Combination of Aerial, Satellite, and UAV Photogrammetry for Mapping the Diachronic Coastline Evolution: The Case of Lefkada Island
Abstract
1. Introduction
2. Study Area
3. Materials and Methods
3.1. Materials
3.2. Methods
3.2.1. Analogue Air Photo Data Processing
3.2.2. Declassified Satellite Imagery Processing
3.2.3. Pleiades Data Processing
3.2.4. UAV Data Processing
3.3. Historical Shoreline Analysis
3.3.1. Digital Shoreline Analysis System (DSAS)
3.3.2. Semiautomatic Processing in GIS Environment
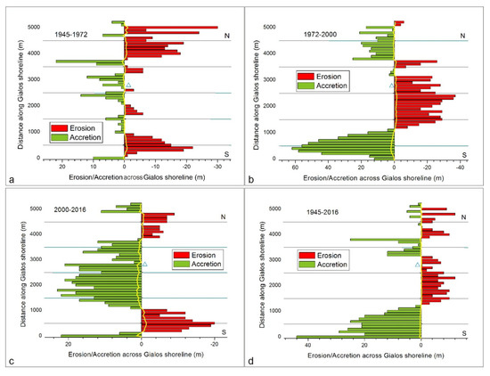
4. Results
5. Discussion
6. Conclusions
- Headlands appear to control accretion and/or erosion along the sweeping beaches of SW Lefkada Island.
- Periods of strong seismicity predate shoreline accretion, while periods of relatively long seismic quiescence, in the order of 30 years, are related to erosion.
- Periods of strong earthquakes give rise to the change of the former prevailed condition. Areas of erosion change to accretion areas and vice versa.
- Mass wasting is dramatically related to the first years after earthquakes, and sediment dispersal signifies the long-term phenomenon of sediment drift along and across the shoreline.
- Both famous beaches will maintain their sediment budget, and an analogous evolution will be sustained as long as strong earthquakes occur in the future.
Author Contributions
Funding
Acknowledgments
Conflicts of Interest
References
- Lavalle, C.; Rocha, G.C.; Baranzelli, C.; Batista e Silva, F. Coastal Zones Policy Alternatives Impacts on European Coastal Zones 2000–2050. JRC-IES: European Union’s policies: Luxembourg, Luxembourg. 2011. Available online: http://www.jrc.ec.europa.eu/ (accessed on 29 September 2019).
- Boak Elizabeth, H.; Ian, L. Turner Shoreline Definition and Detection: A Review. J. Coast. Res. 2005, 21, 688–703. [Google Scholar] [CrossRef]
- Feagin, R.A.; Barbier, E.B.; Koch, E.W.; Silliman, B.R.; Hacker, S.D.; Wolanski, E.; Primavera, J.; Granek, E.F.; Polasky, S.; Aswani, S.; et al. Vegetation’s role in coastal protection. Science 2008, 320, 176–177. [Google Scholar] [CrossRef]
- Bird, E.C.E. Beach Management; John Wiley & Sons: Chichester, UK, 1996. [Google Scholar]
- Luijendijk, A.; Hagenaars, G.; Ranasinghe, R.; Baart, F.; Donchyts, G.; Aarninkhof, S. The state of the World’s Beaches. Sci. Rep. 2018, 8, 6641. [Google Scholar] [CrossRef]
- Robert, D.; Bruce, H.; Jeffrey, H. A new photogrammetric method for determining shoreline erosion. Coast. Eng. 1978, 2, 21–39. [Google Scholar] [CrossRef]
- Tigny, V.; Ozer, A.; De Falco, G.; Baroli, M.; Djenidi, S. Relationship between the Evolution of the Shoreline and the Posidonia oceanica Meadow Limit in a Sardinian Coastal Zone. J. Coast. Res. 2007, 23, 787–793. [Google Scholar] [CrossRef]
- Pasqualini, V.; Pergent-Martini, C.; Clabaut, P.; Marteel, H.; Petgent, G. Integration of Aerial Remote Sensing, Photogrammetry, and GIs Technologies in Seagrass Mapping. Photograrnmetric Eng. Remote Sens. 2001, 67, 99–105. [Google Scholar]
- Esmail, M.; Mahmod, W.E.; Fath, H. Assessment and prediction of shoreline change using multi-temporal satellite images and statistics: Case study of Damietta coast, Egypt. Appl. Ocean. Res. 2019, 82, 274–282. [Google Scholar] [CrossRef]
