The Photosynthetic Efficiency and Carbohydrates Responses of Six Edamame (Glycine max. L. Merrill) Cultivars under Drought Stress
Abstract
1. Introduction
2. Results
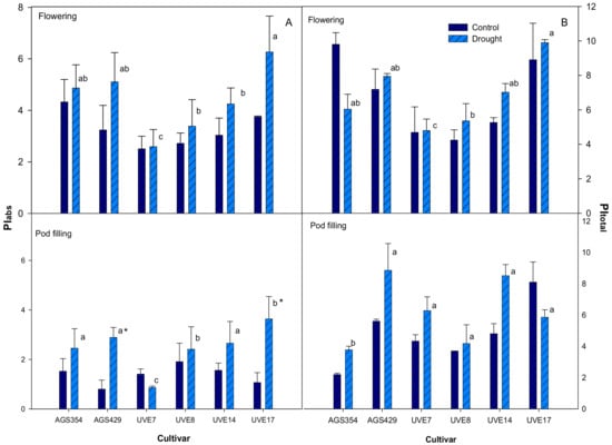
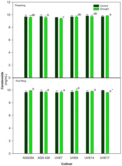
2.1. Photosynthetic Efficiency Indicators
2.2. Non-Structured (Soluble) Sugars and Starch
2.3. Cell Wall Parameters
3. Discussion
4. Materials and Methods
4.1. Plant Material and Growth Conditions
4.2. Chlorophyll Fluorescence
4.3. Stomatal Conductance
4.4. Pigments Extraction and Quantification
4.5. Determination of Non-Structural Carbohydrates in the Leaf Tissue
4.6. Starch Extraction and Quantification
4.7. Thin-Layer Chromatography (TLC) for Soluble Sugars
4.8. Total Phenols and Acid Soluble Lignin
4.9. Liquid Chromatography-Mass Spectrometry (LC-MS)
4.10. Fourier-Transform Infrared Spectroscopy (FTIR)
4.11. X-ray Diffraction (XRD) Analysis of Biomass
4.12. Microscopy Qualitative Analysis of Starch
4.13. Statistical Analysis
Supplementary Materials
Author Contributions
Funding
Data Availability Statement
Acknowledgments
Conflicts of Interest
References
- Bhardwaj, S.; Kapoor, D. Fascinating regulatory mechanism of silicon for alleviating drought stress in plants. Plant Physiol. Biochem. 2021, 166, 1044–1053. [Google Scholar] [CrossRef] [PubMed]
- Shaheen, T.; Mahmood, R.; Shahid Riaz, M.; Zafar, Y.; Mahmood, R. Soybean Production and Drought Stress; Elsevier Inc.: Amsterdam, The Netherlands, 2016; pp. 177–196. [Google Scholar]
- Moloi, M.J.; Van der Merwe, R. Drought Tolerance Responses in Vegetable-Type Soybean Involve a Network of Biochemical Mechanisms at Flowering and Pod-Filling Stages. Plants 2021, 10, 1502. [Google Scholar] [CrossRef] [PubMed]
- Mahoussi, K.A.D.; Eric, E.A.; Symphorien, A.; Florent, J.B.Q.; Flora, J.C.; Achille, E.A.; Clement, A. Vegetable soybean, edamame: Research, production, utilization and analysis of its adoption in Sub-Saharan Africa. J. Hortic. For. 2020, 12, 1–12. [Google Scholar] [CrossRef]
- Keatinge, J.D.H.; Easdown, W.J.; Yang, R.Y.; Chadha, M.L.; Shanmugasundaram, S. Overcoming chronic malnutrition in a future warming world: The key importance of mungbean and vegetable soybean. Euphytica 2011, 180, 129–141. [Google Scholar] [CrossRef]
- Arathoon, A.J. Agronomic studies on edamame (vegetable soybean) in Kwazulu-Natal. Ph.D. Thesis, University of KwaZulu-Natal, Durban, South Africa, 2015. [Google Scholar]
- Makonya, G.M.; Ogola, J.B.O.; Muthama Muasya, A.; Crespo, O.; Maseko, S.; Valentine, A.J.; Ottosen, C.O. Chlorophyll fluorescence and carbohydrate concentration as field selection traits for heat tolerant chickpea genotypes. Plant Physiol. Biochem. 2019, 141, 172–182. [Google Scholar] [CrossRef]
- Banks, J.M. Chlorophyll fluorescence as a tool to identify drought stress in Acer genotypes. Environ. Exp. Bot. 2018, 155, 118–127. [Google Scholar] [CrossRef]
- Ghotbi-Ravandi, A.A.; Shahbazi, M.; Shariati, M.; Mulo, P. Effects of mild and severe drought stress on photosynthetic efficiency in tolerant and susceptible barley (Hordeum vulgare L.) genotypes. J. Agron. Crop Sci. 2014, 200, 403–415. [Google Scholar] [CrossRef]
