Automatic Reconstruction of 3D Building Models from ALS Point Clouds Based on Façade Geometry
Abstract
1. Introduction
2. Analysis of Existing Methods and a Strategy
2.1. Analysis of Existing Methods
2.2. A Strategy for 3D Building Model Reconstruction Based on Façade Geometry
- (1)
- Building point-cloud segmentation and footprint construction;
- (2)
- Window and door contour extraction based on façade geometry;
- (3)
- Construction of a 3D building model with enhanced façade details.
3. Building Point Cloud Segmentation and Construction of Façade-Based Footprints
3.1. Segmentation and Classification of Building Planes and Façades
3.2. Automated Footprint Construction Based on Façade Point Cloud Projection
| Algorithm 1: Binary-search-based contour extraction |
| Input: Projected 2D point set P |
| Output: Optimal alpha value αopt, footprint polygon FP |
| 1 Compute the nearest-neighbor distances di of all points in P |
| 2 Set αmin ← min(di) # Sensitive to fine-scale details |
| 3 Set αϵ ← αmin # Convergence tolerance |
| 4 Compute the radius R of the bounding sphere of P |
| 5 Set αmax ← 2R # Ensure search range covers solution |
| 6 Initialize αlow ← αmin, αhigh ← αmax |
| 7 while |αhigh − αlow| > αϵ do |
| 8 α ← (αlow + αhigh)/2 |
| 9 Construct α-shape S(α) from P |
| 10 if S(α) contains multiple disjoint polygons then |
| 11 αlow ← α |
| 12 else |
| 13 αhigh← α |
| 14 end if |
| 15 end while |
| 16 αopt ← αhigh |
| 17 FP ← S(αopt) |
| 18 return αopt, FP |
4. Window and Door Contour Extraction Based on Façade Geometry
| Algorithm 2: Window and door contour extraction based on façade geometry |
| Input: Façade point cloud P; trained YOLO model M; projection parameters (R, Pc, , r) |
| Output: Set of 3D window and door contours C3D |
| //Step 1: Façade projection and image generation |
| 1 For each point Pi ∈ P do |
| 2 Compute projected coordinate: |
| 3 Compute pixel coordinate: |
| 4 Dilate pixel pi to enhance local density |
| 5 end for |
| 6 Generate façade image I from projected pixels |
| //Step 2: Object detection using YOLO |
| 7 D ← M(I) |
| //Detect bounding boxes for windows and doors |
| 8 Apply Non-Maximum Suppression to D with IoU < 0.1 |
| 9 C2D ← Remaining bounding boxes in D |
| //Step 3: 2D–3D back-projection |
| 10 Initialize C3D ← ∅ |
| 11 For each box b ∈ C2D do |
| 12 For each corner p of b do |
| 13 Compute 3D coordinate: |
| 14 end for |
| 15 Add quadrilateral contour {P} to C3D |
| 16 end for |
| 17 return C3D |
5. Reconstruction of 3D Building Volumetric Framework and Enhancement of Façade Details
