Quantity and Quality Changes in Sugar Beet (Beta vulgaris Provar. Altissima Doel) Induced by Different Sources of Biostimulants
Abstract
:1. Introduction
2. Results
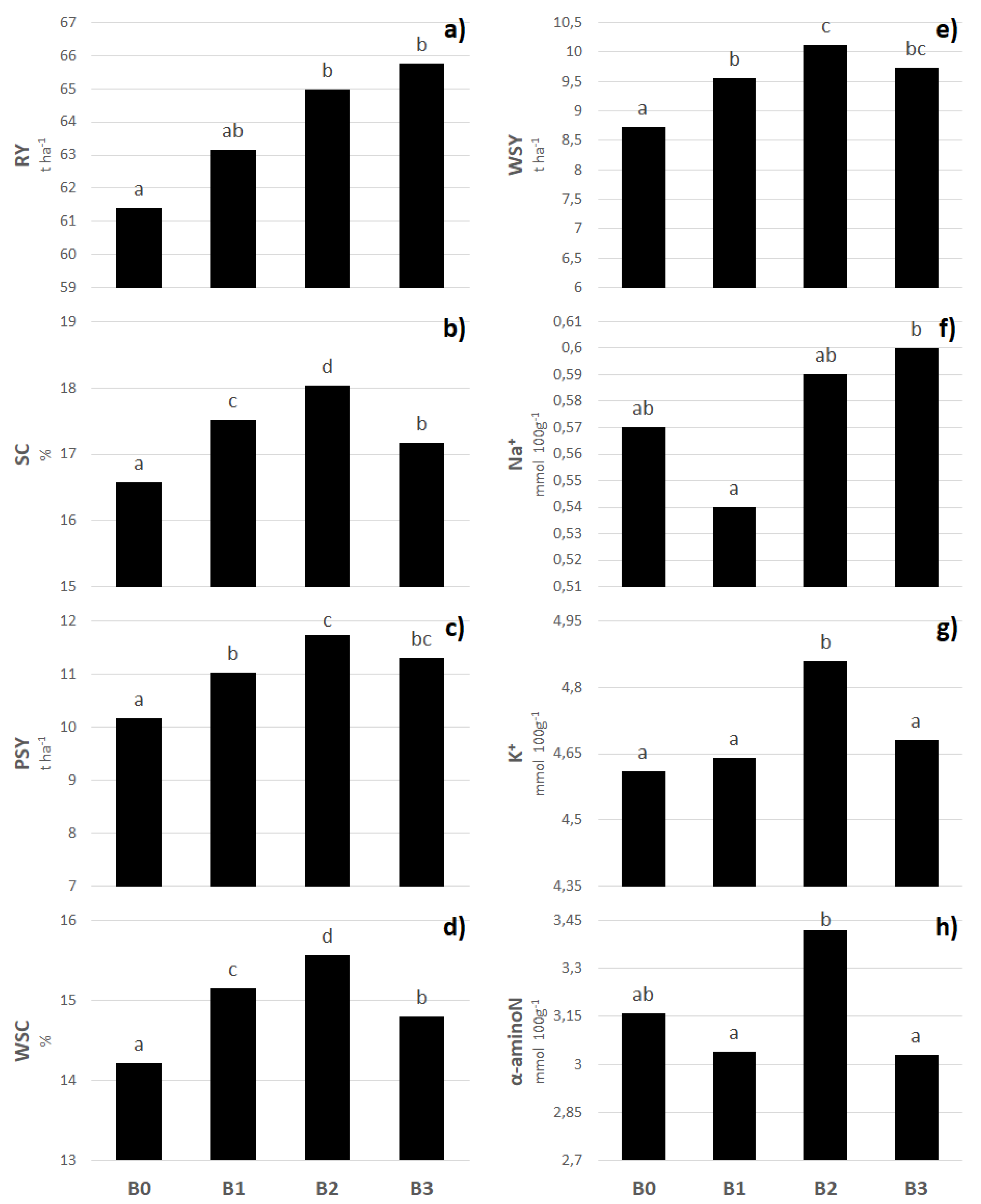
2.1. Yield, Quality, and Leaf Area Index of Sugar Beet
2.2. Interactions between the Observed Experimental Factors
2.2.1. Biostimulant × Year Interaction
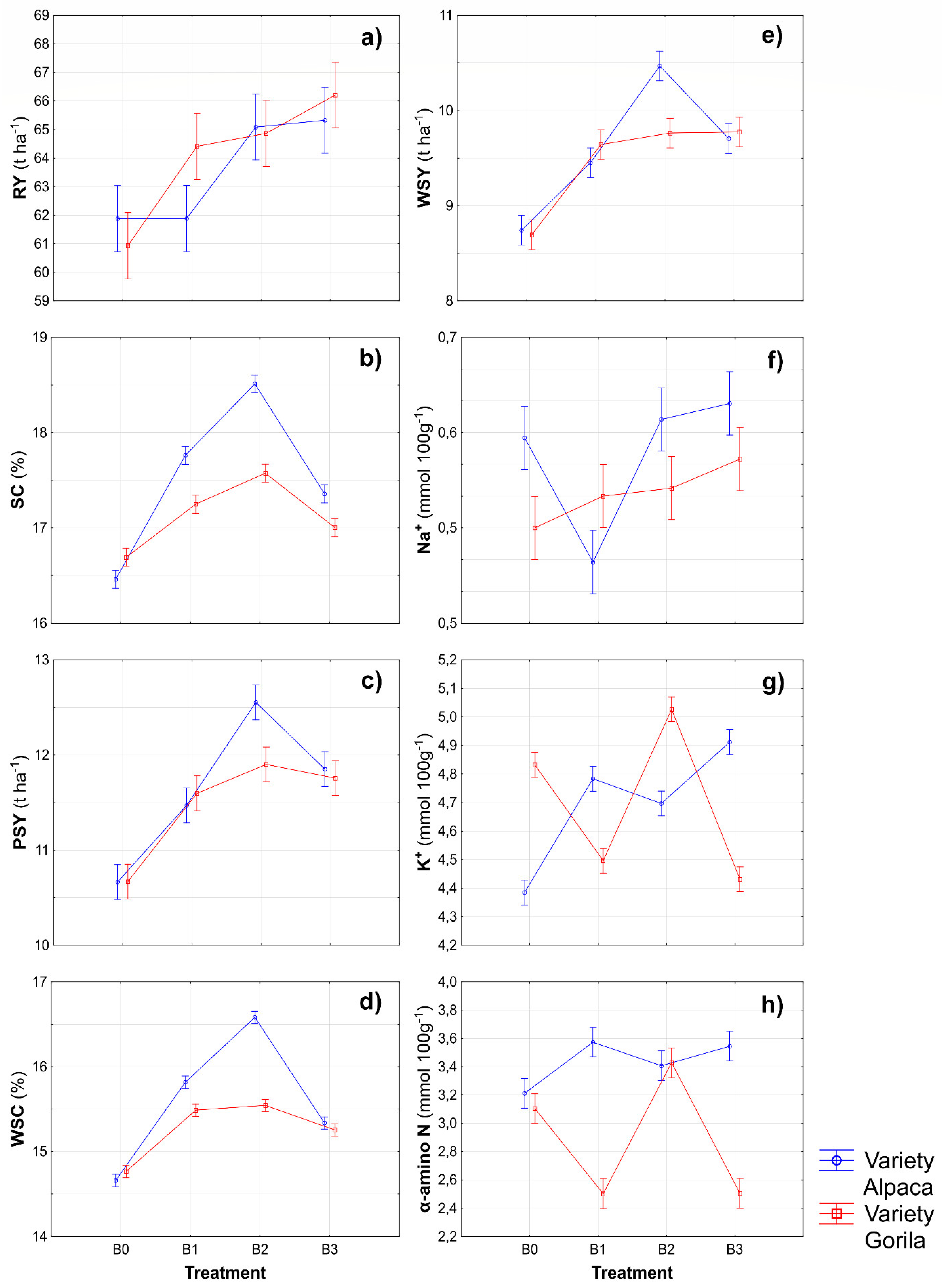
2.2.2. Biostimulant × Variety Interaction
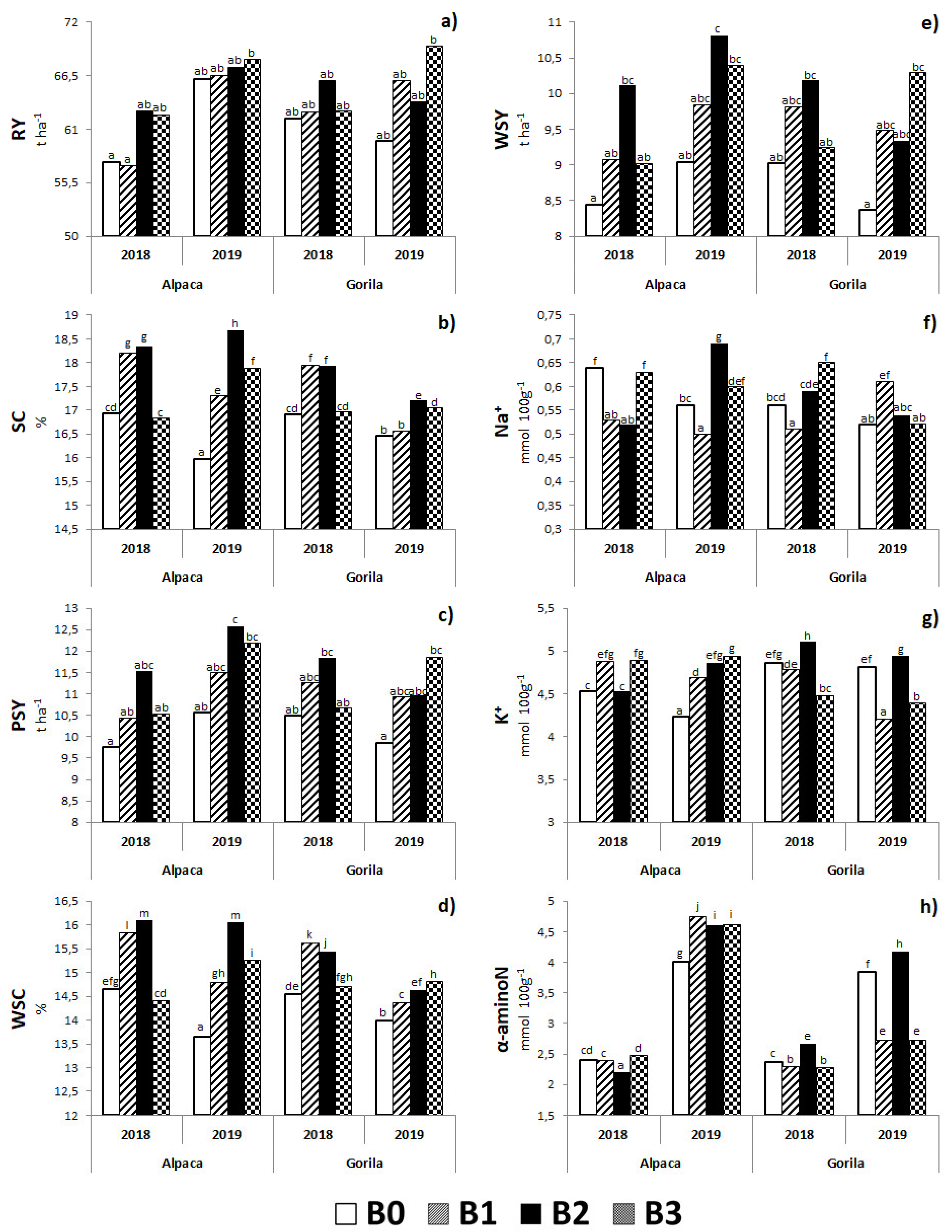
2.2.3. Biostimulant × Year × Variety Interaction
2.3. Correlation Analysis between Sugar Beet Traits
3. Discussion
4. Materials and Methods
4.1. Experimental Sites
4.2. Agrotechnical Traits and Soil Analysis
4.3. Genetic Materials and Experimental Design
4.4. Biostimulant Characteristics
4.5. Leaf Area Index (LAI) Estimation
4.6. Harvesting and Production Analysis
4.7. Statistical Analysis
