Modification of Growth and Physiological Response of Coastal Dune Species Anthyllis maritima to Sand Burial by Rhizobial Symbiosis and Salinity
Abstract
1. Introduction
2. Materials and Methods
2.1. Plant Material, Growth Conditions and Treatments
2.2. Analysis of Physiological Parameters
2.3. Analysis of Ion Concentration
2.4. Plant Harvest
2.5. Measurement of Biochemical Parameters
2.6. Data Analysis
3. Results
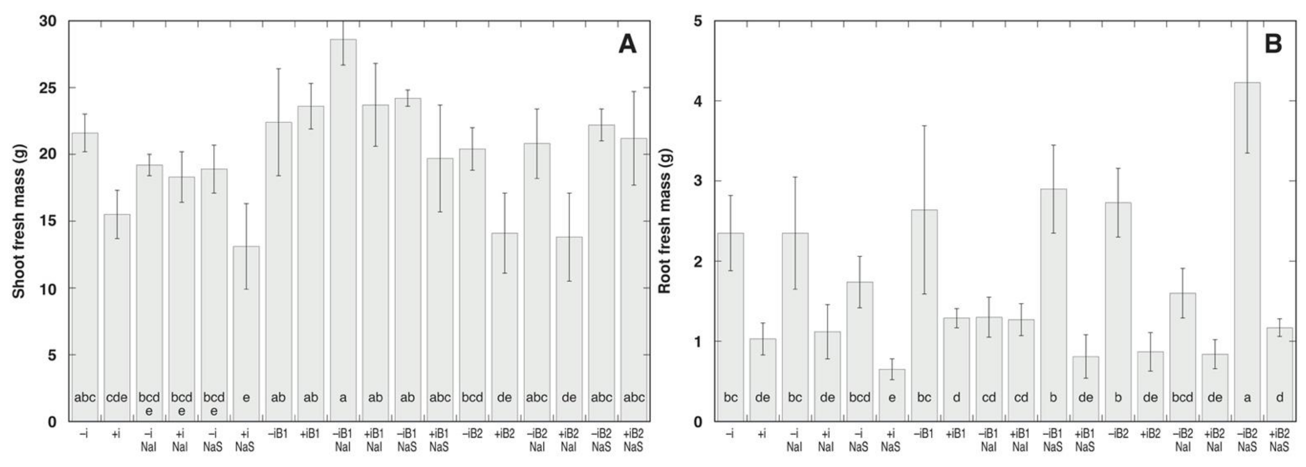
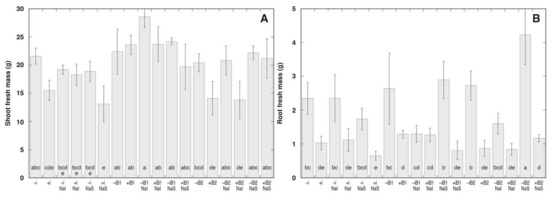
3.1. Morphological Parameters
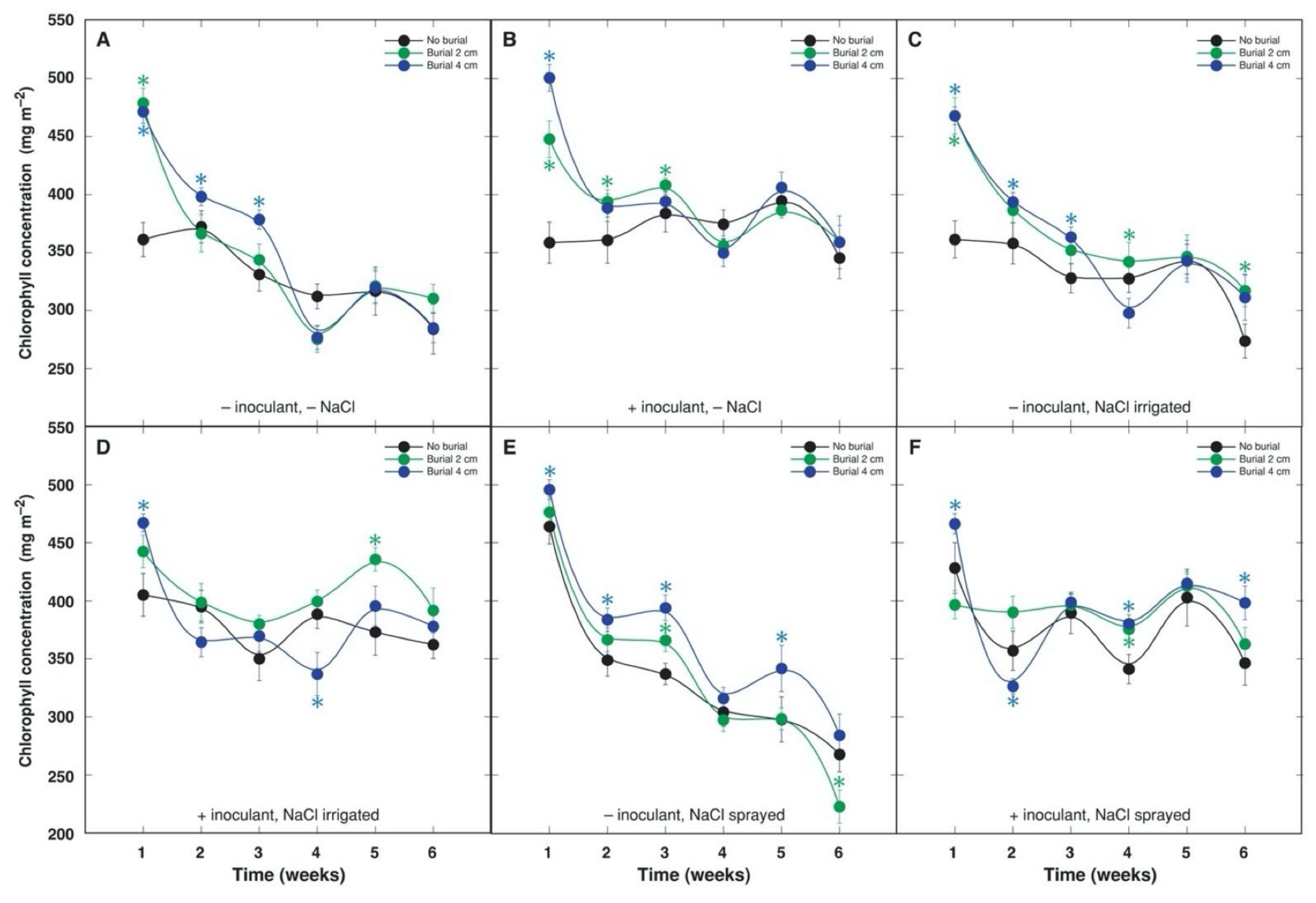
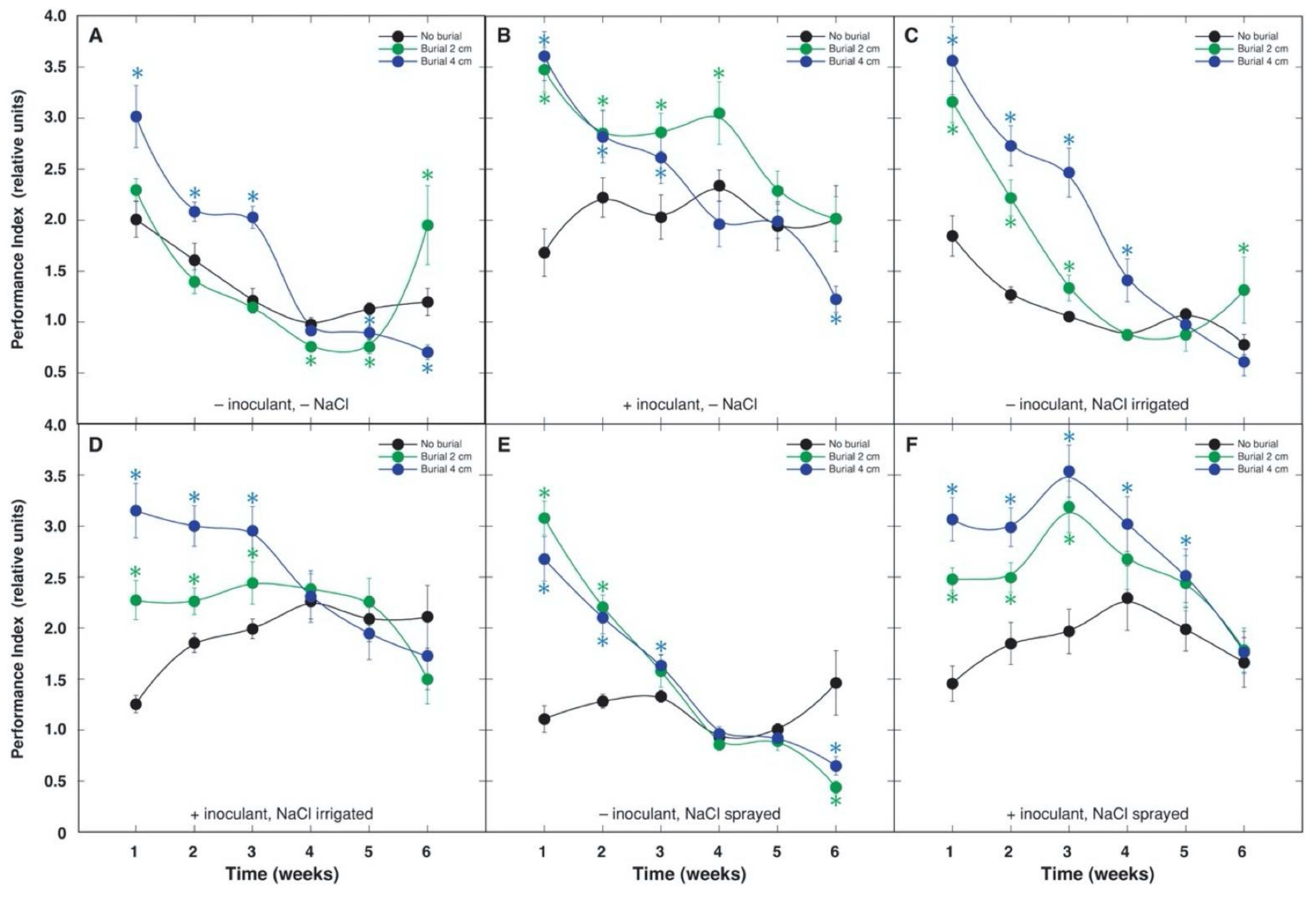
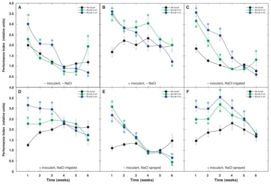
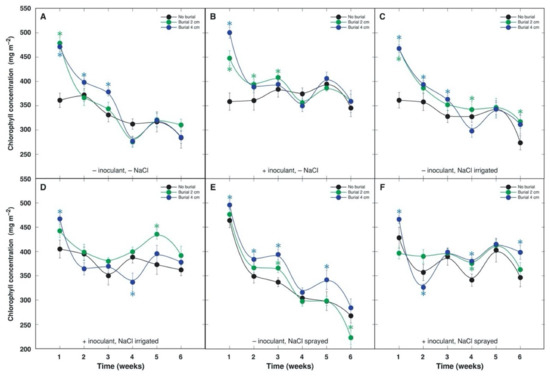
3.2. Physiological Parameters
3.3. Ion Concentration
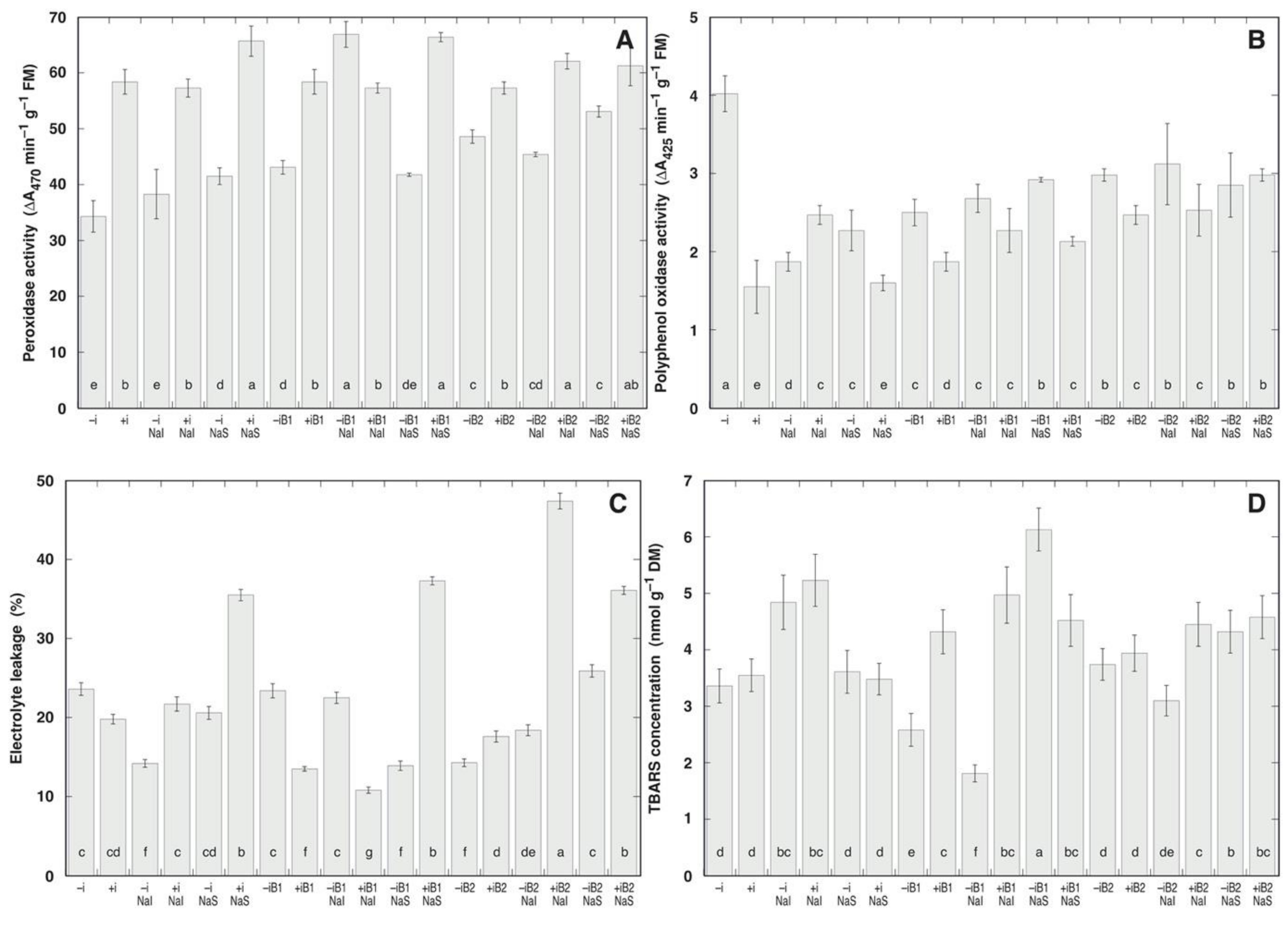
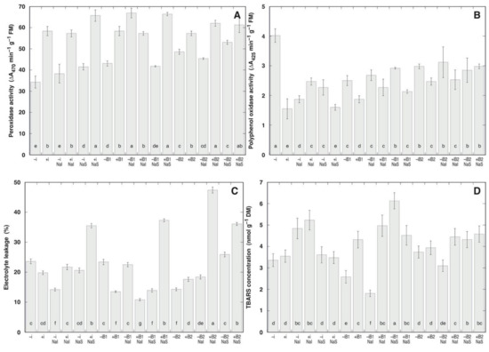
3.4. Oxidative Processes and Tissue Damage
4. Discussion
4.1. Experimental System
4.2. Effect of Sand Burial
4.3. Interactions between the Factors
4.4. Physiological Traits and Indicators of Tissue Damage
4.5. Importance of the Study for Plant Growth in Natural Conditions
Author Contributions
Funding
Data Availability Statement
Acknowledgments
Conflicts of Interest
References
- Hesp, P.A. Ecological processes and plant adaptations on coastal dunes. J. Arid Environ. 1991, 21, 165–191. [Google Scholar] [CrossRef]
- Pardini, E.A.; Vickstrom, K.E.; Knight, T.M. Early successional microhabitats allow the persistence of endangered plants in coastal sand dunes. PLoS ONE 2015, 10, e0119567. [Google Scholar] [CrossRef]
- Maun, M.A. Adaptations of plants to burial in coastal sand dunes. Can. J. Bot. 1998, 76, 713–738. [Google Scholar]
- Dech, J.P.; Maun, M.A. Zonation of vegetation along a burial gradient on the leeward slopes of Lake Huron sand dunes. Can. J. Bot. 2005, 83, 227–236. [Google Scholar] [CrossRef]
- Gilbert, M.E.; Ripley, B.S. Resolving the differences in plant burial response. Austral Ecol. 2010, 35, 53–59. [Google Scholar] [CrossRef]
- Maun, M.A.; Perumal, J. Zonation of vegetation on lacustrine coastal dunes: Effects of burial by sand. Ecol. Lett. 1999, 2, 14–18. [Google Scholar] [CrossRef]
- Wilson, J.B.; Sykes, M.T. Is zonation on coastal sand dunes determined primarily by sand burial or by salt spray? A test in New Zealand dunes. Ecol. Lett. 1999, 2, 233–236. [Google Scholar] [CrossRef]
- Skiba, V.; Wainwright, M. Nitrogen transformation in coastal sands and dune soils. J. Arid Environ. 1984, 7, 1–8. [Google Scholar] [CrossRef]
