Effects of Nitrogen Deficiency and Resupply on the Absorption of Mineral Nutrients by Tangor Cultivar ‘Shiranuhi’ (Citrus unshiu × C. sinensis) Grown in a Hydroponic System
Abstract
1. Introduction
2. Results and Discussion
2.1. Symptoms of N Deficiency in Leaves of ‘Shiranuhi’
2.2. Effects of N Deficiency and Resupply on Nitrogen and Chlorophyll Contents of Leaves
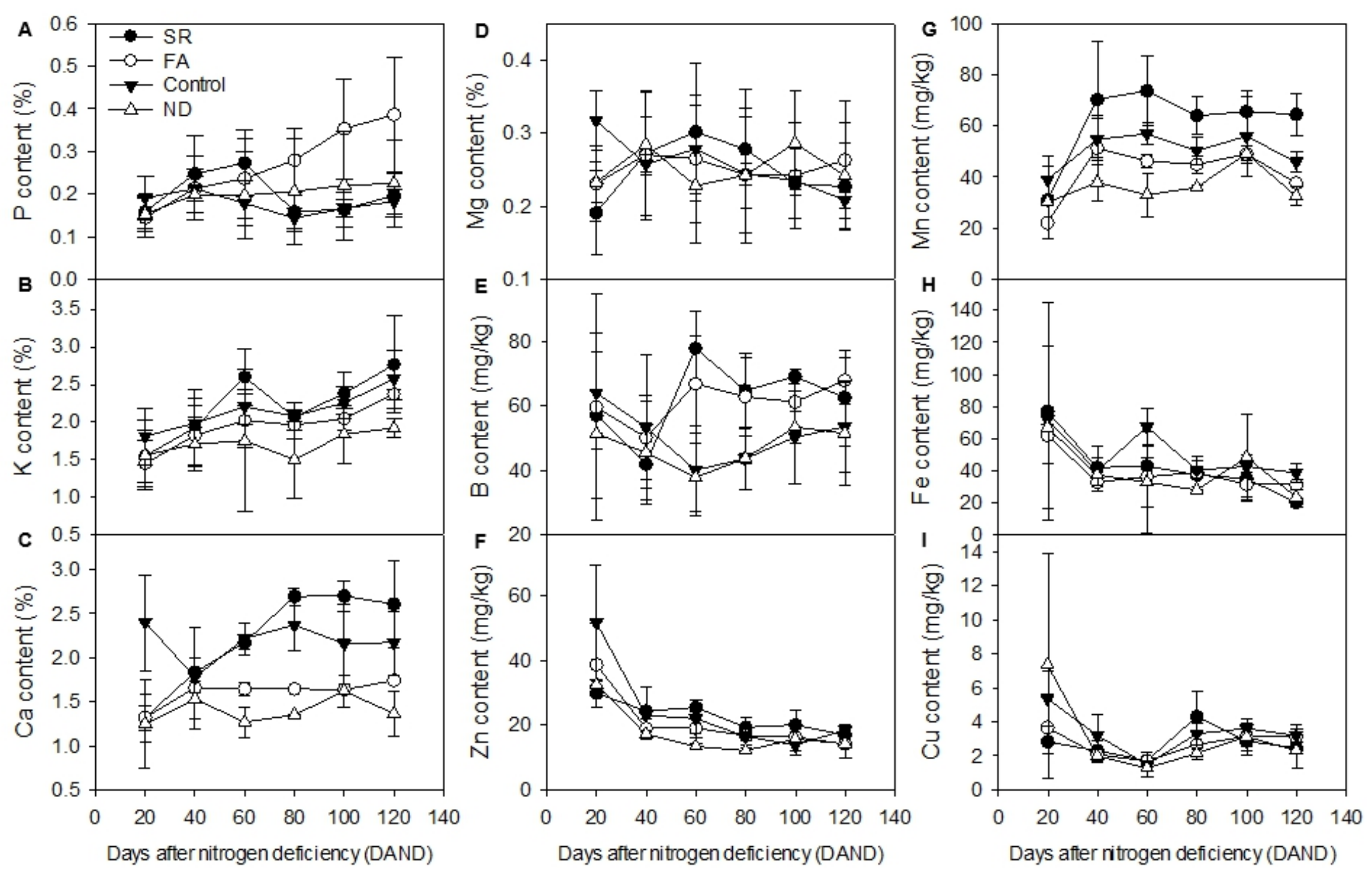
2.3. Effects of N Deficiency and Resupply on the Absorption of Other Mineral Nutrients from Leaves
2.4. Pearson Correlation Analysis
2.5. Principal Component Analysis
3. Materials and Methods
3.1. Plant Materials
3.2. Hydroponics System for Citrus Cultivation
3.2.1. Pots
3.2.2. Nutrient Solution Supply
3.2.3. Nutrient Solution Supply Timer
3.2.4. Nutrient Solution Composition
3.3. Experimental Treatments
3.4. Measurement of Chlorophyll Content
3.5. Leaf Nutrient Content Analysis
3.6. Statistical Analysis
4. Conclusions
Author Contributions
Funding
Data Availability Statement
Conflicts of Interest
References
- Carranca, C.; Brunetto, G.; Tagliavini, M. Nitrogen nutrition of fruit trees to reconcile productivity and environmental concerns. Plants 2018, 7, 4. [Google Scholar] [CrossRef] [PubMed]
- Cheng, X.; Liang, Y.; Zhang, A.; Wang, P.; He, S.; Zhang, K.; Wang, J.; Fang, Y.; Sun, X. Using foliar nitrogen application during veraison to improve the flavor components of grape and wine. J. Sci. Food Agric. 2020, 101, 1288–1300. [Google Scholar] [CrossRef] [PubMed]
- Huang, W.-T.; Xie, Y.-Z.; Chen, X.-F.; Zhang, J.; Chen, H.-H.; Ye, X.; Guo, J.; Yang, L.-T.; Chen, L.-S. Growth, mineral nutrients, photosynthesis and related physiological parameters of Citrus in response to nitrogen deficiency. Agronomy 2021, 11, 1859. [Google Scholar] [CrossRef]
- Quaggio, J.A.; Souza, T.R.; Zambrosi, F.C.; Mattos, D.; Boaretto, R.M.; Silva, G. Citrus fruit yield response to nitrogen and potassium fertilization depends on nutrient-water management system. Sci. Hortic. 2019, 249, 329–333. [Google Scholar] [CrossRef]
- Sugiyama, Y.; Emoto, Y.; Ooshiro, A. Effect of soil amendments and nitrogen fertilizer application on tree and fine root growth and fruit quality of medium-late maturing cultivar citrus ‘Shiranuhi’. Hortic. Res. 2006, 5, 247–253. [Google Scholar] [CrossRef][Green Version]
- Liao, L.; Dong, T.; Qiu, X.; Rong, Y.; Sun, G.; Wang, Z.; Zhu, J. Antioxidant enzyme activity and growth responses of Huangguogan citrus cultivar to nitrogen supplementation. Biosci. Biotechnol. Biochem. 2019, 83, 1924–1936. [Google Scholar] [CrossRef]