- Miyashita, K.; Tanakamaru, S.; Maitani, T.; Kimura, K. Recovery responses of photosynthesis, transpiration, and stomatal conductance in kidney bean following drought stress. Environ. Exp. Bot. 2005, 53, 205–214. [Google Scholar] [CrossRef]
- Xia, W.; Liu, X.; Xin, H.; Wu, X.; Liu, R.; Li, J.; Zhu, J. Saussurea involucrata PIP2;7 improves photosynthesis and drought resistance by decreasing the stomatal density and increasing intracellular osmotic pressure. Environ. Exp. Bot. 2021, 191, 104605. [Google Scholar] [CrossRef]
- Farooq, M.; Ullah, A.; Lee, D.J.; Alghamdi, S.S.; Siddique, K.H.M. Desi chickpea genotypes tolerate drought stress better than kabuli types by modulating germination metabolism, trehalose accumulation, and carbon assimilation. Plant Physiol. Biochem. 2018, 126, 47–54. [Google Scholar] [CrossRef]
- Kebbas, S.; Lutts, S.; Aid, F. Effect of drought stress on the photosynthesis of Acacia tortilis subsp. raddiana at the young seedling stage. Photosynthetica 2015, 53, 288–298. [Google Scholar] [CrossRef]
- Meher; Shivakrishna, P.; Ashok Reddy, K.; Manohar Rao, D. Effect of PEG-6000 imposed drought stress on RNA content, relative water content (RWC), and chlorophyll content in peanut leaves and roots. Saudi J. Biol. Sci. 2018, 25, 285–289. [Google Scholar] [CrossRef] [PubMed]
- Cho, K.S.; Han, E.H.; Kwak, S.S.; Cho, J.H.; Im, J.S.; Hong, S.Y.; Sohn, H.B. Expressing the sweet potato orange gene in transgenic potato improves drought tolerance and marketable tuber production. Comptes Rendus Biol. 2016, 339, 207–213. [Google Scholar] [CrossRef] [PubMed]
- Park, S.; Kim, H.S.; Jung, Y.J.; Kim, S.H.; Ji, C.Y.; Wang, Z.; Jeong, J.C. Orange protein has a role in phytoene synthase stabilization in sweetpotato. Sci. Rep. 2016, 6, 29987. [Google Scholar] [CrossRef]
- Wang, S.; Zhuang, K.; Zhang, S.; Yang, M.; Kong, F.; Meng, Q. Overexpression of a tomato carotenoid ε-hydroxylase gene (SlLUT1) improved the drought tolerance of transgenic tobacco. J. Plant Physiol. 2018, 222, 103–112. [Google Scholar] [CrossRef]
- Mihaljević, I.; Vuletić, M.V.; Šimić, D.; Tomaš, V.; Horvat, D.; Josipović, M.; Zdunić, Z. Comparative study of drought stress effects on traditional and modern apple cultivars. Plants 2021, 10, 561. [Google Scholar] [CrossRef]
- Oukarroum, A.; Schansker, G.; Strasser, R.J. Drought stress effects on photosystem i content and photosystem II thermotolerance analyzed using Chl a fluorescence kinetics in barley varieties differing in their drought tolerance. Physiol. Plant. 2009, 137, 188–199. [Google Scholar] [CrossRef]
- LU, J.; Sun, M.H.; Ma, Q.J.; Kang, H.; LIU, Y.J.; Hao, Y.J.; You, C.X. MdSWEET17, a sugar transporter in apple, enhances drought tolerance in tomato. J. Integr. Agric. 2019, 18, 2041–2051. [Google Scholar] [CrossRef]
- Poovaiah, C.R.; Nageswara-Rao, M.; Soneji, J.R.; Baxter, H.L.; Stewart, C.N. Altered lignin biosynthesis using biotechnology to improve lignocellulosic biofuel feedstocks. Plant Biotechnol. J. 2014, 12, 1163–1173. [Google Scholar] [CrossRef]