5.1. Reconstruction of 3D Building Volumetric Framework
5.2. Integration of Façade Windows and Doors into the Volumetric Model
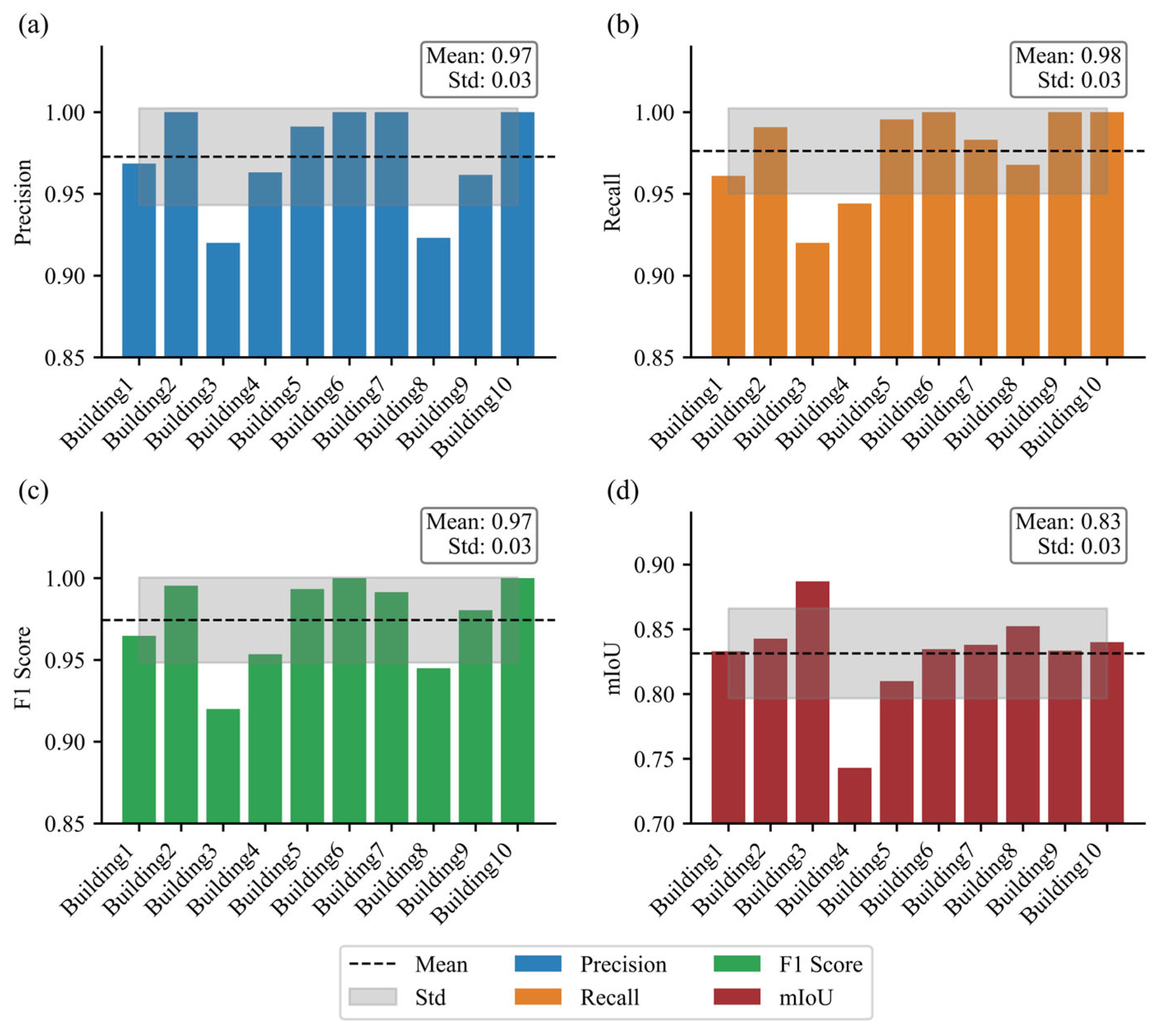
6. Experimental Evaluation
6.1. Experimental Results
6.2. Evaluation of Reconstruction Results
7. Conclusions
Author Contributions
Funding
Data Availability Statement
Conflicts of Interest
References
- Beil, C.; Kolbe, T.H. Applications for semantic 3D streetspace models and their requirements—A review and look at the road ahead. ISPRS Int. J. Geo-Inf. 2024, 13, 363. [Google Scholar] [CrossRef]
- Mathur, P.; Sharma, C.; Azeemuddin, S. Autonomous inspection of high-rise buildings for façade detection and 3D modeling using UAVs. IEEE Access 2024, 12, 18251–18258. [Google Scholar] [CrossRef]
- Huang, J.; Stoter, J.; Peters, R.; Nan, L. City3D: Large-scale building reconstruction from airborne LiDAR point clouds. Remote Sens. 2022, 14, 2254. [Google Scholar] [CrossRef]
- Kong, G.; Zhang, C.; Fan, H. Large-scale 3-D building reconstruction in LoD2 from ALS point clouds. IEEE Geosci. Remote Sens. Lett. 2025, 22, 6500305. [Google Scholar] [CrossRef]
- Kong, G.; Fan, H. Automatic generation of 3-D roof training dataset for building roof segmentation from ALS point clouds. IEEE Trans. Geosci. Remote Sens. 2024, 62, 5708812. [Google Scholar] [CrossRef]
- Li, X.; Qiu, F.; Shi, F.; Tang, Y. A recursive hull and signal-based building footprint generation from airborne LiDAR data. Remote Sens. 2022, 14, 5892. [Google Scholar] [CrossRef]
- Widyaningrum, E.; Gorte, B.; Lindenbergh, R. Automatic building outline extraction from ALS point clouds by ordered points aided hough transform. Remote Sens. 2019, 11, 1727. [Google Scholar] [CrossRef]
- Nurunnabi, A.; Teferle, N.; Balado, J.; Chen, M.; Poux, F.; Sun, C. Robust techniques for building footprint extraction in aerial laser scanning 3d point clouds. In International Archives of the Photogrammetry, Remote Sensing and Spatial Information Sciences, Proceedings of the ISPRS TC III and TC IV Urban Geoinformatics Conference, Beijing, China, 1–4 November 2022; Jiang, J., Li, S., Zlatanova, S., Eds.; Copernicus GmbH: Göttingen, Germany, 2022; Volume XLVIII–3/W2, pp. 43–50. [Google Scholar] [CrossRef]
- Xia, S.; Wang, R. Semiautomatic construction of 2-D façade footprints from mobile LiDAR data. IEEE Trans. Geosci. Remote Sens. 2019, 57, 4005–4020. [Google Scholar] [CrossRef]
- Dai, H.; Xu, J.; Hu, X.; Shu, Z.; Ma, W.; Zhao, Z. Deep projective prediction of building façade footprints from ALS point cloud. Int. J. Appl. Earth Obs. Geoinf. 2025, 139, 104448. [Google Scholar] [CrossRef]
