Genome Size, Cytotype Diversity and Reproductive Mode Variation of Cotoneaster integerrimus (Rosaceae) from the Balkans
Abstract
1. Introduction
2. Results
2.1. Genome Size and Ploidy Level Variation
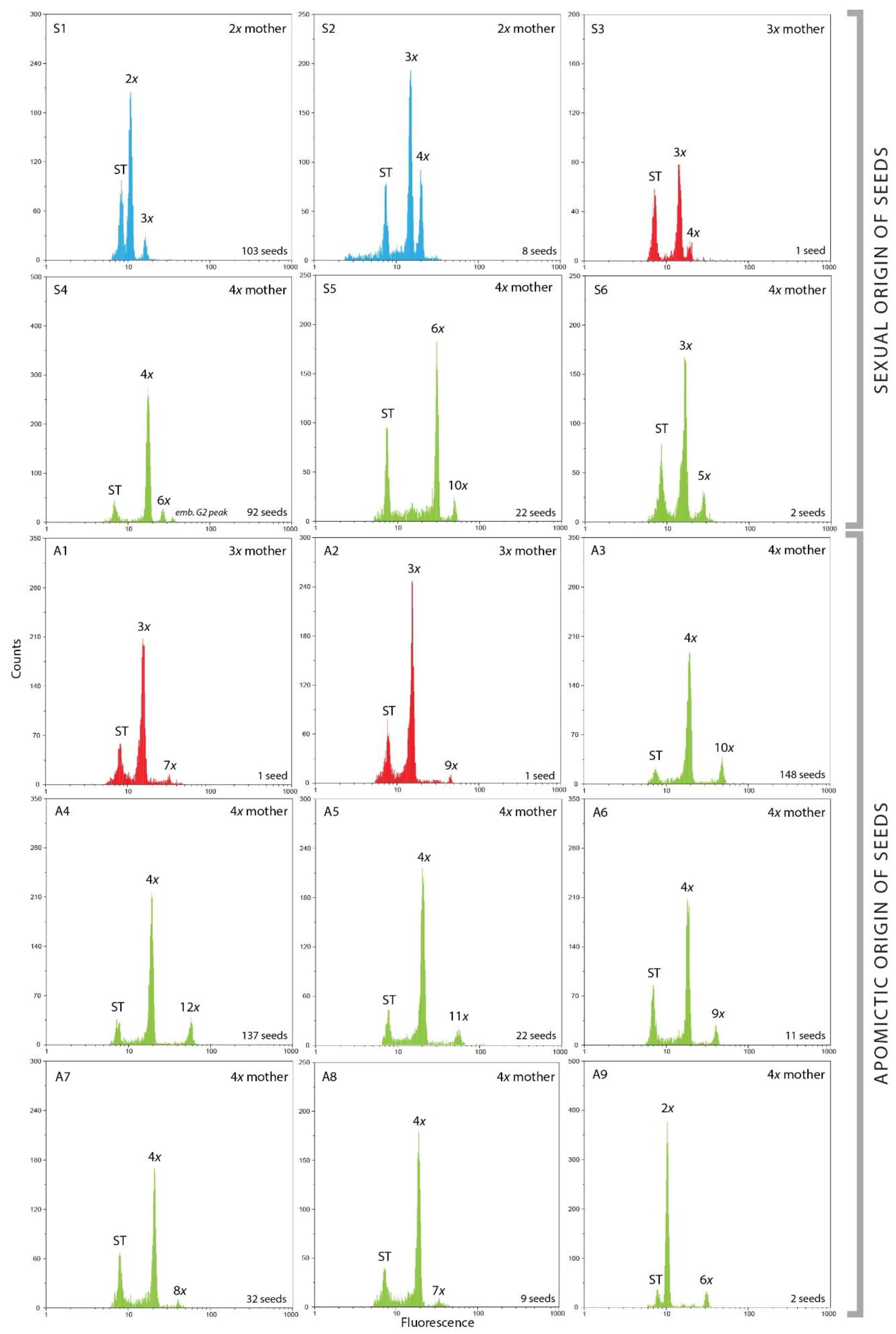
2.2. Flow Cytometric Seed Screening
2.2.1. Seed Origin in Diploids
2.2.2. Seed Origin in Triploids
2.2.3. Seed Origin in Tetraploids
2.2.4. Endosperm Balance
2.3. Genotypic Variation in Cotoneaster integerrimus Populations
3. Discussion
3.1. Genome Size Variation and Geographic Distribution of Cotoneaster integerrimus Cytotypes
3.2. Asexual Seed Formation in Monoploid and Mixed-Ploidy Populations
3.3. Sexuality in Cotoneaster integerrimus Populations
3.4. Patterns of Genotypic Diversity in Cotoneaster integerrimus
4. Materials and Methods
4.1. Plant Material
4.2. Genome Size and Ploidy Level Determination
4.3. Flow Cytometric Seed Screening
4.4. Analysis of Nuclear Microsatellites
5. Conclusions
Supplementary Materials
Author Contributions
Funding
Data Availability Statement
Acknowledgments
Conflicts of Interest
References
- Pellicer, J.; Hidalgo, O.; Dodsworth, S.; Leitch, I.J. Genome size diversity and its impact on the evolution of land plants. Genes 2018, 9, 88. [Google Scholar] [CrossRef]
- Van de Peer, Y.; Mizrachi, E.; Marchal, K. The evolutionary significance of polyploidy. Nat. Rev. Genet. 2017, 18, 411–424. [Google Scholar] [CrossRef]
- Soltis, D.E.; Visger, C.J.; Soltis, P.S. The polyploidy revolution then and now: Stebbins revisited. Am. J. Bot. 2014, 101, 1057–1078. [Google Scholar] [CrossRef]
- Ďurkovič, J.; Kardošová, M.; Čaňová, I.; Lagaňa, R.; Priwitzer, T.; Chorvát, D.; Cicák, A.; Pichler, V. Leaf traits in parental and hybrid species of Sorbus (Rosaceae). Am. J. Bot. 2012, 99, 1489–1500. [Google Scholar] [CrossRef]
- Soltis, D.E.; Albert, V.A.; Leebens-Mack, J.; Bell, C.D.; Paterson, A.H.; Zheng, C.; Sankoff, D.; Depamphilis, C.W.; Wall, P.K.; Soltis, P.S. Polyploidy and angiosperm diversification. Am. J. Bot. 2009, 96, 336–348. [Google Scholar] [CrossRef] [PubMed]
- Hegarty, M.J.; Hiscock, S.J. Genomic clues to the evolutionary success of polyploid plants. Curr. Biol. 2008, 18, 435–444. [Google Scholar] [CrossRef]
- Parisod, C.; Holderegger, R.; Brochmann, C. Evolutionary consequences of autopolyploidy. New Phytol. 2010, 186, 5–17. [Google Scholar] [CrossRef] [PubMed]
- Barker, M.S.; Arrigo, N.; Baniaga, A.E.; Li, Z.; Levin, D.A. On the relative abundance of autopolyploids and allopolyploids. New Phytol. 2016, 210, 391–398. [Google Scholar] [CrossRef] [PubMed]
- Dobeš, C.; Scheffknecht, S.; Fenko, Y.; Prohaska, D.; Sykora, C.; Hülber, K. Asymmetric reproductive interference: The consequences of cross-pollination on reproductive success in sexual–apomictic populations of Potentilla puberula (Rosaceae). Ecol. Evol. 2019, 8, 365–381. [Google Scholar] [CrossRef]
- Hörandl, E. The evolution of self-fertility in apomictic plants. Sex. Plant Reprod. 2010, 23, 78–86. [Google Scholar] [CrossRef] [PubMed]
- Barrett, S.C.H. The evolution, maintenance, and loss of self-incompatibility systems. In Plant Reproductive Ecology, 1st ed.; Lovett, J.D., Lovett, L.D., Eds.; Oxford University Press: New York, NY, USA, 1988; pp. 98–124. [Google Scholar]
- Hörandl, E. The complex causality of geographical parthenogenesis. New Phytol. 2006, 171, 525–538. [Google Scholar] [CrossRef] [PubMed]
- Hojsgaard, D.; Hörandl, E. The rise of apomixis in natural plant populations. Front. Plant Sci. 2019, 10, 358. [Google Scholar] [CrossRef]