5. Conclusions
Author Contributions
Funding
Institutional Review Board Statement
Informed Consent Statement
Data Availability Statement
Conflicts of Interest
References
- Puglisi, I.; Barone, V.; Fragalà, F.; Stevanato, P.; Baglieri, A.; Vitale, A. Effect of Microalgal Extracts from Chlorella vulgaris and Scenedesmus quadricauda on Germination of Beta vulgaris Seeds. Plants 2020, 9, 675. [Google Scholar] [CrossRef]
- Biancardi, E.; McGrath, J.M.; Panella, L.W.; Lewellen, R.T.; Stevanato, P. Sugar beet. In Handbook of Plant Breeding, Tuber and Root Crops; Bradshaw, J., Ed.; Springer: New York, NY, USA, 2010; Volume 4, pp. 173–219. [Google Scholar]
- Khan, I.; Iqbal, M.; Hashim, M.M. Physicochemical characteristics and yield of sugar beet (Beta vulgaris l.) cv. “California-Kws” influenced with irrigation intervals. Sarhad J. Agric. 2018, 35, 57–69. [Google Scholar] [CrossRef]
- Choluj, D.; Karwowska, R.; Jasińska, M.; Haber, G. Growth and dry matter partitioning in sugar beet plants (Beta vulgaris L.) under moderate drought. Plant Soil Environ. 2004, 50, 265–272. [Google Scholar] [CrossRef]
- McGrath, J.M.; Townsend, B.J. Sugar Beet, Energy Beet, and Industrial Beet. In Industrial Crops; Handbook of Plant Breeding; Cruz, V.M.V., Dierig, D.A., Eds.; Springer: New York, NY, USA, 2015; Volume 9. [Google Scholar] [CrossRef]
- Mall, A.K.; Misra, V.; Santeshwari; Pathak, A.D.; Srivastava, S. Sugar Beet Cultivation in India: Prospects for Bio-Ethanol Production and Value-Added Co-Products. Sugar Tech. 2021, 23, 1218–1234. [Google Scholar] [CrossRef] [PubMed]
- Food and Agriculture Organization of the United Nations. Available online: http://www.fao.org/faostat/en/#data/QC (accessed on 3 March 2022).
