Fruit Phenolic and Triterpenic Composition of Progenies of Olea europaea subsp. cuspidata, an Interesting Phytochemical Source to Be Included in Olive Breeding Programs
Abstract
:1. Introduction
2. Results and Discussion
2.1. Characterization of the Metabolic Profile of Progenies from Olea europaea subsp. cuspidata by LC-MS
2.2. Application of LC-MS for the Quantitative Evaluation of Samples under Study
2.3. Comparison between Cuspidata and Cultivars Fruits: Evaluating the Potential of Cuspidata Phytochemical Source to Be Included in Olive Breeding Programs
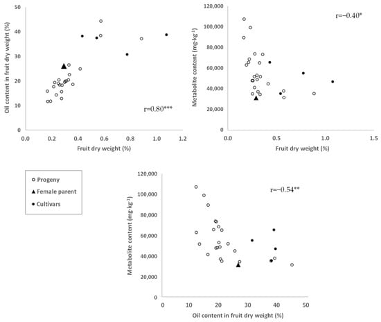
2.3.1. Fruit Weight, Oil Content and Total Compounds of Wild and Cultivated Olives
2.3.2. Quantitative Evaluation of the Selected Individual Compounds and Principal Component Analysis to Explore the Natural Clustering of the Samples
2.3.3. Quantitative Results Structured by Chemical Classes
2.3.4. Preliminary Exploration of Metabolic Pathways: Cross-Correlation of the Secondary Metabolites Determined in the Progeny
3. Materials and Methods
3.1. Plant Materials
3.2. Chemicals and Regents
3.3. Fruit Weight and Oil Content
3.4. Extraction and LC-MS Analysis of Fruit Metabolites
3.5. Statistical Analysis
4. Conclusions
Supplementary Materials
Author Contributions
Funding
Institutional Review Board Statement
Informed Consent Statement
Data Availability Statement
Conflicts of Interest
References
- Green, P.S. A Revision of Olea L. (Oleaceae). Kew Bull. 2002, 57, 91–140. [Google Scholar] [CrossRef]
- Besnard, G.; Henry, P.; Wille, L.; Cooke, D.; Chapuis, E. On the Origin of the Invasive Olives (Olea europaea L., Oleaceae). Heredity 2007, 99, 608–619. [Google Scholar] [CrossRef] [PubMed] [Green Version]
- Kassa, A.; Konrad, H.; Geburek, T. Molecular Diversity and Gene Flow within and among Different Subspecies of the Wild Olive (Olea europaea L.): A Review. Flora 2019, 250, 18–26. [Google Scholar] [CrossRef]
- Kaniewski, D.; Van Campo, E.; Boiy, T.; Terral, J.F.; Khadari, B.; Besnard, G. Primary Domestication and Early Uses of the Emblematic Olive Tree: Palaeobotanical, Historical and Molecular Evidence from the Middle East. Biol. Rev. 2012, 87, 885–899. [Google Scholar] [CrossRef] [Green Version]
- Besnard, G.; Khadari, B.; Navascués, M.; Fernández-Mazuecos, M.; El Bakkali, A.; Arrigo, N.; Baali-Cherif, D.; Brunini-Bronzini de Caraffa, V.; Santoni, S.; Vargas, P.; et al. The Complex History of the Olive Tree: From Late Quaternary Diversification of Mediterranean Lineages to Primary Domestication in the Northern Levant. Proc. R. Soc. B Biol. Sci. 2013, 280, 20122833. [Google Scholar] [CrossRef] [Green Version]
- Breton, C.; Tersac, M.; Bervillé, A. Genetic Diversity and Gene Flow between the Wild Olive (Oleaster, Olea europaea L.) and the Olive: Several Plio-Pleistocene Refuge Zones in the Mediterranean Basin Suggested by Simple Sequence Repeats Analysis. J. Biogeogr. 2006, 33, 1916–1928. [Google Scholar] [CrossRef]
- FAO Statistics Division of Food and Agriculture Organization of the United Nations (FAOSTAT). Available online: http://www.fao.org/faostat/es/#data/QC (accessed on 10 December 2021).