- Silva, N.; Mazzafera, P.; Cesarino, I. Should I stay or should I go: Are chlorogenic acids mobilized towards lignin biosynthesis? Phytochemistry 2019, 166, 112063. [Google Scholar]
- Cosgrove, D.J. Growth of the plant cell wall. Nat. Rev. Mol. Cell Biol. 2005, 6, 850–861. [Google Scholar] [CrossRef]
- Gírio, F.M.; Fonseca, C.; Carvalheiro, F.; Duarte, L.C.; Marques, S.; Bogel-Łukasik, R. Hemicelluloses for fuel ethanol: A review. Bioresour. Technol. 2010, 101, 4775–4800. [Google Scholar] [CrossRef]
- Malgas, S.; Mafa, M.S.; Mkabayi, L.; Pletschke, B.I. A mini review of xylanolytic enzymes with regards to their synergistic interactions during hetero-xylan degradation. World J. Microbiol. Biotechnol. 2019, 35, 187. [Google Scholar] [CrossRef]
- Mafa, M.S.; Malgas, S.; Rashamuse, K.; Pletschke, B.I. Delineating functional properties of a cello-oligosaccharide and β-glucan specific cellobiohydrolase (GH5_38): Its synergism with Cel6A and Cel7A for β-(1,3)-(1,4)-glucan degradation. Carbohydr. Res. 2020, 495, 108081. [Google Scholar] [CrossRef]
- Ul-Allah, S.; Rehman, A.; Hussain, M.; Farooq, M. Fiber yield and quality in cotton under drought: Effects and management. Agric. Water Manag. 2021, 255, 106994. [Google Scholar]
- Chen, Z.; Hong, X.; Zhang, H.; Wang, Y.; Li, X.; Zhu, J.K.; Gong, Z. Disruption of the cellulose synthase gene, AtCesA8/IRX1, enhances drought and osmotic stress tolerance in Arabidopsis. Plant J. 2005, 43, 273–283. [Google Scholar] [CrossRef]
- Wang, T.; McFarlane, H.E.; Persson, S. The impact of abiotic factors on cellulose synthesis. J. Exp. Bot. 2016, 67, 543–552. [Google Scholar] [CrossRef] [PubMed]
- van der Weijde, T.; Huxley, L.M.; Hawkins, S.; Sembiring, E.H.; Farrar, K.; Dolstra, O.; Visser, R.G.F. Impact of drought stress on growth and quality of miscanthus for biofuel production. GCB Bioenergy 2017, 9, 770–782. [Google Scholar] [CrossRef]
- Le Gall, H.; Philippe, F.; Domon, J.M.; Gillet, F.; Pelloux, J.; Rayon, C. Cell wall metabolism in response to abiotic stress. Plants 2015, 4, 112–166. [Google Scholar] [CrossRef]
- Frei, M. Lignin: Characterization of a multifaceted crop component. Sci. World J. 2013, 2013, 436517. [Google Scholar] [CrossRef] [PubMed]
- Köhler, A.; Förster, N.; Zander, M.; Ulrichs, C. Compound-specific responses of phenolic metabolites in the bark of drought-stressed Salix daphnoides and Salix purpurea. Plant Physiol. Biochem. 2020, 155, 311–320. [Google Scholar] [CrossRef]
- Yu, S.; Zhang, N.; Kaiser, E.; Li, G.; An, D.; Sun, Q.; Chen, W. Integrating chlorophyll fluorescence parameters into a crop model improves growth prediction under severe drought. Agric. For. Meteorol. 2021, 303, 108367. [Google Scholar] [CrossRef]
- Mathobo, R.; Marais, D.; Steyn, J.M. The effect of drought stress on yield, leaf gaseous exchange and chlorophyll fluorescence of dry beans (Phaseolus vulgaris L.). Agric. Water Manag. 2017, 180, 118–125. [Google Scholar] [CrossRef]
- Terzi, R.; Saǧlam, A.; Kutlu, N.; Nar, H.; Kadioǧlu, A. Impact of soil drought stress on photochemical efficiency of photosystem II and antioxidant enzyme activities of Phaseolus vulgaris cultivars. Turk. J. Bot. 2010, 34, 1–10. [Google Scholar]
