Balancing Hazard Exposure and Walking Distance in Evacuation Route Planning during Earthquake Disasters
Abstract
1. Introduction
- Materials and methods: overview of our study site and spatial dataset, and methods of road hazard estimation and pedestrian evacuation route analysis.
- Experimental results: visualization of resulting routes.
- Discussion: discussion of results and limitations.
- Conclusion: summary of the study and directions for future work.
2. Materials and Methods
2.1. Data Sources
2.2. Building Collapse Estimation and Road Hazard Analysis
2.3. Pedestrian Evacuation Route Analysis
2.3.1. Shortest-Path, Unassigned-Shelter Analysis
- Step 1: Identify the shortest path from population node i to shelter node j, where .
- Step 2: If , identify the shelter closest to this shelter j. Traverse the shortest path to that shelter, which becomes the new shelter j.
- Step 3: Repeat Step 2 until .
- Step 4: If , assign to the path. Next, and .
- Step 5: If , assign to the path. Next, and .
- Step 6: If the sum of the populations or shelter capacities is zero, end the process. If not, return to Step 1.
2.3.2. The Shortest-Path, Assigned-Shelter Analysis
- Step 1: Identify the shortest path from population node i to shelter node j, where and .
- Step 2: If , assign to the path. Next, and .
- Step 3: If , assign to the path. Next, and .
- Step 4: If the sum of populations or shelter capacities is zero, end the process. If not, return to Step 1.
2.3.3. Minimum-Hazard, Assigned-Shelter Analysis
- Step 1: Identify the path that minimizes road hazards from population node i to shelter node j, where and . If the paths to two or more shelters have the same road hazard exposure, we choose the shortest distance path.
- Step 2: If , assign to the path. Next, and .
- Step 3: If , assign to the path. Next, and .
- Step 4: If the sum of the populations or shelter capacities is zero, end the process. If not, return to Step 1.
2.3.4. Comprehensive Evacuation Route Analysis
- Step 1: Calculate the paths that minimize the road hazards between the population nodes and shelter nodes.
- Step 2: Identify the shortest path from population node i to shelter node j, where and .
- Step 3: If , assign to the path. Next, and .
- Step 4: If , assign to the path. Next, and .
- Step 5: If the sum of the populations or shelter capacities is zero, end the process. If not, iterate at Step 2.
3. Experimental Results
3.1. Summary of Results
3.2. Model Comparison
4. Discussion
5. Conclusions
Author Contributions
Funding
Conflicts of Interest
References
- Grigoli, F.; Cesca, S.; Rinaldi, A.P.; Manconi, A.; Lopez-Comino, J.A.; Clinton, J.F.; Westaway, R.; Cauzzi, C.; Dahm, T.; Wiemer, S. The November 2017 Mw 5.5 Pohang Earthquake: A Possible Case of Induced Seismicity in South Korea. Science 2018, 360, 1003–1006. [Google Scholar] [CrossRef] [PubMed]
- Lee, J.; Son, M.; Park, D.; Jung, T.; Lee, B.; Kim, D.; Lim, K.; Park, K.; Kang, H.; Han, S. Development on Designation and Operation Standard of Earthquake Evacuation Shelter; Technical Report on PRI-2017-02-01-01; Korean National Disaster Management Research Institute: Ulsan, Korea, 2017.
