Delineation of Cocoa Agroforests Using Multiseason Sentinel-1 SAR Images: A Low Grey Level Range Reduces Uncertainties in GLCM Texture-Based Mapping
Abstract
:1. Introduction
2. Study Site
3. Materials and Methods
3.1. Satellite Data: Optical and Radar Imagery
3.2. Field Campaigns
3.3. Image-Processing Workflow
3.3.1. Feature Extraction: Vegetation Indices (VIs) and GLCM Texture Features
3.3.2. Classification: The Random Forest Ensemble Algorithm
3.3.3. Post-Processing and Classification Uncertainty Assessment
4. Results
4.1. Classification Accuracy
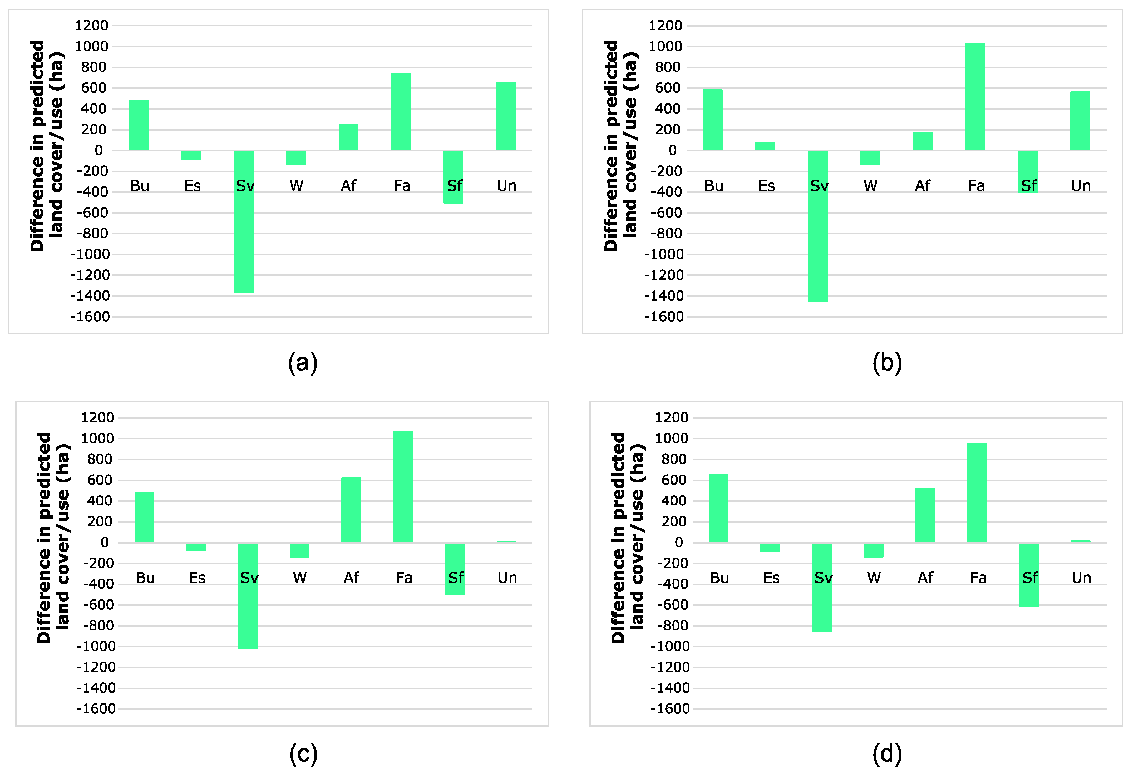
4.2. Uncertainty in Discriminating Vegetation Land Cover
4.3. The Contribution of Pixel Depth to Texture Feature Extraction
5. Discussion
6. Conclusions
- For the same window size and an invariant direction, reducing the SAR image’s grey level or quantization marginally improved the texture-based classification accuracy, but significantly reduced the uncertainty in discriminating cocoa agroforests from other vegetation cover types.
- The classification validation using Shannon entropy (H) estimates revealed subtle differences in individual class prediction and provided reliable information for drawing inferences about the vegetation structure in a multi-use and heterogeneous landscape.
- The magnitude of forest fragmentation by cocoa agroforests, which is concealed by vegetation indices from spectral reflectance, can be reliably mapped using texture measures from C-band SAR images.
