Effect of Exogenous Application of Nicotinic Acid on Morpho-Physiological Characteristics of Hordeum vulgare L. under Water Stress
Abstract
1. Introduction
2. Materials and Methods
2.1. Experimental Site
2.2. Experimental Details
2.3. Morphological Parameters and Root Plasticity
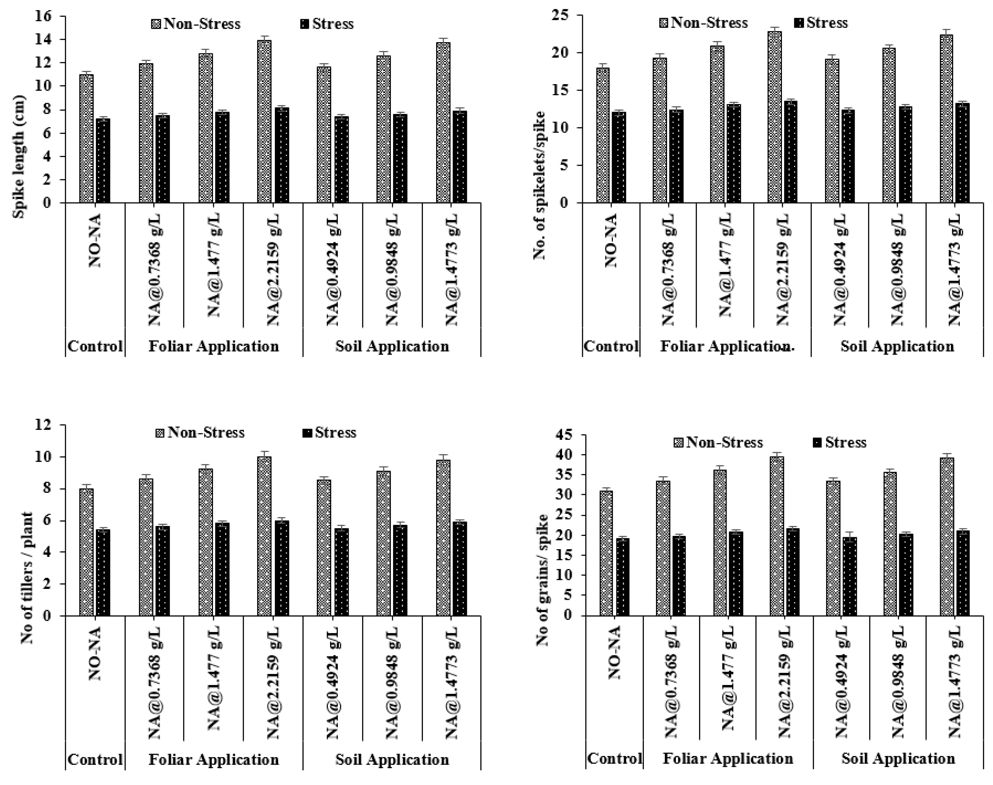
2.4. Yield Parameters
2.5. Physiological Parameters
2.6. Statistical Analysis
3. Results
3.1. Plant Morphological Attributes
3.1.1. Plant Height (PH) and Root Length (RL)
3.1.2. Root Fresh and Dry Biomass
3.1.3. Shoot Fresh and Dry Biomass
3.1.4. Spikes Count and Spike Length
3.1.5. Number of Tillers and Grains Per Plant
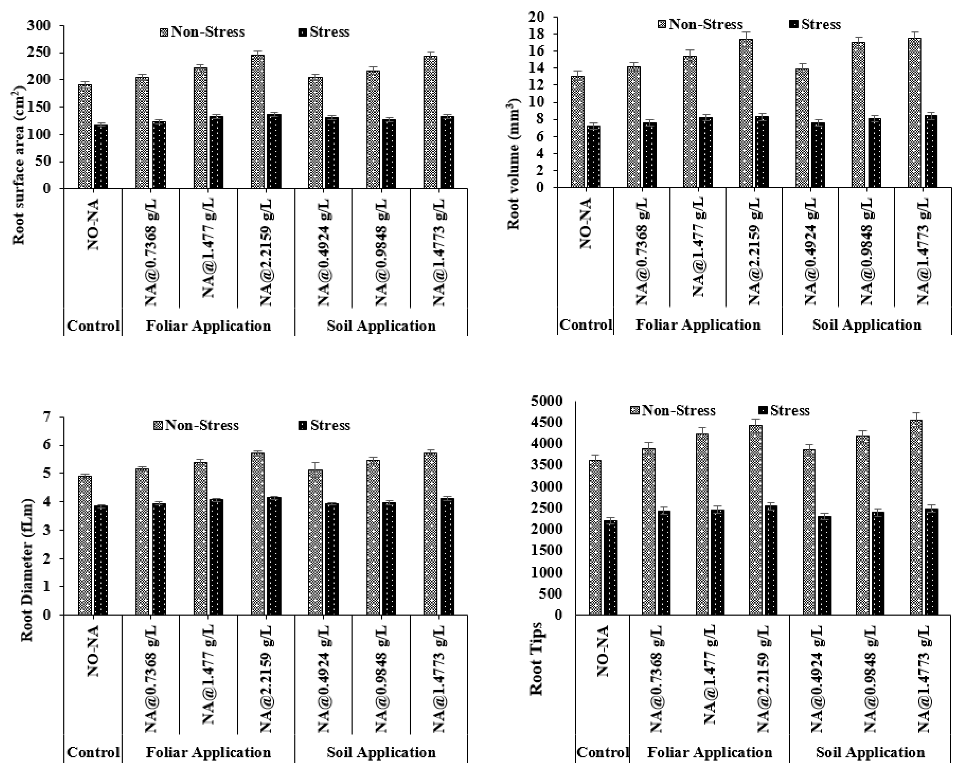
3.2. Root Plasticity
3.2.1. Root Surface Area and Root Volume
3.2.2. Root Diameter and Root Tips
3.3. Plant Leaf Dynamics
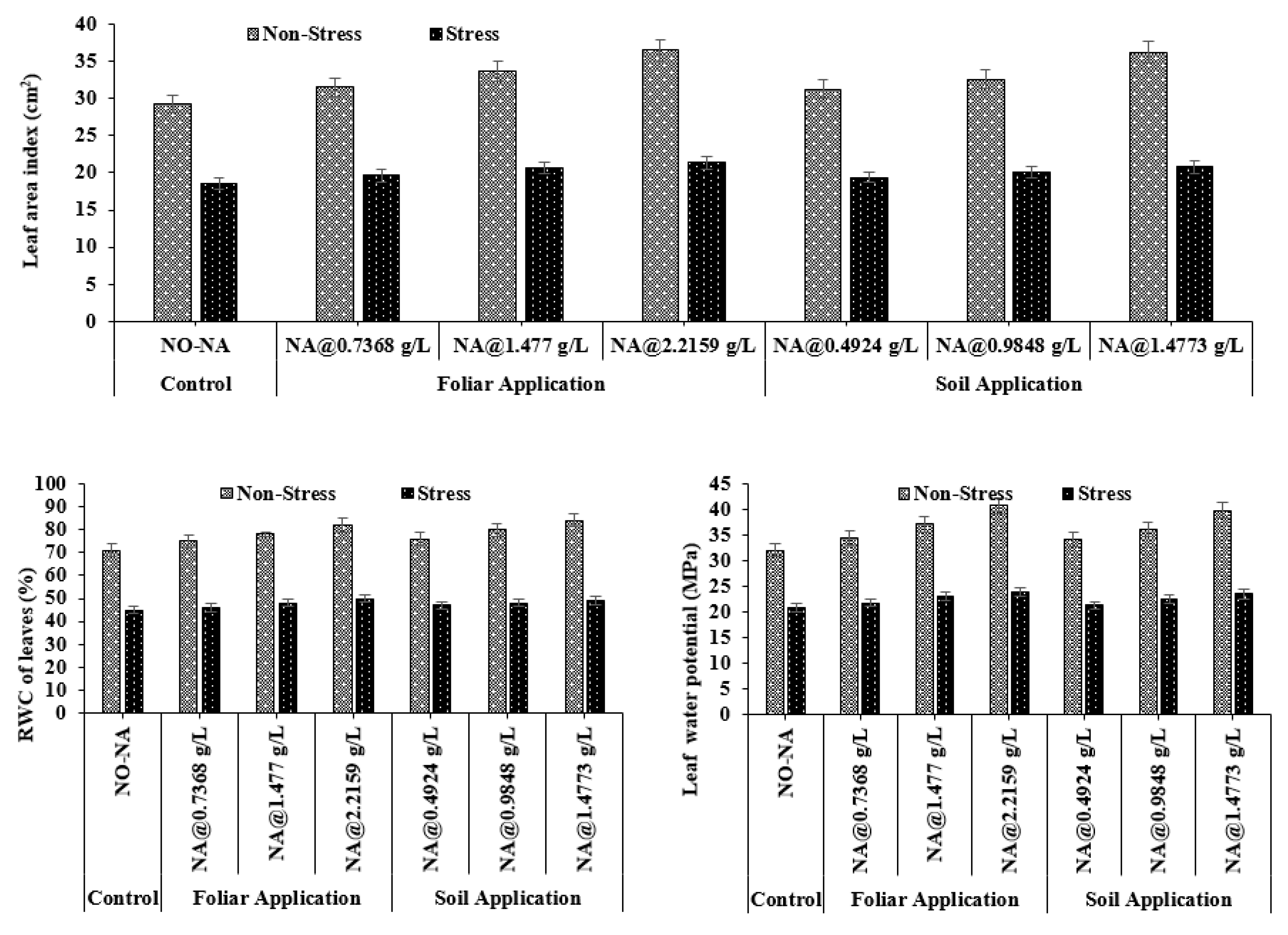
3.3.1. Leaf Area Index (LAI)
3.3.2. Relative Water Content (RWC) and Leaf Water Potential
3.4. Plant Enzymatic Responses
3.5. Soil Plant Analysis Development (SPAD)
3.6. Yield Parameters
3.6.1. 1000-Grain’s Weight (g)
3.6.2. Grain Yield
3.6.3. Harvest Index
4. Discussion and Conclusions
Author Contributions
Funding
Institutional Review Board Statement
Informed Consent Statement
Data Availability Statement
Conflicts of Interest
References
- Hussain, M.I.; Khan, Z.I.; Farooq, T.H.; Al Farraj, D.A.; Elshikh, M.S. Comparative Plasticity Responses of Stable Isotopes of Carbon (δ13C) and Nitrogen (δ15N), Ion Homeostasis and Yield Attributes in Barley Exposed to Saline Environment. Plants 2022, 11, 1516. [Google Scholar] [CrossRef] [PubMed]
- Cantero-Martınez, C.; Angas, P.; Lampurlanés, J. Growth, yield and water productivity of barley (Hordeum vulgare L.) affected by tillage and N fertilization in Mediterranean semiarid, rainfed conditions of Spain. Field Crop Res. 2003, 84, 341–357. [Google Scholar] [CrossRef]
- Farooq, M.; Basra, S.M.A.; Wahid, A.; Rehman, H. Exogenously applied nitric oxide enhances the drought tolerance in fine grain aromatic rice (Oryza sativa L.). J. Agron. Crop Sci. 2009, 195, 254–261. [Google Scholar] [CrossRef]
- Dreisigacker, S.; Burgueño, J.; Pacheco, A.; Molero, G.; Sukumaran, S.; Rivera-Amado, C.; Reynolds, M.; Griffiths, S. Effect of flowering time-related genes on biomass, harvest index, and grain yield in CIMMYT elite spring bread wheat. Biology 2021, 10, 855. [Google Scholar] [CrossRef] [PubMed]