- Hörandl, E.; Cosendai, A.-C.; Temsch, E.M. Understanding the geographic distributions of apomictic plants: A case for a pluralistic approach. Plant Ecol. Divers. 2008, 1, 309–320. [Google Scholar] [CrossRef]
- Ozias-Akins, P.; van Dijk, P.J. Mendelian genetics of apomixis in plants. Ann. Rev. Genet. 2007, 41, 509–537. [Google Scholar] [CrossRef] [PubMed]
- Mráz, P.; Mrázová, V. Greater reproductive assurance of asexual plant compared to sexual relative in a low density sympatric population–experimental evidence for pollen limitation. J. Evol. Biol. 2021, 34, 1503–1509. [Google Scholar] [CrossRef] [PubMed]
- Alonso-Marcos, H.; Nardi, F.D.; Scheffknecht, S.; Tribsch, A.; Hülber, K.; Dobeš, C. Difference in reproductive mode rather than ploidy explains niche differentiation in sympatric sexual and apomictic populations of Potentilla puberula. Ecol. Evol. 2019, 9, 3588–3598. [Google Scholar] [CrossRef]
- Coughlan, J.M.; Han, S.; Stefanović, S.; Dickinson, T.A. Widespread generalist clones are associated with range and niche expansion in allopolyploids of Pacific Northwest Hawthorns (Crataegus L.). Mol. Ecol. 2017, 26, 5484–5499. [Google Scholar] [CrossRef]
- Hojsgaard, D.; Hörandl, E. A little bit of sex matters for genome evolution in asexual plants. Front. Plant Sci. 2015, 6, 82. [Google Scholar] [CrossRef] [PubMed]
- Majeský, L.; Vašut, R.J.; Kitner, M.; Trávníček, B. The pattern of genetic variability in apomictic clones of Taraxacum officinale indicates the alternation of asexual and sexual histories of apomicts. PLoS ONE 2012, 7, e41868. [Google Scholar] [CrossRef]
- Paun, O.; Stuessy, T.F.; Hörandl, E. The role of hybridization, polyploidization and glaciation in the origin and evolution of Ranunculus cassubicus complex. New Phytol. 2006, 171, 223–236. [Google Scholar] [CrossRef]
- Lepší, M.; Koutecký, P.; Nosková, J.; Lepší, P.; Urfus, T.; Rich, T.C.G. Versatility of reproductive modes and ploidy level interactions in Sorbus s.l. (Malinae, Rosaceae). Bot. J. Linn. Soc. 2019, 191, 502–522. [Google Scholar] [CrossRef]
- Hajrudinović, A.; Siljak-Yakovlev, S.; Brown, S.C.; Pustahija, F.; Bourge, M.; Ballian, D.; Bogunić, F. When sexual meets apomict–genome size, ploidy level and variation of reproductive mode in Sorbus aria s.l. and S. austriaca (Rosaceae) in Bosnia and Herzegovina. Ann. Bot. 2015, 116, 301–312. [Google Scholar] [CrossRef] [PubMed]
- Potter, D.; Eriksson, T.; Evans, R.C.; Oh, S.H.; Smedmark, J.E.E.; Morgan, D.R.; Kerr, M.; Robertson, K.R.; Arsenault, M.P.; Dickinson, T.A.; et al. Phylogeny and classification of Rosaceae. Plant Syst. Evol. 2007, 266, 5–43. [Google Scholar] [CrossRef]
- Fryer, J.; Hylmö, B. Cotoneasters: A Comprehensive Guide to Shrubs for Flowers, Fruit, and Foliage, 1st ed.; Timber Press: London, UK, 2009; p. 334. [Google Scholar]
- Dickoré, W.B.; Kasperek, G. Species of Cotoneaster (Rosaceae, Maloideae) indigenous to, naturalising or commonly cultivated in Central Europe. Willdenowia 2010, 40, 13–45. [Google Scholar] [CrossRef]
- Lu, L.D.; Brach, A.R. Cotoneaster. In Flora of China, 1st ed.; Wu, Z.Y., Raven, P.H., Hong, D.Y., Eds.; Science Press: Beijing, China; Missouri Botanical Garden Press: St. Louis, MO, USA, 2003; Volume 9, pp. 85–108. [Google Scholar]
