Rootstock Priming with Shikimic Acid and Streptomyces griseus for Growth, Productivity, Physio-Biochemical, and Anatomical Characterisation of Tomato Grown under Cold Stress
Abstract
1. Introduction
2. Results
2.1. Plant Growth Parameters
2.2. Fruit Yield of Tomato and Its Components
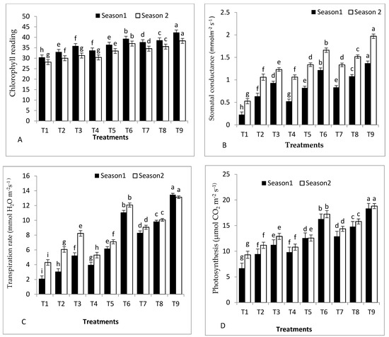
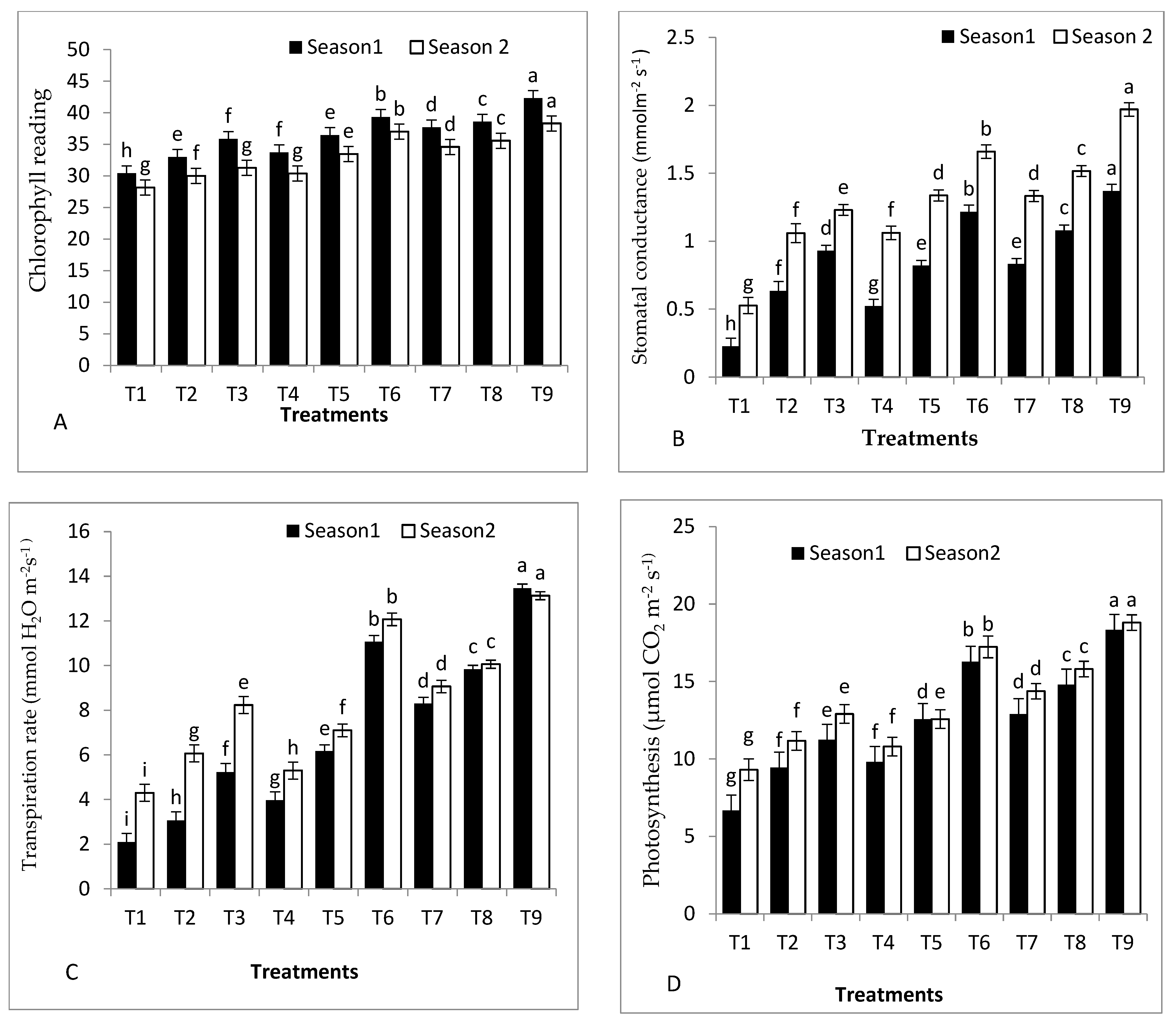
2.3. Gas Exchange and Chlorophyll Measurements of Tomato Plants
2.4. Nutrients Content in Tomato Leaves and Fruits
2.5. Fruit Quality Parameters
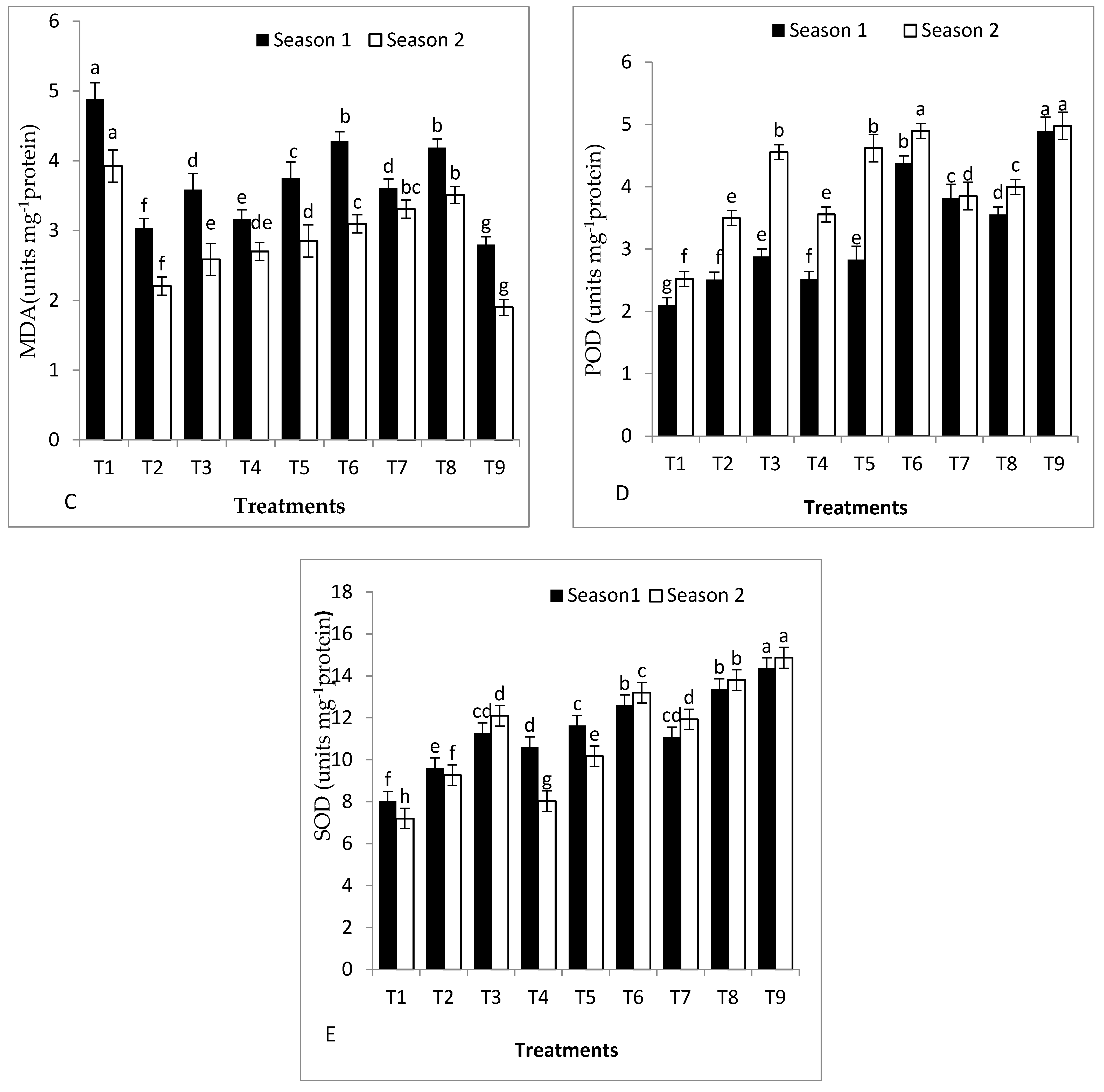
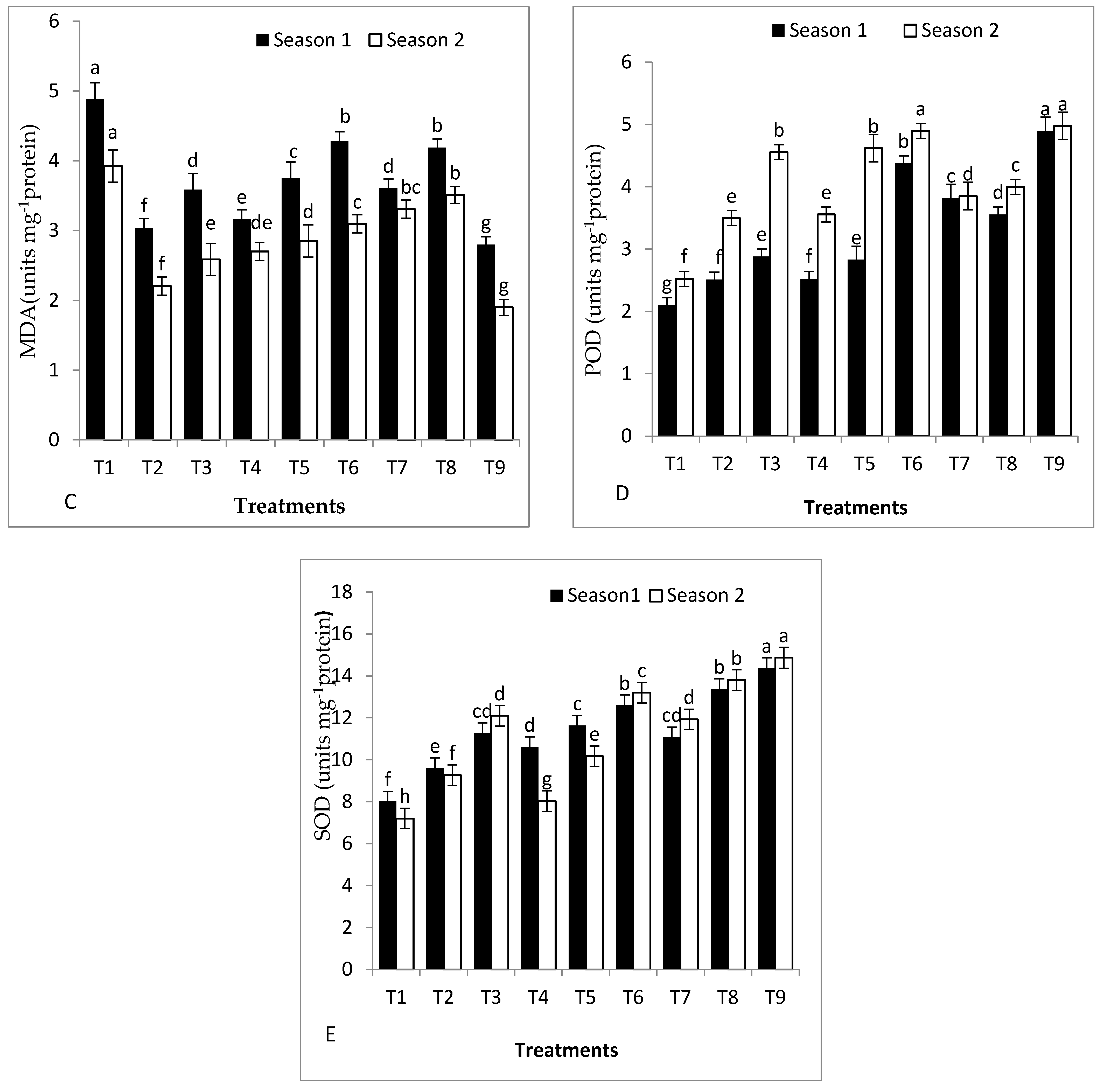
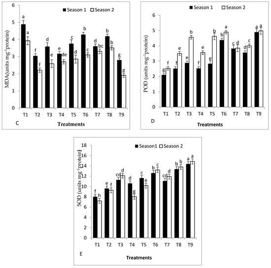
2.6. Antioxidant Enzymes, Plant Hormones, and Malondialdehyde Content in Tomato Leaves
2.7. Cluster Analysis
2.8. Trait Interrelationships
2.9. Leaf Anatomy
3. Discussion
4. Materials and Methods
4.1. The Experimental Site, Plant Material, and the Tested Compounds
4.2. Seed Treatments
4.3. Grafting and Growth Conditions
4.4. Data Recorded
4.4.1. Plant Growth and Yield
4.4.2. Gas Exchange and Chlorophyll Measurements of Tomato Plants
4.4.3. Fruit Quality
4.4.4. Mineral Content in Tomato Leaves and Fruits
4.4.5. Antioxidants Enzymes, Hormones, and Malondialdehyde (MDA)
4.5. Anatomical Studies
4.6. Statistical Analysis
5. Conclusions
Author Contributions
Funding
Institutional Review Board Statement
Informed Consent Statement
Data Availability Statement
Acknowledgments
Conflicts of Interest
References
- FAOSTAT. Crops and Livestock Products in 2020. Available online: http://www.fao.org/faostat/en/#data/QCL (accessed on 30 April 2022).
- Venema, J.H.; Posthumus, F.; Van Hasselt, P.R. Impact of sub-optimal temperature on growth, photosynthesis, leaf pigments and carbohydrates of domestic and high-altitude wild Lycopersicon species. J. Plant Physiol. 1999, 155, 711–718. [Google Scholar] [CrossRef]
- Schwarz, D.; Rouphael, Y.; Colla, G.; Venema, J.H. Grafting as a tool to improve tolerance of vegetables to abiotic stress. Thermal stress, water stress and organic pollutants. Sci. Hortic. 2010, 127, 162–171. [Google Scholar] [CrossRef]
- Abbas, S.M. Effects of low temperature and selenium application on growth and the physiological changes in sorghum seedlings. J. Stress Physiol. Biochem. 2012, 8, 268–286. [Google Scholar]
- Mahajan, S.; Tuteja, N. Cold, salinity and drought stresses: An overview. Arch. Biochem. Biophys. 2005, 444, 139–158. [Google Scholar] [CrossRef] [PubMed]
- Gill, S.S.; Tuteja, N. Polyamines and abiotic stress tolerance in plants. Plant Signal. Behav. 2010, 5, 26–33. [Google Scholar] [CrossRef]
- Theocharis, A.; Clement, C.; Barka, E.A. Physiological and molecular changes in plants grown at low temperatures. Planta 2012, 235, 1091–1105. [Google Scholar] [CrossRef] [PubMed]
- Kawaide, T. Utilization of rootstocks in cucurbits production in Japan. Jpn. Agric. Res. Q. 1985, 18, 284–289. [Google Scholar]