Author Contributions
Funding
Acknowledgments
Conflicts of Interest
Appendix A
| LULC Class | Model | ||||
|---|---|---|---|---|---|
| RE1 | Gl3 | Gl3_B8 | Gl3_B6 | Gl3_B4 | |
| Bu | 68.89 | 547.38 | 650.35 | 545.89 | 719.07 |
| Es | 160.73 | 73.41 | 235.14 | 83.14 | 76.15 |
| Sv | 4485.2 | 3118.63 | 3035.37 | 3465.95 | 3629.72 |
| W | 137.08 | 0.27274 | 0.15079 | 0.16927 | 0.16446 |
| Af | 2733.63 | 2986.84 | 2904.18 | 3355.87 | 3254.77 |
| Fa | 2052.11 | 2787.95 | 3081.47 | 3120.90 | 3002.42 |
| Sf | 1706.94 | 1202.86 | 1306.70 | 1210.16 | 1094.61 |
| Un | 0 | 647.32 | 562.62 | 7.42 | 12.60 |
| nTrees = 550, mTry = 8, OOB error = 9.9%, OA = 88.8% | ||||||||||
|---|---|---|---|---|---|---|---|---|---|---|
| Reference | Class Error | PA | ||||||||
| Bu | Es | Sv | W | Af | Fa | Sf | ||||
| Predicted | Bu | 244 | 2 | 5 | 0 | 23 | 17 | 1 | 0.164 | 83.6 |
| Es | 14 | 89 | 19 | 0 | 6 | 21 | 0 | 0.403 | 59.7 | |
| Sv | 0 | 0 | 424 | 0 | 0 | 12 | 0 | 0.028 | 97.2 | |
| W | 2 | 0 | 3 | 0 | 6 | 7 | 0 | 1.000 | 0 | |
| Af | 3 | 0 | 0 | 0 | 325 | 8 | 4 | 0.044 | 95.6 | |
| Fa | 1 | 0 | 18 | 0 | 3 | 415 | 1 | 0.053 | 94.8 | |
| Sf | 0 | 0 | 0 | 0 | 16 | 0 | 246 | 0.061 | 93.9 | |
| UA | 92.4 | 97.8 | 90.4 | 0 | 85.8 | 86.5 | 97.6 | |||
| nTrees = 250, mTry = 2, OOB error = 19.2%, OA = 81.0% | ||||||||||
|---|---|---|---|---|---|---|---|---|---|---|
| Reference | Class Error | PA | ||||||||
| Bu | Es | Sv | W | Af | Fa | Sf | ||||
| Predicted | Bu | 1238 | 0 | 0 | 0 | 0 | 1 | 0 | 0.001 | 99.9 |
| Es | 2 | 529 | 8 | 0 | 0 | 117 | 0 | 0.194 | 80.6 | |
| Sv | 0 | 0 | 1469 | 1 | 52 | 172 | 2 | 0.134 | 86.6 | |
| W | 0 | 0 | 9 | 52 | 16 | 0 | 2 | 0.342 | 65.8 | |
| Af | 0 | 0 | 64 | 8 | 855 | 31 | 335 | 0.339 | 66.1 | |
| Fa | 0 | 57 | 233 | 0 | 55 | 1447 | 3 | 0.194 | 80.6 | |
| Sf | 0 | 0 | 3 | 0 | 309 | 4 | 665 | 0.322 | 67.7 | |
| UA | 99.8 | 90.3 | 82.3 | 85 | 66.4 | 81.7 | 66.0 | |||
References
- FAO. State of the World’s Forests 2016. Forests and Agriculture: Land-Use Challenges and Opportunities; FAO: Rome, Italy, 2016; ISBN 9789251092088. [Google Scholar]
- Ordway, E.M.; Asner, G.P.; Lambin, E.F. Deforestation risk due to commodity crop expansion in sub-Saharan Africa Deforestation risk due to commodity crop expansion in sub- Saharan Africa. Environ. Res. Lett. 2017, 12. [Google Scholar] [CrossRef]
- Payne, O.; Mann, A.S. Zomming In: “Sustainable” Cocoa Producer Destroys Pristine Forest in Peru. Available online: https://www.wri.org/blog/2015/zooming-sustainable-cocoa-producer-destroys-pritine-forest-peru (accessed on 16 December 2018).