- Meng, K.K.; Chen, S.-F.; Xu, K.-W.; Zhou, R.-C.; Li, M.-W.; Dhamala, M.K.; Liao, W.-B.; Fan, Q. Phylogenomic analyses based on genome-skimming data reveal cyto-nuclear discordance in the evolutionary history of Cotoneaster (Rosaceae). Mol. Phylogenetics Evol. 2021, 158, 107083. [Google Scholar] [CrossRef]
- Bourge, M.; Mahmutović, I.; Hajrudinović-Bogunić, A.; Siljak-Yakovlev, S.; Silajdžić, E.; Brown, S.C.; Muratović, E.; Bogunić, F. Cytotypes and reproductive modes of Cotoneaster integerrimus (Rosaceae) from Bosnia and Herzegovina: Preliminary results. In Proceedings of the Cytometrie: 19e Congrès annuel de l’association Française de Cytométrie, Antibes, France, 18–20 November 2015; p. 285. [Google Scholar]
- Macková, L.; Nosková, J.; Ďurišová, Ľ.; Urfus, T. Insights into the cytotype and reproductive puzzle of Cotoneaster integerrimus in the Western Carpathians. Plant Syst. Evol. 2020, 306, 58. [Google Scholar] [CrossRef]
- Li, M.; Chen, S.; Zhou, R.; Fan, Q.; Li, F.; Liao, W. Molecular evidence for natural hybridization between Cotoneaster dielsianus and C. glaucophyllus. Front. Plant Sci. 2017, 8, 704. [Google Scholar] [CrossRef] [PubMed]
- Rothleutner, J.R.; Friddle, M.W.; Contreras, R.N. Ploidy levels, relative genome sizes, and base pair composition in Cotoneaster. J. Amer. Soc. Hort. Sci. 2016, 141, 457–466. [Google Scholar] [CrossRef]
- Nybom, H.; Bartish, I.V. DNA markers and morphometry reveal multiclonal and poorly defined taxa in an apomictic Cotoneaster species complex. Taxon 2007, 56, 119–128. [Google Scholar] [CrossRef]
- Kroon, G.H. Polyploidy in Cotoneaster II. Acta Bot. Neerl. 1975, 24, 417–420. [Google Scholar] [CrossRef]
- Sax, H.J. Polyploidy and apomixis in Cotoneaster. J. Arnold Arbor. 1954, 35, 334–365. [Google Scholar] [CrossRef]
- Hjelmquist, H. Embryo sac development of Cotoneaster. Bot. Not. 1962, 115, 209–236. [Google Scholar]
- Mandryk, V.Y. Seed reproduction features in Cotoneaster melanocarpus Fisch. ex Blytt. (Rosaceae) from Ukrainian Carpathian flora. Ukr. Botan. Zhurn. 2006, 19, 66–72. (In Ukrainian) [Google Scholar]
- Mandryk, V.Y. Embryologic investigation of Cotoneaster melanocarpus Fisch. ex Blytt (Rosaceae). Ukr. Botan. Zhurn. 1994, 51, 86–93. (In Ukrainian) [Google Scholar]
- Flinck, K.E.; Hylmö, B. Cotoneaster harrysmithii, a new species from western China. Bot. Not. 1962, 112, 17–64. [Google Scholar]
- Kšiňan, S.; Ďurišová, L.; Elias, P. Genome size estimation of Cotoneaster species (Rosaceae) from the Western Carpathians. Biologia 2021, 76, 1–12. [Google Scholar] [CrossRef]
- Doležel, J.; Bartoš, J.; Voglmayr, H.; Greilhuber, J. Nuclear DNA content and genome size of trout and human. Cytometry 2003, 51, 127–128. [Google Scholar] [CrossRef]
- Leitch, I.J.; Bennett, M.D. Genome downsizing in polyploid plants. Biol. J. Linn. Soc. 2004, 82, 651–663. [Google Scholar] [CrossRef]
- Liu, H.-M.; Ekrt, L.; Koutecky, P.; Pellicer, J.; Hidalgo, O.; Marquardt, J.; Pustahija, F.; Ebihara, A.; Siljak-Yakovlev, S.; Gibby, M.; et al. Polyploidy does not control all: Lineage-specific average chromosome length constrains genome size evolution in ferns. J. Syst. Evol. 2019, 57, 418–430. [Google Scholar] [CrossRef]
- Zenil-Ferguson, R.; Ponciano, J.M.; Burleigh, J.G. Evaluating the role of genome downsizing and size thresholds from genome size distributions in angiosperms. Am. J. Bot. 2016, 103, 1175–1186. [Google Scholar] [CrossRef]
- Dobeš, C.; Lückl, A.; Hülber, K.; Paule, J. Prospects and limits of the flow cytometric seed screen–insights from Potentilla sensu lato (Potentilleae, Rosaceae). New Phytol. 2013, 198, 605–616. [Google Scholar] [CrossRef] [PubMed]