- Hannachi, H.; Sommerlatte, H.; Breton, C.; Msallem, M.; El Gazzah, M.; Ben El Hadj, S.; Bervillé, A. Oleaster (Var. Sylvestris) and Subsp. Cuspidata Are Suitable Genetic Resources for Improvement of the Olive (Olea europaea subsp. europaea Var. europaea). Genet. Resour. Crop Evol. 2009, 56, 393–403. [Google Scholar] [CrossRef]
- Long, H.S.; Tilney, P.M.; Van Wyk, B.E. The Ethnobotany and Pharmacognosy of Olea europaea subsp. Africana (Oleaceae). S. Afr. J. Bot. 2010, 76, 324–331. [Google Scholar] [CrossRef] [Green Version]
- Aerts, R.; Negussie, A.; Maes, W.; November, E.; Hermy, M.; Muys, B. Restoration of Dry Afromontane Forest Using Pioneer Shrubs as Nurse-Plants for Olea europaea ssp. Cuspidata. Restor. Ecol. 2007, 15, 129–138. [Google Scholar] [CrossRef] [Green Version]
- Caceres, M.E.; Pupilli, F.; Sarri, V.; Mencuccini, M.; Ceccarelli, M. Floral Biology in Olea europaea Subsp. Cuspidata: A Comparative Structural and Functional Characterization. Flora 2016, 222, 27–36. [Google Scholar] [CrossRef]
- Rallo, L.; Barranco, D.; Díez, C.M.; Rallo, P.; Suárez, M.P.; Trapero, C.; Pliego-Alfaro, F. Strategies for Olive (Olea europaea L.) Breeding: Cultivated Genetic Resources and Crossbreeding. In Advances in Plant Breeding Strategies: Fruits; Al-Khayri, J.M., Jain, S.M., Johnson, D.V., Eds.; Springer International Publishing: Berlin/Heidelberg, Germany, 2018; Volume 3, pp. 535–600. ISBN 9783319919447. [Google Scholar]
- Rallo, L. Looking towards Tomorrow in Olive Growing: Challenges in Breeding. Acta Hortic. 2014, 1057, 467–481. [Google Scholar] [CrossRef]
- Dıraman, H.; Karaman, H.T.; Sefer, F.; Ersoy, N.; Arsel, A.H. Using Nutritional Lipid and Sensorial Profiles for the Characterization of Turkish Olive (Memecik X Gemlik Cv) Hybrids Obtained from Controlled Crossbreeding. J. Am. Oil Chem. Soc. 2020, 97, 943–954. [Google Scholar] [CrossRef]
- León, L.; De La Rosa, R.; Velasco, L.; Belaj, A. Using Wild Olives in Breeding Programs: Implications on Oil Quality Composition. Front. Plant Sci. 2018, 9, 232. [Google Scholar] [CrossRef] [PubMed]
- De la Rosa, R.; Arias-Calderón, R.; Velasco, L.; León, L. Early Selection for Oil Quality Components in Olive Breeding Progenies. Eur. J. Lipid Sci. Technol. 2016, 118, 1160–1167. [Google Scholar] [CrossRef]
- Arias-Calderón, R.; Rodríguez-Jurado, D.; León, L.; Bejarano-Alcázar, J.; De la Rosa, R.; Belaj, A. Pre-Breeding for Resistance to Verticillium Wilt in Olive: Fishing in the Wild Relative Gene Pool. Crop Prot. 2015, 75, 25–33. [Google Scholar] [CrossRef]
- Pérez, A.G.; León, L.; Sanz, C.; de la Rosa, R. Fruit Phenolic Profiling: A New Selection Criterion in Olive Breeding Programs. Front. Plant Sci. 2018, 9, 241. [Google Scholar] [CrossRef] [Green Version]
- Ghanbari, R.; Anwar, F.; Alkharfy, K.M.; Gilani, A.H.; Saari, N. Valuable Nutrients and Functional Bioactives in Different Parts of Olive (Olea europaea L.)—A Review. Int. J. Mol. Sci. 2012, 13, 3291–3340. [Google Scholar] [CrossRef]
- Servili, M.; Selvaggini, R.; Esposto, S.; Taticchi, A.; Montedoro, G.F.; Morozzi, G. Health and Sensory Properties of Virgin Olive Oil Hydrophilic Phenols: Agronomic and Technological Aspects of Production That Affect Their Occurrence in the Oil. J. Chromatogr. A 2004, 1054, 113–127. [Google Scholar] [CrossRef]
- Romani, A.; Ieri, F.; Urciuoli, S.; Noce, A.; Marrone, G.; Nediani, C.; Bernini, R. Health Effects of Phenolic Compounds Found in Extra-Virgin Olive Oil, By-Products, and Leaf of Olea europaea L. Nutrients 2019, 11, 1776. [Google Scholar] [CrossRef] [Green Version]
- Sultana, N.; Ata, A. Oleanolic Acid and Related Derivatives as Medicinally Important Compounds. J. Enzym. Inhib. Med. Chem. 2008, 23, 739–756. [Google Scholar] [CrossRef]
- Guinda, Á.; Rada, M.; Delgado, T.; Gutiérrez-Adánez, P.; Castellano, J.M. Pentacyclic Triterpenoids from Olive Fruit and Leaf. J. Agric. Food Chem. 2010, 58, 9685–9691. [Google Scholar] [CrossRef] [PubMed]