- Bakar, Z.A.; Mohemad, R.; Ahmad, A.; Deris, M.M. A comparative study for outlier detection techniques in data mining. In Proceedings of the 2006 IEEE Conference on Cybernetics and Intelligent Systems, Bangkok, Thailand, 7–9 June 2006; pp. 1–6. [Google Scholar] [CrossRef]
- Tarkhan, N.; Szcześniak, J.T.; Reinhart, C. Façade feature extraction for urban performance assessments: Evaluating algorithm applicability across diverse building morphologies. Sustain. Cities Soc. 2024, 105, 105280. [Google Scholar] [CrossRef]
- Ogawa, Y.; Oki, T.; Chen, S.; Sekimoto, Y. Joining street-view images and building footprint GIS data. In Proceedings of the 1st ACM SIGSPATIAL International Workshop on Searching and Mining Large Collections of Geospatial Data, Beijing, China, 2 November 2021; ACM: New York, NY, USA, 2021; pp. 18–24. [Google Scholar] [CrossRef]
- Ledoux, H.; Biljecki, F.; Dukai, B.; Kumar, K.; Peters, R.; Stoter, J.; Commandeur, T. 3dfier: Automatic reconstruction of 3D city models. J. Open Source Softw. 2021, 6, 2866. [Google Scholar] [CrossRef]
- Chen, D.; Zhang, L.; Mathiopoulos, P.T.; Huang, X. A methodology for automated segmentation and reconstruction of urban 3-D buildings from ALS point clouds. IEEE J. Sel. Top. Appl. Earth Obs. Remote Sens. 2014, 7, 4199–4217. [Google Scholar] [CrossRef]
- Hakula, A.; Ruoppa, L.; Lehtomäki, M.; Yu, X.; Kukko, A.; Kaartinen, H.; Taher, J.; Matikainen, L.; Hyyppä, E.; Luoma, V.; et al. Individual tree segmentation and species classification using high-density close-range multispectral laser scanning data. Remote Sens. 2023, 9, 100039. [Google Scholar] [CrossRef]
- Hong, Y.; Liu, S.; Li, Z.-P.; Huang, X.; Jiang, P.; Xu, Y.; Wu, C.; Zhou, H.; Zhang, Y.-C.; Ren, H.-L.; et al. Airborne single-photon LiDAR towards a small-sized and low-power payload. Optica 2024, 11, 612–618. [Google Scholar] [CrossRef]
- Walicka, A.; Pfeifer, N. Semantic segmentation of buildings using multisource ALS data. In Recent Advances in 3D Geoinformation Science; Kolbe, T.H., Donaubauer, A., Beil, C., Eds.; Springer Nature: Cham, Switzerland, 2024; pp. 381–390. [Google Scholar] [CrossRef]
- Zolanvari, S.M.I.; Ruano, S.; Rana, A.; Cummins, A.; da Silva, R.E.; Rahbar, M.; Smolic, A. DublinCity: Annotated LiDAR point cloud and its applications. arXiv 2019, arXiv:1909.03613. [Google Scholar] [CrossRef]
- da Silva Ruiz, P.R.; Almeida, C.M.; Schimalski, M.B.; Liesenberg, V.; Mitishita, E.A. Multi-approach integration of ALS and TLS point clouds for a 3-D building modeling at LoD3. Int. J. Archit. Comput. 2023, 21, 652–678. [Google Scholar] [CrossRef]
