Global-Scale Resource Survey and Performance Monitoring of Public OGC Web Map Services
Abstract
:1. Introduction
- (1)
- Geospatial resource discovery: the investigation of WMS resources and their metadata help us to grasp the server locations, provider types and content distribution of the global geospatial resources. Consequently, this knowledge will benefit service discovery by bringing to light on-demand WMSs that have those properties expected by service consumers.
- (2)
- Service performance evaluation: by developing a distributed monitoring framework, spatiotemporal heterogeneity and individual service-level performance differences can be analyzed over space and time. This will guide performance-aware service selection for time-critical applications, as well as steer performance improvements from the service provider perspective.
- (3)
- Evolution of service standard: this investigation can help researchers and standard makers from both industry and academia review the development and adoption of open service standards for a geospatial data portrayal. By linking cutting-edge web visualization technologies in relation to the prevailing interoperation modes (e.g., crowdsourcing [5,6] and collaboration [7,8]), we can rethink the appropriateness of the WMS standard, thus inspiring us to conceive new directions for advancement.
2. Related Work
2.1. Development of Online Mapping Technologies and WMS
2.2. Online Geospatial Web Service Survey
2.3. Quality of Service Monitoring
3. Data Collection and Methodology
3.1. Online Web Map Service Discovery
3.2. Distributed Monitoring Framework and Strategy
3.3. Survey Data Collection
4. Data Analysis
4.1. Global WMS Resource Survey
4.1.1. Server Location and Provider Type
4.1.2. Popular Map Subjects
4.1.3. Spatial Coverages of Map Layers
4.1.4. Yearly Distribution of Map Layers and WMSs with Current Map Layers
4.1.5. Supported Coordinate Reference Systems and Service Versions
4.2. Stability and Performance Analysis
4.2.1. Stability Analysis
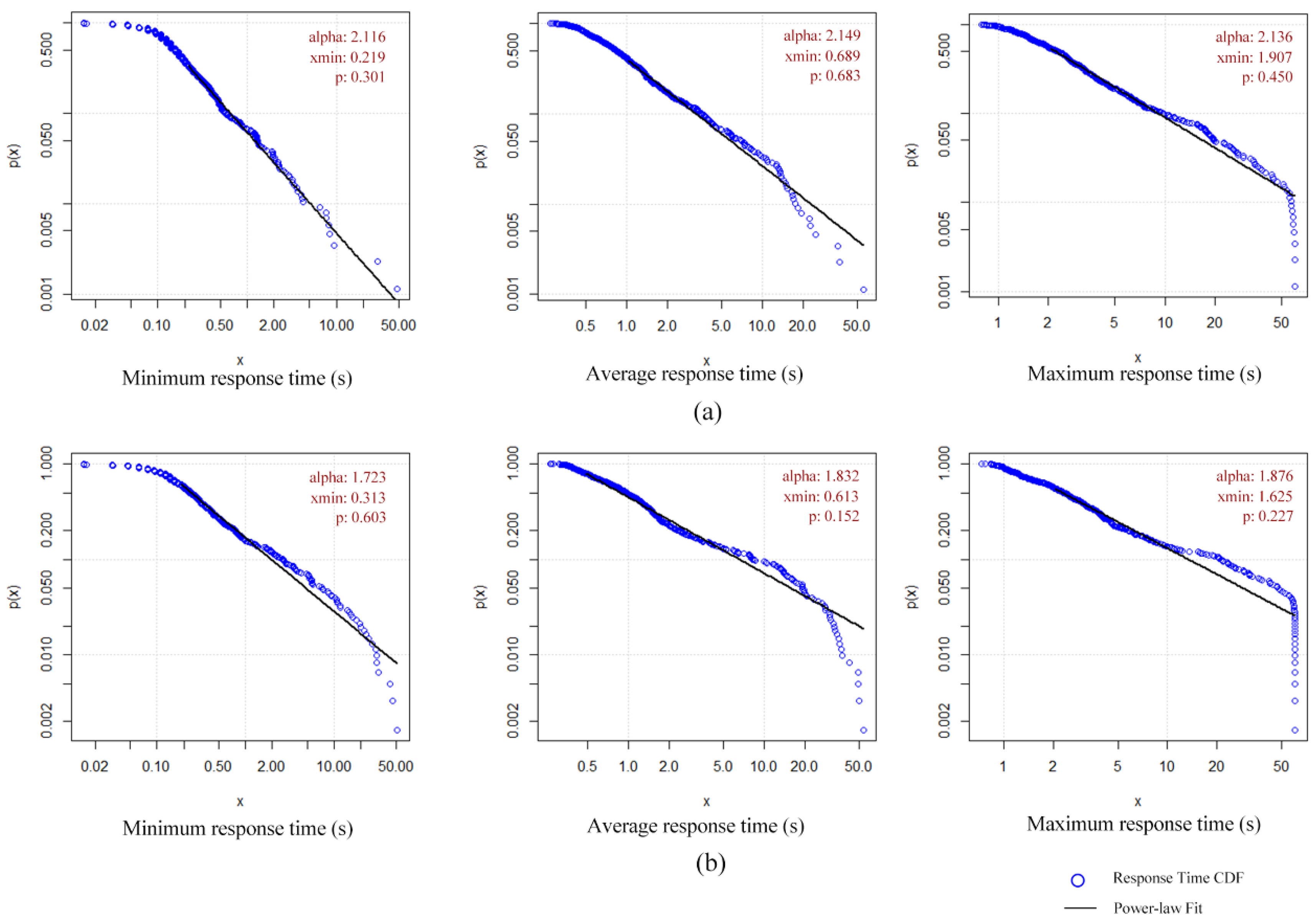
4.2.2. The Power Laws in Response Times
4.2.3. Spatiotemporal Characteristics of Response Times
5. Conclusions and Future Work
5.1. Conclusions
5.2. Suggestion and Future Work
- (1)
- Redesigning or redefining the WMS standard and improving both client-side and server-side functionality. The current WMS standard provides very simple and easy-to-use operations to retrieve maps rendered with widely-used industrial image formats on the server side. As web technologies develop, the computing and interactive capability of web browsers are becoming more powerful. Under such circumstances, the WMS standard should be refined, leaving more