- Çiçek, N.; Arslan, Ö.; Çulha-Erdal, Ş.; Eyidoğan, F.; Ekmekçi, Y. Are the photosynthetic performance indexes and the drought factor index satisfactory selection criterion for stress? Fresenius Environ. Bull. 2015, 24, 4190–4198. [Google Scholar]
- Jia, Y.; Xiao, W.; Ye, Y.; Wang, X.; Liu, X.; Wang, G.; Li, G. Response of photosynthetic performance to drought duration and re-watering in maize. Agronomy 2020, 10, 533. [Google Scholar] [CrossRef]
- Kalaji, H.M.; Račková, L.; Paganová, V.; Swoczyna, T.; Rusinowski, S.; Sitko, K. Can chlorophyll-a fluorescence parameters be used as bio-indicators to distinguish between drought and salinity stress in Tilia cordata Mill? Environ. Exp. Bot. 2018, 152, 149–157. [Google Scholar] [CrossRef]
- Hassanzadeh, M.; Ebadi, A.; Panahyan-e-Kivi, M.; Eshghi, A.G.; Jamaati-e-Somarin, S.; Saeidi, M.; Zabihi-e-Mahmoodabad, R. Evaluation of Drought Stress on Relative Water Content and Chlorophyll Content of Sesame (Sesamum indicum L.) Genotypes at Early Flowering Stage. Res. J. Environ. Sci. 2009, 3, 345–350. [Google Scholar] [CrossRef]
- Ahluwalia, O.; Singh, P.C.; Bhatia, R. A review on drought stress in plants: Implications, mitigation and the role of plant growth promoting rhizobacteria. Resour. Environ. Sustain. 2021, 5, 100032. [Google Scholar] [CrossRef]
- Cicevan, R.; Al Hassan, M.; Sestras, A.F.; Prohens, J.; Vicente, O.; Sestras, R.E.; Boscaiu, M. Screening for drought tolerance in cultivars of the ornamental genus Tagetes (Asteraceae). PeerJ 2016, 4, e2133. [Google Scholar] [CrossRef]
- do Rosário Rosa, V.; da Silva, A.A.; Brito, D.S.; Júnior, J.D.P.; Silva, C.O.; Dal-Bianco, M.; de Oliveira, J.A. Drought stress during the reproductive stage of two soybean lines. Pesqui. Agropecu. Bras. 2020, 55, 1–11. [Google Scholar]
- Gorthi, A.; Volenec, J.J.; Welp, L.R. Stomatal response in soybean during drought improves leaf-scale and field-scale water use efficiencies. Agric. For. Meteorol. 2019, 276, 107629. [Google Scholar] [CrossRef]
- Liu, X.; Wang, X.; Wang, X.; Gao, J.; Luo, N.; Meng, Q.; Wang, P. Dissecting the critical stage in the response of maize kernel set to individual and combined drought and heat stress around flowering. Environ. Exp. Bot. 2020, 179, 104213. [Google Scholar] [CrossRef]
- Du, Y.; Zhao, Q.; Chen, L.; Yao, X.; Zhang, W.; Zhang, B.; Xie, F. Effect of drought stress on sugar metabolism in leaves and roots of soybean seedlings. Plant Physiol. Biochem. 2020, 146, 1–12. [Google Scholar] [CrossRef]
- Di Gioacchino, M.; Bruni, F.; Ricci, M.A. GPG-NH2 solutions: A model system for β-turns formation. Possible role of trehalose against drought. J. Mol. Liq. 2021, 335, 116514. [Google Scholar] [CrossRef]
- Liu, F.; Jensen, C.R.; Andersen, M.N. Drought stress effect on carbohydrate concentration in soybean leaves and pods during early reproductive development: Its implication in altering pod set. Field Crop. Res. 2004, 86, 1–13. [Google Scholar] [CrossRef]