- van der Heijden, M.G.A.; Bakker, R.; Verwaal, J.; Scheublin, T.R.; Rutten, M.; van Logtestijn, R.; Staehelin, C. Symbiotic bacteria as a determinant of plant community structure and plant productivity in dune grassland. FEMS Microbiol. Ecol. 2006, 56, 178–187. [Google Scholar] [CrossRef]
- Zahran, H.H. Rhizobia from wild legumes: Diversity, taxonomy, ecology, nitrogen fixation and biotechnology. J. Biotechnol. 2001, 91, 143–153. [Google Scholar] [CrossRef]
- Franzini, V.I.; Azcón, R.; Ruiz-Lozano, J.M.; Aroca, R. Rhizobial symbiosis modifies root hydraulic properties in bean plants under non-stressed and salinity-stressed conditions. Planta 2019, 249, 1207–1215. [Google Scholar] [CrossRef]
- Kaushal, M.; Wani, S.P. Rhizobacterial-plant interactions: Strategies ensuring plant growth promotion under drought and salinity stress. Agric. Ecosyst. Environ. 2016, 231, 68–78. [Google Scholar] [CrossRef]
- Mushtaq, Z.; Faizan, S.; Gulzar, B.; Hakeem, K.R. Inoculation of Rhizobium alleviates salinity stress through modulation of growth characteristics, physiological and biochemical attributes, stomatal activities and antioxidant defence in Cicer arietinum L. J. Plant Growth Regul. 2021, 40, 2148–2163. [Google Scholar] [CrossRef]
- Dūmiņš, K.; Andersone-Ozola, U.; Samsone, I.; Elferts, D.; Ievinsh, G. Growth and physiological performance of a coastal species Trifolium fragiferum as affected by a coexistence with Trifolium repens, NaCl treatment and inoculation with rhizobia. Plants 2021, 10, 2196. [Google Scholar] [CrossRef] [PubMed]
- Cheplick, G.P.; Demetri, H. Impact of saltwater spray and sand deposition on the coastal annual Triplasis puprpurea (Poaceae). Am. J. Bot. 1999, 86, 703–710. [Google Scholar] [CrossRef]
- Roze, I. Kidney vetch Anthyllis L. in the flora of Latvia. Proc. Latv. Acad. Sci. Sect. B Nat. Exact Appl. Sci. 2004, 58, 61–69. [Google Scholar]
- Köster, E.; Bitocchi, E.; Papa, R.; Pihu, S. Genetic structure of the Anthyllis vulneraria L. s. l. species complex in Estonia based on AFLPs. Cent. Eur. J. Biol. 2008, 3, 442–450. [Google Scholar] [CrossRef]
- Nartowska, J.; Wawer, I.; Strzelecka, H. Triterpenoid sapogenin from Anthyllis vulneraria L. Acta Pol. Pharm. Drug Res. 2001, 58, 289–291. [Google Scholar]
- Grison, C.M.; Mazel, M.; Sellini, A.; Escande, V.; Biton, J.; Grison, C. The leguminous species Anthyllis vulneraria as a Zn-hyperaccumulator and eco-Zn catalyst resources. Environ. Sci. Pollut. Res. Int. 2015, 22, 5667–5676. [Google Scholar] [CrossRef] [PubMed]