- Yarsi, G.; Altuntas, O.; Sivaci, A.; Dasgan, H.Y. Effects of salinity stress on plant growth and mineral composition of grafted and un-grafted Galia C8 melon cultivar. Pak. J. Bot. 2017, 49, 819–822. [Google Scholar]
- Knapp, S.; Spooner, D.M.; Peralta, I. Taxonomy of wild tomatoes and their relatives (Solanum sect. Lycopersicoides, sect. Juglandifolia, sect. Lycopersicon; Solanaceae). Syst. Bot. 2009, 84, 1–186. [Google Scholar]
- Bedinger, P.A.; Chetelat, R.T.; McClure, B.; Moyle, L.C.; Rose, J.K.; Stack, S.M.; van der Knaap, E.; Baek, Y.S. Interspecific reproductive barriers in the tomato clade: Opportunities to decipher mechanisms of reproductive isolation. Sex. Plant Reprod. 2011, 24, 171–187. [Google Scholar] [CrossRef]
- Jisha, K.C.; Vijayakumari, K.; Puthur, J.T. Seed priming for abiotic stress tolerance: An overview. Acta Physiol. Plant. 2013, 35, 1381–1396. [Google Scholar] [CrossRef]
- Paparella, S.; Araújo, S.S.; Rossi, G.; Wijayasinghe, M.; Carbonera, D.; Balestrazzi, A. Seed priming: State of the art and new perspectives. Plant Cell Rep. 2015, 34, 1281–1293. [Google Scholar] [CrossRef] [PubMed]
- Rakshit, A.; Sunita, K.; Pal, S.; Singh, A.; Singh, H.B. Biopriming mediated nutrient use efficiency of crop species. In Nutrient Use Efficiency: From Basics to Advances; Springer: New Delhi, India, 2015; pp. 181–191. [Google Scholar]
- Sukanya, V.; Patel, R.M.; Suthar, K.P.; Singh, D. An overview: Mechanism involved in biopriming mediated plant growth promotion. Int. J. Pure Appl. Biosci. 2018, 6, 771–783. [Google Scholar]
- Bisen, K.; Keswani, C.; Mishra, S.; Saxena, A.; Rakshit, A.; Singh, H.B. Unrealized potential of seed biopriming for versatile agriculture. In Nutrient Use Efficiency: From Basics to Advances, 1st ed.; Rakshit, A., Singh, H.B., Sen, A., Eds.; Springer: New Delhi, India, 2015; pp. 193–206. [Google Scholar]
- Valli, S.; Suvathi, S.S.; Aysha, O.; Nirmala, P.; Vinoth, K.P.; Reena, A. Antimicrobial potential of actinomycetes species isolated from marine environment. Asian Pac. J. Trop. Biomed. 2012, 2, 469–473. [Google Scholar] [CrossRef]
- Shivlata, L.; Satyanarayana, T. Thermophilic and alkaliphilic Actinobacteria: Biology and potential applications. Front. Microbiol. 2015, 6, 1014. [Google Scholar] [CrossRef]
- de Jesus Sousa, J.N.; Olivares, F.L. Plant growth promotion by Streptomycetes: Ecophysiology, mechanisms and applications. Chem. Biol. Technol. Agric. 2016, 3, 24. [Google Scholar] [CrossRef]
- Shao, H.B.; Chu, L.Y.; Jaleel, C.A.; Zhao, C.X. Water deficit stress-induced anatomical changes in higher plants. C. R. Biol. 2008, 331, 215–225. [Google Scholar] [CrossRef]
- Yao, L.; Wu, Z.; Zheng, Y.; Kaleem, I.; Li, C. Growth promotion and protection against salt stress by Pseudomonas putida Rs-198 on cotton. Eur. J. Soil Biol. 2010, 46, 49–54. [Google Scholar] [CrossRef]