- Abdelhakim, L.O.A.; Palma, C.F.F.; Zhou, R.; Wollenweber, B.; Ottosen, C.O.; Rosenqvist, E. The effect of individual and combined drought and heat stress under elevated CO2 on physiological responses in spring wheat genotypes. Plant Physiol. Biochem. 2021, 162, 301–314. [Google Scholar] [CrossRef]
- Zhao, D.; Luan, Y.; Shi, W.; Zhang, X.; Meng, J.; Tao, J. A Paeonia ostii caffeoyl-CoA O-methyltransferase confers drought stress tolerance by promoting lignin synthesis and ROS scavenging. Plant Sci. 2021, 303, 110765. [Google Scholar] [CrossRef]
- Mnich, E.; Bjarnholt, N.; Eudes, A.; Harholt, J.; Holland, C.; Jørgensen, B.; Larsen, F.H. Phenolic cross-links: Building and de-constructing the plant cell wall. Nat. Prod. Rep. 2020, 37, 919–961. [Google Scholar] [CrossRef]
- Sánchez-Rodríguez, E.; Moreno, D.A.; Ferreres, F.; Rubio-Wilhelmi, M.D.M.; Ruiz, J.M. Differential responses of five cherry tomato varieties to water stress: Changes on phenolic metabolites and related enzymes. Phytochemistry 2011, 72, 723–729. [Google Scholar] [CrossRef]
- Puente-Garza, C.A.; Meza-Miranda, C.; Ochoa-Martínez, D.; García-Lara, S. Effect of in vitro drought stress on phenolic acids, flavonols, saponins, and antioxidant activity in Agave salmiana. Plant Physiol. Biochem. 2017, 115, 400–407. [Google Scholar] [CrossRef]
- Naderi, S.; Fakheri, B.A.; Maali-Amiri, R.; Mahdinezhad, N. Tolerance responses in wheat landrace Bolani are related to enhanced metabolic adjustments under drought stress. Plant Physiol. Biochem. 2020, 150, 244–253. [Google Scholar] [CrossRef]
- De Caroli, M.; Manno, E.; Piro, G.; Lenucci, M.S. Ride to cell wall: Arabidopsis XTH11, XTH29 and XTH33 exhibit different secretion pathways and responses to heat and drought stress. Plant J. 2021, 107, 448–466. [Google Scholar] [CrossRef]
- Song, P.; Zhou, F.; Li, F.; Han, Z.; Wang, L.; Xu, J.; Zhang, B. Superfine pulverisation pretreatment to enhance crystallinity of cellulose from Lycium barbarum L. leaves. Carbohydr. Polym. 2021, 253, 117207. [Google Scholar] [CrossRef]
- Van der Merwe, R.; Tyawana, S.; Van der Merwe, J.; Mwenye, O. Evaluation of drought tolerance indices in vegetable-type soybean. Mol. Soc. Cient Gal. 2018, 18, 19–31. [Google Scholar]
- Pareek, A.; Rathi, D.; Mishra, D.; Chakraborty, S.; Chakraborty, N. Physiological plasticity to high temperature stress in chickpea: Adaptive responses and variable tolerance. Plant Sci. 2019, 289, 110258. [Google Scholar] [CrossRef]
- Zhao, D.; MacKown, C.T.; Starks, P.J.; Kindiger, B.K. Rapid analysis of nonstructural carbohydrate components in grass forage using microplate enzymatic assays. Crop Sci. 2010, 50, 1537–1545. [Google Scholar] [CrossRef]
- Stolle-Smits, T.; Beekhuizen, J.G.; Kok, M.T.C.; Pijnenburg, M.; Recourt, K.; Derksen, J.; Voragen, A.G.J. Changes in cell wall polysaccharides of green bean pods during development. Plant Physiol. 1999, 121, 363–372. [Google Scholar] [CrossRef][Green Version]
- Sluiter, A.; Hames, B.; Ruiz, R.; Scarlata, C.; Sluiter, J.; Templeton, D.; Crocker, D. Determination of Structural Carbohydrates and Lignin in Biomass: Laboratory Analytical Procedure (LAP); Technical Report NREL/TP-510-42618; National Renewable Energy Laboratory: Golden, CO, USA, 2008; pp. 1–15.
