima, J.d.S.; Andrade, O.V.S.; dos Santos, L.C.; de Morais, E.G.; Martins, G.S.; Mutz, Y.S.; Nascimento, V.L.; Marchiori, P.E.R.; Lopes, G.; Guilherme, L.R.G. Soybean Plants Exposed to Low Concentrations of Potassium Iodide Have Better Tolerance to Water Deficit through the Antioxidant Enzymatic System and Photosynthesis Modulation. Plants 2023, 12, 2555. [Google Scholar] [CrossRef]
- Ravello, R.A.V.; de Oliveira, C.; Lessa, J.; Boas, L.V.V.; de Castro, E.M.; Guilherme, L.R.G.; Lopes, G.; Ravello, R.A.V.; de Oliveira, C.; Lessa, J.; et al. Selenium Application Influenced Selenium Biofortification and Physiological Traits in Water-Deficit Common Bean Plants. Crop Pasture Sci. 2021, 73, 44–55. [Google Scholar] [CrossRef]
- Jogawat, A.; Yadav, B.; Chhaya; Lakra, N.; Singh, A.K.; Narayan, O.P. Crosstalk between Phytohormones and Secondary Metabolites in the Drought Stress Tolerance of Crop Plants: A Review. Physiol. Plant. 2021, 172, 1106–1132. [Google Scholar] [CrossRef]
- Singh, M.; Kumar, J.; Singh, S.; Singh, V.P.; Prasad, S.M. Roles of Osmoprotectants in Improving Salinity and Drought Tolerance in Plants: A Review. Rev. Environ. Sci. Biotechnol. 2015, 14, 407–426. [Google Scholar] [CrossRef]
- Mahmood, T.; Khalid, S.; Abdullah, M.; Ahmed, Z.; Shah, M.K.N.; Ghafoor, A.; Du, X. Insights into Drought Stress Signaling in Plants and the Molecular Genetic Basis of Cotton Drought Tolerance. Cells 2019, 9, 105. [Google Scholar] [CrossRef] [PubMed]
- Kaur, H.; Kohli, S.K.; Khanna, K.; Bhardwaj, R. Scrutinizing the Impact of Water Deficit in Plants: Transcriptional Regulation, Signaling, Photosynthetic Efficacy, and Management. Physiol. Plant. 2021, 172, 935–962. [Google Scholar] [CrossRef] [PubMed]
- Joshi, R.; Wani, S.H.; Singh, B.; Bohra, A.; Dar, Z.A.; Lone, A.A.; Pareek, A.; Singla-Pareek, S.L. Transcription Factors and Plants Response to Drought Stress: Current Understanding and Future Directions. Front. Plant Sci. 2016, 7, 1029. [Google Scholar] [CrossRef] [PubMed]
- Bisbis, M.B.; Gruda, N.; Blanke, M. Potential Impacts of Climate Change on Vegetable Production and Product Quality—A Review. J. Clean. Prod. 2018, 170, 1602–1620. [Google Scholar] [CrossRef]
- Hou, X.; Zhang, W.; Du, T.; Kang, S.; Davies, W.J. Responses of Water Accumulation and Solute Metabolism in Tomato Fruit to Water Scarcity and Implications for Main Fruit Quality Variables. J. Exp. Bot. 2020, 71, 1249–1264. [Google Scholar] [CrossRef] [PubMed]
- Cirillo, V.; D’Amelia, V.; Esposito, M.; Amitrano, C.; Carillo, P.; Carputo, D.; Maggio, A. Anthocyanins Are Key Regulators of Drought Stress Tolerance in Tobacco. Biology 2021, 10, 139. [Google Scholar] [CrossRef]
- Chen, J.; Kang, S.; Du, T.; Guo, P.; Qiu, R.; Chen, R.; Gu, F. Modeling Relations of Tomato Yield and Fruit Quality with Water Deficit at Different Growth Stages under Greenhouse Condition. Agric. Water Manag. 2014, 146, 131–148. [Google Scholar] [CrossRef]
- Kiferle, C.; Gonzali, S.; Beltrami, S.; Martinelli, M.; Hora, K.; Holwerda, H.T.; Perata, P. Improvement in Fruit Yield and Tolerance to Salinity of Tomato Plants Fertigated with Micronutrient Amounts of Iodine. Sci. Rep. 2022, 12, 14655. [Google Scholar] [CrossRef]
- Pérez-Salas, S.; Medrano-Macías, J. Use of Iodine as a Tolerance Inducer in Tomato Seedlings Under Salinity Stress Uso Del Yodo Como Inductor a La Tolerancia En Plántulas de Tomate Bajo Condiciones de Estrés Por Salinidad. Rev. Científica Univ. Autónoma Coahuila 2021, 13, 14–22. [Google Scholar]