- Aldesuquy, H.S.; Ibrahim, H.A. The role of shikimic acid in regulation of growth, transpiration, pigmentation, photosynthetic activity and productivity of Vigna sinensis plants. Phyton 2000, 40, 277–292. [Google Scholar]
- Elwan, M.W.M.; El-Hamahmy, M.A.M. Improved productivity and quality associated with salicylic acid application in greenhouse pepper. Sci. Hort. 2009, 122, 521–526. [Google Scholar] [CrossRef]
- Favati, F.; Lovelli, S.; Galgano, F.; Miccolis, V.; Di Tommaso, T.; Candido, V. Processing tomato quality as affected by irrigation scheduling. Sci. Hort. 2009, 122, 562–571. [Google Scholar] [CrossRef]
- Logemann, E.; Parniske, M.; Hahlbrock, K. Modes of expression and common structural features of the completephenylalanine ammonia lyase gene family in parsley. Proc. Natl. Acad. Sci. USA 1995, 92, 5905–5909. [Google Scholar] [CrossRef] [PubMed]
- Lawton, K.; Weymann, K.; Friedrich, L.; Venooij, B.; Uknes, S.; Ryals, J. Systemic acquired resistance in Arabidopsis requires salicylic acid not ethylene. Mol. Plant Microbe Interact. 1996, 8, 363–870. [Google Scholar]
- Venema, J.H.; Dijk, B.E.; Bax, J.M.; Van Hasselt, P.R.; Elzenga, J.T.M. Grafting tomato (Solanum lycopersicum) onto the rootstock of a highaltitude accession of Solanum habrochaites improves sub-optimal-temperature tolerance. Environ. Exp. Bot. 2008, 63, 359–367. [Google Scholar] [CrossRef]
- Ntatsi, G.; Savvas, D.; Papasotiropoulos, V.; Katsileros, A.; Zrenner, R.M.; Hincha, D.K.; Zuther, E.; Schwarz, D. Rootstock Sub-Optimal Temperature Tolerance Determines Transcriptomic Responses after Long-Term Root Cooling in Rootstocks and Scions of Grafted Tomato Plants. Front. Plant Sci. 2017, 8, 911. [Google Scholar] [CrossRef]
- Paul, E.M.M.; Hardwick, R.C.; Parker, P.F. Genotypic variation in the response to sub-optimal temperatures of growth in tomato (Lycopersicon esculentum Mill.). New Phytol. 1984, 98, 221–230. [Google Scholar] [CrossRef]
- Hamdali, H.; Bouizgarne, B.; Hafidi, M.; Lebrihi, A.; Virolle, M.J.; Ouhdouch, Y. Screening for rock phosphate solubilizing actinomycetes from Moroccan phosphate mines. Appl. Soil Ecol. 2008, 38, 12–19. [Google Scholar] [CrossRef]
- Glick, B.R. Plant growth-promoting bacteria: Mechanisms and applications. Scientifica 2012, 2012, 963401. [Google Scholar] [CrossRef]
- Meena, Y.; Khurana, D.; Kaur, N.; Singh, K. Towards enhanced low temperature stress tolerance in tomato: An approach. J. Environ. Biol. 2018, 39, 529–535. [Google Scholar] [CrossRef]
- Ntatsi, G.; Hans-Peter, K.; Dietmar, S. Growth, Yield, and Metabolic Responses of Temperature-stressed Tomato to Grafting onto Rootstocks Differing in Cold Tolerance. J. Am. Soc. Hortic. Sci. 2014, 139, 230–243. [Google Scholar] [CrossRef]
- Sayed, E.G.; Mahmoud, A.W.M.; El-Mogy, M.M.; Ali, M.A.A.; Fahmy, M.A.M.; Tawfic, G.A. TheEffective Role of Nano-Silicon Application in Improving the Productivity and Quality of Grafted Tomato Grown under Salinity Stress. Horticulturae 2022, 8, 293. [Google Scholar] [CrossRef]