- Wenyu, L.; Peng, G. Continuous monitoring of coastline dynamics in western Florida with a 30-Year time series of Landsat imagery. Remote Sens. Environ. 2016, 179, 196–209. [Google Scholar] [CrossRef]
- Salghuna, N.N.; Aravind Bharathvaj, S. Shoreline Change Analysis for Northern Part of the Coromandel Coast. Aquat. Procedia 2015, 4, 317–324. [Google Scholar] [CrossRef]
- Wang, X.; Liu, Y.; Ling, F.; Liu, Y.; Fang, F. Spatio-Temporal Change Detection of Ningbo Coastline Using Landsat Time-Series Images during 1976–2015. ISPRS Int. J. Geo-Inf. 2017, 6, 68. [Google Scholar] [CrossRef]
- Behling, R.; Robert, M.; Sabine, C. Spatiotemporal shoreline dynamics of Namibian coastal lagoons derived by a dense remote sensing time series approach. Int. J. Appl. Earth Obs. Geoinf. 2018, 68, 262–271. [Google Scholar] [CrossRef]
- Thior, M.; Dièye, T.; Sané, T.; El Hadj, B.D.; Sy, O.; Cissokho, D.; Demba Ba, B.; Descroix, L. Coastline dynamics of the northern Lower Casamance (Senegal) and southern Gambia littoral from 1968 to 2017. J. Afr. Earth Sci. 2019, 160, 103611. [Google Scholar] [CrossRef]
- Di, K.; Wang, J.; Ma, R.; Li, R. Automatic shoreline extraction from high-resolution Ikonos satellite imagery. In Proceedings of the Annual ASPRS Conference, Anchorage, AK, USA, 5–9 May 2003. [Google Scholar]
- Sekovski, I.; Stecchi, F.; Mancini, F.; Del Rio, L. Image classification methods applied to shoreline extraction on very High-Resolution multispectral imagery. Int. J. Remote Sens. 2014, 35, 3556–3578. [Google Scholar] [CrossRef]
- Nikolakopoulos Konstantinos, G.; Kozarski, D.; Kogkas, S. Coastal areas mapping using UAV photogrammetry. In Proceedings of the SPIE 10428, Earth Resources and Environmental Remote Sensing/GIS Applications VIII, 104280O, Warsaw, Poland, 5 October 2017. [Google Scholar] [CrossRef]
- Kaliraj, S.; Chandrasekar, N.; Ramachandran, K.K. Mapping of coastal landforms and volumetric change analysis in the south west coast of Kanyakumari, South India using remote sensing and GIS techniques. Egypt. J. Remote Sens. Space Sci. 2016, 20, 265–282. [Google Scholar] [CrossRef]
- Maglione, P.; Parente, C.; Vallario, A. High resolution satellite images to reconstruct recent evolution of domitian coastline. Am. J. Appl. Sci. 2015, 12, 506–515. [Google Scholar] [CrossRef][Green Version]
- Görmüş, K.S.; Kutoǧlu, Ş.H.; Şeker, D.Z.; Özölçer, I.H.; Oruç, M.; Aksoy, B. Temporal analysis of coastal erosion in Turkey: A case study Karasu coastal region. J. Coast. Conserv. 2014, 18, 399–414. [Google Scholar] [CrossRef]
- Kim, I.-H.; Lee, H.-S.; Song, D.-S. Time series analysis of shoreline changes in Gonghyunjin and Songjiho Beaches, South Korea using aerial photographs and remotely sensed imagery. J. Coast. Res. 2013, 2, 1415–1420. [Google Scholar] [CrossRef]
- Schweitzer, P.N. Modern Average Global Sea-Surface Temperature; US Geological Survey Digital Data Series, USGS Numbered Series, Data Series no. 10; U.S. Dept. of the Interior, U.S. Geological Survey: Reston, VA, USA, 1993.