- Kiferle, C.; Martinelli, M.; Salzano, A.M.; Gonzali, S.; Beltrami, S.; Salvadori, P.A.; Hora, K.; Holwerda, H.T.; Scaloni, A.; Perata, P. Evidences for a Nutritional Role of Iodine in Plants. Front. Plant Sci. 2021, 12, 616868. [Google Scholar] [CrossRef]
- Barsanti, L.; Coltelli, P.; Gualtieri, P. Paramylon Treatment Improves Quality Profile and Drought Resistance in Solanum lycopersicum L. Cv. Micro-Tom. Agronomy 2019, 9, 394. [Google Scholar] [CrossRef]
- Murshed, R.; Lopez-Lauri, F.; Sallanon, H. Effect of Water Stress on Antioxidant Systems and Oxidative Parameters in Fruits of Tomato (Solanum lycopersicon L., Cv. Micro-Tom). Physiol. Mol. Biol. Plants 2013, 19, 363–378. [Google Scholar] [CrossRef] [PubMed]
- Morison, J.I.L.; Baker, N.R.; Mullineaux, P.M.; Davies, W.J. Improving Water Use in Crop Production. Philos. Trans. R. Soc. B Biol. Sci. 2008, 363, 639–658. [Google Scholar] [CrossRef] [PubMed]
- Cuartero, J.; Bolarín, M.C.; Asíns, M.J.; Moreno, V. Increasing Salt Tolerance in the Tomato. J. Exp. Bot. 2006, 57, 1045–1058. [Google Scholar] [CrossRef] [PubMed]
- Yin, W.; Hu, Z.; Hu, J.; Zhu, Z.; Yu, X.; Cui, B.; Chen, G. Tomato (Solanum lycopersicum) MADS-Box Transcription Factor SlMBP8 Regulates Drought, Salt Tolerance and Stress-Related Genes. Plant Growth Regul. 2017, 83, 55–68. [Google Scholar] [CrossRef]
- Jafarian, S.; Sodaiezadeh, H.; Arani, A.; Hakimzadeh, M.A.; Sohrabizadeh, Z. The Effect of Iodine on Increasing Drought Tolerance Of (Carthamus tinctorius L.) In Seed Germination and Early Growth Stage. J. Environ. Sci. Stud. 2020, 5, 2387–2393. [Google Scholar]
- Hora, K.; Holwerda, H.T. Loss of Yield or Lower Fruit Quality Due to Iodine Deficiency in Tomato and Sweet Pepper Crops under Heat Stress Can Be Prevented by Application of Potassium Nitrate with Iodine. Acta Hortic. 2023, 1372, 251–258. [Google Scholar] [CrossRef]
- Altaf, M.A.; Shahid, R.; Ren, M.-X.; Naz, S.; Altaf, M.M.; Khan, L.U.; Tiwari, R.K.; Lal, M.K.; Shahid, M.A.; Kumar, R.; et al. Melatonin Improves Drought Stress Tolerance of Tomato by Modulating Plant Growth, Root Architecture, Photosynthesis, and Antioxidant Defense System. Antioxidants 2022, 11, 309. [Google Scholar] [CrossRef]
- Gupta, N.; Bajpai, M.S.; Majumdar, R.S.; Mishra, P.K. Response of Iodine on Antioxidant Levels of Glycine max L. Grown under Cd2+ Stress. Adv. Biol. Res. 2015, 9, 40–48. [Google Scholar] [CrossRef]
- Fuentes, J.E.G.; Castellanos, B.F.H.; Martínez, E.N.R.; Ortiz, W.A.N.; Mendoza, A.B.; Macías, J.M. Outcomes of Foliar Iodine Application on Growth, Minerals and Antioxidants in Tomato Plants under Salt Stress. Folia Hortic. 2022, 34, 27–37. [Google Scholar] [CrossRef]
- Gill, S.S.; Tuteja, N. Reactive Oxygen Species and Antioxidant Machinery in Abiotic Stress Tolerance in Crop Plants. Plant Physiol. Biochem. 2010, 48, 909–930. [Google Scholar] [CrossRef] [PubMed]
- He, W.; Yan, K.; Zhang, Y.; Bian, L.; Mei, H.; Han, G. Contrasting Photosynthesis, Photoinhibition and Oxidative Damage in Honeysuckle (Lonicera japonica Thunb.) under Iso-Osmotic Salt and Drought Stresses. Environ. Exp. Bot. 2021, 182, 104313. [Google Scholar] [CrossRef]