- Kongsager, R.; Napier, J.; Mertz, O. The carbon sequestration potential of tree crop plantations. Mitig. Adapt. Strateg. Glob. Chang. 2013, 18, 1197–1213. [Google Scholar] [CrossRef]
- Somarriba, E.; Cerda, R.; Orozco, L.; Cifuentes, M.; Dávila, H.; Espin, T.; Mavisoy, H.; Ávila, G.; Alvarado, E.; Poveda, V.; et al. Carbon stocks and cocoa yields in agroforestry systems of Central America. Agric. Ecosyst. Environ. 2013, 173, 46–57. [Google Scholar] [CrossRef]
- Gockowski, J.; Sonwa, D. Cocoa Intensification Scenarios and Their Predicted Impact on CO2 Emissions, Biodiversity Conservation, and Rural Livelihoods in the Guinea Rain Forest of Cocoa Intensification Scenarios and Their Predicted Impact on CO2 Emissions, Biodiversity Conser. Environ. Manag. 2010. [Google Scholar] [CrossRef]
- Sonwa, D.; Weise, S.; Tchatat, M.; Janssens, M. Diversity of plants in cocoa agroforests in the humid forest zone of Southern Cameroon. Biodivers. Conserv. 2007. [Google Scholar] [CrossRef]
- Tscharntke, T.; Clough, Y.; Bhagwat, S.A.; Buchori, D.; Faust, H.; Hertel, D.; Hölscher, D.; Juhrbandt, J.; Kessler, M.; Perfecto, I.; et al. Multifunctional shade-tree management in tropical agroforestry landscapes—A review. J. Appl. Ecol. 2011, 48, 619–629. [Google Scholar] [CrossRef]
- Mukete, N.; Li, Z.; Beckline, M.; Patricia, B. Cocoa Production in Cameroon: A Socioeconomic and Technical Efficiency Perspective. Int. J. Agric. Econ. 2018, 3, 1–8. [Google Scholar] [CrossRef]
- FAOSTAT. Crops. 2017. Available online: http://www.fao.org/faostat/en/#data/QC (accessed on 3 August 2017).
- Ruf, F.; Schroth, G.; Doffangui, K. Climate change, cocoa migrations and deforestation in West Africa: What does the past tell us about the future? Sustain. Sci. 2015, 10, 101–111. [Google Scholar] [CrossRef]
- Barima, Y.S.S.; Tamia, A.; Kouakou, M.; Bamba, I.; Charles, Y.; Godron, M.; Andrieu, J. Cocoa crops are destroying the forest reserves of the classified forest of Haut-Sassandra (Ivory Coast). Glob. Ecol. Conserv. 2016, 8, 85–98. [Google Scholar] [CrossRef]
- Jagoret, P.; Michel-Dounias, I.; Snoeck, D.; Ngnogué, H.T.; Malézieux, E. Afforestation of savannah with cocoa agroforestry systems: A small-farmer innovation in central Cameroon. Agrofor. Syst. 2012, 86, 493–504. [Google Scholar] [CrossRef]
- Dumont, S.E.; Gnahoua, G.M.; Ohouo, L.; Sinclair, F.L.; Vaast, P. Farmers in Côte d’Ivoire value integrating tree diversity in cocoa for the provision of ecosystem services. Agrofor. Syst. 2014, 1047–1066. [Google Scholar] [CrossRef]
- Gyau, A.; Smoot, K.; Diby, L.; Kouame, C. Drivers of tree presence and densities: The case of cocoa agroforestry systems in the Soubre region of Republic of Côte d’Ivoire. Agrofor. Syst. 2015, 89, 149–161. [Google Scholar] [CrossRef]
- Sonwa, D.J.; Weise, S.F.; Nkongmeneck, B.A.; Tchatat, M.; Janssens, M.J.J. Structure and composition of cocoa agroforests in the humid forest zone of Southern Cameroon. Agrofor. Syst. 2016, 1–20. [Google Scholar] [CrossRef]
- Norgrove, L.; Hauser, S. Carbon stocks in shaded Theobroma cacao farms and adjacent secondary forests of similar age in Cameroon. Trop. Ecol. 2013, 54, 15–22. [Google Scholar]
- Tetteh, D.A.; Asase, A.; Ofori-frimpong, K.; Attuquayefio, D. Effect of cocoa farming intensification on biodiversity and ecosystem properties in southern Ghana. J. Ecol. Nat. Environ. 2018, 10, 172–181. [Google Scholar] [CrossRef]
- Braga, D.P.P.; Domene, F.; Gandara, F.B. Shade trees composition and diversity in cacao agroforestry’, Brazilian Amazon systems of southern Para. Agrofor. Syst. 2018. [Google Scholar] [CrossRef]
- FAOSTAT. Crops. Methodology—Crops Primary. 2018. Available online: http://www.fao.org/faostat/en/#data/QC (accessed on 12 December 2018).