- Sánchez-Quesada, C.; López-Biedma, A.; Warleta, F.; Campos, M.; Beltrán, G.; Gaforio, J.J. Bioactive Properties of the Main Triterpenes Found in Olives, Virgin Olive Oil, and Leaves of Olea europaea. J. Agric. Food Chem. 2013, 61, 12173–12182. [Google Scholar] [CrossRef] [PubMed]
- Azadmard-Damirchi, S.; Dutta, P.C. Phytosterols Classes in Olive Oils and Their Analysis by Common Chromatographic Methods. In Olives and Olive Oil in Health and Disease Prevention; Preedy, V.R., Watson, R.R., Eds.; Elsevier Inc.: Amsterdam, The Netherlands, 2010; pp. 249–258. [Google Scholar]
- Shahidi, F.; De Camargo, A.C. Tocopherols and Tocotrienols in Common and Emerging Dietary Sources: Occurrence, Applications, and Health Benefits. Int. J. Mol. Sci. 2016, 17, 1745. [Google Scholar] [CrossRef]
- Obied, H.K.; Bedgood, D.R., Jr.; Prenzler, P.D.; Robards, K. Chemical Screening of Olive Biophenol Extracts by Hyphenated Liquid Chromatography. Anal. Chim. Acta 2007, 603, 176–189. [Google Scholar] [CrossRef] [PubMed]
- Kanakis, P.; Termentzi, A.; Michel, T.; Gikas, E.; Halabalaki, M.; Skaltsounis, A.L. From Olive Drupes to Olive OilAn HPLC-Orbitrap-Based Qualitative and Quantitative Exploration of Olive Key Metabolites. Planta Med. 2013, 79, 1576–1587. [Google Scholar] [CrossRef] [Green Version]
- Dagdelen, A.; Tümen, G.; Özcan, M.M.; Dündar, E. Phenolics Profiles of Olive Fruits (Olea europaea L.) and Oils from Ayvalik, Domat and Gemlik Varieties at Different Ripening Stages. Food Chem. 2013, 136, 41–45. [Google Scholar] [CrossRef]
- Talhaoui, N.; Gómez-Caravaca, A.M.; León, L.; De La Rosa, R.; Fernández-Gutiérrez, A.; Segura-Carretero, A. Pattern of Variation of Fruit Traits and Phenol Content in Olive Fruits from Six Different Cultivars. J. Agric. Food Chem. 2015, 63, 10466–10476. [Google Scholar] [CrossRef]
- Jerman Klen, T.; Golc Wondra, A.; Vrhovšek, U.; Mozetič Vodopivec, B. Phenolic Profiling of Olives and Olive Oil Process-Derived Matrices Using UPLC-DAD-ESI-QTOF-HRMS Analysis. J. Agric. Food Chem. 2015, 63, 3859–3872. [Google Scholar] [CrossRef]
- Bodoira, R.; Torres, M.; Pierantozzi, P.; Taticchi, A.; Servili, M.; Maestri, D. Oil Biogenesis and Antioxidant Compounds from “Arauco” Olive (Olea europaea L.) Cultivar during Fruit Development and Ripening. Eur. J. Lipid Sci. Technol. 2015, 117, 377–388. [Google Scholar] [CrossRef]
- Olmo-García, L.; Kessler, N.; Neuweger, H.; Wendt, K.; Olmo-Peinado, J.M.; Fernández-Guti rrez, A.; Baessmann, C.; Carrasco-Pancorbo, A. Unravelling the Distribution of Secondary Metabolites in Olea europaea l.: Exhaustive Characterization of Eight Olive-Tree Derived Matrices by Complementary Platforms (LC-ESI/APCI-MS and GC-APCI-MS). Molecules 2018, 23, 2419. [Google Scholar] [CrossRef] [Green Version]
- Anwar, P.; Bendini, A.; Gulfraz, M.; Qureshi, R.; Valli, E.; Di Lecce, G.; Naqvi, S.M.S.; Gallina Toschi, T. Characterization of Olive Oils Obtained from Wild Olive Trees (Olea Ferruginea Royle) in Pakistan. Food Res. Int. 2013, 54, 1965–1971. [Google Scholar] [CrossRef]
- Baccouri, B.; Guerfel, M.; Zarrouk, W.; Taamalli, W.; Daoud, D.; Zarrouk, M. Wild Olive (Olea europaea L.) Selection for Quality Oil Production. J. Food Biochem. 2011, 35, 161–176. [Google Scholar] [CrossRef]
- Baccouri, B.; Zarrouk, W.; Baccouri, O.; Guerfel, M.; Nouairi, I.; Krichene, D.; Daoud, D.; Zarrouk, M. Composition, Quality and Oxidative Stability of Virgin Olive Oils from Some Selected Wild Olives (Olea europaea L. subsp. Oleaster). Grasas Y Aceites 2008, 59, 346–351. [Google Scholar] [CrossRef] [Green Version]
- Bouarroudj, K.; Tamendjari, A.; Larbat, R. Quality, Composition and Antioxidant Activity of Algerian Wild Olive (Olea europaea L. Subsp. Oleaster) Oil. Ind. Crops Prod. 2016, 83, 484–491. [Google Scholar] [CrossRef]
- Dabbou, S.; Dabbou, S.; Selvaggini, R.; Urbani, S.; Taticchi, A.; Servili, M.; Hammami, M. Comparison of the Chemical Composition and the Organoleptic Profile of Virgin Olive Oil from Two Wild and Two Cultivated Tunisian Olea europaea. Chem. Biodivers. 2011, 8, 189–202. [Google Scholar] [CrossRef]