fine-grained control authority free on the client side for enhanced interactivity and visual analytics functions. For example, new operations can be added to provide access and interaction capability to manipulate individual features and layers. Rendering and animation can be customized on the client side, e.g., the style of map symbols. Meanwhile, the server side could improve performance, concurrent access capacity and validation functions for metadata.
- (2)
- Building sophisticated WMS quality models. Response time prediction can facilitate service selection for time-critical applications. By analyzing the key impact factors and utilizing the spatiotemporal patterns of response times, prediction models could be built to achieve precise prediction. To support quality-driven WMS resource discovery, a comprehensive evaluation quality model could consider more quality metrics, e.g., data quality of maps, user feedback and preferences.
- (3)
- Developing a state-of-the-art web portal for better service discovery. Interactive query and visual analytics functions must be enhanced for the next generation of geospatial web portals. Firstly, quality (e.g., performance) and user scoring should be integrated and supported as search criteria. Secondly, service comparisons and the visual analytics function should be enabled. For example, users could be permitted to compare the response time, user feedback and successability of selected services visually, in an interactive way.
- (4)
- Optimizing the proposed monitoring framework. The scalability and flexibility of our distributed framework could be improved with a larger number of monitoring sites and services. More types of geospatial web services (e.g., ESRI RESTful services, OGC CSW, OGC Sensor Observation Service, OGC Web Processing Service) and operations should be supported.
Acknowledgments
Author Contributions
Conflicts of Interest
References
- Doyle, A. OpenGIS Web Map Server Interface Implementation Specification Revision 1.0.0; Open Geospatial Consortium: Wayland, MA, USA, 2000. [Google Scholar]
- De la Beaujardiere, J. OpenGIS Web Map Service (WMS) Implementation Specification Version 1.3.0; Open Geospatial Consortium: Wayland, MA, USA, 2006. [Google Scholar]
- International Organization for Standardization. Geographic Information—Web Map Server Interface; ISO/TC 211, ISO 19128:2005; International Organization for Standardization: Geneva, Switzerland, 2005. [Google Scholar]
- Shen, S.; Liu, W.; Wu, H.; Chen, Y. A multi-level comprehensive evaluation method for quality of WMS based on fuzzy mathematics. In Proceedings of the 17th International Conference on Geoinformatics, Fairfax, VA, USA, 12–14 August 2009.