- Mithöfer, D.; Roshetko, J.M.; Donovan, J.A.; Nathalie, E.; Robiglio, V.; Wau, D.; Sonwa, D.J.; Blare, T. Unpacking ‘sustainable’ cocoa: Do sustainability standards, development projects and policies address producer concerns in Indonesia, Cameroon and Peru? Int. J. Biodivers. Sci. Ecosyst. Serv. Manag. 2018, 13, 444–469. [Google Scholar] [CrossRef]
- Wood, G.A.R. Establishment. In Cocoa; Wrigley, G., Ed.; Blackwell Science: London, UK, 2001; pp. 119–165. ISBN 978-0-632-06398-7. [Google Scholar]
- Carodenuto, S.; Merger, E.; Essomba, E.; Panev, M.; Pistorius, T.; Amougou, J. A methodological framework for assessing agents, proximate drivers and underlying causes of deforestation: Field test results from Southern Cameroon. Forests 2015, 6, 203–224. [Google Scholar] [CrossRef]
- Jia, K.U.N.; Li, Q.; Tian, Y.; Wu, B. Crop classification using multi-configuration SAR data in the North. Int. J. Remote Sens. 2012, 33, 170–183. [Google Scholar] [CrossRef]
- Ghazaryan, G.; Dubovyk, O.; Löw, F.; Lavreniuk, M.; Kolotii, A.; Schellberg, J.; Kussul, N. A rule-based approach for crop identification using multi-temporal and multi-sensor phenological metrics. Eur. J. Remote Sens. 2018, 51, 511–524. [Google Scholar] [CrossRef]
- Solberg, S.; Næsset, E.; Gobakken, T.; Bollandsås, O.M. Forest biomass change estimated from height change in interferometric SAR height models. Carbon Balance Manag. 2014, 9, 1–12. [Google Scholar] [CrossRef]
- Stelmaszczuk-gorska, M.; Urbazaev, M.; Schmullius, C.; Thiel, C. Estimation of Above-Ground Biomass over Boreal Forests in Siberia Using Updated In Situ, ALOS-2 PALSAR-2, and RADARSAT-2 Data. Remote Sens. 2018, 10, 1550. [Google Scholar] [CrossRef]
- Szigarski, C.; Jagdhuber, T.; Baur, M.; Thiel, C.; Parrens, M.; Wigneron, J.; Piles, M.; Entekhabi, D. Analysis of the Radar Vegetation Index and Potential Improvements. Remote Sens. 2018, 10, 1776. [Google Scholar] [CrossRef]
- Thiel, C.; Cartus, O.; Eckardt, R.; Richter, N.; Thiel, C.; Schmullius, C. Analysis of multi-temporal land observation at C-band. Int. Geosci. Remote Sens. Symp. 2009, 3, 318–321. [Google Scholar] [CrossRef]
- Schmullius, C.; Thiel, C.; Pathe, C.; Santoro, M. Radar Time Series for Land Cover and Forest Mapping. In Remote Sensing and Digital Image Processing; Kuenzer, C., Dech, S., Wagner, W., Eds.; Springer International Publishing: Cham, Switzerland, 2015; Vol. 22, pp. 323–356. ISBN 978-3-319-15966-9. [Google Scholar]
- Hall-Beyer, M. Practical guidelines for choosing GLCM textures to use in landscape classification tasks over a range of moderate spatial scales. Int. J. Remote Sens. 2017, 38, 1312–1338. [Google Scholar] [CrossRef]
- Haralick, R.M. Statistical and structural approach to texture. Proc. IEEE 1979, 67, 786–804. [Google Scholar] [CrossRef]
- Mishra, V.N.; Prasad, R.; Rai, P.K.; Vishwakarma, A.K.; Arora, A. Performance evaluation of textural features in improving land use/land cover classification accuracy of heterogeneous landscape using multi-sensor remote sensing data. Earth Sci. Inform. 2018. [Google Scholar] [CrossRef]
