Sulfur Nutrition Affects Garlic Bulb Yield and Allicin Concentration
Abstract
:1. Introduction
2. Results
2.1. Effect of Sulfur Application Rates on Garlic Bulb Weight
2.2. Effect of Sulfur Application Rate on S Uptake
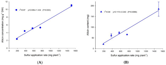
2.3. Effect of Sulfur Application Rates on Allicin Concentration and Allicin Content of Garlic Bulbs
3. Discussion
3.1. Effect of Sulfur Application Rate on Garlic Bulb Weight
3.2. Effect of Sulfur Application Rate on S Uptake of Garlic
3.3. Effect of Sulfur Application Rate on Allicin Concentration and Content in Garlic Bulbs
4. Materials and Methods
4.1. Field Evaluation of Sulfur Application Rate on Garlic Yield and Allicin
4.1.1. Trial Set-Up
4.1.2. Treatments
4.1.3. Plant Sample Collection
4.2. Solution Culture Establishment
4.2.1. Trial Set-Up
4.2.2. Treatments
4.2.3. Plant Sample Collection
4.3. Statistical Analysis
5. Conclusions
Supplementary Materials
Author Contributions
Funding
Data Availability Statement
Conflicts of Interest
References
- Sterling, S.J.; Eagling, D.R. Agronomics and allicin yield of Australian grown garlic (Allium sativum L.). Acta Hortic. 2001, 555, 63–73. [Google Scholar] [CrossRef]
- Randle, W.M.; Lancaster, J.E. Sulphur compounds in alliums in relation to flavour quality. In Allium Crop Science: Recent Advances; CABI Publishing: Wallingford, UK, 2002. [Google Scholar]
- Fujisawa, H.; Suma, K.; Origuchi, K.; Kumagai, H.; Seki, T.; Ariga, T. Biological and chemical stability of garlic-derived allicin. J. Agric. Food Chem. 2008, 56, 4229–4235. [Google Scholar] [CrossRef] [PubMed]
- Takasu, J.; Uykimpang, R.; Sunga, M.; Amagase, H.; Niihara, Y. Aged garlic extract Is a potential therapy for sickle-cell anemia. J. Nutr. 2006, 136, 803S–805S. [Google Scholar] [CrossRef] [PubMed]
- Suong, N.T.N.; Desmond, B.W.; Lynne, C.; Richard, J.H. Does garlic reduce risk of colorectal cancer? A systematic review. J. Nutr. Dis. 2007, 137, 2264–2269. [Google Scholar]
- Stoll, A.; Seebeck, E. Chemical investigations on alliin, the specific principle of garlic. Adv. Enzymol. Relat. Subj. Biochem. 1951, 11, 377–400. [Google Scholar] [PubMed]
- Nguyen, B. Evaluation of environmental, genotypic and nutrient factors affecting yield and quality of garlic. PhD Thesis, The University of Queensland, St Lucia, QLD, Australia, 2022. [Google Scholar]
- Reuter, D.; Robinson, J.B. Plant Analysis: An Interpretation Manual, 2nd ed.; CSIRO Publishing: Melbourne, Australia, 1997. [Google Scholar]
- Randall, P.J.; Spencer, K.; Freney, J.R. Sulfur and nitrogen fertilizer effects on wheat. I. Concentrations of sulfur and nitrogen and the nitrogen to sulfur ratio in grain, in relation to the yield response. Aust. J. Agric. Res. 1981, 32, 203–212. [Google Scholar] [CrossRef]