- Fracasso, A.; Telò, L.; Lanfranco, L.; Bonfante, P.; Amaducci, S. Physiological Beneficial Effect of Rhizophagus Intraradices Inoculation on Tomato Plant Yield under Water Deficit Conditions. Agronomy 2020, 10, 71. [Google Scholar] [CrossRef]
- Fan, S.; Wu, H.; Gong, H.; Guo, J. The Salicylic Acid Mediates Selenium-Induced Tolerance to Drought Stress in Tomato Plants. Sci. Hortic. 2022, 300, 111092. [Google Scholar] [CrossRef]
- Zhang, Z.; Cao, B.; Gao, S.; Xu, K. Grafting Improves Tomato Drought Tolerance through Enhancing Photosynthetic Capacity and Reducing ROS Accumulation. Protoplasma 2019, 256, 1013–1024. [Google Scholar] [CrossRef]
- Leyva, R.; Sánchez-Rodríguez, E.; Ríos, J.J.; Rubio-Wilhelmi, M.M.; Romero, L.; Ruiz, J.M.; Blasco, B. Beneficial Effects of Exogenous Iodine in Lettuce Plants Subjected to Salinity Stress. Plant Sci. 2011, 181, 195–202. [Google Scholar] [CrossRef]
- Moreno-Galván, A.E.; Cortés-Patiño, S.; Romero-Perdomo, F.; Uribe-Vélez, D.; Bashan, Y.; Bonilla, R.R. Proline Accumulation and Glutathione Reductase Activity Induced by Drought-Tolerant Rhizobacteria as Potential Mechanisms to Alleviate Drought Stress in Guinea Grass. Appl. Soil. Ecol. 2020, 147, 103367. [Google Scholar] [CrossRef]
- Daffonchio, D.; Hirt, H.; Berg, G. Plant-Microbe Interactions and Water Management in Arid and Saline Soils. In Principles of Plant-Microbe Interactions: Microbes for Sustainable Agriculture; Lugtenberg, B., Ed.; Springer International Publishing: Cham, Switzerland, 2015; pp. 265–276. ISBN 978-3-319-08575-3. [Google Scholar]
- Farooq, M.; Wahid, A.; Kobayashi, N.; Fujita, D.; Basra, S.M.A. Plant Drought Stress: Effects, Mechanisms and Management. In Sustainable Agriculture; Lichtfouse, E., Navarrete, M., Debaeke, P., Véronique, S., Alberola, C., Eds.; Springer: Dordrecht, The Netherlands, 2009; pp. 153–188. ISBN 978-90-481-2666-8. [Google Scholar]
- Du, Y.; Zhao, Q.; Chen, L.; Yao, X.; Zhang, W.; Zhang, B.; Xie, F. Effect of Drought Stress on Sugar Metabolism in Leaves and Roots of Soybean Seedlings. Plant Physiol. Biochem. 2020, 146, 1–12. [Google Scholar] [CrossRef]
- Yang, J.; Zhang, J.; Wang, Z.; Zhu, Q. Activities of Starch Hydrolytic Enzymes and Sucrose-phosphate Synthase in the Stems of Rice Subjected to Water Stress during Grain Filling. J. Exp. Bot. 2001, 52, 2169–2179. [Google Scholar] [CrossRef]
- Geigenberger, P.; Reimholz, R.; Geiger, M.; Merlo, L.; Canale, V.; Stitt, M. Regulation of Sucrose and Starch Metabolism in Potato Tubers in Response to Short-Term Water Deficit. Planta 1997, 201, 502–518. [Google Scholar] [CrossRef]
- Xu, W.; Cui, K.; Xu, A.; Nie, L.; Huang, J.; Peng, S. Drought Stress Condition Increases Root to Shoot Ratio via Alteration of Carbohydrate Partitioning and Enzymatic Activity in Rice Seedlings. Acta Physiol. Plant 2015, 37, 9. [Google Scholar] [CrossRef]
- Khaleghi, A.; Naderi, R.; Brunetti, C.; Maserti, B.E.; Salami, S.A.; Babalar, M. Morphological, Physiochemical and Antioxidant Responses of Maclura Pomifera to Drought Stress. Sci. Rep. 2019, 9, 19250. [Google Scholar] [CrossRef] [PubMed]
- Wu, H.-H.; Zou, Y.-N.; Rahman, M.M.; Ni, Q.-D.; Wu, Q.-S. Mycorrhizas Alter Sucrose and Proline Metabolism in Trifoliate Orange Exposed to Drought Stress. Sci. Rep. 2017, 7, 42389. [Google Scholar] [CrossRef] [PubMed]
- Hilker, M.; Schmülling, T. Stress Priming, Memory, and Signalling in Plants. Plant Cell Environ. 2019, 42, 753–761. [Google Scholar] [CrossRef] [PubMed]