- El-Tarabily, K.A. Promotion of tomato (Lycopersicon esculentun Mill.) plant growth by rhizosphere competent 1-amino cyclopropane-1-carboxylic acid deaminase–producing Streptomycete actinomycetes. Plant Soil 2008, 308, 161–174. [Google Scholar] [CrossRef]
- Hajihashemi, S.; Noedoost, F.; Geuns, J.M.; Djalovic, I.; Siddique, K.H. Effect of Cold Stress on Photosynthetic Traits, Carbohydrates, Morphology, and Anatomy in Nine Cultivars of Stevia rebaudiana. Front. Plant Sci. 2018, 9, 1430. [Google Scholar] [CrossRef]
- Aloni, B.; Cohen, R.; Karni, L.; Aktas, H.; Edelstein, M. Hormonal signaling in rootstock–scion interactions. Sci. Hortic. 2010, 127, 119–126. [Google Scholar] [CrossRef]
- Harada, T. Grafting and RNAtransport via phloem tissue in horticultural plants. Sci. Hortic. 2010, 125, 545–550. [Google Scholar] [CrossRef]
- Srivastava, P.; Kumar, R. Soil salinity: A serious environmental issue and plant growth-promoting bacteria as one of the tools for its alleviation. Saudi J. Biol. Sci. 2015, 22, 123–131. [Google Scholar] [CrossRef] [PubMed]
- Shi, J.; Le Maguer, M. Lycopene in tomatoes: Chemical and physical properties affected by food processing. Crit. Rev. Food Sci. Nutr. 2000, 40, 1–42. [Google Scholar] [CrossRef]
- Hassan, A.A.; Abdel-Ati, K.E.A.; Ibrahim, T.A.A. Genetic behavior of some fruit characters in crosses between tomato and some wild species and among wild species. Plant Arch. 2020, 20 (Suppl. 2), 1056–1065. [Google Scholar]
- Sivakalai, R.; Krishnaven, K. Effect of Bio-Priming on Seed Yield and Quality in Pumpkin cv. CO2. Int. J. Curr. Microbiol. Appl. Sci. 2017, 6, 85–90. [Google Scholar] [CrossRef]
- Hamdali, H.; Virolle, M.J.; von Jan, M.; Sproer, C.; Klenk, H.P.; Ouhdouch, Y. Streptomyces youssoufiensis sp. nov., isolated from a Moroccan phosphate mine. Int. J. Syst. Evol. Microbiol. 2011, 61, 1104–1108. [Google Scholar] [CrossRef]
- Liu, D.F.; Lian, B.; Wang, B. Solubilization of potassium containing minerals by high temperature resistant Streptomyces sp. isolated from earthworm’s gut. Acta Geochim. 2016, 35, 262–270. [Google Scholar] [CrossRef]
- Dahal, B.; NandaKafle, G.; Perkins, L.; Brozel, V.S. Diversity of free-living nitrogen fixing Streptomyces in soils of the Badlands of South Dakota. Microbiol. Res. 2017, 195, 31–39. [Google Scholar] [CrossRef] [PubMed]
- Sellstedt, A.; Richau, K.H. Aspects of nitrogen-fixing Actinobacteria, in particular free-living and symbiotic Frankia. FEMS Microbiol. Lett. 2013, 342, 179–186. [Google Scholar] [CrossRef] [PubMed]
- Zijian, X.u.; Jiachun, W.; Wentian, Z.; Tao, S.; Xiaohui, H. Abscisic acid alleviates harmful effect of saline–alkaline stress on tomato seedlings. Plant Physiol. Biochem. 2022, 175, 8–67. [Google Scholar]
- Nourredine, Y.; Naima, A.; Dalila, H.; Habib, S.; Karim, S. Changes of peroxidase activities under cold stress in annuals populations of Medicago. Mol. Plant Breed. 2015, 6, 1–9. [Google Scholar] [CrossRef]