- Mafa, M.S.; Malgas, S.; Bhattacharya, A.; Rashamuse, K.; Pletschke, B.I. The effects of alkaline pretreatment on agricultural biomasses (corn cob and sweet sorghum bagasse) and their hydrolysis by a termite-derived enzyme cocktail. Agronomy 2020, 10, 1211. [Google Scholar] [CrossRef]
- VSN International. GenStat®, 19th edition (PC/Windows 7), copyright 2016, VSN International Ltd.: Hemel Hempstead, UK, 2018.










| Cultivar | Crystallinity Index (%) | |
|---|---|---|
| Control (100% WHC) | 30% WHC | |
| AGS354 | 38.7 | 42.0 |
| AGS429 | 42.0 | 36.4 |
| UVE7 | 38.7 | 34.2 |
| UVE8 | 32.7 | 31.4 |
| UVE14 | 32.1 | 42.0 |
| UVE17 | 26.3 | 38.3 |
| 100 SM | Chl-a | Chl-b | CRDs | Fv/Fm | GLU | PIabs | PItotal | ASL | Starch | gs | SUC | TP/P | TSM/P | TS/P | TP | TRE | |
| 100 SM | - | ||||||||||||||||
| Chl-a | 0.119 | - | |||||||||||||||
| Chl-b | −0.094 | −0.492 * | - | ||||||||||||||
| CRDs | 0.146 | 0.503 * | 0.025 | - | |||||||||||||
| Fv/Fm | 0.201 | −0.366 | 0.254 | −0.001 | - | ||||||||||||
| GLU | 0.014 | −0.029 | −0.002 | −0.045 | 0.027 | - | |||||||||||
| PIabs | 0.143 | −0.170 | 0.202 | 0.494 * | 0.684 ** | 0.002 | |||||||||||
| PItotal | 0.167 | −0.014 | 0.058 | 0.480 * | 0.282 | −0.000 | 0.810 ** | - | |||||||||
| ASL | −0.458 | 0.075 | −0.083 | −0.131 | −0.090 | 0.422 | −0.170 | −0.253 | - | ||||||||
| Starch | 0.270 | 0.484 * | −0.359 | 0.185 | −0.248 | −0.347 | −0.087 | 0.064 | −0.323 | - | |||||||
| gs | 0.266 | −0.176 | −0.040 | −0.070 | −0.467 | 0.161 | −0.234 | 0.137 | −0.297 | 0.183 | - | ||||||
| SUC | −0.265 | −0.189 | 0.208 | −0.253 | −0.262 | −0.097 | −0.394 | −0.105 | 0.0913 | −0.085 | 0.225 | - | |||||
| TPP | −0.137 | −0.131 | −0.174 | −0.354 | −0.042 | −0.193 | −0.165 | −0.145 | 0.318 | −0.313 | −0.317 | 0.027 | |||||
| TSMP | −0.114 | −0.490 * | 0.199 | −0.427 | 0.163 | −0.060 | −0.109 | −0.240 | −0.008 | 0.62 ** | 0.026 | 0.201 | 0.266 | - | |||
| TSP | 0.129 | −0.095 | 0.183 | −0.308 | 0.050 | −0.227 | −0.187 | −0.232 | −0.059 | −0.014 | 0.121 | 0.186 | 0.036 | 0.553 * | - | ||
| TP | −0.448 | 0.114 | 0.152 | 0.162 | −0.021 | 0.010 | 0.147 | 0.136 | −0.137 | −0.103 | −0.289 | −0.118 | −0.075 | 0.0311 | −0.22 | - | |
| TRE | −0.390 | 0.208 | −0.280 | −0.434 | −0.332 | 0.186 | −0.628 ** | −0.391 | 0.121 | 0.054 | 0.079 | 0.503 | −0.112 | 0.060 | 0.017 | 0.19 | - |
| 100 SM | Chl-a | Chl-b | CRDs | Fv/Fm | GLU | PIabs | PItotal | ASL | Starch | gs | SUC | TP/P | TSM/P | TS/P | TP | TRE | |
| 100 SM | - | ||||||||||||||||
| Chl-a | −0.513 * | - | |||||||||||||||
| Chl-b | 0.259 | −0.389 | - | ||||||||||||||
| CRDs | −0.424 | 0.87 ** | 0.010 | - | |||||||||||||
| Fv/Fm | −0.040 | −0.236 | 0.125 | −0.2014 | - | ||||||||||||
| GLU | −0.308 | 0.225 | −0.079 | 0.204 | −0.162 | - | |||||||||||
| PIabs | 0.234 | −0.465 | 0.108 | −0.386 | 0.874 ** | −0.401 | - | ||||||||||