- Touchette, B.W.; Adams, E.C.; Laimbeer, P. Age-specific responses to elevated salinity in the coastal marsh plant black needlerush (Juncus roemerianus Scheele) as determined through polyphasic chlorophyl a fluorescence transients (OJIP). Mar. Biol. 2012, 159, 2137–2147. [Google Scholar] [CrossRef]
- Carter, G.A.; Knapp, A.K. Leaf optical properties in higher plants: Linking spectral characteristics to stress and chlorophyll concentration. Am. J. Bot. 2001, 88, 677–684. [Google Scholar] [CrossRef]
- Samsone, I.; Andersone, U.; Vikmane, M.; Ieviņa, B.; Pakarna, G.; Ievinsh, G. Nondestructive methods in plant biology: An accurate measurement of chlorophyll content by a chlorophyll meter. Acta Univ. Latv. 2007, 723, 145–154. [Google Scholar]
- Mayer, A.M. Polyphenol oxidases in plants and fungi: Going places? A review. Phytochemistry 2006, 67, 2318–2331. [Google Scholar] [CrossRef]
- Mathé, C.; Barre, A.; Jourda, C.; Dunand, C. Evolution and expression of class III peroxidases. Arch. Biochem. Biophys. 2010, 500, 58–65. [Google Scholar] [CrossRef] [PubMed]
- Vincent, J.M. The cultivation, isolation and maintenance of rhizobia. In A Manual for the Practical Study of the Root-Nodule Bacteria; Vincent, J.M., Ed.; Blackwell Scientific: Oxford, UK, 1970; pp. 1–13. [Google Scholar]
- Tsimilli-Michael, M. Revisiting JIP-test: An educative review on concepts, assumptions, approximations, definitions and terminology. Photosynthetica 2020, 58, 275–292. [Google Scholar] [CrossRef]
- Ievinsh, G.; Ieviņa, S.; Andersone-Ozola, U.; Samsone, I. Leaf sodium, potassium and electrolyte accumulation capacity of plant species from salt-affected coastal habitats of the Baltic Sea: Towards a definition of Na hyperaccumulation. Flora 2021, 274, 151748. [Google Scholar] [CrossRef]
- Aref, I.M.; Khan, P.R.; Khan, S.; El-Atta, H.; Ahmed, A.I.; Iqbal, M. Modulation of antioxidant enzymes in Juniperus procera needles in relation to habitat environment and dieback incidence. Trees 2016, 30, 1669–1681. [Google Scholar] [CrossRef]
- Luo, Q.; Yu, B.; Liu, Y. Differential sensitivity to chloride and sodium ions in seedlings of Glycine max and G. soja under NaCl stress. J. Plant Physiol. 2005, 162, 1003–1012. [Google Scholar] [CrossRef]
- Andersone, U.; Ievinsh, G. Changes of morphogenic competence in mature Pinus sylvestris L. In Vitro Ann. Bot. 2002, 90, 293–298. [Google Scholar] [CrossRef]