- D’Orazio, M.; Spalazzi, L.; Quagliarini, E.; Bernardini, G. Agent-Based Model for Earthquake Pedestrians’ Evacuation in Urban Outdoor Scenarios: Behavioural Patterns Definition and Evacuation Paths Choice. Saf. Sci. 2014, 62, 450–465. [Google Scholar] [CrossRef]
- Yang, Q.; Sun, Y.; Liu, X.; Wang, J. MAS-Based Evacuation Simulation of an Urban Community during an Urban Rainstorm Disaster in China. Sustainability 2020, 12, 546. [Google Scholar] [CrossRef]
- Campos, V.; Bandeira, R.; Bandeira, A. A Method for Evacuation Route Planning in Disaster Situations. Procedia Soc. Behav. Sci. 2012, 54, 503–512. [Google Scholar] [CrossRef]
- Wood, N.J.; Schmidtlein, M.C. Anisotropic Path Modeling to Assess Pedestrian-Evacuation Potential from Cascadia-Related Tsunamis in the US Pacific Northwest. Nat. Hazards 2012, 62, 275–300. [Google Scholar] [CrossRef]
- Cova, T.J.; Church, R.L. Modelling Community Evacuation Vulnerability Using GIS. Int. J. Geogr. Inf. Sci. 1997, 11, 763–784. [Google Scholar] [CrossRef]
- Opasanon, S.; Miller-Hooks, E. The Safest Escape Problem. J. Oper. Res. Soc. 2009, 60, 1749–1758. [Google Scholar] [CrossRef]
- Lämmel, G.; Klüpfel, H.; Nagel, K. Risk Minimizing Evacuation Strategies under Uncertainty. In Pedestrian and Evacuation Dynamics; Springer: Berlin/Heidelberg, Germany, 2011; pp. 287–296. [Google Scholar]
- Xu, J.; Yin, X.; Chen, D.; An, J.; Nie, G. Multi-Criteria Location Model of Earthquake Evacuation Shelters to Aid in Urban Planning. Int. J. Disaster Risk Reduct. 2016, 20, 51–62. [Google Scholar] [CrossRef]
- Lee, Y.L.; Ishii, H.; Tai, C.A. Earthquake Shelter Location Evaluation Considering Road Structure. Int. Conf. Intell. Syst. Des. Appl. ISDA 2008, 1, 495–497. [Google Scholar] [CrossRef]
- Ndiaye, I.A.; Neron, E.; Linot, A.; Monmarche, N.; Goerigk, M. A New Model for Macroscopic Pedestrian Evacuation Planning with Safety and Duration Criteria. Transp. Res. Procedia 2014, 2, 486–494. [Google Scholar] [CrossRef]
- Zhang, N.; Huang, H.; Su, B.; Zhao, J. Analysis of Dynamic Road Risk for Pedestrian Evacuation. Phys. A Stat. Mech. Its Appl. 2015, 430, 171–183. [Google Scholar] [CrossRef]
- Yamamoto, K.; Li, X. Safety Evaluation of Evacuation Routes in Central Tokyo Assuming a Large-Scale Evacuation in Case of Earthquake Disasters. J. Risk Financ. Manag. 2017, 10, 14. [Google Scholar] [CrossRef]
- Zhao, X.; Du, P.; Chen, J.; Yu, D.; Xu, W.; Lou, S.; Yuan, H.; Ip, K.P. A Typhoon Shelter Selection and Evacuee Allocation Model: A Case Study of Macao (SAR), China. Sustainability 2020, 12, 3308. [Google Scholar] [CrossRef]
- Li, J.; Zhu, H. A Risk-Based Model of Evacuation Route Optimization under Fire. Procedia Eng. 2018, 211, 365–371. [Google Scholar] [CrossRef]
- El Meouche, R.; Abunemeh, M.; Hijaze, I.; Mebarki, A.; Shahrour, I. Developing Optimal Paths for Evacuating Risky Construction Sites. J. Constr. Eng. Manag. 2018, 144, 4017099. [Google Scholar] [CrossRef]
- Chen, P.; Chen, G.; Wang, L.; Reniers, G. Optimizing Emergency Rescue and Evacuation Planning with Intelligent Obstacle Avoidance in a Chemical Industrial Park. J. Loss Prev. Process Ind. 2018, 56, 119–127. [Google Scholar] [CrossRef]
- Dijkstra, E.W. A Note on Two Problems in Connexion with Graphs. Numer. Math. 1959, 1, 269–271. [Google Scholar] [CrossRef]
- Kim, Y.; Rhie, J.; Kang, T.-S.; Kim, K.-H.; Kim, M.; Lee, S.-J. The 12 September 2016 Gyeongju Earthquakes: 1. Observation and Remaining Questions. Geosci. J. 2016, 20, 747–752. [Google Scholar] [CrossRef]
- Son, M.; Cho, C.S.; Shin, J.S.; Rhee, H.; Sheen, D. Spatiotemporal Distribution of Events during the First Three Months of the 2016 Gyeongju, Korea, Earthquake SequenceSpatiotemporal Distribution of Events during the First Three Months of the 2016 Gyeongju Earthquake Sequence. Bull. Seismol. Soc. Am. 2018, 108, 210–217. [Google Scholar] [CrossRef]
- Korean Statistical Information Service. Earthquake Statistics. Available online: http://kosis.kr/index/index.do (accessed on 20 April 2020).
- Korea National Spatial Infrastructure Portal. Available online: http://data.nsdi.go.kr/dataset/20180927ds0062 (accessed on 15 March 2020).
- Korea Ministry of Public Administration and Security. Korea Road Name Address System Website. Available online: http://www.juso.go.kr/ (accessed on 10 March 2019).
- Korea National Public Data Portal. Available online: https://www.data.go.kr/data/15021030/openapi.do (accessed on 15 March 2020).