- Demiral, T.; Türkan, I. Comparative lipid peroxidation, antioxidant defense systems and proline content in roots of two rice cultivars differing in salt tolerance. Environ. Exp. Bot. 2005, 53, 247–257. [Google Scholar] [CrossRef]
- Wu, J.; Nadeem, M.; Galagedara, L.; Thomas, R.; Cheema, M. Effects of Chilling Stress on Morphological, Physiological, and Biochemical Attributes of Silage Corn Genotypes during Seedling Establishment. Plants 2022, 11, 1217. [Google Scholar] [CrossRef]
- Olanrewaju, O.S.; Babalola, O.O. Streptomyces: Implications and interactions in plant growth promotion. Appl. Microbiol. Biotechnol. 2019, 103, 1179–118872. [Google Scholar] [CrossRef]
- Mahmoud, A.W.M.; Ayad, A.A.; Abdel-Aziz, H.S.M.; Williams, L.L.; El-Shazoly, R.M.; Abdel-Wahab, A.; Abdeldaym, E.A. Foliar Application of Different Iron Sources Improves Morpho-Physiological Traits and Nutritional Quality of Broad Bean Grown in Sandy Soil. Plants 2022, 11, 2599. [Google Scholar] [CrossRef]
- Al-Amiri, M.S. Improved growth, productivity and quality of tomato (Solanum lycopersicum L.) plants through application of shikimic acid. Saudi J. Biol. Sci. 2013, 20, 339–345. [Google Scholar] [CrossRef]
- Zhao, S.; Zhou, N.; Zhao, Z.-Y.; Zhang, K.; Wu, G.-H.; Tian, C.-Y. Isolation of endophytic plant growth-promoting bacteria associated with the halophyte Salicornia europaea and evaluation of their promoting activity under salt stress. Curr. Microbiol. 2016, 73, 574–581. [Google Scholar] [CrossRef]
- Lee, J.M.; Oda, M. Grafting of herbaceous vegetable and ornamental crops. Hortic. Rev. 2003, 28, 61–124. [Google Scholar]
- Hassan, A.A. Tomato (in Arabic), 1st ed.; Arab House for Publishing and Distribution: Cairo, Egypt, 2008. [Google Scholar]
- Khan, M.A.; Asaf, S.; Khan, A.L.; Adhikari, A.; Jan, R.; Ali, S.; Imran, M.; Kim, K.M.; Lee, I.J. Halotolerant Rhizobacterial Strains Mitigate the Adverse Effects of NaCl Stress in Soybean Seedlings. Biomed Res. Int. 2019, 2019, 9530963. [Google Scholar] [CrossRef]
- Helrich, K. Official Methods of Analysis, 15th ed.; Association of Official Agricultural Chemist: Arlington, VA, USA, 1990; Volume 1, p. 673. [Google Scholar]
- Katoch, R. Analytical Techniques in Biochemistry and Molecular Biology; Springer Science & Business Media: Berlin/Heidelberg, Germany, 2011. [Google Scholar]
- Moran, R. Formulae for determination of chlorophyllous pigments extracted with N, Ndimethylformamide. Plant Physiol. 1982, 69, 1376–1381. [Google Scholar] [CrossRef] [PubMed]
- Sharma, S.K.; Le Maguer, M. Lycopene in tomatoes and tomato pulp fractions. Ital. J. Food Sci. 1996, 8, 107–113. [Google Scholar]
- Singleton, V.L.; Rossi, J.A. Colorimetry of total phenolics with phosphomolybdic phosphotungstic acid reagents. Am. J. Enol. Vitic. 1965, 16, 144–158. Available online: http://www.ajevonline.org/content/16/3/144.full.pdf+html (accessed on 1 January 2020).