- Chaves, M.M.; Oliveira, M.M. Mechanisms underlying plant resilience to water deficits: Prospects for water-saving agriculture. J. Exp. Bot. 2004, 55, 2365–2384. [Google Scholar] [CrossRef]
- Chaves, M.M.; Maroco, J.P.; Pereira, J.S. Understanding plant responses to drought—From genes to the whole plant. Funct. Plant Biol. 2003, 30, 239–264. [Google Scholar] [CrossRef]
- Chaves, M.M.; Flexas, J.; Pinheiro, C. Photosynthesis under drought and salt stress: Regulation mechanisms from whole plant to cell. Ann. Bot. 2009, 103, 551–560. [Google Scholar] [CrossRef]
- Cornic, G.; Bukhov, N.G.; Wiese, C.; Bligny, R.; Heber, U. Flexible coupling between light-dependent electron and vectorial proton transport in illuminated leaves of C3 plants. Role of photosystem I-dependent proton pumping. Planta 2000, 210, 468–477. [Google Scholar] [CrossRef]
- Sen, A.; Puthur, J.T. Seed priming-induced physiochemical and molecular events in plants coupled to abiotic stress tolerance: An overview. Priming-Med. Stress Cross-Stress Toler. Crop Plants 2020, 303–316. [Google Scholar] [CrossRef]
- Sabagh, A.E.L.; Hossain, A.; Islam, M.S.; Barutcular, C.; Hussain, S.; Hasanuzzaman, M.; Akram, T.; Mubeen, M.; Nasim, W.; Fahad, S. Drought and salinity stresses in barley: Consequences and mitigation strategies. Aust. J. Crop Sci. 2019, 13, 810–820. [Google Scholar] [CrossRef]
- Ahmad, I.; Jabeen, B.; Nawaz, M.F.; Asif, M.; Rashid, M.H.U.; Hussain, M.; Farooq, T.H.; Ahmed, S.; Rafiq, M. Influence of salinity on the morphological behavior and ionic response of different commercially important bamboo species. Fresenius Environ. Bull. 2022, 31, 668–676. [Google Scholar]
- Javed, S.A.; Arif, M.S.; Shahzad, S.M.; Ashraf, M.; Kausar, R.; Farooq, T.H.; Hussain, M.I.; Shakoor, A. Can different salt formulations revert the depressing effect of salinity on maize by modulating plant biochemical attributes and activating stress regulators through improved N Supply? Sustainability 2021, 13, 8022. [Google Scholar] [CrossRef]
- Arooj, S.; Arfan, M.; Masood, A.; Abid, A.; Fatima, T.; Khalid, N.; Tazeen, S.K.; Akbar, K.F.; Naseer, I.; Fayyaz, A. Assessment of salicylic acid in morpho-physiological attributes of maize (Zea mays) subjected to nickel stress. Feb-Fresenius Environ. Bull. 2018, 27, 6519. [Google Scholar]