- R Core Team. R: A Language and Environment for Statistical Computing; R Foundation for Statistical Computing: Vienna, Austria, 2021; Available online: https://www.R-project.org/ (accessed on 15 October 2021).
- Antolín, M.C.; Fiasconaro, M.L.; Sánchez-Díaz, M. Relationship between photosynthetic capacity, nitrogen assimilation and nodule metabolism in alfalfa (Medicago sativa) grown with sewage sludge. J. Hazard. Mater. 2010, 182, 210–216. [Google Scholar] [CrossRef]
- Heckmann, M.O.; Drevon, J.J. Inhibition of symbiotic nitrogen fixation by nitrate. In Physiological Limitations and the Genetic Improvement of Symbiotic Nitrogen Fixation; Advances in Agricultural Biotechnology; O’Gara, F., Manian, S., Drevon, J.J., Eds.; Springer: Dordrecht, The Netherlands, 1988; Volume 23, pp. 97–106. [Google Scholar]
- Walker, R.L.; Burns, I.G.; Moorby, J. Responses of plant growth rate to nitrogen supply: A comparison of relative addition and N interruption treatments. J. Exp. Bot. 2001, 52, 309–317. [Google Scholar] [CrossRef] [PubMed]
- Perumal, J.V.; Maun, M.A. Ecophysiological response of dune species to experimental burial under field and controlled conditions. Plant Ecol. 2006, 184, 89–104. [Google Scholar] [CrossRef]
- Spanò, C.; Bruno, M.; Bottega, S. Calystegia soldanella: Dune versus laboratory plants to highlight key adaptive physiological traits. Acta Physiol. Plant. 2013, 35, 1329–1336. [Google Scholar] [CrossRef]
- Disraeli, D.J. The effect of sand deposits on the growth and morphology of Ammophila breviligulata. J. Ecol. 1984, 72, 145–154. [Google Scholar] [CrossRef]
- Gilbert, M.E.; Ripley, B.S. Biomass rallocation and the mobilization of leaf resources support dune plant growth after sand burial. Physiol. Plant. 2008, 134, 464–472. [Google Scholar] [CrossRef]
- Ievinsh, G.; Lejniece, K.K. Comparison of sand burial-dependent growth responses of two Tragopogon species from different habitats. Botanica 2021, 27, 13–22. [Google Scholar] [CrossRef]
- Kent, M.; Owen, N.W.; Dale, M.P. Photosynthetic responses of plant communities to sand burial on the machair dune systems of the Outer Hebrides, Scotland. Ann. Bot. 2005, 95, 869–877. [Google Scholar] [CrossRef]
- Zhang, J. Interactive effects of soil nutrients, moisture and sand burial on the development, physiology, biomass and fitness of Cakile edentula. Ann. Bot. 1996, 78, 591–598. [Google Scholar] [CrossRef][Green Version]
- Boudreau, S.; Houle, G. The Ammophila decline: A field experiment on the effects of mineral nutrition. Ecoscience 2001, 8, 392–398. [Google Scholar] [CrossRef]