- Talent, N.; Dickinson, T.A. The potential for ploidy level increases and decreases in Crataegus (Rosaceae, Spiraeoideae, tribe Pyreae). Can. J. Bot. 2007, 85, 570–584. [Google Scholar] [CrossRef]
- Kolář, F.; Čertner, M.; Suda, J.; Schönswetter, P.; Husband, B.C. Mixed-ploidy species: Progress and opportunities in polyploid research. Trends Plant Sci. 2017, 22, 1041–1055. [Google Scholar] [CrossRef] [PubMed]
- Goad, D.M.; Baxter, I.; Kellog, E.A.; Olsen, K.M. Hybridization, polyploidy and clonality influence geographic patterns of diversity and salt tolerance in the model halophyte seashore paspalum (Paspalum vaginatum). Mol. Ecol. 2021, 30, 148–161. [Google Scholar] [CrossRef] [PubMed]
- Dickinson, T.A.; Yan, B.X.; Han, S.; Zarrei, M. Niche shifts, hybridization, polyploidy and geographic parthenogenesis in western North American hawthorns (Crataegus subg. Sanguineae, Rosaceae). Agronomy 2021, 11, 2133. [Google Scholar] [CrossRef]
- Cosendai, A.C.; Hörandl, E. Cytotype stability, facultative apomixis and geographical parthenogenesis in Ranunculus kuepferi (Ranunculaceae). Ann. Bot. 2010, 105, 457–470. [Google Scholar] [CrossRef][Green Version]
- Kolář, F.; Štech, M.; Trávníček, P.; Rauchová, J.; Urfus, T.; Vít, P.; Kubešová, M.; Suda, J. Towards resolving the Knautia arvensis agg. (Dipsacaceae) puzzle: Primary and secondary contact zones and ploidy segregation at landscape and microgeographic scales. Ann. Bot. 2009, 103, 963–974. [Google Scholar] [CrossRef]
- Ritter-Studnička, H. Reliktgesellschaften auf Dolomitböden in Bosnien und der Hercegovina. Vegetatio 1967, 15, 190–212. [Google Scholar] [CrossRef]
- Ennos, R.A.; Whitlock, R.; Fay, M.F.; Jones, B.; Neaves, L.E.; Payne, R.; Taylor, I.; de Vere, N.; Hollingsworth, P.M. Process-based species action plans: An approach to conserve contemporary evolutionary processes that sustain diversity in taxonomically complex groups. Bot. J. Linn. Soc. 2012, 168, 194–203. [Google Scholar] [CrossRef]
- Burgess, M.B.; Cushman, K.R.; Doucette, E.T.; Talent, N.; Frye, C.T.; Campbell, C.S. Effects of apomixis and polyploidy on diversification and geographic distribution in Amelanchier (Rosaceae). Am. J. Bot. 2014, 101, 1375–1387. [Google Scholar] [CrossRef]
- Talent, N.; Dickinson, T.A. Endosperm formation in aposporous Crataegus (Rosaceae, Spiraeoideae, tribe Pyreae): Parallels to Ranunculaceae and Poaceae. New Phytol. 2007, 173, 231–249. [Google Scholar] [CrossRef]
- Šarhanová, P.; Vašut, R.J.; Dančák, M.; Bureš, P.; Trávníček, B. New insights into the variability of reproduction modes in European populations of Rubus subgen. Rubus: How sexual are polyploid brambles? Sex. Plant Reprod. 2012, 25, 319–335. [Google Scholar] [CrossRef]
- Sutherland, B.L.; Galloway, L.F. Variation in heteroploid reproduction and gene flow across a polyploid complex: One size does not fit all. Ecol. Evol. 2021, 11, 9676–9688. [Google Scholar] [CrossRef]
- Köhler, K.; Scheid, O.M.; Erilova, A. The impact of the triploid block on the origin and evolution of polyploid plants. Trends Genet. 2010, 26, 142–148. [Google Scholar] [CrossRef] [PubMed]
- Husband, B.C. The role of triploid hybrids in the evolutionary dynamics of mixed-ploidy populations. Biol. J. Linn. Soc. 2004, 82, 537–546. [Google Scholar] [CrossRef]
- Scott, R.J.; Spielman, M.; Bailey, J.; Dickinson, H.G. Parent-of-origin effects on seed development in Arabidopsis thaliana. Development 1998, 125, 3329–3341. [Google Scholar] [CrossRef]