- De Siqueira, R.F.; Robson, W.; Pedrini, H. Neurocomputing Multi-scale gray level co-occurrence matrices for texture description. Neurocomputing 2013, 120, 336–345. [Google Scholar] [CrossRef]
- Zhou, J.; Guo, R.Y.; Sun, M.; Di, T.T.; Wang, S.; Zhai, J. The Effects of GLCM parameters on LAI estimation using texture values from Quickbird Satellite Imagery. Sci. Rep. 2017, 1–12. [Google Scholar] [CrossRef]
- Lan, Z.; Liu, Y. Study on Multi-Scale Window Determination for GLCM Texture Description in High-Resolution Remote Sensing Image Geo-Analysis Supported by GIS and Domain Knowledge. ISPRS Int. J. Geo-Inf. 2018, 7, 175. [Google Scholar] [CrossRef]
- Marceau, D.J.; Howarth, P.J.; Dubois, J.M.; Gratton, D.J. Evaluation of the Grey-Level Co-Occurrence Matrix Method for Land-Cover Classification Using SPOT Imagery. IEEE Trans. Geosci. Remote Sens. 1990, 28, 513–519. [Google Scholar] [CrossRef]
- Clausi, D.A.; Zhao, Y. Rapid extraction of image texture by co-occurrence using a hybrid data structure. Comput. Geosci. 2002, 28, 763–774. [Google Scholar] [CrossRef]
- Karthikeyan, S.; Rengarajan, N. Performance Analysis of Gray Level Co-occurrence Matrix Texture Features for Glaucoma Diagnosis. Am. J. Appl. Sci. 2014, 11, 248–257. [Google Scholar] [CrossRef]
- Patel, M.B.; Rodriguez, J.J.; Gmitro, A.F. Effect of Gray-Level Re-quantization on Co-occurrence based Texture Analysis. In Proceedings of the 2008 15th IEEE International Conference on Image Processing, San Diego, CA, USA, 12–15 October 2008; pp. 585–588. [Google Scholar] [CrossRef]
- Numbisi, F.N.; Van Coillie, F.; De Wulf, R. Multi-Date Sentinel1 Sar Image Textures Discriminate Perennial Agroforests in a Tropical Forest-Savannah Transition Landscape. In Proceedings of the Mid-Term Symposium “Innovative Sensing—From Sensors to Methods and Applications”, Karlsruhe, German, 10–12 October 2018; pp. 339–346. [Google Scholar] [CrossRef]
- Hastie, T.; Tibsharani, R.; Friedman, J. The Elements of Statistical Learning: Data Mining, Inference, and Prediction, 2nd ed.; Springer: New York, NY, USA, 2009; ISBN 9780387848570. [Google Scholar]
- Silleos, N.G.; Alexandridis, T.K.; Gitas, I.Z.; Perakis, K. Vegetation indices: Advances made in biomass estimation and vegetation monitoring in the last 30 years. Geocarto Int. 2006, 21, 21–28. [Google Scholar] [CrossRef]
- Mutanga, O.; Skidmore, A.K. Narrow band vegetation indices overcome the saturation problem in biomass estimation. Int. J. Remote Sens. 2004, 25, 3999–4014. [Google Scholar] [CrossRef]
- Viña, A.; Gitelson, A.A.; Nguy-Robertson, A.L.; Peng, Y. Comparison of different vegetation indices for the remote assessment of green leaf area index of crops. Remote Sens. Environ. 2011, 115, 3468–3478. [Google Scholar] [CrossRef]
- Wiesmair, M.; Feilhauer, H.; Magiera, A.; Otte, A.; Waldhardt, R. Estimating Vegetation Cover from High-Resolution Satellite Data to Assess Grassland Degradation in the Georgian Caucasus. Mt. Res. Dev. 2016, 36, 56–65. [Google Scholar] [CrossRef]
- Liu, J.; Pattey, E.; Jégo, G. Assessment of vegetation indices for regional crop green LAI estimation from Landsat images over multiple growing seasons. Remote Sens. Environ. 2012, 123, 347–358. [Google Scholar] [CrossRef]