- Greipsson, S.; Davy, A.J. Sand accretion and salinity as constraints on the establishment of Leymus arenarius for land reclamation in Iceland. Ann. Bot. 1996, 78, 611–618. [Google Scholar] [CrossRef][Green Version]
- Ievinsh, G. Biological basis of biological diversity: Physiological adaptations of plants to heterogeneous habitats along a sea coast. Acta Univ. Latv. 2006, 710, 53–79. [Google Scholar]
- de Vos, A.C.; Broekman, R.; Groot, M.P.; Rozema, J. Ecophysiological response of Crambe maritima to airborne and soil-borne salinity. Ann. Bot. 2010, 105, 925–937. [Google Scholar] [CrossRef]
- Rozema, J.; Bijl, F.; Dueck, T.; Wesselman, H. Salt-spray stimulated growth in strand-line species. Physiol. Plant. 1982, 56, 204–210. [Google Scholar] [CrossRef]
- Li, J.; Qu, H.; Zhao, H.L.; Zhou, R.L.; Yun, J.Y.; Pan, C.C. Growth and physiological responses of Agriophyllum squarrosum to sand burial stress. J. Arid Land 2015, 7, 94–100. [Google Scholar] [CrossRef]
- MacAdam, J.W.; Sharp, R.E.; Nelson, C.J. Peroxidase activity in the leaf elongation zone in tall fescue. II. Spatial distribution of apoplastic peroxidase activity in genotypes differing in length of the elongation zone. Plant Physiol. 1992, 99, 879–885. [Google Scholar] [CrossRef] [PubMed]
- Qu, H.; Zhao, H.L.; Zhou, R.L. Effects of sand burial on dune plants: A review. Sci. Cold Arid Reg. 2014, 6, 201–208. [Google Scholar]
- Lee, M.R.F.; Tweed, J.K.S.; Minchin, F.R.; Winters, A.L. Red clover polyphenol oxidase: Activation, activity and efficacy under grazing. Anim. Feed Sci. Technol. 2009, 149, 250–264. [Google Scholar] [CrossRef]
- Kruzmane, D.; Jankevica, L.; Ievinsh, G. Effect of regurgitant from Leptinotarsa decemlineata on wound responses in Solanum tuberosum and Phaseolus vulgaris plants. Physiol. Plant. 2002, 115, 577–584. [Google Scholar] [CrossRef]
- Druva-Lusite, I.; Ievinsh, G. Diversity of arbuscular mycorrhizal symbiosis in plants from coastal habitats. Environ. Exp. Biol. 2010, 8, 17–34. [Google Scholar]
- Perumal, J.V.; Maun, M.A. The role of mycorrhizal fungi in growth enhancement of dune plants following burial in sand. Funct. Ecol. 1999, 13, 560–566. [Google Scholar] [CrossRef]






| Treatment | Dry Mass of Shoots (g) | Shoot Water Content (g g−1 DM) | Dry Mass of Roots (g) | Root Water Content (g g−1 DM) | Leaf Height (cm) | Petiole Height (cm) | Number of Leaves | Number of Shoots |
|---|---|---|---|---|---|---|---|---|