- Vinkenoog, R.; Bushell, C.; Spielman, M.; Adams, S.; Dickinson, H.G.; Scott, R.J. Genomic imprinting and endosperm development in flowering plants. Mol. Biotechnol. 2003, 25, 149–184. [Google Scholar] [CrossRef]
- Ludwig, S.; Robertson, A.; Rich, T.C.G.; Djordjevic, M.; Cerovic, R.; Houston, L.; Harris, S.A.; Hiscock, S.J. Breeding systems, hybridization and continuing evolution in Avon Gorge. Sorbus. Ann. Bot. 2013, 111, 563–575. [Google Scholar] [CrossRef] [PubMed]
- Hamston, T.J.; de Vere, N.; King, R.A.; Pellicer, J.; Fay, M.F.; Cresswell, J.E.; Stevens, J.R. Apomixis and hybridization drives reticulate evolution and phyletic differentiation in Sorbus L.: Implications for conservation. Front. Plant Sci. 2018, 9, 1796. [Google Scholar] [CrossRef]
- Robertson, A.; Rich, T.C.G.; Allen, A.M.; Houston, L.; Roberts, C.; Bridle, J.R.; Harris, S.A.; Hiscock, S.J. Hybridization and polyploidy as drivers of continuing evolution and speciation in Sorbus. Mol. Ecol. 2010, 19, 1675–1690. [Google Scholar] [CrossRef]
- Šarhanová, P.; Sharbel, T.F.; Sochor, M.; Vašut, R.J.; Dančáak, M.; Trávníček, B. Hybridization drives evolution of apomicts in Rubus subgenus Rubus: Evidence from microsatellite markers. Ann. Bot. 2017, 120, 317–328. [Google Scholar] [CrossRef]
- Karunarathne, P.; Reutemann, A.V.; Schedler, M.; Glücksberg, M.A.; Martínez, E.J.; Honfi, A.I.; Hojsgaard, D.H. Sexual modulation in a polyploid grass: A reproductive contest between environmentally inducible sexual and genetically dominant apomictic pathways. Sci. Rep. 2020, 10, 8319. [Google Scholar] [CrossRef]
- Paule, J.; Sharbel, T.F.; Dobeš, C. Apomictic and sexual lineages of the Potentilla argentea L. group (Rosaceae): Cytotype and molecular genetic differentiation. Taxon 2011, 60, 721–732. [Google Scholar] [CrossRef]
- Paun, O.; Greilhuber, J.; Temsch, E.M.; Hörandl, E. Patterns, sources and ecological implications of clonal diversity in apomictic Ranunculus carpaticola (Ranunculus auricomus complex, Ranunculaceae). Mol. Ecol. 2006, 15, 897–910. [Google Scholar] [CrossRef]
- Lepers-Andrzejewski, S.; Siljak-Yakovlev, S.; Brown, S.C.; Wong, M.; Dron, M. Diversity and dynamics of plant genome size: An example of polysomaty from a cytogenetic study of Tahitian vanilla (Vanilla × tahitensis, Orchidaceae). Am. J. Bot. 2011, 98, 986–997. [Google Scholar] [CrossRef] [PubMed]
- Bourge, M.; Brown, S.C.; Siljak-Yakovlev, S. Flow cytometry as tool in plant sciences, with emphasis on genome size and ploidy level assessment. Genet. Appl. 2018, 2, 1–12. [Google Scholar] [CrossRef]
- Suda, J.; Krahulcová, A.; Trávníček, P.; Krahulec, F. Ploidy level versus DNA ploidy level: An appeal for consistent terminology. Taxon 2006, 55, 447–450. [Google Scholar] [CrossRef]
- Greilhuber, J.; Doležel, J.; Lýsak, M.; Bennett, M.D. The origin, evolution and proposed stabilization of the terms ‘genome size’ and ‘C-value’ to describe nuclear DNA contents. Ann. Bot. 2005, 95, 255–260. [Google Scholar] [CrossRef]
- Hammer, Ø.; Harper, D.A.T.; Ryan, P.D. PAST: Paleontological statistics software package for education and data analysis. Palaeontol. Electron. 2001, 4, 1–9. [Google Scholar]
- Feulner, M.; Weig, A.; Voss, T.; Schott, L.F.; Aas, G. Central European polyploids of Sorbus subgenus Aria (Rosaceae) recurrently evolved from diploids of central and south-eastern Europe: Evidence from microsatellite data. Bot. J. Linn. Soc. 2019, 191, 315–324. [Google Scholar] [CrossRef]