- Gitelson, A.A.; Kaufman, Y.J.; Merzlyak, M.N. Use of a green channel in remote sensing of global vegetation from EOS-MODIS. Remote Sens. Environ. 1996, 58, 289–298. [Google Scholar] [CrossRef]
- Jiang, Z.; Huete, A.R.; Didan, K.; Miura, T. Development of a two-band enhanced vegetation index without a blue band. Remote Sens. Environ. 2008, 112, 3833–3845. [Google Scholar] [CrossRef]
- Huete, A. A soil-adjusted vegetation index (SAVI). Remote Sens. Environ. 1988, 25, 295–309. [Google Scholar] [CrossRef]
- Qi, J.; Chehbouni, A.; Huete, A.R.; Kerr, Y.H.; Sorooshian, S. A modified soil adjusted vegetation index. Remote Sens. Environ. 2003, 48, 119–126. [Google Scholar] [CrossRef]
- Delegido, J.; Verrelst, J.; Alonso, L.; Moreno, J. Evaluation of sentinel-2 red-edge bands for empirical estimation of green LAI and chlorophyll content. Sensors 2011, 11, 7063–7081. [Google Scholar] [CrossRef]
- Abdel-Hamid, A.; Dubovyk, O.; Abou El-Magd, I.; Menz, G. Mapping Mangroves Extents on the Red Sea Coastline in Egypt using Polarimetric SAR and High Resolution Optical Remote Sensing Data. Sustainability 2018, 10, 646. [Google Scholar] [CrossRef]
- Maxwell, A.E.; Warner, T.A.; Fang, F.; Maxwell, A.E.; Warner, T.A.; Implementation, F.F.; Maxwell, A.E.; Warner, T.A. Implementation of machine-learning classification in remote sensing: An applied review sensing: An applied review. Int. J. Remote Sens. 2018, 39, 2784–2817. [Google Scholar] [CrossRef]
- Lawrence, R.L.; Moran, C.J. The AmericaView classification methods accuracy comparison project: A rigorous approach for model selection. Remote Sens. Environ. 2015, 170, 115–120. [Google Scholar] [CrossRef]
- Rogan, J.; Franklin, J.; Stow, D.; Miller, J.; Woodcock, C.; Roberts, D. Mapping land-cover modifications over large areas: A comparison of machine learning algorithms. Remote Sens. Environ. 2008, 112, 2272–2283. [Google Scholar] [CrossRef]
- Loosvelt, L.; Peters, J.; Skriver, H.; Lievens, H.; Van Coillie, F.M.B.; De Baets, B.; Verhoest, N.E.C. Random Forests as a tool for estimating uncertainty at pixel-level in SAR image classification. Int. J. Appl. Earth Obs. Geoinf. 2012, 19, 173–184. [Google Scholar] [CrossRef]
- Abdel-Rahman, E.M.; Mutanga, O.; Adam, E.; Ismail, R. Detecting Sirex noctilio grey-attacked and lightning-struck pine trees using airborne hyperspectral data, random forest and support vector machines classifiers. ISPRS J. Photogramm. Remote Sens. 2014, 88, 48–59. [Google Scholar] [CrossRef]
- Fassnacht, F.E.; Hartig, F.; Latifi, H.; Berger, C.; Hernández, J.; Corvalán, P.; Koch, B. Importance of sample size, data type and prediction method for remote sensing-based estimations of aboveground forest biomass. Remote Sens. Environ. 2014, 154, 102–114. [Google Scholar] [CrossRef]
- Van Tricht, K.; Gobin, A.; Gilliams, S.; Piccard, I. Synergistic Use of Radar Sentinel-1 and Optical Sentinel-2 Imagery for Crop Mapping: A Case Study for Belgium. Remote Sens. 2018, 10, 1642. [Google Scholar] [CrossRef]
- Breiman, L. Random Forests. Mach. Learn. 2001, 45, 5–32. [Google Scholar] [CrossRef]
- Criminisi, A.; Shotton, J.; Konukoglu, E. Decision Forests for Classification, Regression, Density Estimation, Manifold Learning and Semi-Supervised Learning. Found. Trends Comput. Graph. Vis. 2012, 7, 81–227. [Google Scholar] [CrossRef]