| –i | 3.72 ± 0.13 cdefg | 4.81 | 0.454 ± 0.084 abc | 4.18 | 7.37 ± 0.23 abc | 5.39 ± 0.21 cd | 109.6 ± 9.2 a | 7.5 ± 0.9 bcde |
| +i | 3.25 ± 0.33 fgh | 3.77 | 0.204 ± 0.041 cd | 4.05 | 6.90 ± 0.24 abcd | 5.34 ± 0.25 d | 89.8 ± 9.4 bcde | 6.5 ± 0.9 e |
| –iNaI | 3.64 ± 0.18 defgh | 4.27 | 0.368 ± 0.115 bcd | 5.39 | 7.13 ± 0.18 abcd | 5.45 ± 0.15 cd | 102.6 ± 5.8 abc | 6.3 ± 0.5 e |
| +iNaI | 3.37 ± 0.26 efgh | 4.43 | 0.178 ± 0.061 cd | 5.29 | 7.34 ± 0.39 abcd | 5.72 ± 0.32 bcd | 93.8 ± 7.2 abcd | 9.8 ± 0.8 abcd |
| –iNaS | 3.32 ± 0.18 efgh | 4.69 | 0.450 ± 0.101 ab | 2.87 | 7.07 ± 0.37 abcd | 5.68 ± 0.38 cd | 92.8 ± 10.9 abcd | 7.8 ± 1.0 bcde |
| +iNaS | 2.65 ± 0.53 h | 3.94 | 0.128 ± 0.032 c | 4.08 | 6.30 ± 0.55 d | 5.43 ± 0.43 d | 81.6 ± 11.8 cdef | 8.5 ± 0.9 abcde |
| –iB1 | 4.01 ± 0.45 abcde | 4.59 | 0.448 ± 0.163 abcd | 4.69 | 7.51 ± 0.25 abc | 6.00 ± 0.22 abcd | 94.2 ± 15.5 ab | 7.5 ± 1.0 bcde |
| +iB1 | 4.91 ± 0.27 ab | 3.81 | 0.226 ± 0.032 bcd | 4.71 | 7.46 ± 0.14 abc | 6.20 ± 0.21 abc | 115.6 ± 11.8 a | 11.0 ± 1.2 a |
| –iB1NaI | 5.23 ± 0.23 a | 4.47 | 0.216 ± 0.046 c | 5.02 | 7.35 ± 0.26 abc | 6.45 ± 0.22 abc | 127.8 ± 4.2 a | 11.0 ± 0.7 a |
| +iB1NaI | 4.83 ± 0.39 ab | 3.91 | 0.216 ± 0.038 cd | 4.88 | 7.43 ± 0.29 abc | 6.03 ± 0.28 abcd | 110.8 ± 6.5 a | 11.5 ± 0.7 a |
| –iB1NaS | 4.88 ± 0.11 abc | 3.96 | 0.502 ± 0.104 a | 4.78 | 7.41 ± 0.16 abc | 6.09 ± 0.13 abcd | 109.4 ± 2.9 ab | 10.8 ± 1.2 ab |
| +iB1NaS | 3.96 ± 0.62 bcdef | 3.98 | 0.198 ± 0.055 cd | 3.09 | 6.65 ± 0.49 bcd | 6.03 ± 0.15 abcd | 91.6 ± 15.4 abcd | 10.0 ± 1.1 abc |
| –iB2 | 4.20 ± 0.34 abcdef | 3.86 | 0.500 ± 0.081 a | 4.76 | 7.91 ± 0.24 ab | 6.70 ± 0.20 ab | 66.0 ± 3.3 de | 7.3 ± 0.8 de |
| +iB2 | 2.92 ± 0.63 gh | 3.83 | 0.136 ± 0.040 c | 5.49 | 6.38 ± 0.56 cd | 5.73 ± 0.43 cd | 58.6 ± 9.3 de | 7.3 ± 1.3 de |
| –iB2NaI | 4.03 ± 0.45 absdef | 4.16 | 0.314 ± 0.087 abcd | 4.10 | 7.30 ± 0.33 abc | 6.63 ± 0.49 a | 75.0 ± 4.4 def | 6.3 ± 0.5 e |
| +iB2NaI | 2.57 ± 0.44 h | 4.37 | 0.188 ± 0.044 cd | 3.47 | 7.14 ± 0.77 abcd | 6.15 ± 0.23 abc | 53.4 ± 8.5 e | 5.5 ± 0.9 e |
| –iB2NaS | 4.55 ± 0.20 abcd | 3.88 | 0.540 ± 0.169 abc | 6.83 | 7.73 ± 0.34 ab | 6.63 ± 0.25 ab | 82.6 ± 8.0 cdef | 9.0 ± 2.0 bcde |
| +iB2NaS | 4.16 ± 0.57 abcde | 4.10 | 0.296 ± 0.045 abcd | 2.95 | 7.76 ± 0.86 a | 6.10 ± 0.34 abc | 82.2 ± 8.4 bcde | 8.0 ± 0.8 bcde |
| Source of Variation | df | Shoot FM | Shoot DM | Root FM | Root DM | ||||
|---|---|---|---|---|---|---|---|---|---|
| Mean Square | F | Mean Square | F | Mean Square | F | Mean Square | F | ||