- Monreal, J.A.; Jiménez, E.T.; Remesal, E.; Morillo-Velarde, R.; García-Maurino, S.; Echevarría, C. Proline content of sugar beet storage roots: Response to water deficit and nitrogen fertilization at field conditions. Environ. Expr. Bot. 2006, 60, 257–267. [Google Scholar] [CrossRef]
- Nause, N.; Meier, T.; Hoffmann, C. Tissue composition and arrangement in sugar beet genotypes of different tissue strength with regard to damage and pathogen infestation. Sugarindustry 2020, 145, 114–123. [Google Scholar] [CrossRef]
- Bloch, D.; Hoffman, C.M.; Märländer, B. Solute Accumulation as a Cause for Quality Losses in Sugar Beet Submitted to Continuous and Temporary Drought Stress. J. Agron. Crop Sci. 2006, 192, 17–24. [Google Scholar] [CrossRef]
- Kenter, C.H.; Hoffmann, C.H.M.; Märländer, B. Effects of weather variables on sugar beet yield development (Beta vulgaris L.). Europ. J. Agron. 2006, 24, 62–69. [Google Scholar] [CrossRef]
- Hoffmann, C.H.M.; Huibregts, T.; Van Swaaij, N.; Jansen, R. Impact of different environments in Europe on yield and quality of sugar beet genotypes. Eur. J. Agron. 2009, 30, 17–26. [Google Scholar] [CrossRef]
- Pidgeon, J.D.; Ober, E.S.; Qi, A.; Clark, C.J.A.; Royal, A.; Jaggard, K.W. Using multi-environment sugar beet variety trials to screen for drought tolerance. Field Crops Res. 2006, 95, 268–279. [Google Scholar] [CrossRef]
- Ober, E.S.; Le Bloa, M.; Clark, C.J.A.; Royal, A.; Jaggard, K.W.; Pidgeon, J.D. Evaluation of physiological traits as indirect selection criteria for drought tolerance in sugar beet. Field Crops Res. 2005, 91, 231–249. [Google Scholar] [CrossRef]
- Luković, J.; Maksimović, I.; Zorić, L.; Nagl, N.; Perčić, M.; Polić, D.; Putnik-Delić, M. Histological characteristics of sugar beet leaves potentially linked to drought tolerance. Ind. Crops Prod. 2009, 30, 281–286. [Google Scholar] [CrossRef]
- Bulgari, E.; Cocetta, G.; Trivellini, A.; Vernieri, P.; Ferrante, A. Biostimulants and crop responses: A review. Biol. Agric. Hortic. 2015, 31, 1–17. [Google Scholar] [CrossRef]
- Bulgari, R.; Franzoni, G.; Ferrante, A. Biostimulants Application in Horticultural Crops under Abiotic Stress Conditions. Agronomy 2019, 9, 306. [Google Scholar] [CrossRef]
- Barone, V.; Bertoldo, G.; Magro, F.; Broccanello, C.; Puglisi, I.; Baglieri, A.; Cagnin, M.; Concheri, G.; Squartini, A.; Pizzeghello, D.; et al. Molecular and Morphological Changes Induced by Leonardite-based Biostimulant in Beta vulgaris L. Plants 2019, 8, 181. [Google Scholar] [CrossRef]
- Du Jardin, P. Plant biostimulants: Definition, concept, main categories and regulation. Sci. Hortic. 2015, 196, 3–14. [Google Scholar] [CrossRef]
- Canellas, L.P.; Olivares, F.L.; Aguiar, N.O.; Jones, D.L.; Nebbioso, A.; Mazzei, P.; Piccolo, A. Humic and fulvic acids as biostimulants in horticulture. Sci. Hortic. 2015, 196, 15–27. [Google Scholar] [CrossRef]
- Nardi, S.; Pizzeghello, D.; Schiavon, M.; Ertani, A. Plant biostimulants: Physiological responses induced by protein hydrolyzedbased products and humic substances in plant metabolism. Sci. Agric. 2016, 73, 18–23. [Google Scholar] [CrossRef]
- Yildiztekin, M.; Tuna, A.L.; Kaya, C. Physiological effects of the brown seaweed (Ascophyllum nodosum) and humic substances on plant growth, enzyme activities of certain pepper plants grown under salt stress. Acta Biol. Hung. 2018, 69, 325–335. [Google Scholar] [CrossRef] [Green Version]