- Liaw, A.; Wiener, M. Classification and Regression by randomForest. R News 2002, 2, 18–22. [Google Scholar]
- Zhao, K.; Suarez, J.C.; Garcia, M.; Hu, T.; Wang, C.; Londo, A. Remote Sensing of Environment Utility of multitemporal lidar for forest and carbon monitoring: Tree growth, biomass dynamics, and carbon flux. Remote Sens. Environ. 2018, 204, 883–897. [Google Scholar] [CrossRef]
- Unwin, D.J. Geographical information systems and the problem of “error and uncertainty”. Prog. Hum. Geogr. 1995, 19, 549–558. [Google Scholar] [CrossRef]
- Shannon, E. Claude A Mathematical Theory of Communication. Bell Teleph. Syst. Tech. Publ. 1948, 27, 379–423. [Google Scholar] [CrossRef]
- Vajapeyam, S. Understanding Shannon’s Entropy metric for Information. arXiv, 2014; arXiv:1405.2061. [Google Scholar]
- Strzelecki, M.; Kociołek, M.; Materka, A. On the influence of image features wordlength reduction on texture classification. Adv. Intell. Syst. Comput. 2019, 762, 15–26. [Google Scholar] [CrossRef]
- Heydari, S.S.; Mountrakis, G. Effect of classifier selection, reference sample size, reference class distribution and scene heterogeneity in per-pixel classification accuracy using 26 Landsat sites. Remote Sens. Environ. 2018, 204, 648–658. [Google Scholar] [CrossRef]











| Satellite Mission | Scene ID(s) | Acquisition Date (DD/MM/YYYY/) | Sensing Stop Time (HH:MM:SS UTC) | Acquisition Mode (Polarization) | Data Level |
|---|---|---|---|---|---|
| RapidEye: RE-3 | 3241224_ 3241225_ 3241124_ 3241124_ | 9 January 2015 | 10:35:41.00 | MSI, Optical | L3A |
| Sentinel-1A | _006256_008304_78DE | 6 June 2015 | 17:28:11.147769 | IW Ascending (Dual: VV,VH) | Level1 GRD |
| _007306_00A05D_2111 | 17 August 2015 | 17:28:14.323283 | |||
| _007831_00AE86_4926 | 22 September 2015 | 17:28:15.577539 | |||
| _008706_00C641_B612 | 21 November 2015 | 17:28:15.454239 | |||
| _010456_00F838_64CF | 20 March 2016 | 17:28:13.302867 | |||
| _011156_010D64_7E35 | 7 May 2016 | 17:28:15.219784 | |||
| _012031_012962_8F08 | 6 July 2016 | 17:28:18.678294 | |||
| _012906_01465C_878C | 4 September 2016 | 17:28:21.557129 | |||
| _014831_0182BC_16C4 | 14 January 2017 | 17:28:19.166952 | |||
| _015706_019D94_BC50 | 15 March 2017 | 17:28:18.681981 |
| Class Acronym | Class Name | Description |
|---|---|---|
| Bu | Built up | Residential, commercial/market, industrial, and administrative settings |
| Es | Earth road/bare soil | Land areas of exposed soil and bare rocks |
| Sv | Shrub/grassland Savannah | Imperata sp. savannah land: shrubby and grassland areas that have not been converted to farmland |
| W | Water | Rivers, ponds, and seasonal and permanent swamps |
| Af | Perennial cocoa agroforests | Land areas used for cocoa production with various degrees of canopy stratification. The canopy/shade trees are mainly deciduous |
| Fa | Subsistence farming | Savannah and forest land areas that have been converted essentially for permanent or seasonal subsistence crop production, including farm fallows |