| Burial | 2 | 302.9 | 9.57 *** | 13.44 | 18.1 *** | 0.28 | 0.26 | 0.006 | 0.17 |
| Inoculant | 1 | 344.5 | 10.88 ** | 6.81 | 9.17 ** | 37.39 | 34.98 *** | 1.091 | 32.86 *** |
| NaCl | 2 | 10.5 | 0.72 | 0.10 | 0.14 | 1.34 | 1.25 | 0.084 | 2.52 |
| Burial × inoculant | 2 | 8.1 | 0.26 | 1.57 | 2.12 | 0.24 | 0.23 | 0.012 | 0.37 |
| Burial × NaCl | 4 | 62.5 | 1.97 | 2.46 | 3.31 * | 1.44 | 1.35 | 0.017 | 0.50 |
| Inoculant × NaCl | 2 | 0.8 | 0.03 | 0.40 | 0.55 | 2.16 | 2.02 | 0.074 | 2.24 |
| Burial × inoculant × NaCl | 4 | 38.0 | 1.20 | 1.35 | 1.82 | 0.80 | 0.74 | 0.018 | 0.53 |
| Residuals | 72 | 31.7 | 0.74 | 1.07 | 0.033 | ||||
| Source of Variation | df | Leaf Height | Petiole Height | Number of Leaves | Number of Shoots | ||||
|---|---|---|---|---|---|---|---|---|---|
| Mean Square | F | Mean Square | F | Mean Square | F | Mean Square | F | ||
| Burial | 2 | 1.040 | 1.19 | 5.545 | 13.19 *** | 11,547 | 27.27 *** | 84.31 | 24.40 *** |
| Inoculant | 1 | 3.238 | 3.70 | 1.449 | 3.45 | 1895 | 4.48 * | 7.51 | 2.17 |
| NaCl | 2 | 0.143 | 0.16 | 0.237 | 0.56 | 202 | 0.48 | 10.81 | 3.13 * |
| Burial × inoculant | 2 | 0.183 | 0.21 | 0.930 | 2.21 | 147 | 0.35 | 6.98 | 2.02 |
| Burial × NaCl | 4 | 1.192 | 1.36 | 0.040 | 0.10 | 1231 | 2.91 * | 10.13 | 2.93 * |
| Inoculant × NaCl | 2 | 1.073 | 1.23 | 0.010 | 0.02 | 363 | 0.86 | 4.88 | 1.41 |
| Burial × inoculant × NaCl | 4 | 0.940 | 1.07 | 0.289 | 0.69 | 634 | 1.50 | 9.79 | 2.83 * |
| Residuals | 72 | 0.875 | 0.420 | 423 | 3.46 | ||||
| Source of Variation | df | Chlorophyll Concentration | Performance Index | ||
|---|---|---|---|---|---|
| Mean Square | F | Mean Square | F | ||
| Burial | 2 | 72,168 | 28.84 *** | 30.01 | 62.43 *** |
| Inoculant | 1 | 507,142 | 202.64 *** | 205.60 | 427.65 *** |
| NaCl | 2 | 5227 | 2.09 | 0.21 | 0.43 |
| Burial × inoculant | 5 | 361,662 | 144.51 *** | 37.15 | 77.27 *** |
| Burial × NaCl | 2 | 5003 | 2.00 | 3.38 | 7.03 *** |
| Inoculant × NaCl | 4 | 11,913 | 4.76 *** | 2.00 | 4.16 ** |
| Burial × inoculant × NaCl | 2 | 1040 | 0.42 | 5.20 | 10.82 *** |
| Residuals | 10 | 9934 | 3.97 *** | 1.04 | 2.15 * |
| Source of Variation | df | EC | K+ Concentration | Na+ Concentration | |||
|---|---|---|---|---|---|---|---|
| Mean Square | F | Mean Square | F | Mean Square | F | ||
| Burial | 2 | 0.022 | 1.22 | 2915 | 5.63 ** | 23.2 | 4.61 * |
| Inoculant | 1 | 0.102 | 5.65 * | 1753 | 3.38 | 15.9 | 3.16 |
| NaCl | 2 | 0.427 | 23.55 *** | 2047 | 3.95 * | 134.2 | 26.6 *** |