- Rashid, M.H.U.; Farooq, T.H.; Iqbal, W.; Asif, M.; Islam, W.; Lin, D.C.; Ahmad, I.; Wu, P.F. Role of indole acetic acid on growth and biomass production of athel tree (Tamarix aphylla) by using different cutting lengths. Appl. Ecol. Environ. Res. 2020, 18, 3805–3816. [Google Scholar] [CrossRef]
- Xiao, Y.; Li, Y.; Shi, Y.; Li, Z.; Zhang, X.; Liu, T.; Farooq, T.H.; Pan, Y.; Chen, X.; Yan, W. Combined toxicity of zinc oxide nanoparticles and cadmium inducing root damage in Phytolacca americana L. Sci. Total Environ. 2022, 806, 151211. [Google Scholar] [CrossRef]
- Nawaz, M.F.; Rashid, M.H.U.; Arif, M.Z.; Sabir, M.A.; Farooq, T.H.; Gul, S.; Gautam, N.P. Ecophysiological response of Eucalyptus camaldulensis to dust and lead pollution. N. Z. J. For. Sci. 2021, 51. [Google Scholar] [CrossRef]
- Yousaf, M.S.; Farooq, T.H.; Ahmad, I.; Gilani, M.M.; Rashid, M.H.; Gautam, N.P.; Islam, W.; Asif, M.; Wu, P. Effect of drought stress on the growth and morphological traits of Eucalyptus camaldulensis and Eucalyptus citriodora. PSM Biol. Res. 2018, 3, 85–91. [Google Scholar]
- Farooq, T.H.; Rafy, M.; Basit, H.; Shakoor, A.; Shabbir, R.; Riaz, M.U.; Ali, B.; Kumar, U.; Qureshi, K.A.; Jaremko, M. Morpho-Physiological Growth Performance and Phytoremediation Capabilities of Selected Xerophyte Grass Species Towards Cr and Pb Stress. Front. Plant Sci. 2022, 13, 997120. [Google Scholar] [CrossRef]
- Panikar, S.; Nanthini, A.U.R.; Umapathy, V.R.; SumathiJones, C.; Mukherjee, A.; Prakash, P.; Farooq, T.H. Morphological, chemoprofile and soil analysis comparison of Corymbia citriodora (Hook.) KD Hill and LAS Johnson along with the green synthesis of iron oxide nanoparticles. J. King Saud Univ. 2022, 34, 102081. [Google Scholar] [CrossRef]
- Gilani, M.M.; Tigabu, M.; Liu, B.; Farooq, T.H.; Rashid, M.H.U.; Ramzan, M.; Ma, X. Seed germination and seedling emergence of four tree species of southern China in response to acid rain. J. For. Res. 2020, 32, 471–481. [Google Scholar] [CrossRef]
- Campos, P.S.; Ramalho, J.C.; Lauriano, J.A.; Silva, M.J.; do Ceu Matos, M. Effects of drought on photosynthetic performance and water relations of four Vigna genotypes. Photosynthetica 1999, 36, 79–87. [Google Scholar] [CrossRef]