- Rodrigues, N.; Pinho, T.; Casal, S.; Peres, A.M.; Baptista, P.; Pereira, J.A. Chemical Characterization of Oleaster, Olea europaea Var. Sylvestris (Mill.) Lehr., Oils from Different Locations of Northeast Portugal. Appl. Sci. 2020, 10, 6414. [Google Scholar] [CrossRef]
- Kritikou, E.; Kalogiouri, N.P.; Kolyvira, L.; Thomaidis, N.S. Target and Suspect HRMS Metabolomics for the 13 Varieties of Olive Leaves and Drupes from Greece. Molecules 2020, 25, 4889. [Google Scholar] [CrossRef]
- Joshi, S. Olea Ferruginea Royle, Indian Olive: An Underutilised Fruit Tree Crop of North-West Himalaya. Fruits 2012, 67, 121–126. [Google Scholar] [CrossRef]
- Gulfraz, M.; Kasuar, R.; Arshad, G.; Mehmood, S.; Minhas, N.; Asad, M.J.; Ahmad, A.; Siddique, F. Isolation and Characterization of Edible Oil from Wild Olive. Afr. J. Biotechnol. 2009, 8, 3734–3738. [Google Scholar] [CrossRef]
- Pérez, A.G.; León, L.; Pascual, M.; de la Rosa, R.; Belaj, A.; Sanz, C. Analysis of Olive (Olea europaea L.) Genetic Resources in Relation to the Content of Vitamin e in Virgin Olive Oil. Antioxidants 2019, 8, 242. [Google Scholar] [CrossRef] [Green Version]
- Santos-Sánchez, N.F.; Salas-Coronado, R.; Hernández-Carlos, B.; Villanueva-Cañongo, C. Shikimic Acid Pathway in Biosynthesis of Phenolic Compounds. In Plant Physiological Aspects of Phenolic Compounds; Soto-Hernández, M., García-Mateos, R., Palma-Tenango, M., Eds.; IntechOpen: London, UK, 2019; pp. 1–15. [Google Scholar]
- Obied, H.K.; Prenzler, P.D.; Ryan, D.; Servili, M.; Taticchi, A.; Esposto, S.; Robards, K. Biosynthesis and Biotransformations of Phenol-Conjugated Oleosidic Secoiridoids from Olea europaea L. Nat. Prod. Rep. 2008, 25, 1167–1179. [Google Scholar] [CrossRef] [PubMed]
- Dini, I.; Graziani, G.; Fedele, F.L.; Sicari, A.; Vinale, F.; Castaldo, L.; Ritieni, A. An Environmentally Friendly Practice Used in Olive Cultivation Capable of Increasing Commercial Interest in Waste Products from Oil Processing. Antioxidants 2020, 9, 466. [Google Scholar] [CrossRef] [PubMed]
- Ryan, D.; Antolovich, M.; Prenzler, P.; Robards, K.; Lavee, S. Biotransformations of Phenolic Compounds in Olea europaea L. Sci. Hortic. 2002, 92, 147–176. [Google Scholar] [CrossRef]
- Hiroya, K.; Ogasawara, K. A Concise Enantio- and Diastereo-Controlled Synthesis of (2)-Quinic Acid and (2)-Shikimic Acid the Key Intermediates in the Shikimate Pathway in Plants and Microorganisms, Have Been Synthesized Concisely in an Enantio- and Diastereo-Controlled Mann. Chem. Commun. 1998, 4, 2033–2034. [Google Scholar] [CrossRef]
- Belaj, A.; Ninot, A.; Gómez-Gálvez, F.J.; El Riachy, M.; Gurbuz-Veral, M.; Torres, M.; Lazaj, A.; Klepo, T.; Paz, S.; Ugarte, J.; et al. Utility of EST-SNP Markers for Improving Management and Use of Olive Genetic Resources: A Case Study at the Worldwide Olive Germplasm Bank of Córdoba. Plants 2022, 11, 921. [Google Scholar] [CrossRef] [PubMed]
- Del Río, C.; Romero, A.M. Whole, Unmilled Olives Can Be Used to Determine Their Oil Content by Nuclear Magnetic Resonance. Horttechnology 1999, 9, 675–680. [Google Scholar] [CrossRef] [Green Version]
- Olmo-García, L.; Polari, J.J.; Li, X.; Bajoub, A.; Fernández-Gutiérrez, A.; Wang, S.C.; Carrasco-Pancorbo, A. Deep Insight into the Minor Fraction of Virgin Olive Oil by Using LC-MS and GC-MS Multi-Class Methodologies. Food Chem. 2018, 261, 184–193. [Google Scholar] [CrossRef]





| Olive Cultivar | Matrix/Matrices Considered | Analytical Platform(s) Used | Total Number of Determined Analytes | Compounds Detected in Drupes | Ref. |
|---|---|---|---|---|---|
| Frantoio and Correggilo | Olive oil, pulp and mill waste | RPLC-DAD/FLD RPLC-ESI-TQ MS | 79 | 5 simple phenols, 5 organic acids, 12 flavonoids, 25 secoiridoids and 4 unknown compounds | [27] |
| Koroneiki | Olive drupes, fruit paste, unrefined oil and “final” oil | LC-PDA/ESI-LTQ- Orbitrap XL hybrid MS | 52 | 4 simple phenols and derivatives, 25 secoiridoids and derivatives, 3 phenolic acid derivatives, 7 flavonoids, 2 triterpenes and 1 lactone | [28] |
| Anyvalik, Domat and Gemlik | Olive fruit and olive oil | HPLC-DAD | 20 | 12 phenolic acids, 3 simple phenols, oleuropein, and 4 flavonoids | [29] |