- Pei, T.; Sobolevsky, S.; Ratti, C.; Shaw, S.-L.; Li, T.; Zhou, C. A New Insight into Land Use Classification Based on Aggregated Mobile Phone Data. Int. J. Geogr. Inf. Sci. 2014, 28, 1988–2007. [Google Scholar] [CrossRef]
- Gyeongju. Gyeongju Population Status. Available online: http://www.gyeongju.go.kr/open_content/ko/page.do?mnu_uid=292&parm_mnu_uid=1592&srchBgpUid=590 (accessed on 10 May 2020).
- Lu, X.; Yang, Z.; Cimellaro, G.P.; Xu, Z. Pedestrian Evacuation Simulation under the Scenario with Earthquake-Induced Falling Debris. Saf. Sci. 2019, 114, 61–71. [Google Scholar] [CrossRef]
- Wakuta, K. A Multi-Objective Shortest Path Problem. Math. Methods Oper. Res. 2002, 54, 445–454. [Google Scholar] [CrossRef]
- Sastry, V.N.; Janakiraman, T.N.; Mohideen, S.I. New Algorithms For Multi Objective Shortest Path Problem. Opsearch 2003, 40, 278–298. [Google Scholar] [CrossRef]
- Wang, S.; Yang, J.; Liu, G.; Du, S.; Yan, J. Multi-Objective Path Finding in Stochastic Networks Using a Biogeography-Based Optimization Method. Simulation 2016, 92, 637–647. [Google Scholar] [CrossRef]
- Mayasari, Z.M.; Rafflesia, U.; Astuti, M.; Fauzi, Y. Mathematical Modeling Approach of an Evacuation Model for Tsunami Risk Reduction in Bengkulu. In Journal of Physics: Conference Series; IOP Publishing: Yogyakarta, Indonesia, 2019; Volume 1188, p. 12094. [Google Scholar]
- Takabatake, T.; Shibayama, T.; Esteban, M.; Ishii, H.; Hamano, G. Simulated Tsunami Evacuation Behavior of Local Residents and Visitors in Kamakura, Japan. Int. J. Disaster Risk Reduct. 2017, 23, 1–14. [Google Scholar] [CrossRef]









| Revision Year | 1990 | 2005 | 2015 | 2017 | 2018 |
|---|---|---|---|---|---|
| Minimum number of floors | 6 | 3 | 3 | 2 | 2 |
| Minimum floor area (m2) | 10,000 | 1000 | 500 | 500 | 200 |
| Symbol | Description | Approach | |
|---|---|---|---|
| Distance | Road distance of edge i | Shortest-path, unassigned-shelter analysis Shortest-path, assigned-shelter analysis Comprehensive evacuation route analysis | |
| Hazard | Road hazard of edge i | Minimum-hazard, assigned-shelter analysis Comprehensive evacuation route analysis | |