- Fahad, S.; Bajwa, A.A.; Nazir, U.; Anjum, S.A.; Farooq, A.; Zohaib, A.; Sadia, S.; Nasim, W.; Adkins, S.; Saud, S. Crop production under drought and heat stress: Plant responses and management options. Front. Plant Sci. 2017, 1147. [Google Scholar] [CrossRef] [PubMed]
- Teulat, B.; Zoumarou-Wallis, N.; Rotter, B.; Ben Salem, M.; Bahri, H.; This, D. QTL for relative water content in field-grown barley and their stability across Mediterranean environments. Theor. Appl. Genet. 2003, 108, 181–188. [Google Scholar] [CrossRef] [PubMed]
- Dixit, V.; Pandey, V.; Shyam, R. Differential antioxidative responses to cadmium in roots and leaves of pea (Pisum sativum L. cv. Azad). J. Exp. Bot. 2001, 52, 1101–1109. [Google Scholar] [CrossRef]
- Weydert, C.J.; Cullen, J.J. Measurement of superoxide dismutase, catalase and glutathione peroxidase in cultured cells and tissue. Nat. Protoc. 2010, 5, 51–66. [Google Scholar] [CrossRef]
- Beyer, W.F., Jr.; Fridovich, I. Assaying for superoxide dismutase activity: Some large consequences of minor changes in conditions. Anal. Biochem. 1987, 161, 559–566. [Google Scholar] [CrossRef]
- Majumdar, S.; Ghosh, S.; Glick, B.R.; Dumbroff, E.B. Activities of chlorophyllase, phosphoenolpyruvate carboxylase and ribulose-1, 5-bisphosphate carboxylase in the primary leaves of soybean during senescence and drought. Physiol. Plant. 1991, 81, 473–480. [Google Scholar] [CrossRef]
- Grene, R. Oxidative stress and acclimation mechanisms in plants. Arab. Book Am. Soc. Plant Biol. 2002, 1, e0036. [Google Scholar] [CrossRef]
- Mattioli, R.; Marchese, D.; D’Angeli, S.; Altamura, M.M.; Costantino, P.; Trovato, M. Modulation of intracellular proline levels affects flowering time and inflorescence architecture in Arabidopsis. Plant Mol. Biol. 2008, 66, 277–288. [Google Scholar] [CrossRef]
- Zhang, J.; Zhang, S.; Cheng, M.; Jiang, H.; Zhang, X.; Peng, C.; Lu, X.; Zhang, M.; Jin, J. Effect of drought on agronomic traits of rice and wheat: A meta-analysis. Int. J. Environ. Res. Public Health 2018, 15, 839. [Google Scholar] [CrossRef]
- Wiegmann, M.; Maurer, A.; Pham, A.; March, T.J.; Al-Abdallat, A.; Thomas, W.T.B.; Bull, H.J.; Shahid, M.; Eglinton, J.; Baum, M. Barley yield formation under abiotic stress depends on the interplay between flowering time genes and environmental cues. Sci. Rep. 2019, 9, 6397. [Google Scholar] [CrossRef] [PubMed]