- Sui, D.; Elwood, S.; Goodchild, M. Crowdsourcing Geographic Knowledge: Volunteered Geographic Information (VGI) in Theory and Practice; Springer: Berlin, Germany, 2012. [Google Scholar]
- Neis, P.; Zipf, A. Analyzing the contributor activity of a volunteered geographic information project—The case of OpenStreetMap. ISPRS Int. J. Geo-Inform. 2012, 1, 146–165. [Google Scholar] [CrossRef]
- Gong, J.; Wu, H.; Zhang, T.; Gui, Z.; Li, Z.; You, L. Geospatial Service Web: Towards integrated cyberinfrastructure for GIScience. GSIS 2012, 15, 73–84. [Google Scholar]
- Wu, H.; You, L.; Gui, Z.; Hu, K.; Shen, P. GeoSquare: Collaborative geoprocessing models’ building, execution and sharing on Azure Cloud. Ann. GIS 2015, 21, 109–121. [Google Scholar] [CrossRef]
- Geller, T. Imaging the world: The state of online mapping. IEEE Comput. Graph. 2007, 27, 8–13. [Google Scholar] [CrossRef]
- Zavlavsky, I. A new technology for interactive online mapping with vector markup and XML. Cartogr. Perspect. 2000, 37, 65–77. [Google Scholar] [CrossRef]
- Lins, L.; Klosowski, J.T.; Scheidegger, C. Nanocubes for real-time exploration of spatiotemporal datasets. IEEE Trans. Vis. Comput. Graph. 2013, 19, 2456–2465. [Google Scholar] [CrossRef] [PubMed]
- Boulos, M.N.K.; Warren, J.; Gong, J.; Yue, P. Web GIS in practice VIII: HTML5 and the canvas element for interactive online mapping. Int. J. Health Geogr. 2010, 9. [Google Scholar] [CrossRef] [PubMed]
- Neumann, A.; Winter, A.M. Time for SVG—Towards high quality interactive web-maps. In Proceedings of the 20th International Cartographic Conference, Beijing, China, 6–10 August 2001.
- Jenny, B.; Jenny, H.; Räber, S. Map design for the Internet. In International Perspectives on Maps and the Internet; Peterson, M.P., Ed.; Springer: Berlin, Germany, 2008; pp. 31–48. [Google Scholar]
- Lienert, C.; Jenny, B.; Schnabel, O.; Hurni, L. Current trends in vector-based Internet mapping: A technical review. In Online Maps with APIs and WebServices; Peterson, M.P., Ed.; Springer: Berlin, Germany, 2012; pp. 23–36. [Google Scholar]
- Open Source Geospatial Foundation. Tile Map Service Specification. Available online: http://wiki.osgeo.org/wiki/Tile_Map_Service_Specification (accessed on 18 March 2016).
- Masó, J.; Pomakis, K.; Julià, N. OpenGIS Web Map Tile Service (WMTS) Implementation Standard Version 1.0.0; Open Geospatial Consortium: Wayland, MA, USA, 2010. [Google Scholar]
- Jiang, L.; Yue, P.; Lu, X. Restful implementation of catalogue service for geospatial data provenance. ISPRS Arch. 2013, 1, 121–125. [Google Scholar] [CrossRef]
- Gui, Z.; Yang, C.; Xia, J.; Li, J.; Rezgui, A.; Sun, M.; Xu, Y.; Fay, D. A visualization-enhanced graphical user interface for geospatial resource discovery. Ann. GIS 2013, 19, 109–121. [Google Scholar] [CrossRef]
- ArcGIS Server Website. Available online: http://www.esri.com/software/arcgis/arcgisserver/ (accessed on 13 April 2016).