- Colla, G.; Rouphael, Y.; Canaguier, R.; Svecova, E.; Cardarelli, M. Biostimulant action of a plant-derived protein hydrolysate produced through enzymatic hydrolysis. Front. Plant Sci. 2014, 5, 448. [Google Scholar] [CrossRef]
- Craigie, J.S. Seaweed extract stimuli in plant science and agriculture. J. Appl. Phycol. 2011, 23, 371–393. [Google Scholar] [CrossRef]
- Fortune Business Insights Reports. Biostimulants Market Size, Share & COVID-19 Impact Analysis, by Source (Microbial and Non-Microbial), Active Ingredients (Seaweed Extracts, Humic Substances, Vitamins & Amino Acids, Microbial Amendments, and Others), Application (Foliar Application, Soil Treatment, and Seed Treatment), Crop, and Regional Forecast, 2020–2027. Available online: https://www.fortunebusinessinsights.com/industry-reports/biostimulants-market-100414 (accessed on 3 March 2022).
- Kožnar, V.; Klabzuba, J. Recommendation of World Meteorological Organization to describing meteorological or climatological conditions. Rostl. Výroba 2002, 48, 190–192. [Google Scholar] [CrossRef]
- García-López, J.; Lorite, I.J.; García -Ruiz, R.; Ordonez, R.; Dominguez, J. Yield response of sunflower to irrigation and fertilization under semi-arid conditions. Agric. Water Manag. 2016, 76, 151–162. [Google Scholar] [CrossRef]
- Wu, G.Q.; Feng, R.J.; Shui, Q.Z. Effect of osmotic stress on growth and osmolytes accumulation in sugar beet (Beta vulgaris L.) plants. Plant Soil Environ. 2016, 62, 189–194. [Google Scholar] [CrossRef]
- Peña-Gallardo, M.; Vicente-Serrano, S.M.; Domínguez-Castro, F.; Beguería, S. The impact of drought on the productivity of two rainfed crops in Spain. Nat. Hazards Earth Syst. Sci. 2019, 19, 1215–1234. [Google Scholar] [CrossRef]
- Pačuta, V.; Rašovský, M.; Michalska-Klimczak, B.; Wyszyňski, Z. Grain Yield and Quality Traits of Durum Wheat (Triticum durum Desf.) Treated with Seaweed- and Humic Acid-Based Biostimulants. Agronomy 2021, 11, 1270. [Google Scholar] [CrossRef]
- Wilczewski, E.; Szczepanek, M.; Wenda-Piesik, A. Response of sugar beet to humic substances and foliar fertilization with potassium. JCEA 2018, 19, 153–165. [Google Scholar] [CrossRef]
- Michalak, I.; Chojnacka, K.; Dmytryk, A.; Wilk, R.; Gramza, M.; Rój, E. Evaluation of Supercritical Extracts of Algae as Biostimulants of Plant Growth in Field Trials. Front. Plant Sci. 2016, 7, 1591. [Google Scholar] [CrossRef]
- Kauffman, G.L.; Kneivel, D.P.; Watschke, T.L. Effects of a Biostimulant on the Heat Tolerance Associated with Photosynthetic Capacity, Membrane Thermostability, and Polyphenol Production of Perennial Ryegrass. Crop Sci. 2007, 47, 261–267. [Google Scholar] [CrossRef]
- Latique, S.; Elouaer, M.A.; Halima, C.; Chérif, H.; Mimoun, E.K. Alleviation of Salt Stress in Durum Wheat (Triticum durum L.) Seedlings Through the Application of Liquid Seaweed Extracts of Fucus spiralis. Commun. Soil Sci. Plant Anal. 2017, 48, 2582–2593. [Google Scholar] [CrossRef]
- Drobek, M.; Frac, M.; Cybulska, J. Plant Biostimulants: Importance of the Quality and Yield of Horticultural Crops and the Improvement of Plant Tolerance to Abiotic Stress—A Review. Agronomy 2019, 9, 335. [Google Scholar] [CrossRef]