| Arbequina, Picual, Sikitita, Arbosana, Changlot Real and Koroneiki | Olive fruit | HPLC-DAD/TOF-MS | 57 | 18 secoiridoids, 14 flavonoids, 11 simple phenols, 9 oleosides and 5 elenolic acid glucosides | [30] |
| Istrska belica | Olive fruit, stones, paste, oil, pomace, and wastewater | UPLC-DAD/ESI-QTOF-HRMS | 80 | 5 simple phenols, 4 cinnamics acids, 12 flavonoids and 24 secoiridoids | [31] |
| Arauco | Olive drupes and oil | GC-MS HPLC-DAD/FLD | 10 | 3 tocopherols, squalene, 3 simple phenols and derivatives, 3 secoiridoids and 2 lignans | [32] |
| Picudo | Olive leaf, stem, seed, fruit skin and pulp, different types of olive oils | LC-ESI/APCI-QTOF MS GC-APCI-QTOF MS | 142 in LC-MS 58 in GC-MS | 12 phenolic acids and aldehydes, 4 organic acids and coumarins, 9 simple phenols and derivatives, 32 secoiridoids and derivatives, 14 flavonoids, 4 lignans, 6 pentacyclic triterpenes, 2 tocopherols and 5 sterols | [33] |
| Compound | Family | Molecular Formula | Rt (min) | m/zexp | m/ztheo | Error (ppm) | mSigma | In-Source Fragment/s | Quantified Peak Number | Standard (Quantified in Terms of) |
|---|---|---|---|---|---|---|---|---|---|---|
| quinic acid | organic acid | C7H12O6 | 0.90 | 191.0550 | 191.0561 | 5.6 | 7.5 | - | 1 | quinic acid |
| citric acid | organic acid | C6H8O7 | 0.95 | 191.0190 | 191.0197 | 4.0 | 3.9 | - | ||
| dehydro oleuropein aglycone (A) | secoiridoids | C19H20O8 | 0.98 | 375.1292 | 375.1297 | 1.4 | 63.7 | 133.0133 | ||
| acyclodihydroelenolic acid hexoside (A) | secoiridoids | C17H28O11 | 1.00 | 407.1536 | 407.1559 | 5.6 | 0.27 | 815.3155 | ||
| oleoside/secologanoside (A) | secoiridoids | C16H22O11 | 1.00 | 389.1087 | 389.1089 | 0.5 | 17.9 | 345.1180 | ||
| elenolic acid glucoside (A) | secoiridoids | C17H24O11 | 1.01 | 403.1232 | 403.1246 | 3.4 | 22 | 223.0591 | ||
| dehydro oleuropein aglycone (B) | secoiridoids | C16H24O10 | 1.22 | 375.1296 | 375.1297 | 0.2 | 19.8 | 133.0139 | ||
| oleoside/secologanoside (B) | secoiridoids | C16H22O11 | 1.34 | 389.1083 | 389.1089 | 1.7 | 10.2 | 345.1183 | ||
| hydroxytyrosol glucoside | simple phenols | C14H20O8 | 1.34 | 315.1081 | 315.1085 | 1.4 | 11.9 | 153.0549 | 2 | hydroxytyr-osol |
| acyclodihydroelenolic acid hexoside (B) | secoiridoids | C17H28O11 | 1.60 | 407.1558 | 407.1559 | 0.3 | 10 | 815.3151 | 3 | oleuropein |
| dehydro acyclodihydroelenolic acid hexoside | secoiridoids | C17H26O10 | 1.62 | 389.1454 | 389.1453 | −0.2 | 5.8 | - | ||
| oleoside/secologanoside (C) | secoiridoids | C16H22O11 | 2.36 | 389.1074 | 389.1089 | 4.0 | 6.1 | 345.1178 | 4 | oleuropein |
| elenolic acid glucoside (B) | secoiridoids | C17H24O11 | 2.45 | 403.1234 | 403.1246 | 3.0 | 15.4 | 223.0601 | ||
| oxydized hydroxytyrosol | simple phenols | C8H8O3 | 3.10 | 151.0395 | 151.0401 | 3.5 | 7.1 | - | ||
| elenolic acid glucoside (C) | secoiridoids | C17H24O11 | 3.52 | 403.1246 | 403.1246 | 1.5 | 8.3 | 223.0598 | 5 | oleuropein |
| β-hydroxy verbascoside | secoiridoids | C29H36O16 | 4.22 | 639.1929 | 639.1931 | 0.3 | 11.2 | - | 6 | verbascoside |
| oleuropein glucoside (A) | secoiridoids | C31H42O18 | 4.61 | 701.2293 | 701.2298 | 0.8 | 8.2 | - | ||
| rutin (A) | flavonoids | C27H30O16 | 4.77 | 609.1463 | 609.1461 | −0.3 | 14.9 | - | ||
| phenylethyl primeveroside | simple phenols | C19H28O10 | 4.96 | 415.1606 | 415.1610 | 0.8 | 6.6 | - | ||
| hydroxy decarboxymethyl oleuropein aglycone | secoiridoids | C17H20O7 | 5.14 | 335.1147 | 335.1136 | −3.1 | 13.1 | - | ||
| demethyl oleuropein | secoiridoids | C24H30O13 | 5.73 | 525.1608 | 525.1614 | 1.1 | 5.4 | 1051.3298 | 7 | oleuropein |
| rutin (B) | flavonoids | C27H30O16 | 5.81 | 609.1440 | 609.1461 | 3.4 | 11.2 | 301.0351 | 8 | rutin |
| hydroxyoleuropein | secoiridoids | C25H32O14 | 6.21 | 555.1720 | 555.1719 | −0.1 | 7.6 | 393.1195 | ||
| neonuzhenide | secoiridoids | C31H42O18 | 6.30 | 701.2292 | 701.2298 | 0.9 | 5.2 | - | 9 | oleuropein |
| luteolin 7-O-glucoside | flavonoids | C21H20O11 | 6.48 | 447.0932 | 447.0933 | 0.1 | 6.9 | 285.0406 | 10 | luteolin 7-O-glucoside |
| verbascoside | secoiridoids | C29H36O15 | 6.84 | 623.1979 | 623.1981 | 0.3 | 37.1 | - | 11 | verbascoside |