- Kuepper, F.C.; Carpenter, L.J.; McFiggans, G.B.; Palmer, C.J.; Waite, T.J.; Boneberg, E.-M.; Woitsch, S.; Weiller, M.; Abela, R.; Grolimund, D.; et al. Iodide Accumulation Provides Kelp with an Inorganic Antioxidant Impacting Atmospheric Chemistry. Proc. Natl. Acad. Sci. USA 2008, 105, 6954–6958. [Google Scholar] [CrossRef] [PubMed]
- Luther, G.W.I.; Wu, J.; Cullen, J.B. Redox Chemistry of Iodine in Seawater. In Aquatic Chemistry; Advances in Chemistry; American Chemical Society: New York, NY, USA, 1995; Volume 244, pp. 135–155. ISBN 978-0-8412-2921-1. [Google Scholar]
- Medrano-Macías, J.; Mendoza-Villarreal, R.; Robledo-Torres, V.; Fuentes-Lara, L.O.; Ramírez-Godina, F.; Pérez-Rodríguez, M.Á.; Benavides-Mendoza, A.; Medrano-Macías, J.; Mendoza-Villarreal, R.; Robledo-Torres, V.; et al. The Use of Iodine, Selenium, and Silicon in Plant Nutrition for the Increase of Antioxidants in Fruits and Vegetables. In Antioxidants in Foods and Its Applications; IntechOpen: London, UK, 2018; ISBN 978-1-78923-379-7. [Google Scholar]
- Barickman, T.C.; Kopsell, D.A.; Sams, C.E. Abscisic Acid Improves Tomato Fruit Quality by Increasing Soluble Sugar Concentrations. J. Plant Nutr. 2017, 40, 964–973. [Google Scholar] [CrossRef]
- Ibrahim, M.F.M.; Elbar, O.H.A.; Farag, R.; Hikal, M.; El-Kelish, A.; El-Yazied, A.A.; Alkahtani, J.; El-Gawad, H.G.A. Melatonin Counteracts Drought Induced Oxidative Damage and Stimulates Growth, Productivity and Fruit Quality Properties of Tomato Plants. Plants 2020, 9, 1276. [Google Scholar] [CrossRef]
- Pék, Z.; Szuvandzsiev, P.; Daood, H.; Neményi, A.; Helyes, L. Effect of Irrigation on Yield Parameters and Antioxidant Profiles of Processing Cherry Tomato. Open Life Sci. 2014, 9, 383–395. [Google Scholar] [CrossRef]
- Bartolini, S.; Leccese, A.; Andreini, L. Influence of Canopy Fruit Location on Morphological, Histochemical and Biochemical Changes in Two Oil Olive Cultivars. Plant Biosyst. 2014, 148, 1221–1230. [Google Scholar] [CrossRef]
- Mejía-Ramírez, F.; Benavides-Mendoza, A.; González-Morales, S.; Juárez-Maldonado, A.; Lara-Viveros, F.M.; Morales-Díaz, A.B.; Morelos-Moreno, Á. Seed Priming Based on Iodine and Selenium Influences the Nutraceutical Compounds in Tomato (Solanum lycopersicum L.) Crop. Antioxidants 2023, 12, 1265. [Google Scholar] [CrossRef]
- Maglione, G.; Vitale, E.; Costanzo, G.; Polimeno, F.; Arena, C.; Vitale, L. Iodine Enhances the Nutritional Value but Not the Tolerance of Lettuce to NaCl. Horticulturae 2022, 8, 662. [Google Scholar] [CrossRef]
- Hoagland, D.R.; Arnon, D.I. The Water-Culture Method for Growing Plants without Soil. Circular. Calif. Agric. Exp. Stn. 1950, 347, 32. [Google Scholar]
- Sánchez-Reinoso, A.D.; Ligarreto-Moreno, G.A.; Restrepo-Díaz, H. Evaluation of Drought Indices to Identify Tolerant Genotypes in Common Bean Bush (Phaseolus vulgaris L.). J. Integr. Agric. 2020, 19, 99–107. [Google Scholar] [CrossRef]
- Association of Official Analytical Chemistry. Official Methods of Analysis, 21st ed.; AOAC: Gaithersburg, MD, USA, 2019. [Google Scholar]
- Rufino, M.D.S.M.; Alves, R.E.; de Brito, E.S.; Pérez-Jiménez, J.; Saura-Calixto, F.; Mancini-Filho, J. Bioactive Compounds and Antioxidant Capacities of 18 Non-Traditional Tropical Fruits from Brazil. Food Chem. 2010, 121, 996–1002. [Google Scholar] [CrossRef]
- Medina, M.B. Determination of the Total Phenolics in Juices and Superfruits by a Novel Chemical Method. J. Funct. Foods 2011, 3, 79–87. [Google Scholar] [CrossRef]