- Ioannis, K.; Nikolakopoulos, K. Use of Landsat TM images for the detection of water outflows in the coastal area of south Attiki Peninsula, Greece. In Proceedings of the SPIE 4881, Sensors, Systems, and Next-Generation Satellites VI, Crete, Greece, 8 April 2003. [Google Scholar] [CrossRef]
- Garrity, C. Passive Microwave Remote Sensing of Snow Covered Floating Ice during Spring Conditions in the Arctic and Antarctic; Diss York Univ.: Toronto, ON, Canada, 1991; p. 348. [Google Scholar]
- Massom, R.A.; Comiso, J.C.; Worby, A.P.; Lytle, V.I.; Stock, L. Regional classes of sea ice cover in the East Antarctic Pack observed from satellite and in situ data during a winter time period. Remote Sens. Environ. 1999, 68, 61–76. [Google Scholar] [CrossRef]
- Howarth, P.J.; Alfoeldi, T.T.; Laframboise, P.; Munday, J.C.; Thompson, K.P.P.; Tomlins, G.F.; Wickware, G.M. Landsat for monitoring hydrologic and coastal change in Canada. In Landsat for Monitoring the Changing Geography of Canada. Can. Cent.; Thompson, M.D., Ed.; Remote Sensing, Energy, Mines and Resour.: Ottawa, ON, Canada, 1982; pp. 7–40. [Google Scholar]
- Hanslow, D.J.; Clout, B.; Evans, P.; Coates, B. Islands; Economy, Society and Environment New Zealand Geographical Society Conference Series. Monit. Coast. Chang. Using Photogramm. 1997, 19, 422–426. [Google Scholar]
- Toure, S.; Diop, O.; Kpalma, K.; Maiga, A.S. Shoreline Detection using Optical Remote Sensing: A Review. ISPRS Int. J. Geo-Inf. 2019, 8, 75. [Google Scholar] [CrossRef]
- Chikhradze, N.; Henriques, R.; Elashvili, M.; Kirkitadze, G.; Janelidze, Z.; Bolashvili, N.; Lominadze, G. Close Range Photogrammetry in the Survey of the Coastal Area Geoecological Conditions (on the Example of Portugal). Earth Sci. 2015, 4, 535–540. [Google Scholar] [CrossRef]
- Klemas, V.V. Coastal and Environmental Remote Sensing from Unmanned Aerial Vehicles: An Overview. J. Coast. Res. 2015, 315, 1260–1267. [Google Scholar] [CrossRef]
- Marcaccio, J.V.; Markle, C.E.; Chow-Fraser, P. Unmanned aerial vehicles produce High-Resolution, Seasonally-Relevant imagery for classifying wetland vegetation. Int. Arch. Photogramm. Remote Sens. Spat. Inf. Sci.-ISPRS Arch. 2015, 40, 249–256. [Google Scholar] [CrossRef]
- Papakonstantinou, A.; Topouzelis, K.; Pavlogeorgatos, G. Coastline Zones Identification and 3D Coastal Mapping Using UAV Spatial Data. ISPRS Int. J. Geo-Inf. 2016, 5, 75. [Google Scholar] [CrossRef]
- Drummond, C.D.; Harley, M.D.; Turner, I.L.; Matheen, A.N.A.; Glamore, W.C. UAV applications to coastal engineering. In Proceedings of the Aust. Coasts Ports 2015 Conf., Auckland, New Zealand, 15–18 September 2015; pp. 0–6. [Google Scholar]
- Bay, N.; Park, N. UAV Monitoring of Dune Dynamics-Anna Bay Entrance; Stockton Bight. In Proceedings of the NSW Coastal Conference, Coffs Harbour, Australia, 9–11 November 2016; pp. 1–22. [Google Scholar]
- Amos, D.A.N. Monitoring Mixed Sand and Gravel Beaches Using Unmanned Aerial Systems. In Proceedings of the Coast. Sediments 2015, San Diego, CA, USA, 11–15 May 2015; pp. 1–13. [Google Scholar]
- Turner, I.L.; Harley, M.D.; Drummond, C.D. UAVs for coastal surveying. Coast. Eng. 2016, 114, 19–24. [Google Scholar] [CrossRef]
- Alain, M.; Becker, M.; Benveniste, J.; Cazenave, A. White Paper on Monitoring the evolution of coastal zones under various forcing factors using Space-Based observing systems. In Proceedings of the International Space Science Institute (ISSI) Forum, Bern, Switzerland, 11–12 October 2016; pp. 1–38. [Google Scholar]
- Jamie, G.; Barlow, J.; Moore, R. Detection and analysis of mass wasting events in chalk sea cliffs using UAV photogrammetry. Eng. Geol. 2019, 250, 101–112. [Google Scholar] [CrossRef]