| luteolin rutinoside | flavonoids | C27H30O15 | 7.12 | 593.1516 | 593.1512 | −0.6 | 19.1 | - | ||
| methoxy oleuropein (A) | secoiridoids | C26H34O14 | 7.28 | 569.1878 | 569.1876 | −0.4 | 7.5 | 389.1071 | 12 | oleuropein |
| demethyl ligstroside | secoiridoids | C24H30O12 | 7.43 | 509.1666 | 509.1664 | −0.2 | 10.2 | 347.1122 | 13 | verbascoside |
| luteolin glucoside (A) | flavonoids | C21H20O11 | 7.67 | 447.0937 | 447.0933 | −1.0 | 17.6 | |||
| dihydro oleuropein | secoiridoids | C25H36O13 | 7.71 | 543.2082 | 543.2083 | 0.2 | 21.1 | 525.1972 513.1981 | 14 | oleuropein |
| dehydro nuzhenide | secoiridoids | C31H40O16 | 7.78 | 667.2244 | 667.2244 | −0.1 | 11.0 | 310.0872 | 15 | oleuropein |
| nuzhenide | secoiridoids | C31H42O17 | 7.80 | 685.2350 | 685.2349 | −0.2 | 13.7 | 523.1806 | ||
| luteolin glucoside (B) | flavonoids | C21H20O11 | 7.97 | 447.0931 | 447.0933 | 0.4 | 6.1 | 285.0388 | 16 | luteolin 7-O-glucoside |
| apigenin 7-O-glucoside | flavonoids | C21H20O10 | 8.08 | 431.0981 | 431.0984 | 0.7 | 11.7 | - | ||
| oleuropein glucoside (B) | secoiridoids | C31H42O18 | 8.12 | 701.2232 | 701.2298 | −0.5 | 6.9 | - | oleuropein | |
| 10-hydroxyoleuropein aglycon (A) | secoiridoids | C19H22O9 | 8.19 | 393.1189 | 393.1191 | 0.6 | 21.8 | - | ||
| caffeoyl 6-secologanoside | secoiridoids | C25H28O14 | 8.34 | 551.1385 | 551.1406 | 3.8 | 9.8 | - | 17 | verbascoside |
| methoxy oleuropein (B) | secoiridoids | C26H34O14 | 8.85 | 569.1876 | 569.1876 | −0.1 | 18.7 | 389.1069 | ||
| luteolin glucoside (C) | flavonoids | C21H20O11 | 8.92 | 447.0923 | 447.0933 | 2.1 | 7.2 | - | ||
| oleuropein | secoiridoids | C25H32O13 | 9.93 | 539.1768 | 539.1770 | 0.5 | 6.2 | 377.1232 307.0821 | 18 | oleuropein |
| fraxamoside | secoiridoids | C25H30O13 | 10.50 | 537.1605 | 537.1614 | 1.7 | 31.3 | - | ||
| 10-hydroxyoleuropein aglycon (B) | secoiridoids | C19H22O9 | 10.88 | 393.1180 | 393.1191 | 2.9 | 19.8 | - | ||
| lucidumoside C (A) | secoiridoids | C27H36O14 | 11.48 | 583.2031 | 583.2032 | 0.2 | 5.3 | 1167.4106 537.1594 403.1223 | 19 | oleuropein |
| luteolin | flavonoids | C15H10O6 | 11.59 | 285.0398 | 285.0405 | 2.4 | 3.0 | - | ||
| elenolic acid glucoside (D) | secoiridoids | C17H24O11 | 11.70 | 403.1241 | 403.1246 | 1.3 | 11.8 | 223.0591 | ||
| ligstroside | secoiridoids | C25H32O12 | 11.91 | 523.1820 | 523.1821 | 0.2 | 5.5 | 361.1276 291.0858 259.0969 | 20 | oleuropein |
| elenolic acid glucoside (E) | secoiridoids | C17H24O11 | 11.95 | 403.1246 | 403.1246 | 0.7 | 24.4 | 223.0594 | ||
| hydroxyoleuropein | secoiridoids | C26H36O13 | 12.03 | 555.2084 | 555.2083 | −0.1 | 6.8 | 539.1779 | ||
| apigenin | flavonoides | C15H10O5 | 12.19 | 269.0442 | 269.0455 | 5 | 15.4 | - | ||
| lucidumoside C (B) | secoiridoids | C27H36O14 | 12.44 | 583.2026 | 583.2032 | 1.1 | 11.6 | - | ||
| unknown 1 | - | C19H24O7 | 12.60 | 363.1440 | 363.1449 | 2.5 | 8.7 | - | 21 | oleuropein |
| oleuropein aglycone (A) | secoiridoids | C19H22O8 | 12.71 | 377.1230 | 377.1242 | 3.3 | 14.5 | 345.0969 307.0814 275.0918 | 22 | oleuropein |
| compound related to oleuropein aglycone | secoiridoids | C20H26O8 | 12.71 | 393.1542 | 393.1555 | 3.3 | 9.3 | - | ||
| compound related to oleuropein aglycone | secoiridoids | C20H26O8 | 13.10 | 393.1552 | 393.1555 | 0.9 | 6.6 | - | ||
| oleuropein aglycone (B) | secoiridoids | C19H22O8 | 13.29 | 377.1230 | 377.1242 | 3.2 | 10.7 | 345.0964 307.0809 275.0917 | 23 | oleuropein |
| unknown 2 | - | C21H26O9 | 13.58 | 421.1494 | 421.1504 | 2.5 | 9.7 | - | 24 | oleuropein |
| monohydroxylated derivative of maslinic acid | pentacyclic triterpenes | C30H48O5 | 14.27 | 487.3420 | 487.3429 | 1.9 | 7.2 | - | ||
| maslinic acid | pentacyclic triterpenes | C30H48O4 | 15.78 | 471.3479 | 471.348 | 0.2 | 0.2 | 393.3158 | 25 | maslinic acid |
| betulinic acid | pentacyclic triterpenes | C30H48O3 | 17.48 | 455.3529 | 455.3531 | 0.4 | 11.4 | - | 26 | betulinic acid |
| betulinic/oleanolic acid isomer | pentacyclic triterpenes | C30H48O3 | 17.65 | 455.3531 | 455.3531 | 0.0 | 6.1 | - | ||