- Wadas, W.; Dziugel, T. Changes in Assimilation Area and Chlorophyll Content of Very Early Potato (Solanum tuberosum L.) Cultivars as Influenced by Biostimulants. Agronomy 2020, 10, 387. [Google Scholar] [CrossRef]
- Artyszak, A.; Gozdowski, D. Influence of Various Forms of Foliar Application on Root Yield and Technological Quality of Sugar Beet. Agriculture 2021, 11, 693. [Google Scholar] [CrossRef]
- Pulkrábek, J.; Šroller, J.; Zahradníček, J. Vliv regulátorů růstu na výnos a jakost bulev cukrovky. Rostl. Výroba 1999, 45, 379–386. [Google Scholar]
- Rašovský, M.; Pačuta, V. Influence of selected agrotechnical measures and climate conditions on root yield and digestion of sugar beet. JCEA 2016, 17, 1070–1081. [Google Scholar] [CrossRef]
- Hoffmann, C.M. Sucrose Accumulation in Sugar Beet Under Drought Stress. J. Agron. Crop Sci. 2010, 196, 243–252. [Google Scholar] [CrossRef]
- Welles, J.M.; Norman, J.M. Instrument for Indirect Measurement of Canopy Architecture. Agron. J. 1991, 83, 818–825. [Google Scholar] [CrossRef]
- Sharma, H.S.S.; Fleming, C.; Selby, C.H.; Rao, J.R.; Martin, T. Plant biostimulants: A review on the processing of macroalgae and use of extracts for crop management to reduce abiotic and biotic stresses. J. Appl. Phycol. 2014, 26, 465–490. [Google Scholar] [CrossRef]
- Przybysz, A.; Gawrońska, H.; Gajc-Wolska, J. Biological mode of action of a nitrophenolates-based biostimulant: Case study. Front. Plant Sci. 2014, 5, 713. [Google Scholar] [CrossRef]
- Kim, K.; Wang, M.; Ranjitkar, S.; Liu, S.; Xu, J.; Zomer, R.J. Using leaf area index (LAI) to assess vegetation response to drought in Yunnan province of China. J. Mt. Sci. 2017, 14, 1863–1872. [Google Scholar] [CrossRef]
- Di Mola, I.; Ottaiano, L.; Cozzolino, E.; Senatore, M.; Giordano, M.; El-Nakhel, C.H.; Sacco, A.; Rouphael, Y.; Colla, G.; Mori, M. Plant-Based Biostimulants Influence the Agronomical, Physiological, and Qualitative Responses of Baby Rocket Leaves under Diverse Nitrogen Conditions. Plants 2019, 8, 522. [Google Scholar] [CrossRef] [PubMed]
- Curcic, Z.; Ciric, M.; Nagl, N.; Taski-Ajdukovic, K. Effect of Sugar Beet Genotype, Planting and Harvesting Dates and Their Interaction on Sugar Yield. Front. Plant Sci. 2018, 9, 1041. [Google Scholar] [CrossRef] [PubMed]
- Ndhlela, T.; Herselman, L.; Magorokosho, C.; Setimela, P.; Mutimamba, C.; Labuschagne, M. Genotype × environment interaction of maize grain yield using AMMI biplots. Crop Sci. 2014, 54, 1992–1999. [Google Scholar] [CrossRef]
- Abbasi, Z.; Bocianowski, J. Genotype by environment interaction for physiological traits in sugar beet (Beta vulgaris L.) parents and hybrids using additive main effects and multiplicative interaction model. Eur. Food Res. Technol. 2021, 247, 3063–3081. [Google Scholar] [CrossRef]
- Studnicki, M.; Lenartowicz, T.; Noras, K.; Wójcik-Gront, E.; Wyszyński, Z. Assessment of Stability and Adaptation Patterns of White Sugar Yield from Sugar Beet Cultivars in Temperate Climate Environments. Agronomy 2019, 9, 405. [Google Scholar] [CrossRef]
- Götze, P.; Rücknagel, J.; Wench-Dorendorf, M.; Märländer, B.; Christen, O. Crop rotation effects on yield, technological quality and yield stability of sugar beet after 45 trial years. Eur. J. Agron. 2017, 82, 50–59. [Google Scholar] [CrossRef]