- Chen, B.; Yang, Y.; Wen, H.; Ruan, H.; Zhou, Z.; Luo, K.; Zhong, F. High-Resolution monitoring of beach topography and its change using unmanned aerial vehicle imagery. Ocean. Coast. Manag. 2018, 160, 103–116. [Google Scholar] [CrossRef]
- Valderrama-Landeros, L.; Flores-de-Santiago, F. Assessing coastal erosion and accretion trends along two contrasting subtropical rivers based on remote sensing data. Ocean. Coast. Manag. 2019, 169, 58–67. [Google Scholar] [CrossRef]
- Pauline, L.; Jaud, M.; Grandjean, P.; Ammann, J.; Costa, S.; Maquaire, O.; Davidson, R.; Le Dantec, N.; Delacourt, C. Examining High-Resolution survey methods for monitoring cliff erosion at an operational scale. GIScience Remote. Sens. 2018, 55, 457–476. [Google Scholar] [CrossRef]
- Pantanahiran, W. Using remote sensing data for calculating the coastal erosion in southern Thailand. Int. Arch. Photogramm. Remote Sens. Spat. Inf. Sci. 2019, XLII-3/W7, 51–56. [Google Scholar] [CrossRef]
- Prasita, V.D. Determination of Shoreline Changes from 2002 to 2014 in the Mangrove Conservation Areas of Pamurbaya Using GIS. Procedia Earth Planet. Sci. 2015, 14, 25–32. [Google Scholar] [CrossRef]
- Saci, K.; Boutiba, M.; Guendouz, M. Mohamed Said Guettouche, DalilaKhelfani, Detection and analysis of shoreline changes using geospatial tools and automatic computation: Case of Jijelian sandy coast (East Algeria). Ocean. Coast. Manag. 2016, 132, 46–58. [Google Scholar] [CrossRef]
- Mann, T.; Westphal, H. Assessing Long-Term Changes in the Beach Width of Reef Islands Based on Temporally Fragmented Remote Sensing Data. Remote Sens. 2014, 6, 6961–6987. [Google Scholar] [CrossRef]
- Helene, B.; French, J. Understanding coastal change using shoreline trend analysis supported by cluster-based segmentation. Geomorphology 2017, 282, 131–149. [Google Scholar]
- Ford, M. Shoreline changes interpreted from Multi-Temporal aerial photographs and high resolution satellite images: Wotje Atoll, Marshall Islands. Remote Sens. Environ. 2013, 135, 130–140. [Google Scholar] [CrossRef]
- Ford, M.R.; Kench, P.S. Multi-decadal shoreline changes in response to sea level rise in the Marshall Islands. Anthropocene 2015, 11, 14–24. [Google Scholar] [CrossRef]
- Salim, F.Z.; El Habti, M.Y.; Hamman, L.-H.K.B.; Raissouni, A.; El Arrim, A. Application of a Geomatics Approach for the Diachronic Study of the Meditterannean Coastline Case of Tangier Bay. Int. J. Geosci. 2018, 9, 320–336. [Google Scholar] [CrossRef][Green Version]
- Poli, D.; Remondino, F.; Angiuli, E.; Agugiaro, G. Radiometric and geometric evaluation of GeoEye-1, WorldView-2 and Pleiades-1A stereo images for 3D information extraction. ISPRS J. Photogramm. Remote Sens. 2015, 100, 35–47. [Google Scholar] [CrossRef]
- Perko, R.; Raggam, H.; Gutjahr, K.H.; Schardt, M. Advanced DTM generation from Very High-Resolution Satellite stereo images. ISPRS Ann. Photogramm. Remote Sens. Spat. Inf. Sci. 2015, II-3/W4, 165–172. [Google Scholar] [CrossRef]
- Bagnardi, M.; Gonzalez, P.J.; Hooper, A. High-Resolution digital elevation model from Tri-Stereo Pleiades-1 satellite imagery for lava flow volume estimates at Fogo Volcano. Geophys. Res. Lett. 2016, 43, 6267–6275. [Google Scholar] [CrossRef]
- Berthier, E.; Vincent, C.; Magnússon, E.; Gunnlaugsson, Á.Þ.; Pitte, P.; Le Meur, E.; Masiokas, M.; Ruiz, L.; Pálsson, F.; Belart, J.M.C.; et al. Glacier topography and elevation changes derived from Pléiades Sub-Meter stereo images. Cryosphere 2014, 8, 2275–2291. [Google Scholar] [CrossRef]
- Panagiotakis, E.; Chrysoulakis, N.; Charalampopoulou, V.; Poursanidis, D. Validation of Pleiades Tri-Stereo DSM in Urban Areas. ISPRS Int. J. Geo-Inf. 2018, 7, 118. [Google Scholar] [CrossRef]