- Marschner, P. Marschner’s Mineral Nutrition of Higher Plants, 3rd ed.; Academic Press: San Diego, CA, USA, 2011. [Google Scholar]
- Huchette, O.; Arnault, I.; Auger, J.; Bellamy, C.; Trueman, L.; Thomas, B.; Ochatt, S.J.; Kahane, R. Genotype, nitrogen fertility and sulphur availability interact to affect flavour in garlic (Allium sativum L.). J. Hortic. Sci. Biotechnol. 2007, 82, 79–88. [Google Scholar] [CrossRef]
- Losak, T.; Wisniowska-Kielian, B. Fertilization of garlic (Allium sativum L.) with nitrogen and sulphur. Ann. Univ. 2009, 61, 45–50. [Google Scholar]
- Bloem, E.; Haneklaus, S.; Schnug, E. Storage life of field-grown garlic bulbs (Allium sativum L.) as influenced by nitrogen and sulfur fertilization. J. Agric. Food Chem. 2011, 59, 4442–4447. [Google Scholar] [CrossRef] [PubMed]
- Arunachalam, T.; Gorrepati, K.; Ghodke, P.H.; Tp, S.A.; Jadhav, M.; Banerjee, K.; Singh, M. Effects of sulfur fertilization on yield, biochemical quality, and thiosulfinate content of garlic. Sci. Hortic. 2021, 289, 110442. [Google Scholar]
- Bloem, E.; Haneklaus, S.; Schnug, E. Influence of fertilizer practices on S-containing metabolites in garlic (Allium sativum L.) under field conditions. J. Agric. Food Chem. 2010, 58, 10690–10696. [Google Scholar] [CrossRef] [PubMed]
- Gonzalez, R.E.; Soto, V.C.; Sance, M.M.; Camargo, A.B.; Galmarini, C.R. Variability of solids, organosulfur compounds, pungency and health-enhancing traits in garlic (Allium sativum L.) cultivars belonging to different ecophysiological groups. J. Agric. Food Chem. 2009, 57, 10282–10288. [Google Scholar] [PubMed]
- Bern, C.R.; Townsend, A.R. Accumulation of atmospheric sulfur in some Costa Rican soils. J. Geophys. Res. Biogeosci. 2008, 113, G03001. [Google Scholar] [CrossRef]
- Nanthi, B.; Ross, B.; Dedik, B.; James, J.C.; Ravi, N.; William, L.P.; Andrew, S.; Donald, L.S.; Malcolm, E.S. Bioavailability of N, P, K, Ca, Mg, S, Si, and Micronutrients. In Handbook of Soil Sciences Resource Management and Environmental Impacts; CRC Press: Boca Raton, FL, USA, 2011. [Google Scholar]
- Schoenau, J.J.; Malhi, S.S. Sulfur: A Missing Link between Soils, Crops, and Nutrition; American Society of Agronomy, Crop Science Society of America, Soil Science Society of America: Madison, WI, USA, 2008; Volume 50. [Google Scholar]
- Kim, S.-H.; Jeong, J.H.; Nackley, L.L. Photosynthetic and transpiration responses to light, CO2, temperature, and leaf senescence in garlic: Analysis and modeling. J. Am. Soc. Hortic. Sci. 2013, 138, 149–156. [Google Scholar] [CrossRef]
- Nguyen, B.T.; Hong, H.T.; O’Hare, T.J.; Wehr, J.B.; Menzies, N.W.; Harper, S.M. A rapid and simplified methodology for the extraction and quantification of allicin in garlic. J. Food Compos. Anal. 2021, 104, 104114. [Google Scholar] [CrossRef]