- Uhrinová, V.; Zozomová-Lihová, J.; Bernátová, D.; Paule, J.; Paule, L.; Gömöry, D. Origin and genetic differentiation of pink-flowered Sorbus hybrids in the Western Carpathians. Ann. Bot. 2017, 120, 271–284. [Google Scholar] [CrossRef][Green Version]
- Beck, J.B.; Alexander, P.J.; Allphin, L.; Al-Shehbaz, I.A.; Rushworth, C.; Bailey, C.D.; Windham, M.D. Does hybridization drive the transition to asexuality in diploid Boechera? Evolution 2011, 66, 985–995. [Google Scholar] [CrossRef]
- Uozu, S.; Ikehashi, H.; Ohmido, N.; Ohtsubo, H.; Ohtsubo, E.; Fukui, K. Repetitive sequences: Cause for variation in genome size and chromosome morphology in the genus Oryza. Plant Mol. Biol. 1997, 35, 791–799. [Google Scholar] [CrossRef]
- Matzk, F.; Meister, A.; Schubert, I. An efficient screen for reproductive pathways using mature seeds of monocots and dicots. Plant J. 2000, 21, 97–108. [Google Scholar] [CrossRef] [PubMed]
- Tel-Zur, N.; Abbo, S.; Myslabodski, D.; Mizrahi, Y. Modified CTAB procedure for DNA isolation from epiphytic cacti of genera Hylocereus and Selenicereus (Cactaceae). Plant Mol. Biol. Rep. 1999, 17, 249–254. [Google Scholar] [CrossRef]
- Gianfranceschi, L.; Seglia, R.; Tarchini, R.; Komjanc, M.; Gessler, C. Simple sequence repeats for the genetic analysis of apple. Theor. Appl. Genet. 1999, 96, 1069–1076. [Google Scholar] [CrossRef]
- Oddou-Muratorio, S.; Aligon, C.; Decroocq, S.; Plomion, C. Microsatellite primers for Sorbus torminalis and related species. Mol. Ecol. Notes 2001, 1, 297–299. [Google Scholar] [CrossRef]
- Meirmans, P.G.; Van Tienderen, P.H. GENOTYPE and GENODIVE: Two programs for the analysis of genetic diversity of asexual organisms. Mol. Ecol. Resour. 2004, 4, 792–794. [Google Scholar] [CrossRef]
- Ellstrand, N.C.; Roose, M.L. Patterns of genotypic diversity in clonal plant species. Am. J. Bot. 1987, 74, 123–131. [Google Scholar] [CrossRef]



| DNA Ploidy | N | 2C DNA | CV % | 1Cx DNA | ||
|---|---|---|---|---|---|---|
| Mean ± SD (pg) | Min–Max (pg) | Mean ± SD (pg) * | Mean (Mbp **) | |||
| 2x | 20 | 1.280 ± 0.046 | 1.23–1.36 | 2.47 | 0.636 ± 0.015 a | 622.00 |
| 3x | 7 | 1.856 ± 0.091 | 1.63–1.90 | 5.04 | 0.608 ± 0.030 b | 594.62 |
| 4x | 181 | 2.481 ± 0.060 | 2.36–2.73 | 2.45 | 0.621 ± 0.015 b | 607.73 |
| TOTAL | 208 | |||||
| Origin of Sample | Number of Samples (N) | ||||||||
|---|---|---|---|---|---|---|---|---|---|
| Site No. | Site ID | Locality | East | North | Altitude (m) | Diploids | Triploids | Tetraploids | Total N per Site |
| 1 | Go | Gornja Grkarica, Mt. Igman, Bosnia and Herzegovina (B&H) | 18.28833 | 43.74528 | 1350 | -, -, - | -, -, - | 20, 98, 19 | 20, 98, 19 |
| 2 | Um | Umoljani, Mt. Bjelašnica, B&H | 18.22167 | 43.66194 | 1300 | 18, 108, 12 | 4, 3, 4 | 8, 27, 8 | 30, 138, 24 |
| 3 | Vr | Vrbe, Čemerno, B&H | 18.57167 | 43.17861 | 1090 | -, -, - | 1, -, - | 19, -, 18 | 20, -, 18 |
| 4 | Bo | Bosiljna, Mt. Čvrsnica, B&H | 17.48806 | 43.51194 | 1319 | -, -, - | -, -, - | 20, 7, 16 | 20, 7, 16 |
| 5 | Ru | Rujište, Mt. Prenj, B&H | 17.95472 | 43.46194 | 1010 | -, -, - | 1, -, 1 | 17, 14, 18 | 18,14, 19 |
| 6 | Bg | Borova glava, Livno, B&H | 17.12139 | 43.77861 | 1183 | 1, 3, - | -, -, - | 22, 28, 21 | 23, 31, 21 |
| 7 | So | Sovićka vrata, Blidinje, B&H | 17.50472 | 43.59528 | 1220 | -, -, - | 1, -, 1 | 16, 4, 13 | 17, 4, 14 |