- Kokkalas, S.; Xypolias, P.; Koukouvelas, I.; Doutsos, T. Postcollisionalcontractional and extensional deformation in the Aegean region. Spec. Pap. Geol. Soc. Am. 2006, 409, 97–123. [Google Scholar] [CrossRef]
- Kahle, H.-G.; Müller, M.V.; Geiger, A.; Danuser, G.; Mueller, S.; Veis, G.; Billiris, H.; Paradissis, D. The strain field in the northwestern Greece and the Ionian Islands: Results inferred from GPS measurements. Tectonophysics 1995, 249, 41–52. [Google Scholar] [CrossRef]
- Louvari, E.; Kiratzi, A.A.; Papazachos, B.C. The Cephalonia Transform Fault and its extension to western Lefkada island. Tectonophysics 1999, 308, 223–236. [Google Scholar] [CrossRef]
- Papazachos, B.C.; Papazachou, C.C. The Earthquakes of Greece; Ziti Publication Co.: Thessaloniki, Greece, 1997. [Google Scholar]
- Papadopoulos, G.A.; Karastathis, V.K.; Koukouvelas, I.; Sachpazi, M.; Baskoutas, I.; Chouliaras, G.; Agalos, A.; Daskalaki, E.; Minadakis, G.; Moshou, A.; et al. The Cephalonia, Ionian Sea (Greece), sequence of strong earthquakes of January–February 2014: A first report. Res. Geophys. 2014, 4, 5441. [Google Scholar] [CrossRef][Green Version]
- Fokaefs, A.; Papadopoulos, G.A. Historical earthquakes in the region of Lefkada Island, Ionian Sea–Estimation of magnitudes from epicentral intensities. Bull. Geol. Soc. Greece 2004, 36, 1389–1395. [Google Scholar] [CrossRef]
- Papadopoulos, G.; Karastathis, V.; Ganas, A.; Pavlides, S.; Fokaefs, A.; Orfanogiannaki, K. The LefkadaIonian sea (Greece), Shock (Mw6.2) of 14 August 2003: Evidence for the characteristic earthquake from seismicity and ground failures. Earth Planets Space 2003, 55, 713–718. [Google Scholar] [CrossRef]
- Sokos, E.; Zahradnik, J.; Gallovic, F.; Serpetsidaki, A.; Plicka, V.; Kiratzi, A. Asperity break after 12 years: The Mw6.4 2015 Lefkada(Greece) earthquake. Geophys. Res. Lett. 2016, 43, 6137–6145. [Google Scholar] [CrossRef]
- Zygouri, V.; Koukouvelas, I. Techniques of rockfall inventory in earthquake prone rock slopes. Bull. Seism. Soc. Greece 2016, 50, 1756–1765. [Google Scholar] [CrossRef][Green Version]
- Papadopoulos, G.; Agalos, A.; Biocchini, G.M.; Chousianitis, K.; Karastathis, V.; Triantafyllou, I.; Kontoes, C.; Papoutsis, I.; Svigkas, N.; Koukouvelas, I.; et al. The Mw6.5 earthquake of 17 November 2015 in Lefkada Island and the seismotectonics in the Cephalonia Transform Fault (Ionian Sea, Greece). Geophys. Res. Abstr. 2016, 18, EGU2016-9041-1. [Google Scholar]
- Tsangaratos, P.; Loupasakis, C.; Nikolakopoulos, K.; Angelitsa, V.; Ilia, I. Developing a landslide susceptibility map based on remote sensing, fuzzy logic and expert knowledge of the Island of Lefkada, Greece. Environ. Earth Sci. 2018, 77, 363. [Google Scholar] [CrossRef]
- Cushing, M. Evolution structurale de la marge nord ouest hellénique dans l’ île de Levkas et ses environs (Grèce nord occidentale). In Thèse 3me Cycle; Univ. de Paris-Sud: Paris, France, 1985. [Google Scholar]
- Rondoyanni, T.; Mettos, A.; Paschos, P.; Georgiou, C. Neotectonic Map of Greece, Scale 1:100.000; Lefkada sheet. I.G.M.E.: Athens, Greece, 2007. [Google Scholar]
- Papazachos, B.C.; Karakostas, V.G.; Papazachos, C.B.; Scordilis, E.M. The geometry of the Wadati-Benioff zone and lithospheric kinematics in the Hellenic arc. Tectonophysics 2000, 319, 275–300. [Google Scholar] [CrossRef]
- Karakostas, V.; Papadimitriou, E.; Patias, P.; Georgiadis, C. Coastal deformation in Lefkada Island associated with strong earthquake occurrence. Bolletino Geofis. Appl. 2019, 60, 1–16. [Google Scholar]
- Declassified Intelligence Satellite Photographs. FS 2008-3054. Geological Survey (U.S.); 2008. Available online: https://pubs.usgs.gov/fs/2008/3054/pdf/fs2008-3054.pdf (accessed on 29 September 2019).