| oleanolic acid | pentacyclic triterpenes | C30H48O3 | 17.82 | 455.3528 | 455.3531 | 0.6 | 12.3 | - | 27 | oleanolic acid |
| Family | cuspidata | Cultivars | ||||
|---|---|---|---|---|---|---|
| Compound | N | Mean * | C.V. (%) | N | Mean * | C.V. (%) |
| Flavonoids | 7195 | 45 | 1750 | 53 | ||
| Luteolin glucoside (is B) | 28 | 243 | 73 | 4 | 48 | 99 |
| Luteolin 7-O-glucoside | 26 | 500 | 56 | 4 | 420 | 73 |
| Rutin (is B) | 28 | 6452 | 50 | 4 | 1282 | 48 |
| Organic acids | ||||||
| Quinic acid | 28 | 12,316 | 24 | 4 | 13,024 | 19 |
| Pentacyclic triterpenes | 13,187 | 31 | 12,612 | 29 | ||
| Betulinic acid | 28 | 43 | 76 | 4 | 15 | 43 |
| Oleanolic acid | 28 | 3588 | 46 | 4 | 2804 | 38 |
| Maslinic acid | 28 | 9556 | 27 | 4 | 9794 | 27 |
| Secoiridoids | 19,950 | 85 | 23,233 | 54 | ||
| Caffeoyl 6-secologanoside | 28 | 127 | 119 | 4 | 261 | 71 |
| Dihydro oleuropein | 28 | 151 | 56 | 4 | 755 | 79 |
| Dehydro nuzhenide | 28 | 187 | 126 | 4 | 72 | 130 |
| β-hydroxy verbascoside | 26 | 231 | 125 | 3 | 84 | 108 |
| Neonuzhenide | 28 | 241 | 68 | 1 | 322 | M |
| Methoxy oleuropein (is A) | 27 | 267 | 84 | 2 | 30 | 4 |
| Oleuropein aglycone (is A) | 28 | 418 | 136 | 4 | 1056 | 88 |
| Oleuropein aglycone (is B) | 28 | 562 | 109 | 4 | 2014 | 51 |
| Demethyl ligstroside | 27 | 994 | 127 | 1 | 592 | M |
| Acyclodihydroelenolic acid hexoside (is B) | 28 | 1023 | 57 | 4 | 1499 | 23 |
| Oleoside/secologanoside (is C) | 28 | 1123 | 66 | 4 | 314 | 89 |
| Ligstroside | 27 | 1241 | 161 | 4 | 1012 | 84 |
| Lucidumoside C (is A) | 28 | 1297 | 117 | 4 | 457 | 66 |
| Demethyl oleuropein | 27 | 1797 | 103 | 2 | 639 | 99 |
| Elenolic acid glucoside (is C) | 28 | 2012 | 57 | 4 | 1248 | 72 |
| Verbascoside | 18 | 2044 | 76 | 3 | 2047 | 85 |
| Oleuropein | 28 | 6237 | 155 | 4 | 10,831 | 88 |
| Simple phenols | ||||||
| Hydroxytyrosol glucoside | 28 | 2196 | 73 | 4 | 1434 | 29 |
| Unknowns | 1009 | 64 | 212 | 137 | ||
| Unknown 1 (m/z 363) | 28 | 483 | 83 | 3 | 41 | 80 |
| Unknown 2 (m/z 421) | 28 | 526 | 93 | 4 | 171 | 89 |
| Total | 55,853 | 37 | 52,265 | 25 | ||
| Maslinic acid | Oleuropein | Rutin (B) | Oleanolic acid | Hydroxytyrosol glucoside | Verbascoside | Elenolic acid glucoside (C) | Demethyl oleuropein | Ligstroside | Lucidumoside C (A) | Acyclodihydroelenolic acid hexoside (B) | Oleoside/secologanoside (C) | Demethyl ligstroside | Oleuropein aglycone (B) | Oleuropein aglycone (A) | Luteolin 7-O-glucoside | Unknown 2 (m/z 421) | Unknown 1 (m/z 363) | Methoxy oleuropein (A) | Neonuzhenide | Dihydro oleuropein | Luteolin glucoside (B) | β-hydroxy verbascoside | Dehydro nuzhenide | Caffeoyl 6-secologanoside | Betulinic acid | |
| 0.20 | −0.61 | −0.28 | 0.18 | 0.28 | −0.14 | 0.27 | 0.20 | −0.58 | −0.69 | 0.28 | −0.30 | 0.09 | −0.09 | −0.13 | 0.22 | −0.23 | 0.31 | 0.19 | 0.07 | 0.04 | 0.04 | −0.20 | −0.32 | 0.10 | −0.22 | Quinic acid |
| −0.48 | 0.09 | 0.69 | 0.00 | −0.27 | −0.45 | −0.14 | −0.34 | −0.38 | 0.22 | −0.31 | −0.10 | 0.07 | −0.01 | 0.53 | −0.15 | 0.12 | −0.05 | −0.01 | −0.15 | 0.17 | −0.29 | −0.32 | 0.14 | 0.44 | Maslinic acid | |
| −0.27 | −0.43 | −0.42 | 0.00 | −0.17 | −0.39 | 0.65 | 0.62 | −0.14 | −0.06 | −0.29 | 0.28 | 0.35 | −0.48 | 0.05 | −0.38 | −0.41 | −0.03 | 0.23 | −0.33 | 0.05 | 0.12 | 0.12 | −0.14 | Oleuropein | ||
| 0.04 | −0.14 | −0.06 | −0.17 | −0.01 | −0.01 | 0.11 | −0.36 | 0.29 | 0.01 | −0.43 | −0.38 | 0.22 | 0.25 | 0.05 | 0.10 | 0.04 | −0.43 | 0.42 | 0.08 | 0.17 | −0.25 | 0.44 | Rutin (B) | |||
| 0.06 | −0.24 | −0.38 | −0.24 | −0.21 | −0.16 | 0.24 | −0.22 | −0.19 | −0.09 | −0.02 | 0.13 | 0.18 | 0.27 | −0.03 | −0.26 | −0.39 | 0.08 | 0.07 | −0.06 | 0.07 | 0.41 | Oleanolic acid | ||||
| −0.17 | 0.28 | 0.37 | −0.45 | −0.46 | 0.01 | 0.40 | 0.15 | −0.26 | −0.25 | 0.15 | −0.20 | 0.44 | 0.42 | 0.03 | −0.12 | 0.20 | −0.15 | −0.20 | −0.21 | −0.02 | Hydroxytyrosol glucoside | |||||
| 0.02 | −0.08 | 0.16 | −0.04 | −0.04 | 0.01 | −0.18 | 0.52 | 0.18 | −0.11 | 0.12 | −0.42 | −0.33 | −0.05 | 0.48 | −0.33 | 0.61 | 0.63 | 0.19 | −0.32 | Verbascoside | ||||||