- Zhang, J.; Xia, X.; Liu, R.; Li, N. Enhancing human indoor cognitive map development and wayfinding performance with immersive augmented reality-based navigation systems. Adv. Eng. Inform. 2021, 50, 101432. [Google Scholar] [CrossRef]
- Tarsha Kurdi, F.; Landes, T.; Grussenmeyer, P.; Koehl, M. Model-driven and data-driven approaches using LIDAR data: Analysis and comparison. In Proceedings of the ISPRS Workshop, Photogrammetric Image Analysis (PIA07), Munich, Germany, 19–21 September 2007; p. 87. [Google Scholar]
- Zhao, R.; Xiong, S.; Liu, Y.; Men, C.; Tian, Z. 3D reconstruction of building surface from airborne LiDAR point clouds based on improved structural constraints. Int. J. Remote Sens. 2024, 45, 4500–4526. [Google Scholar] [CrossRef]
- Che, E.; Olsen, M.J. Multi-scan segmentation of terrestrial laser scanning data based on normal variation analysis. ISPRS J. Photogramm. Remote Sens. 2018, 143, 233–248. [Google Scholar] [CrossRef]
- Sampath, A.; Shan, J. Segmentation and reconstruction of polyhedral building roofs from aerial lidar point clouds. IEEE Trans. Geosci. Remote Sens. 2010, 48, 1554–1567. [Google Scholar] [CrossRef]
- Borrmann, D.; Elseberg, J.; Lingemann, K.; Nüchter, A. The 3D hough transform for plane detection in point clouds: A review and a new accumulator design. 3D Res. 2011, 2, 3. [Google Scholar] [CrossRef]
- Tran, T.-T.; Cao, V.-T.; Laurendeau, D. Extraction of reliable primitives from unorganized point clouds. 3D Res. 2015, 6, 44. [Google Scholar] [CrossRef]
- Yang, L.; Li, Y.; Li, X.; Meng, Z.; Luo, H. Efficient plane extraction using normal estimation and RANSAC from 3D point cloud. Comput. Stand. Interfaces 2022, 82, 103608. [Google Scholar] [CrossRef]
- Xu, B.; Jiang, W.; Shan, J.; Zhang, J.; Li, L. Investigation on the Weighted RANSAC Approaches for building roof plane segmentation from LiDAR point clouds. Remote Sens. 2016, 8, 5. [Google Scholar] [CrossRef]
- Su, Z.; Gao, Z.; Zhou, G.; Li, S.; Song, L.; Lu, X.; Kang, N. Building plane segmentation based on point clouds. Remote Sens. 2022, 14, 95. [Google Scholar] [CrossRef]
- Yeon, S.; Jun, C.; Choi, H.; Kang, J.; Yun, Y.; Doh, N.L. Robust-PCA-based hierarchical plane extraction for application to geometric 3D indoor mapping. Ind. Robot. Int. J. Robot. Res. Appl. 2014, 41, 203–212. [Google Scholar] [CrossRef]
- Cao, R.; Zhang, Y.; Liu, X.; Zhao, Z. 3D building roof reconstruction from airborne LiDAR point clouds: A framework based on a spatial database. Int. J. Geogr. Inf. Sci. 2017, 31, 1359–1380. [Google Scholar] [CrossRef]