- Nikolakopoulos Konstantinos, G.; Kavoura, K.; Sabatakakis, N.; Vaiopoulos, A.D. Fusion of declassified airphotos and Landsat MSS data for old landslides detection. In Proceedings of the SPIE 9245, Earth Resources and Environmental Remote Sensing/GIS Applications V, 92450E, Amsterdam, The Netherlands, 23 October 2014. [Google Scholar] [CrossRef]
- Schenk, T.; Csatho, B.; Shin, S.W. Rigorous panoramic camera model for DISP Imagery. In Proceedings of the Joint ISPRS/EARSeL Workshop ‘High Resolution Mapping from Space 2003’, Hannover, Germany, 6–8 October 2003. [Google Scholar]
- Sohn, H.G.; Kim, G.H.; Yom, J.H. Mathematical modelling of historical reconnaissance Corona KH-4B Imagery. Photogramm. Rec. 2004, 19, 51–66. [Google Scholar] [CrossRef]
- Centre National d’Etudes Spatiales (CNES). 2016. Available online: https://pleiades.cnes.fr/en/PLEIADES/index.htm (accessed on 10 May 2018).
- Nikolakopoulos, K.G.; Soura, K.; Koukouvelas, I.K. Argyropoulos, N.G. UAV vs classical aerial photogrammetry for archaeological studies. J. Archaeol. Sci. Rep. 2017, 14, 758–773. [Google Scholar] [CrossRef]
- Casana, J.; Cothren, J. Stereo analysis, DEM extraction and orthorectification of CORONA satellite imagery: Archaeological applications from the Near East. Antiquity 2008, 82, 732–749. [Google Scholar] [CrossRef]
- Galiatsatos, N.; Donoghue, D.N.M.; Philip, G. High resolution elevation data derived from stereoscopic CORONA imagery with minimal ground control: An approach using IKONOS and SRTM data. Photogramm. Eng. Remote Sens. 2008, 74, 1093–1106. [Google Scholar] [CrossRef]
- Altmaier, A.; Kany, C. Digital surface model generation from CORONA satellite images. ISPRS J. Photogramm. Remote Sens. 2002, 56, 221–235. [Google Scholar] [CrossRef]
- Hamandawana, H.; Eckardt, F.; Ringrose, S. Proposed methodology for georeferencing and mosaicking Corona photographs. Int. J. Remote Sens. 2007, 28, 5–22. [Google Scholar] [CrossRef]
- Konstantinos, N.; Pavlopoulos, K.; Chalkias, C.; Manou, D. Monitoring the urban expansion of Athens using remote sensing and GIS techniques in the last 35 years. In Proceedings of the SPIE 5983, Remote Sensing for Environmental Monitoring, GIS Applications, and Geology V, 598309, Bruges, Belgium, 31 October 2005. [Google Scholar] [CrossRef]
- Nikolakopoulos, K.; Kavoura, K.; Depountis, N.; Kyriou, A.; Argyropoulos, N.; Koukouvelas, I.; Sabatakakis, N. Preliminary results from active landslide monitoring using multidisciplinary surveys. Eur. J. Remote Sens. 2017, 50, 280–299. [Google Scholar] [CrossRef]
- Nikolakopoulos, K.G.; Lampropoulou, P.; Fakiris, E.; Sardelianos, D.; Papatheodorou, G. Synergistic Use of UAV and USV Data and Petrographic Analyses for the Investigation of Beachrock Formations: A Case Study from Syros Island, Aegean Sea, Greece. Minerals 2018, 8, 534. [Google Scholar] [CrossRef]
- Westoby, M.; Brasington, J.; Glasser, N.F.; Hambrey, M.J.; Reyonds, M.J. ‘Structure–from–Motion’ photogrammetry: A low cost, effective tool for geoscience applications. Geomorphology 2012, 179, 300–314. [Google Scholar] [CrossRef]
- Thieler, E.R.; Danforth, W.W. Historical shoreline mapping (II): Application of the digital shoreline mapping and analysis systems (DSMS/DSAS) to shoreline change mapping in Puerto Rico. J. Coast. Res. 1994, 10, 600–620. [Google Scholar]