- Auzanneau, N.; Weber, P.; Kosińska-Cagnazzo, A.; Andlauer, W. Bioactive Compounds and Antioxidant Capacity of Lonicera Caerulea Berries: Comparison of Seven Cultivars over Three Harvesting Years. J. Food Compos. Anal. 2018, 66, 81–89. [Google Scholar] [CrossRef]
- Prieto, P.; Pineda, M.; Aguilar, M. Spectrophotometric Quantitation of Antioxidant Capacity through the Formation of a Phosphomolybdenum Complex: Specific Application to the Determination of Vitamin E. Anal. Biochem. 1999, 269, 337–341. [Google Scholar] [CrossRef] [PubMed]
- Alexieva, V.; Sergiev, I.; Mapelli, S.; Karanov, E. The Effect of Drought and Ultraviolet Radiation on Growth and Stress Markers in Pea and Wheat. Plant Cell Environ. 2001, 24, 1337–1344. [Google Scholar] [CrossRef]
- Heath, R.L.; Packer, L. Photoperoxidation in Isolated Chloroplasts. I. Kinetics and Stoichiometry of Fatty Acid Peroxidation. Arch. Biochem. Biophys. 1968, 125, 189–198. [Google Scholar] [CrossRef]
- Beauchamp, C.; Fridovich, I. Superoxide Dismutase: Improved Assays and an Assay Applicable to Acrylamide Gels. Anal. Biochem. 1971, 44, 276–287. [Google Scholar] [CrossRef]
- Chance, B.; Maehly, A.C. Assay of Catalases and Peroxidases. In Methods in Enzymology; Academic Press: Cambridge, MA, USA, 1955; Volume 2, pp. 764–775. [Google Scholar]
- Bradford, M.M. A Rapid and Sensitive Method for the Quantitation of Microgram Quantities of Protein Utilizing the Principle of Protein-Dye Binding. Anal. Biochem. 1976, 72, 248–254. [Google Scholar] [CrossRef] [PubMed]
- Bates, L.S.; Waldren, R.P.; Teare, I.D. Rapid Determination of Free Proline for Water-Stress Studies. Plant Soil. 1973, 39, 205–207. [Google Scholar] [CrossRef]
- Carillo, P.; Kyriacou, M.C.; El-Nakhel, C.; Pannico, A.; dell’Aversana, E.; D’Amelia, L.; Colla, G.; Caruso, G.; De Pascale, S.; Rouphael, Y. Sensory and Functional Quality Characterization of Protected Designation of Origin ‘Piennolo Del Vesuvio’ Cherry Tomato Landraces from Campania-Italy. Food Chem. 2019, 292, 166–175. [Google Scholar] [CrossRef] [PubMed]
- Zanandrea, I.; Alves, J.D.; Deuner, S.; Goulart, P.d.F.P.; Henrique, P.d.C.; Silveira, N.M. Tolerance of Sesbania Virgata Plants to Flooding. Aust. J. Bot. 2010, 57, 661–669. [Google Scholar] [CrossRef]
- Dische, Z. Methods in Carbohydrates Chemistry, 2nd ed.; Whistler, R., Kearsley, M.W., Eds.; Academic Press: New York, NY, USA, 1962; pp. 478–512. [Google Scholar]
- Yemm, E.W.; Cocking, E.C.; Ricketts, R.E. The Determination of Amino Acids with Ninhydrin. Analyst 1955, 80, 209–214. [Google Scholar] [CrossRef]
- Conover, W.J.; Iman, R.L. Rank Transformations as a Bridge between Parametric and Nonparametric Statistics. Am. Stat. 1981, 35, 124–129. [Google Scholar] [CrossRef]
- Wickham, H.; Averick, M.; Bryan, J.; Chang, W.; McGowan, L.; François, R.; Grolemund, G.; Hayes, A.; Henry, L.; Hester, J.; et al. Welcome to the Tidyverse. J. Open Source Softw. 2019, 4, 1686. [Google Scholar] [CrossRef]
- Hothorn, T.; Bretz, F.; Westfall, P. Simultaneous inference in general parametric models. Biom. J. 2008, 50, 346–363. [Google Scholar] [CrossRef]
- Kassambara, A. _rstatix: Pipe-Friendly Framework for Basic Statistical Tests_. R Package Version 0.7.1. 2022. Available online: https://CRAN.R-project.org/package=rstatix (accessed on 25 June 2023).