- Jackson, M.L. Soil Chemical Analysis; Text Book; Printice-Hall of India Privat Limited: New Delhi, India, 1973; Volume 144–197, p. 381. [Google Scholar]
- Polle, A.; Otter, T.; Mehne-Jakobs, B. Effect of magnesium deficiency on antioxidative systems in needles of Norway spruce [Picea abies (L.) Karst.] grown with different ratios of nitrate and ammonium as nitrogen souices. New Phytol. 1994, 128, 621–628. [Google Scholar] [CrossRef]
- Giannopolitis, C.N.; Ries, S.K. Superoxide dismutases: Occurrence in higher plants. Plant Physiol. 1977, 59, 309–314. [Google Scholar] [CrossRef]
- Beyer, W.F., Jr.; Fridovich, I. Assaying for superoxide dismutase activity: Some large consequences of minor changes in conditions. Anal. Biochem. 1987, 161, 559–566. [Google Scholar] [CrossRef]
- Iturbe-Ormaetxe, I.; Escuredo, P.R.; Arrese-Igor, C.; Becana, M. Oxidative damage in pea plants exposed to water deWcit or paraquat. Plant Physiol. 1998, 116, 173–181. [Google Scholar] [CrossRef]
- Fales, T.M.; Jaouni, J.F.; Babashak, I. Simple device for preparing ethereal diazomethane without resorting to codistillation. Ann. Chem. 1973, 45, 2302–2303. [Google Scholar] [CrossRef]
- AOAC (Association of Official Analytical Chemists). Official Methods of Analysis; Association of Official Analytical Chemists: Washington, DC, USA, 1990. [Google Scholar]
- Mohammed, I.A.; Guma, A.N. Anatomical diversity among certain genera of Family Cucurbitaceae. IJRSB 2015, 3, 85–91. [Google Scholar]
- Gomez, K.N.; Gomez, A.A. Statistical Procedures for Agricultural Research, 2nd ed.; John Wiley and Sons: New York, NY, USA, 1984. [Google Scholar]
- Snedecor, G.W.; Cochran, W.G. Statistical Methods, 7th ed.; Iowa State University Press: Ames, IA, USA, 1980; p. 507. [Google Scholar]













| Treatment | Plant Height (cm) | Leaf Number | Leaf Area (cm2) |
|---|---|---|---|
| 2020 season | |||
| Peto 86/Peto 86 (Control) | 71.0 i | 14.0 f | 1202 f |
| Peto 86/S. cheesmaniae | 104.0 g | 23.3 d | 855 i |
| Peto 86/GS hybrid | 132.7 e | 19.7 e | 1618 c |
| Peto 86/Peto 86 + SA | 98.33 h | 20.67 e | 1441 d |
| Peto 86/S. cheesmaniae + SA | 138.0 d | 35.33 b | 998.3 h |
| Peto 86/GS + SA | 157.7 c | 30.67 c | 1845 b |
| Peto 86/Peto 86 + SG | 115.0 f | 29.33 c | 1260 e |
| Peto 86/S. cheesmaniae + SG | 166.7 b | 43.67 a | 1102 g |
| Peto 86/GS + SG | 188.0 a | 36.33 b | 2037 a |
| LSD 0.05 | 5.247 | 2.66 | 54.59 |
| 2021 Season | |||
| Peto 86/Peto 86 (Control) | 80.67 i | 17.67 g | 1208 d |
| Peto 86/S. cheesmaniae | 102.8 g | 26.00 e | 861.0 g |
| Peto 86/GS | 116.1 f | 23.00 f | 1624 c |
| Peto 86/Peto 86 + SA | 91.40 h | 23.67 f | 1258 d |
| Peto 86/S. cheesmaniae + SA | 131.7 d | 38.00 b | 1009 f |
| Peto 86/GS + SA | 148.7 c | 33.00 c | 1865 b |
| Peto 86/Peto 86 + SG | 123.4 e | 30.67 d | 1255 d |
| Peto 86/S. cheesmaniae + SG | 171.7 b | 47.00 a | 1109 e |
| Peto 86/GS + SG | 189.1 a | 39.83 b | 2049 a |
| LSD 0.05 | 3.423 | 1.855 | 52.05 |
| Treatments | Shoot Fresh Weight (g) | Shoot Dry Weight (g) | Root Fresh Weight (g) | Root Dry Weight (g) |
|---|---|---|---|---|
| 2020 Season | ||||
| Peto 86/Peto 86 (Control) | 183.3 g | 41.0 g | 115.2 h | 14.67 g |
| Peto 86/S. cheesmaniae | 252.0 f | 76. 7 e | 131.4 f | 21.0 f |
| Peto 86/GS | 297.3 d | 95.0 c | 142.1 e | 26.0 e |
| Peto 86/Peto 86 + SA | 242.7 f | 54.3 f | 122.3 g | 21.0 f |
| Peto 86/S. cheesmaniae + SA | 283.3 de | 85.0 d | 150.4 d | 29.0 d |
| Peto 86/GS + SA | 340.7 b | 101.3 b | 185.3 b | 38.0 b |