| Population | Number of population in node i | All approaches | |
| Capacity | Population that can enter shelter j in its remaining space | All approaches |
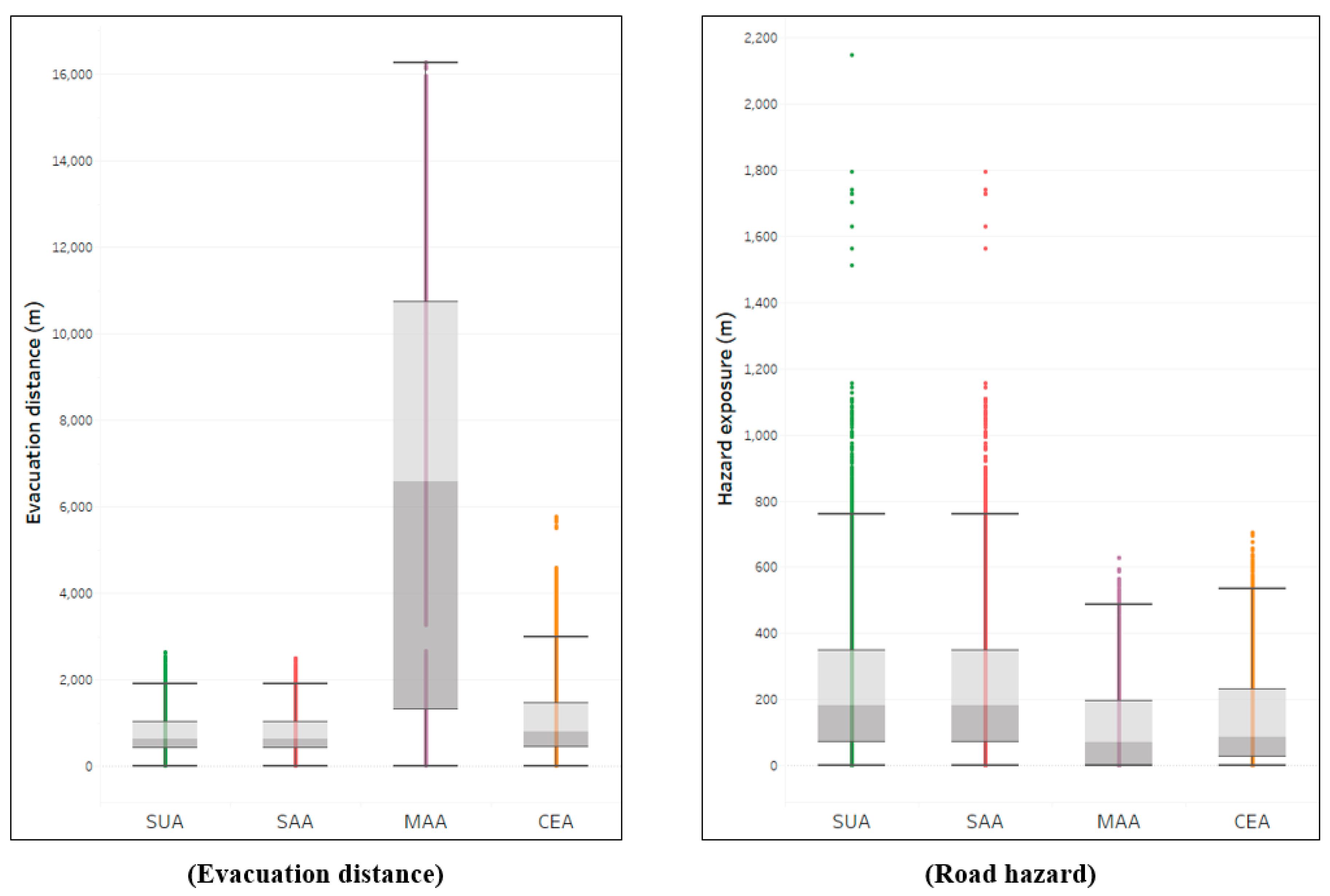
| Analysis Type | Evacuation Distance (m) | Hazard Exposure (m) | ||||
|---|---|---|---|---|---|---|
| Mean | Std. | Max | Mean | Std. | Max | |
| SUA | 612.5 | 464.5 | 2625.4 | 306.1 | 224.7 | 2147.0 |
| SAA | 608.3 | 460.8 | 2485.8 | 303.0 | 220.3 | 1792.5 |
| MAA | 4991.5 | 4745.0 | 16,270.0 | 168.4 | 123.8 | 628.4 |
| CEA | 861.2 | 964.9 | 5759.5 | 199.5 | 141.2 | 703.4 |
| Analysis Type | Evacuation Distance | Hazard Exposure |
|---|---|---|
| Two Sample t-Test (t) | Two Sample t-Test (t) | |
| SUA vs. SAA | 0.308 | 0.878 |
| SUA vs. MAA | −348.089 *** | 183.961 *** |
| SUA vs. CEA | −107.479 *** | 137.785 *** |
| SAA vs. MAA | −348.129 *** | 182.947 *** |
| SAA vs. CEA | −107.704 *** | 136.777 *** |
| MAA vs. CEA | 324.555 *** | −60.000 *** |
© 2020 by the authors. Licensee MDPI, Basel, Switzerland. This article is an open access article distributed under the terms and conditions of the Creative Commons Attribution (CC BY) license (http://creativecommons.org/licenses/by/4.0/).
Share and Cite
No, W.; Choi, J.; Park, S.; Lee, D. Balancing Hazard Exposure and Walking Distance in Evacuation Route Planning during Earthquake Disasters. ISPRS Int. J. Geo-Inf. 2020, 9, 432. https://doi.org/10.3390/ijgi9070432
No W, Choi J, Park S, Lee D. Balancing Hazard Exposure and Walking Distance in Evacuation Route Planning during Earthquake Disasters. ISPRS International Journal of Geo-Information. 2020; 9(7):432. https://doi.org/10.3390/ijgi9070432
Chicago/Turabian StyleNo, Wonjun, Junyong Choi, Sangjoon Park, and David Lee. 2020. "Balancing Hazard Exposure and Walking Distance in Evacuation Route Planning during Earthquake Disasters" ISPRS International Journal of Geo-Information 9, no. 7: 432. https://doi.org/10.3390/ijgi9070432
APA StyleNo, W., Choi, J., Park, S., & Lee, D. (2020). Balancing Hazard Exposure and Walking Distance in Evacuation Route Planning during Earthquake Disasters. ISPRS International Journal of Geo-Information, 9(7), 432. https://doi.org/10.3390/ijgi9070432