- Dupont, F.M.; Hurkman, W.J.; Vensel, W.H.; Tanaka, C.; Kothari, K.M.; Chung, O.K.; Altenbach, S.B. Protein accumulation and composition in wheat grains: Effects of mineral nutrients and high temperature. Eur. J. Agron. 2006, 25, 96–107. [Google Scholar] [CrossRef]
- Lebedeva, M.G.; Lupo, A.R.; Solovyov, A.B.; Chendev, Y.G.; Rankoth, L.M. Sugar Beet Harvests under Modern Climatic Conditions in the Belgorod Region (Southwest Russia). Climate 2020, 3, 46. [Google Scholar] [CrossRef]
- Koch, F.C.; McMeekin, T.L. A new direct nesslerization Micro-Kjeldahl method and a modification of the Nessler-folin reagent for ammonia. J. Am. Chem. Soc. 1924, 46, 2066–2069. [Google Scholar] [CrossRef]
- Pačuta, V.; Rašovský, M.; Michalska-Klimczak, B.; Wyszyńsky, Z. Impact of Superabsorbent Polymers and Variety on Yield, Quality and Physiological Parameters of the Sugar Beet (Beta vulgaris prov. Altissima Doell). Plants 2021, 10, 757. [Google Scholar] [CrossRef]
- Mehlich, A. Mehlich 3 soil test extractant: A modification of Mehlich 2 extractant. Commun. Soil Sci. Plant Anal. 1984, 15, 1409–1416. [Google Scholar] [CrossRef]
- Kabala, C.; Musztyfaga, E.; Galka, B.; Labuńska, D.; Mańczyńska, P. Conversion of Soil pH 1:2.5 KCl and 1:2.5 H2O to 1:5 H2O: Conclusions for Soil Management, Environmental Monitoring, and International Soil Databases. Pol. J. Environ. Stud. 2016, 25, 647–653. [Google Scholar] [CrossRef]
- Kononova, M.M. Humus of Virgin and Cultivated Soils. In Soil Components; Gieseking, J.E., Ed.; Springer: Berlin/Heidelberg, Germany, 1975. [Google Scholar] [CrossRef]
- Salkind, N.J. Encyclopedia of Research Design; SAGE Publications: Thousand Oaks, CA, USA, 2010; pp. 1399–1432. ISBN 978-1-4129-6127-1. [Google Scholar]
- Bréda, N.J.J. Ground-based measurements of leaf area index: A review of methods, instruments and current controversies. J. Exp. Bot. 2003, 54, 2403–2417. [Google Scholar] [CrossRef] [PubMed]
- Ariza-Carricondo, C.; Di Mauro, F.; Op de Beeck, M.; Roland, M.; Gielen, B.; Vitale, D.; Ceulemans, R.; Papale, D. A comparison of different methods for assessing leaf area index in four canopy types. Cent. Eur. For. J. 2019, 65, 67–80. [Google Scholar] [CrossRef]
- Barlog, P.; Szczepaniak, W.; Grzebisz, W.; Poglodzinski, R. Sugar beet response to different K, Na and Mg ratios in applied fertilizers. Plant Soil Environ. 2018, 64, 173–179. [Google Scholar] [CrossRef] [Green Version]
- Reinefeld, E.; Emmerich, A.; Baumgarten, G.; Winner, C.; Beiss, U. Zur Voraussage des Melassezuckers aus Rübenanalysen. Zucker 1974, 27, 2–15. [Google Scholar]
- Bajči, P.; Pačuta, V.; Černý, I. Cukrová Repa; ÚVTIP-NOI: Nitra, Slovakia, 1997; pp. 99–100. ISBN 80-85330-35-0. [Google Scholar]











| Source of Variation | Parameters | ||||||||
|---|---|---|---|---|---|---|---|---|---|
| RY (t ha−1) | SC (%) | PSY (t ha−1) | WSC (%) | WSY (t ha−1) | K+ (mmol 100 g−1) | Na+ (mmol 100 g−1) | α-aminoN (mmol 100 g−1) | LAI (m2 m−2) | |
| p-Values | |||||||||
| B | 0.0046 | 0.0000 | 0.0000 | 0.0000 | 0.0000 | 0.0000 | 0.0294 | 0.0034 | 0.0024 |
| Y | 0.0000 | 0.0000 | 0.0008 | 0.0000 | 0.0058 | 0.0006 | 0.4845 | 0.0000 | 0.0010 |
| V | 0.5004 | 0.0000 | 0.2462 | 0.0000 | 0.2741 | 0.9359 | 0.1109 | 0.0000 | 0.6025 |