| Peto 86/Peto 86 + SG | 269.7 e | 79.3 e | 144.6 e | 24.7 e |
| Peto 86/S. cheesmaniae + SG | 322.3 c | 95.0 c | 162.7 c | 35. 3 c |
| Peto 86/GS + SG | 383.0 a | 114.3 a | 202.9 a | 44.7 a |
| LSD 0.05 | 15.0 | 4.5 | 3.39 | 2.6 |
| 2021 Season | ||||
| Peto 86/Peto 86 (Control) | 189.0 i | 39.33 i | 103.3 i | 13.00 h |
| Peto 86/S. cheesmaniae | 259.0 f | 81.00 g | 145.0 g | 21.00 f |
| Peto 86/GS | 306.2 d | 102.7 e | 166.7 e | 26.00 e |
| Peto 86/Peto 86 + SA | 224.9 h | 57.67 h | 121.7 h | 15.00 g |
| Peto 86/S. cheesmaniae + SA | 278.0 e | 97.00 f | 161.0 f | 28.67 d |
| Peto 86/GS + SA | 318.0 c | 118.7 c | 182.7 c | 34.0 c |
| Peto 86/Peto 86 + SG | 242.3 g | 115.3 d | 179.3 d | 25.00 e |
| Peto 86/S. cheesmaniae + SG | 361.2 b | 137.7 b | 201.7 b | 41.00 b |
| Peto 86/GS + SG | 391.9 a | 157.7 a | 221.7 a | 49.00 a |
| LSD 0.05 | 8.867 | 2.8 | 2.804 | 1.942 |
| Treatment | Macronutrients (%) Micronutrients (ppm) | ||||||
|---|---|---|---|---|---|---|---|
| N% | P% | K% | Ca% | Mn ppm | Fe ppm | Zn ppm | |
| 2020 Season | |||||||
| Peto 86/Peto 86 (Control) | 2.2 f | 0.20 g | 2.10 e | 0.72 g | 35.3 g | 56.39 h | 29.29 g |
| Peto 86/S. cheesmaniae | 3.0 e | 0.3 ef | 3.31 d | 0.88 f | 37.10 f | 67.6 g | 37.00 f |
| Peto 86/GS | 3.4 d | 0.39 cd | 3.97 c | 1.09 d | 39.0 e | 79.3 f | 44.53 d |
| Peto 86/Peto 86 + SA | 2.8 e | 0.28 f | 3.37 d | 0.85 f | 38.50 e | 80.9 e | 35.77 f |
| Peto 86/S. cheesmaniae + SA | 3.6 cd | 0.38 cd | 4.01 c | 1.12 d | 41.57 c | 85.0 d | 42.77 e |
| Peto 86/GS + SA | 4.3 b | 0.42 c | 3.82 c | 0.98 e | 40.27 d | 86.3 d | 42.97 e |
| Peto 86/Peto 86 + SG | 3.8 c | 0.36 de | 4.43 b | 1.22 c | 43.37 b | 88.0 c | 48.87 c |
| Peto 86/S. cheesmaniae + SG | 4.4 b | 0.53 b | 4.86 a | 1.29 b | 42.63 b | 90.5 b | 50.93 b |
| Peto 86/GS + SG | 4.9 a | 0.94 | 4.79 a | 1.46 a | 45.23 a | 92.5 a | 56.23 a |
| LSD 0.05 | 0.26 | 0.05 | 0.30 | 0.07 | 0.96 | 1.61 | 1.279 |
| 2021 Season | |||||||
| Peto 86/Peto 86 (Control) | 1.19i | 0.19 h | 1.43 f | 0.42 e | 33.13 i | 54.10 i | 28.15 h |
| Peto 86/S. cheesmaniae | 2.46 g | 0.27 g | 2.71 d | 0.57 e | 36.10 g | 58.23 g | 35.46 F |
| Peto 86/GS | 3.03 f | 0.3 fg | 3.57 b | 0.69 d | 37.20 f | 60.07 f | 40.35 e |
| Peto 86/Peto 86 + SA | 2.05 h | 0.36 f | 1.86 e | 0.55 e | 34.30 h | 55.53 h | 30.60 g |
| Peto 86/S. cheesmaniae + SA | 3.50 e | 0.44 e | 3.06 c | 0.78 d | 38.23 e | 62.0 e | 41.23 e |
| Peto 86/GS + SA | 4.09 d | 0.58 d | 2.70 d | 1.143 c | 39.13 d | 65.67 d | 44.06 d |
| Peto 86/Peto 86 + SG | 4.43 c | 0.64 c | 3.82 b | 1.25 b | 40.27 c | 81.67 c | 46.43 c |
| Peto 86/S. cheesmaniae + SG | 5.03 b | 0.73 b | 4.56 a | 1.317 ab | 41.30 b | 86.83 b | 48.51 b |
| Peto 86/GS + SG | 5.49 a | 0.91 a | 4.25 a | 1.36 a | 43.23 a | 89.5 a | 54.61 a |
| LSD 0.05 | 0.077 | 0.054 | 0.32 | 0.09 | 0.78 | 1.21 | 1.254 |
| Treatment | N% | P% | K% |
|---|---|---|---|
| 2020 Season | |||
| Peto 86/Peto 86 (Control) | 0.88 e | 0.005 a | 0.23 d |
| Peto 86/S. cheesmaniae | 1.16 d | 0.017 a | 0.31 bc |
| Peto 86/GS | 1.25 cd | 0.12 a | 0.35 b |
| Peto 86/Peto 86 + SA | 1.3 c | 0.019 a | 0.30 b–d |
| Peto 86/S. cheesmaniae + SA | 1.32 bc | 0.031 a | 0.33 b |
| Peto 86/GS + SA | 1.35 bc | 0.096 a | 0.37 b |
| Peto 86/Peto 86 + SG | 1.313 c | 0.031 a | 0.24 cd |
| Peto 86/S. cheesmaniae + SG | 1.430 ab | 0.12 a | 0.36 b |
| Peto 86/GS + SG | 1.473 a | 0.15 a | 0.5 a |
| LSD 0.05 | 0.10 | 0.18 ns | 0.07 |
| 2021 Season | |||
| Peto 86/Peto 86 (Control) | 0.52 c | 0.2 ab | 0.15 d |