| Treatments | Description |
|---|---|
| Treatment 1 (Control) | Irrigation + 0 μM KI |
| Treatment 2 | Water Deficit + 0 μM KI |
| Treatment 3 | Water Deficit + 50 μM KI |
| Treatment 4 | Water Deficit + 100 μM KI |
Disclaimer/Publisher’s Note: The statements, opinions and data contained in all publications are solely those of the individual author(s) and contributor(s) and not of MDPI and/or the editor(s). MDPI and/or the editor(s) disclaim responsibility for any injury to people or property resulting from any ideas, methods, instructions or products referred to in the content. |
© 2023 by the authors. Licensee MDPI, Basel, Switzerland. This article is an open access article distributed under the terms and conditions of the Creative Commons Attribution (CC BY) license (https://creativecommons.org/licenses/by/4.0/).
Share and Cite
Lima, J.d.S.; Andrade, O.V.S.; Morais, E.G.d.; Machado, G.G.L.; Santos, L.C.d.; Andrade, E.S.d.; Benevenute, P.A.N.; Martins, G.S.; Nascimento, V.L.; Marchiori, P.E.R.; et al. KI Increases Tomato Fruit Quality and Water Deficit Tolerance by Improving Antioxidant Enzyme Activity and Amino Acid Accumulation: A Priming Effect or Relief during Stress? Plants 2023, 12, 4023. https://doi.org/10.3390/plants12234023
Lima JdS, Andrade OVS, Morais EGd, Machado GGL, Santos LCd, Andrade ESd, Benevenute PAN, Martins GS, Nascimento VL, Marchiori PER, et al. KI Increases Tomato Fruit Quality and Water Deficit Tolerance by Improving Antioxidant Enzyme Activity and Amino Acid Accumulation: A Priming Effect or Relief during Stress? Plants. 2023; 12(23):4023. https://doi.org/10.3390/plants12234023
Chicago/Turabian StyleLima, Jucelino de Sousa, Otávio Vitor Souza Andrade, Everton Geraldo de Morais, Gilson Gustavo Lucinda Machado, Leônidas Canuto dos Santos, Eduarda Santos de Andrade, Pedro Antônio Namorato Benevenute, Gabryel Silva Martins, Vitor L. Nascimento, Paulo Eduardo Ribeiro Marchiori, and et al. 2023. "KI Increases Tomato Fruit Quality and Water Deficit Tolerance by Improving Antioxidant Enzyme Activity and Amino Acid Accumulation: A Priming Effect or Relief during Stress?" Plants 12, no. 23: 4023. https://doi.org/10.3390/plants12234023
APA StyleLima, J. d. S., Andrade, O. V. S., Morais, E. G. d., Machado, G. G. L., Santos, L. C. d., Andrade, E. S. d., Benevenute, P. A. N., Martins, G. S., Nascimento, V. L., Marchiori, P. E. R., Lopes, G., Vilas Boas, E. V. d. B., & Guilherme, L. R. G. (2023). KI Increases Tomato Fruit Quality and Water Deficit Tolerance by Improving Antioxidant Enzyme Activity and Amino Acid Accumulation: A Priming Effect or Relief during Stress? Plants, 12(23), 4023. https://doi.org/10.3390/plants12234023