| 8 | Pu | Puhova ravan, Mt. Trebević, B&H | 18.43833 | 43.82861 | 1450 | -, -, - | -, -, - | 20, 55, 20 | 20, 55, 20 |
| 9 | Ca | Čavljak, Mt. Ozren, B&H | 18.43833 | 43.91194 | 1237 | -, -, - | -, -, - | 21, 75, 19 | 21, 75, 19 |
| 10 | De | Devečanske stijene, Mt. Vlašić, B&H | 17.62139 | 44.27889 | 1752 | 1, 2, 1 | -, -, - | 18, 57, 18 | 19, 59, 19 |
| 11 | Rt | Mt. Rtanj, Serbia | 21.88917 | 43.77861 | 1282 | -, -, - | 1 *, -, 1 | 8 *, -, 8 | 9, -, 9 |
| 12 | Mu | Mt. Mučanj, Serbia | 20.03889 | 43.54528 | 1530 | -, -, - | -, -, - | 7 *, 36, 7 | 7, 36, 7 |
| 13 | Pr | Premužićeva staza, Mt. Velebit, Croatia | 14.98722 | 44.76222 | 1613 | -, -, - | 1 *, -, 1 | 3 *, 2, 3 | 4, 2, 4 |
| 14 | Vo | Vošac, Mt. Biokovo, Croatia | 17.05472 | 43.31194 | 1320 | -, -, - | 1 *, -, 1 | 8 *, 58, 8 | 9, 58, 9 |
| 15 | Si | Mt. Sinjajevina, Monte Negro | 19.33861 | 42.96167 | 1773 | -, -, - | -, -, - | 5 *, -, 5 | 5, -, 5 |
| 16 | He | Hechenberg-Ostgipfel von Kranebitten, Innsbruck, Austria | 11.31972 | 47.27972 | 1390 | -, -, - | -, -, - | 5 *, -, 5 | 5, -, 5 |
| 17 | Ro | Rotenfels, Rheinland-Pfalz, Germany | 7.818611 | 49.83028 | 232 | -, -, - | -, -, - | 5 *, 6, 5 | 5, 6, 5 |
| 18 | Mo | Monte Ventosola, Monte Sibillini, Umbria, Italy | 13.17028 | 42.77833 | 1493 | -, -, - | -, -, - | 4 *, 8, 4 | 4, 8, 4 |
| 19 | Su | Mt. Suva Gora, Northern Macedonia | 21.25583 | 41.84472 | 1184 | -, -, - | -, -, - | 7 *, -, 7 | 7, -, 7 |
| 20 | Ol | Mt. Olympus, Greece | 22.37278 | 40.07778 | 1935 | -, -, - | -, -, - | 5 *, -, 5 | 5, -, 5 |
| 21 | Pa | Mt. Pangaion, Greece | 24.07333 | 40.92778 | 1662 | -, -, - | -, -, - | 5 *, -, 5 | 5, -, 5 |
| Total N per cytotype | 20, 113, 13 | 10, 3, 9 | 243, 475, 232 | 273, 591, 254 | |||||
| Cytometric Results | Hypothesized Pathways of Seed Formation | |||||||||||
|---|---|---|---|---|---|---|---|---|---|---|---|---|
| Maternal ploidy a | Embryopg ± SD | Endosperm pg ± SD | Embryo ploidy | Endosperm ploidy | Number of seeds | Egg ploidy | Polar nuclei ploidy/number | Sperm ploidy | Number of sperms fecundating the endosperm | Endosperm maternal: paternal genome ratio | Endosperm/embryo fluorescence (mean ratio) | Seed origin |
| 2x | 1.28 ± 0.03 | 1.95 ± 0.05 | 2x | 3x | 103 | 1x | 1x/2 | 1x | 1 | 2m:1p | 1.52 | Sexual |
| 2x | 1.91 ± 0.05 | 2.59 ± 0.06 | 3x | 4x | 8 b | 1x | 1x/2 | 2x | 1 | 1m:1p | 1.35 | Sexual |
| 3x | 1.94 | 2.64 | 3x | 4x | 1 | 1x | 1x/2 | 2x | 1 | 1m:1p | 1.5 | Sexual |
| 3x | 1.85 | 3.93 | 3x | 7x | 1 | 3x | 3x/2 | 1x | 1 | 6m:1p | 1.35 | Pseudogamous Apomixis |
| 3x | 1.94 | 5.72 | 3x | 9x | 1 | 3x | 3x/2 | 3x | 1 | 2m:1p | 2.12 | Pseudogamous Apomixis |
| 4x | 2.54 ± 0.07 | 3.84 ± 0.11 | 4x | 6x | 92 | 2x | 2x/2 | 2x | 1 | 2m:1p | 1.53 | Sexual |
| 4x | 3.80 ± 0.10 | 6.43 ± 0.21 | 6x | 10x | 22 c | 4x | 4x/2 | 2x | 2 | 4m:1p | 2.5 | Sexual |
| 4x | 1.90 ± 0.01 | 3.19 ± 0.05 | 3x | 5x | 2 d | 2x | 2x/1 | 1x | 1 | 4m:1p | 1.7 | Sexual |
| 4x | 2.56 ± 0.1 | 6.38 ± 0.15 | 4x | 10x | 148 | 4x | 4x/2 | 1x or 2x | 2 or 1 | 4m:1p | 2.5 | Pseudogamous Apomixis |
| 4x | 2.54 ± 0.01 | 7.51 ± 0.37 | 4x | 12x | 137 | 4x | 4x/2 | 2x | 2 | 2m:1p | 2.98 | Pseudogamous Apomixis |
| 4x | 2.55 ± 0.04 | 7.04 ± 0.25 | 4x | 11x | 22 | 4x | 4x/2 | 3x | 1 | 2.7m:1p | 2.75 | Pseudogamous Apomixis |
| 4x | 2.58 ± 0.12 | 5.83 ± 0.28 | 4x | 9x | 11 | 4x | 4x/2 | 1x | 1 | 8m:1p | 2.17 | Pseudogamous Apomixis |
| 4x | 2.53 ± 0.05 | 5.08 ± 0.17 | 4x | 8x | 32 | 4x | 4x/2 | - | 0 | 4m:0p | 4:1 | Autonomous Apomixis |