- Anfuso, G.; Bowman, D.; Danese, C.; Pranzini, E. Transect based analysis versus area based analysis to quantify shoreline displacement: Spatial resolution issues. Environ. Monit. Assess. 2016, 188, 568. [Google Scholar] [CrossRef] [PubMed]
- RajuAedla, G.S.; Dwarakish, D. Venkat Reddy, Automatic Shoreline Detection and Change Detection Analysis of Netravati-GurpurRivermouth Using Histogram Equalization and Adaptive Thresholding Techniques. Aquat. Procedia 2015, 4, 563–570. [Google Scholar] [CrossRef]
- Ghionis, G.; Poulos, S.; Verykiou, E.; Karditsa, A.; Alexandrakis, G.; Andris, P. The Impact of an Extreme Storm Event on the Barrier Beach of the Lefkada Lagoon, NE Ionian Sea (Greece). Mediterr. Mar. Sci. 2015, 16, 562–572. [Google Scholar] [CrossRef]
- Athanassoulis, G.A.; Skarsoulis, E.K. Wind and Wave Atlas of North-East Mediterranean Sea. Laboratory of Nautical and Marine Hydrodynamics; Hellenic Navy General Staff, Hellenic Army Navy, NTUA: Athens, Greece, 1992; p. 191. [Google Scholar]
- Padró, J.-C.; Muñoz, F.-J.; Planas, J.; Pons, X. Comparison of four UAV georeferencing methods for environmental monitoring purposes focusing on the combined use with airborne and satellite remote sensing platforms. Int. J. Appl. Earth Obs. Geoinf. 2019, 75, 130–140. [Google Scholar] [CrossRef]
- Rabah, M.; Basiouny, M.; Ghanem, E.; Elhadary, A. Using RTK and VRS in direct geo-referencing of the UAV imagery. NRIAG J. Astron. Geophys. 2018, 7, 220–226. [Google Scholar] [CrossRef]
- Ganas, A.; Elias, P.; Bozionelos, G.; Papathanassiou, G.; Avallone, A.; Papastergios, A.; Valkaniotis, S.; Parcharidis, I.; Briole, P. Coseismic deformation, field observations and seismic fault of the 17 November 2015 Mw6.5, lefkada Island, Greece earthquake. Tectonophysics 2016, 687, 210–222. [Google Scholar] [CrossRef]
- Laporte-Fauret, Q.; Marieu, V.; Castelle, B.; Michalet, R.; Bujan, S.; Rosebery, D. Low-Cost UAV for High-Resolution and Large-Scale Coastal Dune Change Monitoring Using Photogrammetry. J. Mar. Sci. Eng. 2019, 7, 63. [Google Scholar] [CrossRef]












| Date | Longitude | Latitude | Depth | Mw |
|---|---|---|---|---|
| 22 April 1948 | 38.68 | 20.60 | Unknown | 6.5 |
| 30 June 1948 | 38.80 | 20.60 | Unknown | 6.4 |
| 12 August 1953 | 38.30 | 20.80 | Unknown | 7.0 |
| 30 Years of No Seismicity | ||||
| 17 January 1983 | 37.97 | 20.25 | 9 km | 6.5 |
| 20 Years of No Seismicity | ||||
| 14 August 2003 | 38.79 | 20.56 | 12 km | 6.3 |
| 12 Years of No Seismicity | ||||
| 17 November 2015 | 38.67 | 20.60 | 11 km | 6.5 |
| Date | Data Type | Source | Reference System | Number of Photos | Spatial Resolution |
|---|---|---|---|---|---|
| 1945 | Air photo mosaic | National Greek Cadastre and Mapping Agency | Greek Grid | Orthomosaic | 1 |
| 27/05/1972 | Declassified satellite imagery | United States Geological Survey | No reference system | 1 | 2 m |
| 05/06/1974 | Declassified satellite imagery | United States Geological Survey | No reference system | 1 | 4 m |
| 05/10/1980 | Declassified satellite imagery | United States Geological Survey | No reference system | 1 | 4 m |
| 11/09/1992 | Analogue air photos | Hellenic Military Geographical Service | No reference system | 8 | 1 m |