- AUTODESK AUTOCAD MAP 3D. To Add an Image from WMS (Web Map Service). Available online: https://knowledge.autodesk.com/support/autocad-map-3d/learn-explore/caas/CloudHelp/cloudhelp/2015/ENU/MAP3D-Use/files/GUID-A9F620AD-6B9A-487D-9B33-7D365307D571-htm.html (accessed on 13 April 2016).
- AUTODESK AUTOCAD CIVIL 3D. To Add an Image from WMS (Web Map Service). Available online: https://knowledge.autodesk.com/support/autocad-civil-3d/learn-explore/caas/CloudHelp/cloudhelp/2017/ENU/MAP3D-Use/files/GUID-A9F620AD-6B9A-487D-9B33-7D365307D571-htm.html (accessed on 13 April 2016).
- OpenLayers. Web Map Service Layers. Available online: http://openlayers.org/workshop/layers/wms.html (accessed on 13 April 2016).
- GRASS GIS. GRASS GIS Manuals. Available online: https://grass.osgeo.org/index.php?mact=News,cntnt01,detail,0&cntnt01articleid=42&cntnt01returnid=58 (accessed on 13 April 2016).
- QGIS. QGIS as OGC Data Client. Available online: http://docs.qgis.org/2.8/en/docs/user_manual/working_with_ogc/ogc_client_support.html#wms-wmts-client (accessed on 13 April 2016).
- Neumann, A. Web mapping and web cartography. In Encyclopedia of GIS; Shekhar, S., Xiong, H., Eds.; Springer: Berlin, Germany, 2008; pp. 1261–1269. [Google Scholar]
- Fan, J.; Kambhampati, S. A snapshot of public web services. Sigmod. Rec. 2005, 34, 24–32. [Google Scholar] [CrossRef]
- Li, Y.; Liu, Y.; Zhang, L.; Li, G.; Xie, B.; Sun, J. An exploratory study of web services on the internet. In Proceedings of the 2007 IEEE International Conference on Web Services, Salt Lake City, UT, USA, 9–13 July 2007.
- Zhang, T.; Tsou, M.H. Developing a grid-enabled spatial Web portal for Internet GIServices and geospatial cyberinfrastructure. Int. J. Geogr. Inf. Sci. 2009, 23, 605–630. [Google Scholar] [CrossRef]
- GEOSS Clearinghouse Website. Available online: http://clearinghouse.cisc.gmu.edu/geonetwork/srv/en/main.home (accessed on 13 April 2016).
- Data.gov Website. Available online: http://catalog.data.gov/dataset (accessed on 13 April 2016).
- Lopez-Pellicer, F.J.; Béjar, R.; Florczyk, A.J.; Muro-Medrano, P.R.; Zarazaga-Soria, F.J. A review of the implementation of OGC Web Services across Europe. IJSDIR 2011, 6, 168–186. [Google Scholar]
- Lopez-Pellicer, F.J.; Rentería-Agualimpia, W.; Nogueras-Iso, J.; Zarazaga-Soria, F.J.; Muro-Medrano, P.R. Towards an active directory of geospatial web services. In Bridging the Geographic Information Sciences; Gensel, J., Josselin, D., Vandenbroucke, D., Eds.; Springer: Berlin, Germany, 2012; pp. 63–79. [Google Scholar]
- Refractions Research. OGC Services Survey. Available online: http://www.refractions.net/expertise/whitepapers/ogcsurvey/ogcsurvey/ (accessed on 18 March 2016).
- Skylab Mobilesystems Ltd. OGC WMS Server List. Available online: http://www.skylab-mobilesystems.com/en/wms_serverlist.html (accessed on 18 March 2016).
- Bartley, J.D. MAPDEX: A global index of distributed web map services. In Proceedings of the FGDC Coordination Meeting Summary, Washington, DC, USA, 7 May 2005.