- Li, Z.G.; Zhang, R.H.; Xia, S.J.; Wang, L.; Liu, C.; Zhang, R.Q.; Fan, Z.H.; Chen, F.; Liu, Y. Interactions between N, P and K fertilizers affect the environment and the yield and quality of satsumas. Glob. Ecol. Conserv. 2019, 19, e00663. [Google Scholar] [CrossRef]
- Liu, X.-M.; Liu, X.-D.; Liu, W.-D.; Tan, Q.-L.; Hu, X.-X.; Li, J.-X. Nutritional status of different citrus trees and the recommended dosages of N, P and K for Citrus production in China. J. Plant Nutr. Fertil. 2021, 27, 565–574. [Google Scholar]
- Han, S.; Lim, H.; Joa, J.; Moon, K.; Kang, T.; Song, S. Effects of long-term application of N, P, K fertilizers on fruit quality and yield of citrus tree (Citrus unshiu Marc.). Korean J. Hortic. Sci. Technol. 2008, 26, 203–208. (In Korean) [Google Scholar]
- Alva, A.K.; Paramasivam, S. Nitrogen management for high yield and quality of citrus in sandy soils. Soil Sci. Soc. Am. J. 1998, 62, 1335–1342. [Google Scholar] [CrossRef]
- Tachibana, S.; Yahata, S. Optimizing nitrogen fertilizer application for a high density planting of satsuma mandarin. J. Jpn. Soc. Hort. Sci. 1996, 65, 471–477. [Google Scholar] [CrossRef][Green Version]
- Srivastava, A. Nutrient deficiency symptomology in citrus: An effective diagnostic tool or just an aid for post-mortem analysis. Agric. Adv. 2013, 2, 177–194. [Google Scholar]
- Moon, Y.; Kim, C.; Kim, K.; Yun, S.; Park, J.; An, H.; Lee, D.; Moon, D. Effect of rootstock on the tree growth and fruit quality of ‘Shiranuhi’ mandarin hybrid in plastic film house. Korean J. Hortic. Sci. Technol. 2010, 28, 65–69. (In Korean) [Google Scholar]
- Moon, Y.E.; Kang, S.B.; Han, S.G.; Kim, Y.H.; Choi, Y.H.; Koh, S.C.; Oh, S. Effects of elevated spring temperatures on the growth and fruit quality of the mandarin hybrid ‘Shiranuhi’. Hortic. Sci. Technol. 2015, 33, 459–469. (In Korean) [Google Scholar]
- Pestana, M.; David, M.; De Varennes, A.; Abadía, J.; Faria, E.A. Responses of “newhall” orange trees to iron deficiency in hydroponics: Effects on leaf chlorophyll, photosynthetic efficiency, and root ferric chelate reductase activity. J. Plant Nutr. 2001, 24, 1609–1620. [Google Scholar] [CrossRef]
- Mendoza-Castillo, V.M.; Pineda-Pineda, J.; Vargas-Canales, J.M.; Hernández-Arguello, E. Nutrition of fig (Ficus carica L.) under hydroponics and greenhouse conditions. J. Plant Nutr. 2019, 42, 1350–1365. [Google Scholar] [CrossRef]