| PItotal | 0.244 | −0.012 | −0.156 | −0.163 | 0.098 | −0.383 | 0.210 | - | |||||||||
| ASL | −0.458 | −0.021 | 0.105 | 0.0566 | −0.252 | 0.487 * | −0.366 | −0.232 | - | ||||||||
| Starch | 0.360 | −0.415 | 0.442 | −0.311 | 0.159 | −0.139 | 0.231 | 0.206 | −0.176 | - | |||||||
| gs | 0.370 | 0.118 | −0.100 | 0.068 | 0.237 | 0.278 | 0.124 | 0.038 | −0.298 | 0.174 | - | ||||||
| SUC | 0.064 | −0.027 | −0.057 | −0.012 | 0.035 | −0.410 | 0.171 | 0.407 | −0.281 | 0.082 | −0.325 | - | |||||
| TP/P | −0.137 | −0.315 | 0.035 | −0.431 | 0.196 | 0.413 | 0.079 | −0.186 | 0.318 | 0.060 | 0.045 | −0.098 | - | ||||
| TSM/P | −0.114 | −0.080 | −0.234 | −0.219 | 0.056 | 0.155 | 0.049 | −0.047 | −0.008 | 0.219 | 0.085 | −0.407 | 0.266 | - | |||
| TS/P | 0.129 | −0.220 | −0.295 | −0.304 | 0.146 | −0.029 | 0.212 | 0.253 | −0.059 | 0.322 | 0.270 | 0.110 | 0.036 | 0.553 * | - | ||
| TP | −0.447 | 0.588 * | −0.149 | 0.459 | 0.199 | −0.003 | 0.026 | −0.126 | −0.137 | −0.133 | −0.091 | −0.035 | −0.075 | 0.031 | −0.22 | - | |
| TRE | 0.057 | −0.449 | 0.173 | −0.391 | 0.146 | −0.252 | 0.243 | 0.080 | 0.167 | 0.402 | −0.116 | −0.367 | −0.166 | 0.450 | 0.286 | −0.327 | - |
Publisher’s Note: MDPI stays neutral with regard to jurisdictional claims in published maps and institutional affiliations. |
© 2022 by the authors. Licensee MDPI, Basel, Switzerland. This article is an open access article distributed under the terms and conditions of the Creative Commons Attribution (CC BY) license (https://creativecommons.org/licenses/by/4.0/).
Share and Cite
Hlahla, J.M.; Mafa, M.S.; van der Merwe, R.; Alexander, O.; Duvenhage, M.-M.; Kemp, G.; Moloi, M.J. The Photosynthetic Efficiency and Carbohydrates Responses of Six Edamame (Glycine max. L. Merrill) Cultivars under Drought Stress. Plants 2022, 11, 394. https://doi.org/10.3390/plants11030394
Hlahla JM, Mafa MS, van der Merwe R, Alexander O, Duvenhage M-M, Kemp G, Moloi MJ. The Photosynthetic Efficiency and Carbohydrates Responses of Six Edamame (Glycine max. L. Merrill) Cultivars under Drought Stress. Plants. 2022; 11(3):394. https://doi.org/10.3390/plants11030394
Chicago/Turabian StyleHlahla, Jeremiah M., Mpho S. Mafa, Rouxléne van der Merwe, Orbett Alexander, Mart-Mari Duvenhage, Gabre Kemp, and Makoena J. Moloi. 2022. "The Photosynthetic Efficiency and Carbohydrates Responses of Six Edamame (Glycine max. L. Merrill) Cultivars under Drought Stress" Plants 11, no. 3: 394. https://doi.org/10.3390/plants11030394
APA StyleHlahla, J. M., Mafa, M. S., van der Merwe, R., Alexander, O., Duvenhage, M.-M., Kemp, G., & Moloi, M. J. (2022). The Photosynthetic Efficiency and Carbohydrates Responses of Six Edamame (Glycine max. L. Merrill) Cultivars under Drought Stress. Plants, 11(3), 394. https://doi.org/10.3390/plants11030394