- Li, W.; Yang, C.; Yang, C. An active crawler for discovering geospatial web services and their distribution pattern—A case study of OGC web map service. Int. J. Geogr. Inf. Sci. 2010, 24, 1127–1147. [Google Scholar] [CrossRef]
- Florczyk, A.J.; Nogueras-Iso, J.; Zarazaga-Soria, F.J.; Béjar, R. Identifying orthoimages in web map services. Comput. Geosci. 2012, 47, 130–142. [Google Scholar] [CrossRef]
- Lee, K.; Jeon, J.; Lee, W.; Jeong, S.H.; Park, S.W. QoS for web services: Requirements and possible approaches. W3C Work. Group Note 2003, 25, 1–9. [Google Scholar]
- INSPIRE. Implementing Directive 2007/2/EC of the European Parliament and of the Council as Regards the Network Services. Available online: http://eur-lex.europa.eu/legal-content/EN/TXT/PDF/?uri=CELEX:32009R0976&from=EN (accessed on 13 April 2016).
- INSPIRE. Technical Guidance for the Implementation of INSPIRE View Services. Available online: http://inspire.ec.europa.eu/documents/Network_Services/TechnicalGuidance_ViewServices_v3.11.pdf (accessed on 13 April 2016).
- Seip, C.; Bill, R. Evaluation and monitoring of service quality: Discussing ways to meet INSPIRE requirements. Trans. GIS 2015. [Google Scholar] [CrossRef]
- Anderson, B.; Deoliveira, J. WMS performance tests! Mapserver & Geoserver. In Proceedings of the Free and Open Source Software for Geospatial Conference, Victoria, BC, Canada, 24–27 September 2007.
- Horák, J.; Ardielli, J.; Horáková, B. Testing of web map services. In Proceedings of the Global Spatial Data Infrastructure Association World Conference, Rotterdam, Netherland, 15–19 June 2009.
- Giuliani, G.; Dubois, A.; Lacroix, P.M.A. Testing OGC Web Feature and Coverage Service performance: Towards efficient delivery of geospatial data. J. Spat. Inf. Sci. 2013, 7, 1–23. [Google Scholar] [CrossRef]
- Anthony, M.; Nebert, D. Monitoring the performance and reliability of geospatial web services: Service Status Checker (SSC) system overview. In Proceedings of the Global Spatial Data Infrastructure World Conference, Québec, QC, Canada, 14–17 May 2012.
- Li, Z.; Yang, C.; Wu, H.; Li, W.; Miao, L. An optimized framework for seamlessly integrating OGC Web Services to support geospatial sciences. Int. J. Geogr. Inf. Sci. 2011, 25, 595–613. [Google Scholar] [CrossRef]
- Gui, Z.; Yang, C.; Xia, J.; Liu, K.; Xu, C.; Li, J.; Lostritto, P. A performance, semantic and service quality-enhanced distributed search engine for improving geospatial resource discovery. Int. J. Geogr. Inf. Sci. 2013, 27, 1109–1132. [Google Scholar] [CrossRef]
- Wu, H.; Li, Z.; Zhang, H.; Yang, C.; Shen, S. Monitoring and evaluating the quality of Web Map Service resources for optimizing map composition over the internet to support decision making. Comput. Geosci. 2011, 37, 485–494. [Google Scholar] [CrossRef]
- Xia, J.; Yang, C.; Liu, K.; Li, Z.; Sun, M.; Yu, M. Forming a global monitoring mechanism and a spatiotemporal performance model for geospatial services. Int. J. Geogr. Inf. Sci. 2015, 29, 375–396. [Google Scholar] [CrossRef]
- Wu, H.; Zhang, H. QoGIS: Concept and research framework. Geomat. Inform. Sci. Wuhan Univ. 2007, 32, 385–388. (In Chinese) [Google Scholar]
- SETI@home Website. Available online: http://seti.ssl.berkeley.edu/ (accessed on 13 April 2016).
- Climate@Home Website. Available online: http://www.nasa.gov/offices/ocio/ittalk/08–2010_climate.html#.VxR-__mF6Ul (accessed on 13 April 2016).