- Marques, D.; Siqueira, J.; Bianchini, H.; Alves, V. Production of passion fruit in a semi-hydroponic system under protected cultivation. Rev. Bras. Frutic. 2019, 41, 5. [Google Scholar] [CrossRef]
- Ferrarezi, R.; Nogueira, T.; Jani, A.; Wright, A.; Ritenour, M.; Burton, R. Grapefruit production in open hydroponics system. Horticulturae 2020, 6, 50. [Google Scholar] [CrossRef]
- Corrêa, R.M.; Pinto, S.I.C.; Reis, É.S.; Carvalho, V.A.M. Hydroponic production of fruit tree seedlings in Brazil. In Hydroponics; Asao, T., Ed.; IntechOpen: London, UK, 2012; pp. 225–244. [Google Scholar]
- Khan, S.; Purohit, A.; Vadsaria, N. Hydroponics: Current and future state of the art in farming. J. Plant Nutr. 2020, 44, 1515–1538. [Google Scholar] [CrossRef]
- Failvene, S.G.; Navarro, J.M.; Connolly, K. Open hydroponics of citrus compared to conventional drip irrigation best practice: First three years of trialling and Australian experience. Acta Hortic. 2015, 1065, 1705–1712. [Google Scholar] [CrossRef]
- Fussy, A.; Papenbrock, J. An overview of soil and soilless cultivation techniques-chances, challenges and the neglected question of sustainability. Plants 2022, 11, 1153. [Google Scholar] [CrossRef] [PubMed]
- Rubio-Asensio, J.S.; Parra, M.; Intrigliolo, D.S. Fruit crops. Open field hydroponics in fruit crops: Developments and challenges. In Diagnosis and Management of Nutrient Constraints; Chapter 30; Srivastava, A.K., Hu, C., Eds.; Elsevier: New York, NY, USA, 2020; pp. 419–430. [Google Scholar]
- Velazquez-Gonzalez, R.S.; Garcia-Garcia, A.L.; Ventura-Zapata, E.; Barceinas-Sanchez, J.D.O.; Sosa-Savedra, J.C. A review on hydroponics and the technologies associated for medium- and small-scale operations. Agriculture 2022, 12, 646. [Google Scholar] [CrossRef]
- Sato, S.; Sakaguchi, S.; Furukawa, H.; Ikeda, H. Effects of NaCl application to hydroponic nutrient solution on fruit characteristics of tomato. Sci. Hortic. 2006, 109, 248–253. [Google Scholar] [CrossRef]
- Futch, S.H.; Tucker, D.P.H. A Guide to Citrus Nutritional Deficiency and Toxicity Identification; Institute of Food and Agricultural Sciences, University of Florida: Gainesville, FL, USA, 2001. [Google Scholar]
- Park, W.P.; Heo, S. Machine learning for nitrogen content estimating using SPAD data in Shiranuhi (Citrus unshiu × C. sinensis). J. Agri. Life Environ. Sci. 2022, 34, 88–94. (In Korean) [Google Scholar]
- Park, W.P.; Heo, S. Development of machine learnng models classifying nitrogen deficiency based on leaf chemical properties in Shiranuhi (Citrus unshiu × C. sinensis). Korean J. Plant Res. 2022, 35, 192–200. (In Korean) [Google Scholar]