| Time | 2 | 3.559 | 196.43 *** | 101 636 | 195.92 *** | 338.0 | 67.12 *** |
| Burial × Inoculant | 2 | 0.034 | 1.90 | 1068 | 2.06 | 4.9 | 0.98 |
| Burial × NaCl | 4 | 0.030 | 1.63 | 615 | 1.19 | 5.3 | 1.06 |
| Inoculant × NaCl | 2 | 0.040 | 2.21 | 462 | 0.89 | 5.8 | 1.15 |
| NaCl × Time | 4 | 0.010 | 0.58 | 270 | 0.52 | 47.4 | 9.41 *** |
| Burial × Time | 4 | 0.052 | 2.89 * | 240 | 0.46 | 14.1 | 2.81 * |
| Inoculant × Time | 2 | 0.078 | 4.33 * | 1064 | 2.05 | 1.2 | 0.25 |
| Burial × Inoculant × NaCl | 4 | 0.026 | 1.45 | 497 | 0.96 | 0.8 | 0.17 |
| Residuals | 24 | 0.018 | 519 | 5.0 | |||
| Source of Variation | df | Peroxidase Activity | Polyphenol Oxidase Activity | ||
|---|---|---|---|---|---|
| Mean Square | F | Mean Square | F | ||
| Burial | 2 | 71.1 | 3.75 | 0.763 | 2.50 |
| Inoculant | 1 | 1599.7 | 84.45 *** | 1.923 | 6.30 * |
| NaCl | 2 | 19.1 | 1.01 | 0.099 | 0.32 |
| Residuals | 12 | 18.9 | 0.305 | ||
Publisher’s Note: MDPI stays neutral with regard to jurisdictional claims in published maps and institutional affiliations. |
© 2021 by the authors. Licensee MDPI, Basel, Switzerland. This article is an open access article distributed under the terms and conditions of the Creative Commons Attribution (CC BY) license (https://creativecommons.org/licenses/by/4.0/).
Share and Cite
Gaile, L.; Andersone-Ozola, U.; Samsone, I.; Elferts, D.; Ievinsh, G. Modification of Growth and Physiological Response of Coastal Dune Species Anthyllis maritima to Sand Burial by Rhizobial Symbiosis and Salinity. Plants 2021, 10, 2584. https://doi.org/10.3390/plants10122584
Gaile L, Andersone-Ozola U, Samsone I, Elferts D, Ievinsh G. Modification of Growth and Physiological Response of Coastal Dune Species Anthyllis maritima to Sand Burial by Rhizobial Symbiosis and Salinity. Plants. 2021; 10(12):2584. https://doi.org/10.3390/plants10122584
Chicago/Turabian StyleGaile, Laura, Una Andersone-Ozola, Ineta Samsone, Didzis Elferts, and Gederts Ievinsh. 2021. "Modification of Growth and Physiological Response of Coastal Dune Species Anthyllis maritima to Sand Burial by Rhizobial Symbiosis and Salinity" Plants 10, no. 12: 2584. https://doi.org/10.3390/plants10122584
APA StyleGaile, L., Andersone-Ozola, U., Samsone, I., Elferts, D., & Ievinsh, G. (2021). Modification of Growth and Physiological Response of Coastal Dune Species Anthyllis maritima to Sand Burial by Rhizobial Symbiosis and Salinity. Plants, 10(12), 2584. https://doi.org/10.3390/plants10122584