- Zhang, H.; Gong, J.; Wu, H. Research on conception and methods of geospatial information services quality evaluation. Sci. Surv. Map. 2012, 37, 161–164. (In Chinese) [Google Scholar]
- Yang, C.; Cao, Y.; Evans, J. Web map server performance and client design principles. Gisci. Remote Sens. 2007, 44, 320–333. [Google Scholar] [CrossRef]
- Shen, P.; Gui, Z.; You, L.; Hu, K.; Wu, H. A topic crawler for discovering geospatial web services. J. Geo-Inform. Sci. 2015, 17, 185–190. (In Chinese) [Google Scholar]
- EuroGEOSS Broker Website. Available online: http://www.eurogeoss-broker.eu/ (accessed on 13 April 2016).
- An ArcGIS REST Service Directory from NOAA Office for Coastal Management. Available online: https://coast.noaa.gov/arcgis/rest/services (accessed on 13 April 2016).
- An ArcGIS REST Service Directory from IndianaMAP. Available online: http://maps.indiana.edu/arcgis/rest/services (accessed on 13 April 2016).
- Wu, S.; Zhang, M.; Huang, Q.; Zhang, Y.; Wan, C.; Zhang, K.; Cao, J.; Gui, Z.; Qin, K. Design a web portal for visualizing and exploring service quality of global OGC web map services. In Proceedings of the Geoinformatics 2015, Wuhan, China, 19–21 June 2015.
- USGS Water Services. Frequently Asked Questions. Available online: http://waterservices.usgs.gov/docs/faq.html (accessed on 13 April 2016).
- cURL. Man Page. Available online: https://curl.haxx.se/docs/manpage.html (accessed on 13 April 2016).
- Directive, I.N.S.P.I.R.E. Directive 2007/2/EC of the European Parliament and of the Council of 14 March 2007 Establishing An Infrastructure for Spatial Information in the European Community (INSPIRE). Available online: http://eur-lex.europa.eu/legal-content/EN/TXT/PDF/?uri=CELEX:32007L0002&from=EN (accessed on 13 April 2016).
- INSPIRE Geoportal Website. Available online: http://inspire-geoportal.ec.europa.eu/ (accessed on 13 April 2016).
- Group on Earth Observations. GEO Societal Benefit Areas. Available online: https://www.aprsaf.org/data/feature/f_086_3.pdf (accessed on 13 April 2016).
- RGIS Website. Available online: http://rgis.unm.edu/ (accessed on 13 April 2016).
- Newman, M.E. Power laws, Pareto distributions and Zipf’s law. Contemp. Phys. 2005, 46, 323–351. [Google Scholar] [CrossRef]
- A GeoServer WMS from the Socioeconomic Data and Applications Center (SEDAC). Available online: http://sedac.ciesin.columbia.edu/geoserver/wms?SERVICE=WMS&REQUEST=GetCapabilities&VERSIO N=1.3.0 (accessed on 18 March 2016).
- China Employment and Wage Maps from the National Geomatics Center of China (NGCC). Available online: http://gisserver.tianditu.com/TDTService/ew/2014/wms?SERVICE=WMS&REQUEST=GetCapabilities&VERSION=1.3.0 (accessed on 18 March 2016).
- NASA Earth Observations (NEO) WMS. Available online: http://neowms.sci.gsfc.nasa.gov/wms/wms?SERVICE=WMS&REQUEST=GetCapabilities&VERSION=1.3.0 (accessed on 18 March 2016).
- Kim, E.; Lee, Y. Quality Model for Web Services; Organization for the Advancement of Structured Information Standards: Burlington, MA, USA, 2005. [Google Scholar]
- Coallier, F. Software Engineering–Product Quality—Part 1: Quality Model; International Organization for Standardization: Geneva, Switzerland, 2001. [Google Scholar]
- A Geological Data WMS from Arizona Geological Survey. Available online: http://services.azgs.az.gov/ArcGIS/services/OneGeology/AZGS_Arizona_Geology/MapServer/WMSServer?SERVICE=WMS&REQUEST=GetCapabilities&VERSION=1.3.0 (accessed on 18 March 2016).