| Peto 86/S. cheesmaniae | 1.12 b | 0.23 a | 0.23 bc |
| Peto 86/GS | 1.25 b | 0.26 a | 0.273 b |
| Peto 86/Peto 86 + SA | 1.20 b | 0.22 ab | 0.22 b–d |
| Peto 86/S. cheesmaniae + SA | 1.194 b | 0.25 a | 0.25 b |
| Peto 86/GS + SA | 1.137 b | 0.28 a | 0.29 b |
| Peto 86/Peto 86+ SG | 1.087 b | 0.26 a | 0.16 cd |
| Peto 86/S. cheesmaniae + SG | 1.243 b | 0.27 a | 0.27 b |
| Peto 86/GS + SG | 1.820 a | 0.28 a | 0.42 a |
| LSD 0.05 | 0.44 | 0.077 ns | 0.07 |
| Treatments | Histological Aspects | ||||||||
|---|---|---|---|---|---|---|---|---|---|
| Thickness of Midvein | Thickness of Lamina | Thickness of Palisade Tissue | Thickness of Spongy Tissue | Dimensions of Midvein Bundle | Mean Diameter of Vessels | Thickness of Upper Epidermis | Thickness of Lower Epidermis | ||
| Depth (Length) | Width | ||||||||
| Peto 86/Peto 86 | 628.68 | 158.86 | 95.74 | 69.11 | 168.12 | 305.68 | 13.63 | 19.14 | 14.51 |
| Peto 86/S. cheesmaniae | 755.42 | 96.79 | 51.52 | 45.25 | 260.17 | 414.47 | 14.96 | 20.80 | 15.18 |
| Peto 86/GS hybrid | 904.99 | 134.27 | 62.45 | 70.82 | 288.96 | 602.64 | 15.90 | 20.96 | 15.76 |
| Peto 86/Peto 86 + SA | 720.84 | 182.12 | 90.24 | 91.88 | 174.92 | 380.40 | 14.42 | 20.10 | 14.93 |
| Peto 86/S. cheesmaniae + SA | 790.27 | 160.72 | 64.39 | 96.33 | 267.20 | 537.21 | 15.09 | 21.83 | 15.26 |
| Peto 86/GS hybrid + SA | 934.32 | 135.87 | 64.25 | 72.45 | 315.41 | 650.28 | 16.05 | 21.33 | 16.98 |
| Peto 86/Peto 86 + S. griseus | 839.39 | 191.75 | 100.80 | 90.77 | 237.60 | 632.05 | 14.90 | 21.29 | 15.29 |
| Peto 86/S. cheesmaniae + S. griseus | 890.65 | 178.36 | 94.61 | 83.75 | 310.73 | 649.81 | 15.24 | 22.04 | 15.84 |
| Peto 86/GS hybrid + S. griseus | 1110.33 | 207.18 | 110.19 | 97.09 | 317.72 | 698.68 | 16.41 | 22.70 | 17.35 |
Publisher’s Note: MDPI stays neutral with regard to jurisdictional claims in published maps and institutional affiliations. |
© 2022 by the authors. Licensee MDPI, Basel, Switzerland. This article is an open access article distributed under the terms and conditions of the Creative Commons Attribution (CC BY) license (https://creativecommons.org/licenses/by/4.0/).
Share and Cite
Sayed, E.G.; Mahmoud, A.W.M.; Abdel-Wahab, A.; El-bahbohy, R.M.; Azoz, S.N. Rootstock Priming with Shikimic Acid and Streptomyces griseus for Growth, Productivity, Physio-Biochemical, and Anatomical Characterisation of Tomato Grown under Cold Stress. Plants 2022, 11, 2822. https://doi.org/10.3390/plants11212822
Sayed EG, Mahmoud AWM, Abdel-Wahab A, El-bahbohy RM, Azoz SN. Rootstock Priming with Shikimic Acid and Streptomyces griseus for Growth, Productivity, Physio-Biochemical, and Anatomical Characterisation of Tomato Grown under Cold Stress. Plants. 2022; 11(21):2822. https://doi.org/10.3390/plants11212822
Chicago/Turabian StyleSayed, Eman G., Abdel Wahab M. Mahmoud, Ahmed Abdel-Wahab, Reham M. El-bahbohy, and Samah N. Azoz. 2022. "Rootstock Priming with Shikimic Acid and Streptomyces griseus for Growth, Productivity, Physio-Biochemical, and Anatomical Characterisation of Tomato Grown under Cold Stress" Plants 11, no. 21: 2822. https://doi.org/10.3390/plants11212822
APA StyleSayed, E. G., Mahmoud, A. W. M., Abdel-Wahab, A., El-bahbohy, R. M., & Azoz, S. N. (2022). Rootstock Priming with Shikimic Acid and Streptomyces griseus for Growth, Productivity, Physio-Biochemical, and Anatomical Characterisation of Tomato Grown under Cold Stress. Plants, 11(21), 2822. https://doi.org/10.3390/plants11212822