- NIAST. Methods of Soil and Plant Analysis; National Institute of Agricultural Science and Technology, Rural Development Administration: Suwon, Korea, 2000. (In Korean)








| Macronutrients | Concentration (mg L−1) | Micronutrients | Concentration (mg L−1) |
|---|---|---|---|
| NH4-N | 18.0 or 0 1 | Fe | 1.08 |
| NO3-N | 91.0 or 0 | B | 0.26 |
| PO4-P | 20.8 | Mn | 0.23 |
| K | 89.2 | Zn | 0.25 |
| Ca | 72.3 | Cu | 0.025 |
| Mg | 17.8 | Mo | 0.006 |
| SO4-S | 23.6 |
| Nutrient Source | Concentration (mg L−1) | Nutrient Solution | |
|---|---|---|---|
| Standard | N Deficiency | ||
| KNO3 | 162.8 | + | − |
| 5(Ca(NO3)2·H2O)·NH4NO3 | 390 | + | − |
| MgSO4·7H2O | 180 | + | + |
| KH2PO4 | 91.2 | + | + |
| NH4NO3 | 73.6 | + | − |
| CaCl2·2H2O | 264.6 | − | + |
| KCl | 120 | − | + |
| Fe-EDTA | 8 | + | + |
| H3BO3 | 1.5 | + | + |
| MnSO4·H2O | 0.7 | + | + |
| ZnSO4·7H2O | 0.88 | + | + |
| CuSO4·5H2O | 0.1 | + | + |
| Na2MoO4·2H2O | 0.015 | + | + |
Publisher’s Note: MDPI stays neutral with regard to jurisdictional claims in published maps and institutional affiliations. |
© 2022 by the authors. Licensee MDPI, Basel, Switzerland. This article is an open access article distributed under the terms and conditions of the Creative Commons Attribution (CC BY) license (https://creativecommons.org/licenses/by/4.0/).
Share and Cite
Heo, S.; Park, W.-P. Effects of Nitrogen Deficiency and Resupply on the Absorption of Mineral Nutrients by Tangor Cultivar ‘Shiranuhi’ (Citrus unshiu × C. sinensis) Grown in a Hydroponic System. Plants 2022, 11, 2351. https://doi.org/10.3390/plants11182351
Heo S, Park W-P. Effects of Nitrogen Deficiency and Resupply on the Absorption of Mineral Nutrients by Tangor Cultivar ‘Shiranuhi’ (Citrus unshiu × C. sinensis) Grown in a Hydroponic System. Plants. 2022; 11(18):2351. https://doi.org/10.3390/plants11182351
Chicago/Turabian StyleHeo, Seong, and Won-Pyo Park. 2022. "Effects of Nitrogen Deficiency and Resupply on the Absorption of Mineral Nutrients by Tangor Cultivar ‘Shiranuhi’ (Citrus unshiu × C. sinensis) Grown in a Hydroponic System" Plants 11, no. 18: 2351. https://doi.org/10.3390/plants11182351
APA StyleHeo, S., & Park, W.-P. (2022). Effects of Nitrogen Deficiency and Resupply on the Absorption of Mineral Nutrients by Tangor Cultivar ‘Shiranuhi’ (Citrus unshiu × C. sinensis) Grown in a Hydroponic System. Plants, 11(18), 2351. https://doi.org/10.3390/plants11182351