| Sf | Transition/Secondary forests | Disturbed and gallery forest patches, secret/cultural forests, and hunting forests. These forests have a rather permanent and less stratified canopy structure |
| Data Categories | Model | Image Stack |
|---|---|---|
| Dry season Multispectral RapidEye Image (RE). | RE1 | TOA Reflectance of B, G, R, Red Edge, and NIR: 5 Bands |
| RE2 | TOA Reflectance and Vegetation Indices (VIs): 10 Bands | |
| Multidate and season SAR GLCM Textures (GL). | GL1 | Multi-date VV GLCM Textures: 40 Bands |
| GL2 | Multi-date VH GLCM Textures: 40 Bands | |
| GL3 | Multi-date VV and VH GLCM Textures: 80 Bands | |
| Multidate and season SAR intensity and GLCM Textures (GLI). | GLI1 | Multi-date SAR VV Simga0 intensity and VV GLCM Textures: 50 bands |
| GLI2 | Multi-date SAR VH Sigma0 intensity and VH GLCM Textures: 50 bands | |
| GLI3 | Multi-date SAR VV plus VH Sigma0 intensity and, VV plus VH GLCM Textures: 100 bands |
| Model | Overall Accuracy (OA)% (95% CI) | Kappa | Out-of-bag (OOB) Error % |
|---|---|---|---|
| GLI1 | 78.80 (75.85, 81.53) | 0.738 | 19.66 |
| RE2 | 80.15 (78.76, 81.48) | 0.757 | 19.46 |
| RE1 | 81.04 (79.68, 82.35) | 0.769 | 19.18 |
| GL2 | 81.65 (78.74, 84.32) | 0.773 | 18.47 |
| GL1 | 82.74 (80.02, 85.23) | 0.787 | 17.12 |
| GLI2 | 82.97 (80.21, 85.48) | 0.789 | 18.71 |
| GLI3 | 85.07 (82.42, 87.47) | 0.817 | 13.69 |
| GL3 | 88.07 (85.52, 90.31) | 0.853 | 12.85 |
| Model | Overall Accuracy (OA) % (95% CI) | Kappa | OOB Error % |
|---|---|---|---|
| RE1 | 81.04 (79.68, 82.35) | 0.769 | 19.18 |
| GL3 | 88.07 (85.52, 90.31) | 0.854 | 12.85 |
| GL3_B8 | 88.23 (85.74, 90.41) | 0.854 | 11.84 |
| GL3_B6 | 88.83 (86.48, 90.90) | 0.862 | 9.92 |
| GL3_B4 | 88.86 (86.50, 90.94) | 0.862 | 10.38 |
© 2019 by the authors. Licensee MDPI, Basel, Switzerland. This article is an open access article distributed under the terms and conditions of the Creative Commons Attribution (CC BY) license (http://creativecommons.org/licenses/by/4.0/).
Share and Cite
Numbisi, F.N.; Van Coillie, F.M.B.; De Wulf, R. Delineation of Cocoa Agroforests Using Multiseason Sentinel-1 SAR Images: A Low Grey Level Range Reduces Uncertainties in GLCM Texture-Based Mapping. ISPRS Int. J. Geo-Inf. 2019, 8, 179. https://doi.org/10.3390/ijgi8040179
Numbisi FN, Van Coillie FMB, De Wulf R. Delineation of Cocoa Agroforests Using Multiseason Sentinel-1 SAR Images: A Low Grey Level Range Reduces Uncertainties in GLCM Texture-Based Mapping. ISPRS International Journal of Geo-Information. 2019; 8(4):179. https://doi.org/10.3390/ijgi8040179
Chicago/Turabian StyleNumbisi, Frederick N., Frieke M. B. Van Coillie, and Robert De Wulf. 2019. "Delineation of Cocoa Agroforests Using Multiseason Sentinel-1 SAR Images: A Low Grey Level Range Reduces Uncertainties in GLCM Texture-Based Mapping" ISPRS International Journal of Geo-Information 8, no. 4: 179. https://doi.org/10.3390/ijgi8040179
APA StyleNumbisi, F. N., Van Coillie, F. M. B., & De Wulf, R. (2019). Delineation of Cocoa Agroforests Using Multiseason Sentinel-1 SAR Images: A Low Grey Level Range Reduces Uncertainties in GLCM Texture-Based Mapping. ISPRS International Journal of Geo-Information, 8(4), 179. https://doi.org/10.3390/ijgi8040179