- Merah, O. Potential importance of water status traits for durum wheat improvement under Mediterranean conditions. J. Agric. Sci. 2001, 137, 139–145. [Google Scholar] [CrossRef]
- Fateh, H.; Siosemardeh, A.; Karimpoor, M.; Sharafi, S. Effect of drought stress on photosynthesis and physiological characteristics of barley. Int. J. Farm. Allied Sci. 2012, 1, 33–42. [Google Scholar]
- Morison, J.I.L.; Baker, N.R.; Mullineaux, P.M.; Davies, W.J. Improving water use in crop production. Philos. Trans. R. Soc. B Biol. Sci. 2008, 363, 639–658. [Google Scholar] [CrossRef]
- Khan, M.A.; Ashraf, M.Y.; Mujtaba, S.M.; Shirazi, M.U.; Khan, M.A.; Shereen, A.; Mumtaz, S.; Siddiqui, M.A.; Kaleri, G.M. Evaluation of high yielding canola type Brassica genotypes/mutants for drought tolerance using physiological indices as screening tool. Pak. J. Bot. 2010, 42, 3807–3816. [Google Scholar]
- Parida, A.K.; Dagaonkar, V.S.; Phalak, M.S.; Umalkar, G.V.; Aurangabadkar, L.P. Alterations in photosynthetic pigments, protein and osmotic components in cotton genotypes subjected to short-term drought stress followed by recovery. Plant Biotechnol. Rep. 2007, 1, 37–48. [Google Scholar] [CrossRef]
- Nawaz, F.; Ahmad, R.; Waraich, E.A.; Naeem, M.S.; Shabbir, R.N. Nutrient uptake, physiological responses, and yield attributes of wheat (Triticum aestivum L.) exposed to early and late drought stress. J. Plant Nutr. 2012, 35, 961–974. [Google Scholar] [CrossRef]
- Osmolovskaya, N.; Shumilina, J.; Kim, A.; Didio, A.; Grishina, T.; Bilova, T.; Keltsieva, O.A.; Zhukov, V.; Tikhonovich, I.; Tarakhovskaya, E. Methodology of drought stress research: Experimental setup and physiological characterization. Int. J. Mol. Sci. 2018, 19, 4089. [Google Scholar] [CrossRef]
- Pastori, G.M.; Mullineaux, P.M.; Foyer, C.H. Post-transcriptional regulation prevents accumulation of glutathione reductase protein and activity in the bundle sheath cells of maize. Plant Physiol. 2000, 122, 667–676. [Google Scholar] [CrossRef][Green Version]
- Price, J.; Laxmi, A.; St. Martin, S.K.; Jang, J.-C. Global transcription profiling reveals multiple sugar signal transduction mechanisms in Arabidopsis. Plant Cell 2004, 16, 2128–2150. [Google Scholar] [CrossRef]