| 4x | 2.55 ± 0.08 | 4.46 ± 0.17 | 4x | 7x | 9 | 4x | Not resolved | |||||
| 4x | 1.28 ± 0.00 | 3.84 ± 0.04 | 2x | 6x | 2 | 2x | 2x/2 | 1x or 2x | 2 or 1 | Haploid Parthenogenesis | ||
| 591 | ||||||||||||
| Locality (Site ID) | Number of Individuals Sampled (N) | Number of Multilocus Genotypes Detected (Ng) | Total Number of Individuals Belonging to a Clone (Ni) | Total Number of Unique Genotypes per Population (Un) | Effective Number of Genotypes (Eff) | Proportion of Clones Detected (Ng/N) | Genotypic Diversity (Div) |
|---|---|---|---|---|---|---|---|
| Gornja Grkarica (Go) | 19 | 3 | 18 | 1 | 2.21 | 0.15 | 0.57 |
| Umoljani (Um) | 24 | 21 | 4 | 19 | 18 | 0.91 | 0.98 |
| Vrbe (Vr) | 18 | 7 | 12 | 6 | 4.37 | 0.39 | 0.81 |
| Bosiljna (Bo) | 16 | 5 | 14 | 5 | 3.55 | 0.31 | 0.76 |
| Rujište (Ru) | 19 | 4 | 17 | 4 | 2.39 | 0.21 | 0.61 |
| Borova glava (Bg) | 21 | 2 | 20 | 1 | 1.09 | 0.1 | 0.09 |
| Sovićka vrata (So) | 14 | 6 | 11 | 4 | 4.07 | 0.42 | 0.81 |
| Puhova ravan (Pu) | 20 | 1 | 20 | 1 | 1 | 0.05 | 0 |
| Čavljak (Ca) | 19 | 5 | 16 | 4 | 1.57 | 0.26 | 0.38 |
| Devečanske stijene (De) | 19 | 6 | 16 | 6 | 2.63 | 0.31 | 0.65 |
| Mt. Rtanj (Rt) | 9 | 4 | 7 | 4 | 3 | 0.44 | 0.75 |
| Mt. Mučanj (Mu) | 7 | 2 | 7 | 2 | 1.86 | 0.28 | 0.47 |
| Premužićeva staza (Pr) | 4 | 3 | 2 | 3 | 2.66 | 1 | 0.83 |
| Vošac (Vo) | 9 | 4 | 7 | 3 | 2.07 | 0.33 | 0.58 |
| Mt. Sinjajevina (Si) | 5 | 1 | 5 | 1 | 1 | 0.20 | 0 |
| Hechenberg-Ostgipfel (He) | 5 | 1 | 5 | 1 | 1 | 0.20 | 0 |
| Rotenfels (Ro) | 5 | 3 | 3 | 3 | 2.27 | 0.60 | 0.70 |
| Monte Ventosola (Mo) | 4 | 3 | 2 | 3 | 2.66 | 0.75 | 0.83 |
| Mt. Suva Gora (Su) | 7 | 3 | 4 | 2 | 1.81 | 0.71 | 0.52 |
| Mt. Olympus (Ol) | 5 | 4 | 2 | 4 | 3.57 | 0.8 | 0.90 |
| Mt. Pangaion (Pa) | 5 | 4 | 2 | 4 | 3.57 | 0.8 | 0.90 |
| 254 | 92 | 194 | 81 |
Publisher’s Note: MDPI stays neutral with regard to jurisdictional claims in published maps and institutional affiliations. |
© 2021 by the authors. Licensee MDPI, Basel, Switzerland. This article is an open access article distributed under the terms and conditions of the Creative Commons Attribution (CC BY) license (https://creativecommons.org/licenses/by/4.0/).
Share and Cite
Bogunić, F.; Siljak-Yakovlev, S.; Mahmutović-Dizdarević, I.; Hajrudinović-Bogunić, A.; Bourge, M.; Brown, S.C.; Muratović, E. Genome Size, Cytotype Diversity and Reproductive Mode Variation of Cotoneaster integerrimus (Rosaceae) from the Balkans. Plants 2021, 10, 2798. https://doi.org/10.3390/plants10122798
Bogunić F, Siljak-Yakovlev S, Mahmutović-Dizdarević I, Hajrudinović-Bogunić A, Bourge M, Brown SC, Muratović E. Genome Size, Cytotype Diversity and Reproductive Mode Variation of Cotoneaster integerrimus (Rosaceae) from the Balkans. Plants. 2021; 10(12):2798. https://doi.org/10.3390/plants10122798
Chicago/Turabian StyleBogunić, Faruk, Sonja Siljak-Yakovlev, Irma Mahmutović-Dizdarević, Alma Hajrudinović-Bogunić, Mickaël Bourge, Spencer C. Brown, and Edina Muratović. 2021. "Genome Size, Cytotype Diversity and Reproductive Mode Variation of Cotoneaster integerrimus (Rosaceae) from the Balkans" Plants 10, no. 12: 2798. https://doi.org/10.3390/plants10122798
APA StyleBogunić, F., Siljak-Yakovlev, S., Mahmutović-Dizdarević, I., Hajrudinović-Bogunić, A., Bourge, M., Brown, S. C., & Muratović, E. (2021). Genome Size, Cytotype Diversity and Reproductive Mode Variation of Cotoneaster integerrimus (Rosaceae) from the Balkans. Plants, 10(12), 2798. https://doi.org/10.3390/plants10122798