| B × Y | 0.1071 | 0.0000 | 0.0000 | 0.0000 | 0.0010 | 0.0002 | 0.0032 | 0.0225 | 0.9630 |
| B × V | 0.4778 | 0.0000 | 0.1801 | 0.0000 | 0.0386 | 0.0000 | 0.0874 | 0.0000 | 0.9957 |
| Y × V | 0.0022 | 0.0010 | 0.0000 | 0.0052 | 0.0001 | 0.0048 | 0.2262 | 0.0000 | 0.9093 |
| B × Y × V | 0.2272 | 0.0000 | 0.5231 | 0.0000 | 0.5195 | 0.0000 | 0.0000 | 0.0000 | 0.7676 |
| Year | April | May | June | July | August | September | October | |
|---|---|---|---|---|---|---|---|---|
| Precipitation (mm) | Sum | |||||||
| 2018 | 12.2 | 14.6 | 97.5 | 12.9 | 3.0 | 57.2 | 14.4 | 211.8 |
| 2019 | 21.4 | 134.8 | 29.0 | 52.2 | 64.0 | 52.8 | 17.8 | 372.0 |
| Normal * | 41.6 | 56.0 | 66.2 | 59.3 | 54.2 | 43.1 | 41.0 | 361.4 |
| Temperature (°C) | Mean | |||||||
| 2018 | 13.2 | 15.9 | 17.8 | 18.3 | 19.0 | 13.8 | 9.7 | 15.4 |
| 2019 | 9.4 | 9.3 | 18.7 | 18.0 | 18.4 | 12.6 | 8.7 | 13.6 |
| Normal * | 10.4 | 15.2 | 18.3 | 20.0 | 19.7 | 15.5 | 10.2 | 15.6 |
| Year | Macronutrient Content mg kg−1 | pH | Humus Content (%) | ||
|---|---|---|---|---|---|
| Ntotal* | P | K | |||
| 2017/2018 | 25.18 | 93 | 385 | 6.28 | 1.72 |
| 2018/2019 | 10.00 | 63 | 315 | 6.69 | 1.60 |
| Treatment | Source of Biostimulants | Application Doses (L ha−1) | Form of Application | Growth Phase of Sugar Beet |
|---|---|---|---|---|
| B0 | - | ** | foliar | BBCH 19 and 33 |
| B1 | humic acids, essential amino acids | 10 * | ||
| B2 | essential amino acids biopolymers, soil bacteria | 0.5 ** | ||
| B3 | combination B1 and B2 | 10 * + 0.5 ** |
| Measurement | Growth Phase | Definition |
|---|---|---|
| 1. | BBCH 19 | Nine and more leaves unfolded |
| 2. | BBCH 31 | Beginning of canopy cover: leaves cover 10% of ground |
| 3. | BBCH 33 | Leaves cover 30% of ground |
| 4. | BBCH 39 | Canopy cover complete |
| 5. | BBCH 47 | Sugar beet has reached technological maturity |
Publisher’s Note: MDPI stays neutral with regard to jurisdictional claims in published maps and institutional affiliations. |
© 2022 by the authors. Licensee MDPI, Basel, Switzerland. This article is an open access article distributed under the terms and conditions of the Creative Commons Attribution (CC BY) license (https://creativecommons.org/licenses/by/4.0/).
Share and Cite
Rašovský, M.; Pačuta, V.; Ducsay, L.; Lenická, D. Quantity and Quality Changes in Sugar Beet (Beta vulgaris Provar. Altissima Doel) Induced by Different Sources of Biostimulants. Plants 2022, 11, 2222. https://doi.org/10.3390/plants11172222
Rašovský M, Pačuta V, Ducsay L, Lenická D. Quantity and Quality Changes in Sugar Beet (Beta vulgaris Provar. Altissima Doel) Induced by Different Sources of Biostimulants. Plants. 2022; 11(17):2222. https://doi.org/10.3390/plants11172222
Chicago/Turabian StyleRašovský, Marek, Vladimír Pačuta, Ladislav Ducsay, and Dominika Lenická. 2022. "Quantity and Quality Changes in Sugar Beet (Beta vulgaris Provar. Altissima Doel) Induced by Different Sources of Biostimulants" Plants 11, no. 17: 2222. https://doi.org/10.3390/plants11172222
APA StyleRašovský, M., Pačuta, V., Ducsay, L., & Lenická, D. (2022). Quantity and Quality Changes in Sugar Beet (Beta vulgaris Provar. Altissima Doel) Induced by Different Sources of Biostimulants. Plants, 11(17), 2222. https://doi.org/10.3390/plants11172222