| 30/05/2000 | Analogue air photos | Hellenic Military Geographical Service | No reference system | 8 | 1 m |
| 2008 | Digital colored air photos | National Greek Cadastre and Mapping Agency | Greek Grid | Orthomosaic | 0.5 m |
| 2016 | Pleiades Imagery | Enceladus Greek Supersite | World Geodetic System 84 | 2 triplets | 0.5 m |
| 3/11/2018 | Unmanned Aerial Vehicle Imagery | University of Patras | World Geodetic System ‘84 | 462 | 0.1 m |
| Flight Campaign Altitude (m) | Along the Track Overlap % | Across the Track Overlap % | Number of Photos | Orthophoto Pixel Size (m) | DSM Pixel Size (m) | Image Quality (pixel) |
|---|---|---|---|---|---|---|
| 60 | 90 | 75 | 462 | 4.2 cm | 8.4 cm | 3000 × 4000 |
| LPS Block | No of Images | No of Ground Control Points | No of Tie Points | RMSE (m) |
|---|---|---|---|---|
| Declassified 1972 | 1 | 58 | 0 | 0.0044 |
| Declassified 1974 | 1 | 45 | 0 | 0.0727 |
| Declassified 1980 | 1 | 38 | 0 | 0.1668 |
| Air photo 1992 | 8 | 54 | 83 | 1.9753 |
| Air photo 2000 | 8 | 71 | 92 | 1.8602 |
| Pleiades 2016 | 6 | 180 | 224 | 0.1263 |
| Maximum/Minimum Rates of EPR (DSAS Method) | Maximum/Minimum Rates of Accretion/Erosion (Semiautomatic Processing Method) | |||||
|---|---|---|---|---|---|---|
| Period | Maximum Rate (m/yr) | Minimum Rate (m/yr) | Egremni Beach | Gialos Beach | ||
| Maximum Rate (m/yr) | Minimum Rate (m/yr) | Maximum Rate (m/yr) | Minimum Rate (m/yr) | |||
| 1945–1972 | 1.92 | −1.35 | 1.89 | −1.26 | 0.81 | −1.11 |
| 1972–2000 | 2.45 | −2.53 | 1.07 | −2.10 | 2.21 | −1.32 |
| 2000–2016 | 2.24 | −5.73 | 2.38 | −5.62 | 1.44 | −1.25 |
| 1945–2016 | 0.55 | −1.53 | 0.21 | −2.10 | 0.62 | −0.17 |
© 2019 by the authors. Licensee MDPI, Basel, Switzerland. This article is an open access article distributed under the terms and conditions of the Creative Commons Attribution (CC BY) license (http://creativecommons.org/licenses/by/4.0/).
Share and Cite
Nikolakopoulos, K.; Kyriou, A.; Koukouvelas, I.; Zygouri, V.; Apostolopoulos, D. Combination of Aerial, Satellite, and UAV Photogrammetry for Mapping the Diachronic Coastline Evolution: The Case of Lefkada Island. ISPRS Int. J. Geo-Inf. 2019, 8, 489. https://doi.org/10.3390/ijgi8110489
Nikolakopoulos K, Kyriou A, Koukouvelas I, Zygouri V, Apostolopoulos D. Combination of Aerial, Satellite, and UAV Photogrammetry for Mapping the Diachronic Coastline Evolution: The Case of Lefkada Island. ISPRS International Journal of Geo-Information. 2019; 8(11):489. https://doi.org/10.3390/ijgi8110489
Chicago/Turabian StyleNikolakopoulos, Konstantinos, Aggeliki Kyriou, Ioannis Koukouvelas, Vasiliki Zygouri, and Dionysios Apostolopoulos. 2019. "Combination of Aerial, Satellite, and UAV Photogrammetry for Mapping the Diachronic Coastline Evolution: The Case of Lefkada Island" ISPRS International Journal of Geo-Information 8, no. 11: 489. https://doi.org/10.3390/ijgi8110489
APA StyleNikolakopoulos, K., Kyriou, A., Koukouvelas, I., Zygouri, V., & Apostolopoulos, D. (2019). Combination of Aerial, Satellite, and UAV Photogrammetry for Mapping the Diachronic Coastline Evolution: The Case of Lefkada Island. ISPRS International Journal of Geo-Information, 8(11), 489. https://doi.org/10.3390/ijgi8110489