| 0.57 | −0.25 | −0.15 | −0.04 | 0.28 | 0.39 | −0.41 | −0.43 | 0.01 | −0.26 | 0.14 | 0.55 | 0.34 | 0.00 | 0.07 | −0.13 | −0.12 | −0.06 | −0.35 | Elenolic acid glucoside (C) | |||||||
| −0.50 | −0.47 | −0.29 | 0.41 | 0.77 | −0.38 | −0.49 | 0.20 | −0.40 | 0.15 | 0.85 | 0.06 | 0.03 | 0.16 | −0.37 | −0.36 | −0.09 | −0.14 | Demethyl oleuropein | ||||||||
| 0.64 | −0.11 | −0.12 | −0.34 | 0.16 | 0.15 | −0.56 | 0.22 | −0.41 | −0.56 | −0.24 | 0.05 | −0.38 | 0.33 | 0.38 | −0.13 | −0.13 | Ligstroside | |||||||||
| −0.13 | 0.16 | −0.37 | 0.07 | 0.35 | −0.43 | 0.45 | −0.24 | −0.39 | 0.02 | −0.24 | −0.13 | 0.32 | 0.41 | 0.00 | −0.03 | Lucidumoside C (A) | ||||||||||
| −0.42 | −0.30 | 0.31 | 0.27 | 0.09 | 0.08 | 0.19 | −0.24 | −0.19 | 0.29 | −0.10 | −0.07 | −0.15 | 0.07 | −0.11 | Acyclodihydroelenolic acid hexoside (B) | |||||||||||
| 0.17 | −0.46 | −0.35 | 0.00 | 0.14 | 0.40 | 0.39 | 0.11 | −0.30 | 0.12 | 0.01 | 0.09 | −0.31 | 0.01 | Oleoside/secologanoside (C) | ||||||||||||
| −0.27 | −0.39 | 0.17 | −0.25 | −0.20 | 0.69 | −0.02 | 0.04 | 0.11 | −0.27 | −0.23 | −0.16 | −0.02 | Demethyl ligstroside | |||||||||||||
| 0.79 | −0.11 | 0.01 | −0.50 | −0.56 | −0.14 | 0.66 | −0.30 | 0.14 | 0.18 | 0.30 | −0.10 | Oleuropein aglycone (B) | ||||||||||||||
| −0.14 | 0.12 | −0.43 | −0.56 | −0.24 | 0.23 | −0.19 | 0.16 | 0.20 | 0.24 | −0.14 | Oleuropein aglycone (A) | |||||||||||||||
| −0.38 | 0.15 | 0.10 | 0.32 | −0.16 | 0.71 | −0.41 | −0.42 | 0.09 | 0.18 | Luteolin 7-O-glucoside | ||||||||||||||||
| 0.10 | −0.25 | −0.22 | −0.12 | −0.15 | 0.37 | 0.46 | −0.09 | 0.20 | Unknown 2 (m/z 421) | |||||||||||||||||
| 0.34 | 0.19 | −0.20 | 0.23 | −0.34 | −0.38 | 0.13 | 0.05 | Unknown 1 (m/z 363) | ||||||||||||||||||
| 0.24 | −0.13 | 0.15 | −0.44 | −0.44 | 0.07 | 0.17 | Methoxy oleuropein (A) | |||||||||||||||||||
| 0.13 | 0.17 | −0.30 | −0.25 | 0.30 | −0.07 | Neonuzhenide | ||||||||||||||||||||
| −0.32 | −0.08 | −0.01 | 0.19 | −0.18 | Dihydro oleuropein | |||||||||||||||||||||
| −0.37 | −0.29 | −0.04 | 0.28 | Luteolin glucoside (B) | ||||||||||||||||||||||
| 0.98 | −0.20 | −0.14 | β-hydroxy verbascoside | |||||||||||||||||||||||
| −0.25 | −0.08 | Dehydro nuzhenide | ||||||||||||||||||||||||
| −0.14 | Caffeoyl 6-secologanoside |
Publisher’s Note: MDPI stays neutral with regard to jurisdictional claims in published maps and institutional affiliations. |
© 2022 by the authors. Licensee MDPI, Basel, Switzerland. This article is an open access article distributed under the terms and conditions of the Creative Commons Attribution (CC BY) license (https://creativecommons.org/licenses/by/4.0/).
Share and Cite
Serrano-García, I.; Olmo-García, L.; Polo-Megías, D.; Serrano, A.; León, L.; de la Rosa, R.; Gómez-Caravaca, A.M.; Carrasco-Pancorbo, A. Fruit Phenolic and Triterpenic Composition of Progenies of Olea europaea subsp. cuspidata, an Interesting Phytochemical Source to Be Included in Olive Breeding Programs. Plants 2022, 11, 1791. https://doi.org/10.3390/plants11141791
Serrano-García I, Olmo-García L, Polo-Megías D, Serrano A, León L, de la Rosa R, Gómez-Caravaca AM, Carrasco-Pancorbo A. Fruit Phenolic and Triterpenic Composition of Progenies of Olea europaea subsp. cuspidata, an Interesting Phytochemical Source to Be Included in Olive Breeding Programs. Plants. 2022; 11(14):1791. https://doi.org/10.3390/plants11141791
Chicago/Turabian StyleSerrano-García, Irene, Lucía Olmo-García, Daniel Polo-Megías, Alicia Serrano, Lorenzo León, Raúl de la Rosa, Ana María Gómez-Caravaca, and Alegría Carrasco-Pancorbo. 2022. "Fruit Phenolic and Triterpenic Composition of Progenies of Olea europaea subsp. cuspidata, an Interesting Phytochemical Source to Be Included in Olive Breeding Programs" Plants 11, no. 14: 1791. https://doi.org/10.3390/plants11141791
APA StyleSerrano-García, I., Olmo-García, L., Polo-Megías, D., Serrano, A., León, L., de la Rosa, R., Gómez-Caravaca, A. M., & Carrasco-Pancorbo, A. (2022). Fruit Phenolic and Triterpenic Composition of Progenies of Olea europaea subsp. cuspidata, an Interesting Phytochemical Source to Be Included in Olive Breeding Programs. Plants, 11(14), 1791. https://doi.org/10.3390/plants11141791