| S Application Rates (kg ha−1) | Allicin Concentration (mg g−1 DW) | Allicin Content (mg bulb−1) | ||
|---|---|---|---|---|
| Glenlarge * | Southern Glen ** | Glenlarge * | Southern Glen ** | |
| 0 | 11.9 b | 17.3 | 315 b | 385 |
| 25 | 13.6 a | 16.9 | 401 a | 378 |
| 50 | 14.4 a | 16.4 | 400 a | 364 |
| 75 | 13.8 a | 17.1 | 421 a | 374 |
| 100 | 13.6 a | 16.3 | 413 a | 381 |
| 150 | 14.3 a | 17.0 | 422 a | 367 |
| Mean *** | 13.6 a | 16.8 b | 396 a | 375 a |
| Mineral | Concentration (mg L−1) | Rate Supplied (kg ha−1) |
|---|---|---|
| NH4+ | 0.05 ± 0.015 | 0.2 |
| NO3- | 0.02 ± 0.002 | 0.08 |
| K | 5.0 ± 0.1 | 20.0 |
| Ca | 42 ± 5.4 | 172 |
| S | 16.9 ± 0.9 | 69 |
| Mg | 72 ± 4.4 | 295 |
| Na | 106 ± 1.8 | 434 |
| P | 0.02 ± 0.006 | 0.08 |
| (g ha−1) | ||
| B | 0.06 ± 0.001 | 246 |
| Cu | 0.002 ± 0.0003 | 8.0 |
| Fe | 0.003 ± 0.0003 | 12 |
| Mn | 0.003 ± 0.0 | 12 |
| Zn | 0.002 ± 0.0006 | 8.0 |
| Soil Properties | Initial Value (mean ± SD) |
|---|---|
| Soil pH (1:5 water) | 7.92 ± 0.01 |
| EC1:5 (dS m−1) | 0.14 ± 0.006 |
| Org. C (%) (Walkley-Black) | 1.13 ± 0.02 |
| N-NO3 (mg kg−1) | 11.7 ± 2.5 |
| P (mg kg−1) (Colwell) | 153 ± 5 |
| Cl (mg kg−1) | 33.0 ± 8.5 |
| CEC (cmol-c kg−1) (summation) | 27.7 ± 0.6 |
| Ca (cmol-c kg−1) (NH4-acetate) | 12.6 ± 0.35 |
| Mg (cmol-c kg−1) (NH4-acetate) | 12.6 ± 0.57 |
| K (cmol-c kg−1) (NH4-acetate) | 1.20 ± 0.06 |
| Na (cmol-c kg−1) (NH4-acetate) | 0.85 ± 0.06 |
| S (mg kg−1) (MCP) | 7.0 ± 0.0 |
| Fe (mg kg−1) (DTPA) | 17.7 ± 1.7 |
| Cu (mg kg−1) (DTPA) | 4.0 ± 0.4 |
| Zn (mg kg−1) (DTPA) | 2.1 ± 0.3 |
| Mn (mg kg−1) (DTPA) | 31.9 ± 5.2 |
Publisher’s Note: MDPI stays neutral with regard to jurisdictional claims in published maps and institutional affiliations. |
© 2022 by the authors. Licensee MDPI, Basel, Switzerland. This article is an open access article distributed under the terms and conditions of the Creative Commons Attribution (CC BY) license (https://creativecommons.org/licenses/by/4.0/).
Share and Cite
Nguyen, B.T.; Harper, S.M.; O’Hare, T.J.; Menzies, N.W.; Wehr, B. Sulfur Nutrition Affects Garlic Bulb Yield and Allicin Concentration. Plants 2022, 11, 2571. https://doi.org/10.3390/plants11192571
Nguyen BT, Harper SM, O’Hare TJ, Menzies NW, Wehr B. Sulfur Nutrition Affects Garlic Bulb Yield and Allicin Concentration. Plants. 2022; 11(19):2571. https://doi.org/10.3390/plants11192571
Chicago/Turabian StyleNguyen, Binh Thi, Stephen M. Harper, Tim J. O’Hare, Neal W. Menzies, and Bernhard Wehr. 2022. "Sulfur Nutrition Affects Garlic Bulb Yield and Allicin Concentration" Plants 11, no. 19: 2571. https://doi.org/10.3390/plants11192571
APA StyleNguyen, B. T., Harper, S. M., O’Hare, T. J., Menzies, N. W., & Wehr, B. (2022). Sulfur Nutrition Affects Garlic Bulb Yield and Allicin Concentration. Plants, 11(19), 2571. https://doi.org/10.3390/plants11192571