- Rathke, G.-W.; Behrens, T.; Diepenbrock, W. Integrated nitrogen management strategies to improve seed yield, oil content and nitrogen efficiency of winter oilseed rape (Brassica napus L.): A review. Agric. Ecosyst. Environ. 2006, 117, 80–108. [Google Scholar] [CrossRef]







| Soil Properties | Range |
|---|---|
| pH | 7.54 |
| Electrical conductivity (EC) | 0.02 |
| Organic matter % | 0.61 |
| EC (electrical conductivity, (dsm−1 at 250 °C) | 3.18 |
| Available phosphorus (ppm) | 8.1 |
| Available potassium (ppm) | 136 |
| Soil color | Reddish brown |
| Texture of soil | Sandy loam |
Publisher’s Note: MDPI stays neutral with regard to jurisdictional claims in published maps and institutional affiliations. |
© 2022 by the authors. Licensee MDPI, Basel, Switzerland. This article is an open access article distributed under the terms and conditions of the Creative Commons Attribution (CC BY) license (https://creativecommons.org/licenses/by/4.0/).
Share and Cite
Farooq, T.H.; Bukhari, M.A.; Irfan, M.S.; Rafay, M.; Shakoor, A.; Rashid, M.H.U.; Lin, Y.; Saqib, M.; Malik, Z.; Khurshid, N. Effect of Exogenous Application of Nicotinic Acid on Morpho-Physiological Characteristics of Hordeum vulgare L. under Water Stress. Plants 2022, 11, 2443. https://doi.org/10.3390/plants11182443
Farooq TH, Bukhari MA, Irfan MS, Rafay M, Shakoor A, Rashid MHU, Lin Y, Saqib M, Malik Z, Khurshid N. Effect of Exogenous Application of Nicotinic Acid on Morpho-Physiological Characteristics of Hordeum vulgare L. under Water Stress. Plants. 2022; 11(18):2443. https://doi.org/10.3390/plants11182443
Chicago/Turabian StyleFarooq, Taimoor Hassan, Muhammad Adnan Bukhari, Muhammad Shahid Irfan, Muhammad Rafay, Awais Shakoor, Muhammad Haroon U. Rashid, Yang Lin, Muhammad Saqib, Zaffar Malik, and Nouman Khurshid. 2022. "Effect of Exogenous Application of Nicotinic Acid on Morpho-Physiological Characteristics of Hordeum vulgare L. under Water Stress" Plants 11, no. 18: 2443. https://doi.org/10.3390/plants11182443
APA StyleFarooq, T. H., Bukhari, M. A., Irfan, M. S., Rafay, M., Shakoor, A., Rashid, M. H. U., Lin, Y., Saqib, M., Malik, Z., & Khurshid, N. (2022). Effect of Exogenous Application of Nicotinic Acid on Morpho-Physiological Characteristics of Hordeum vulgare L. under Water Stress. Plants, 11(18), 2443. https://doi.org/10.3390/plants11182443