| WMSs | North America | Europe | Asia | South America | Africa | Oceania | Total |
|---|---|---|---|---|---|---|---|
| GetCapabilities test | 718 | 428 | 11 | 16 | 3 | 34 | 1210 |
| GetMap test | 526 | 306 | 4 | 15 | 0 | 25 | 876 |
| Provider Name | Service Amount | Provider Type |
|---|---|---|
| Earth Data Analysis Center (University of New Mexico) | 3202 | Academic institution |
| National Oceanic and Atmospheric Administration (NOAA) | 2958 | Government |
| Food and agriculture organization of the United Nations (FAO) | 295 | Intergovernmental organization |
| Vlaamse Overheid (Flemish Government) | 262 | Government |
| Senatsverwaltung für Stadtentwicklung und Umwelt (Senate Department for Urban Development and the Environment of Berlin) | 169 | Government |
| United States Geological Survey (USGS) | 133 | Government |
| Landesamt fuer Geologie und Bergbau, Rheinland-Pfalz (Department for Geology and Mining of Rheinland-Pfalz) | 101 | Government |
| Arizona Geological Survey | 98 | Government |
| Illinois State Geological Survey | 91 | Government |
| Kansas Biological Survey | 58 | Government |
| Map Projection | Layers Amount and Percentage | CRS Sample |
|---|---|---|
| Web Mercator | 241,779 (76.39%) | EPSG:3857, EPSG:102100 |
| Universal Transverse Mercator | 163,092 (51.52%) | EPSG:26919, EPSG:32633 |
| Antarctic stereographic projection | 122,399 (38.67%) | EPSG:3031 |
| Albers projection | 119,024 (37.61%) | EPSG:3005 |
| Accessibility | GetCapabilities for All Selected WMSs | GetMap for Valid WMSs |
|---|---|---|
| Constantly inaccessible | 27.60% | 17.21% |
| Temporally inaccessible | 13.64% | 61.43% |
| Always accessible | 58.76% | 21.36% |
| Error Type | GetCapabilities | GetMap for Valid WMSs |
|---|---|---|
| Request processing error | 61.64% | 76.42% |
| Server access error | 38.36% | 23.58% |
| Monitor Location | WMSs by Continents (Service Amount) | ||||
|---|---|---|---|---|---|
| North America (526) | Europe (306) | Asia (4) | South America (15) | Oceania (25) | |
| North America | 91.25% | 3.59% | 0 | 60% | 4% |
| Europe | 3.04% | 95.10% | 0 | 0 | 0 |
| Asia | 3.80% | 0.65% | 100% | 6.67% | 96% |
| South America | 1.90% | 0.65% | 0 | 33.33% | 0 |
© 2016 by the authors; licensee MDPI, Basel, Switzerland. This article is an open access article distributed under the terms and conditions of the Creative Commons Attribution (CC-BY) license (http://creativecommons.org/licenses/by/4.0/).
Share and Cite
Gui, Z.; Cao, J.; Liu, X.; Cheng, X.; Wu, H. Global-Scale Resource Survey and Performance Monitoring of Public OGC Web Map Services. ISPRS Int. J. Geo-Inf. 2016, 5, 88. https://doi.org/10.3390/ijgi5060088
Gui Z, Cao J, Liu X, Cheng X, Wu H. Global-Scale Resource Survey and Performance Monitoring of Public OGC Web Map Services. ISPRS International Journal of Geo-Information. 2016; 5(6):88. https://doi.org/10.3390/ijgi5060088
Chicago/Turabian StyleGui, Zhipeng, Jun Cao, Xiaojing Liu, Xiaoqiang Cheng, and Huayi Wu. 2016. "Global-Scale Resource Survey and Performance Monitoring of Public OGC Web Map Services" ISPRS International Journal of Geo-Information 5, no. 6: 88. https://doi.org/10.3390/ijgi5060088
APA StyleGui, Z., Cao, J., Liu, X., Cheng, X., & Wu, H. (2016). Global-Scale Resource Survey and Performance Monitoring of Public OGC Web Map Services. ISPRS International Journal of Geo-Information, 5(6), 88. https://doi.org/10.3390/ijgi5060088