- Douglas, D.H.; Peucker, T.K. Algorithms for the reduction of the number of points required to represent a digitized line or its caricature. Cartogr. Int. J. Geogr. Inf. Geovis. 1973, 10, 112–122. [Google Scholar] [CrossRef]
- Coeurjolly, D.; Lachaud, J.-O.; Katrioplas, K.; Loriot, S.; Pađen, I.; Rouxel-Labbé, M.; Saeed, H.; Tournois, J.; Yaz, I.O. CGAL 6.0.1—Polygon Mesh Processing: User Manual. 2025. Available online: https://doc.cgal.org/latest/Polygon_mesh_processing/index.html#PSRepairing (accessed on 2 August 2025).
- Yang, B. Developing a mobile mapping system for 3D gis and smart city planning. Sustainability 2019, 11, 3713. [Google Scholar] [CrossRef]
- Zheng, Y.; Peter, M.; Zhong, R.; Oude Elberink, S.; Zhou, Q. Space subdivision in indoor mobile laser scanning point clouds based on scanline analysis. Sensors 2018, 18, 1838. [Google Scholar] [CrossRef]
- Mwangangi, K.K.; Mc’Okeyo, P.O.; Oude Elberink, S.J.; Nex, F. Exploring the potentials of UAV photogrammetric point clouds in façade detection and 3D reconstruction of buildings. Int. Arch. Photogramm. Remote Sens. Spatial Inf. Sci. 2022, XLIII–B2, 433–440. [Google Scholar] [CrossRef]
- Cheng, B.; Chen, S.; Fan, L.; Li, Y.; Cai, Y.; Liu, Z. Windows and doors extraction from point cloud data combining semantic features and material characteristics. Buildings 2023, 13, 507. [Google Scholar] [CrossRef]
- Redmon, J.; Divvala, S.; Girshick, R.; Farhadi, A. You only look once: Unified, real-time object detection. arXiv 2016, arXiv:1506.02640. [Google Scholar] [CrossRef]
- Sharma, A.; Kumar, V.; Longchamps, L. Comparative performance of YOLOv8, YOLOv9, YOLOv10, YOLOv11 and faster R-CNN models for detection of multiple weed species. Smart Agric. Technol. 2024, 9, 100648. [Google Scholar] [CrossRef]
- He, L.; Zhou, Y.; Liu, L.; Cao, W.; Ma, J. Research on object detection and recognition in remote sensing images based on YOLOv11. Sci. Rep. 2025, 15, 14032. [Google Scholar] [CrossRef]
- Gong, M.; Wang, D.; Zhao, X.; Guo, H.; Luo, D.; Song, M. A review of non-maximum suppression algorithms for deep learning target detection. In Proceedings of the Seventh Symposium on Novel Photoelectronic Detection Technology and Applications, Kunming, China, 5–7 November 2020; Su, J., Chu, J., Jiang, H., Yu, Q., Eds.; SPIE: Bellingham, WA, USA, 2021; p. 1176332. [Google Scholar] [CrossRef]
- Yan, J.; Wang, H.; Yan, M.; Diao, W.; Sun, X.; Li, H. IoU-adaptive deformable R-CNN: Make full use of IoU for multi-class object detection in remote sensing imagery. Remote Sens. 2019, 11, 286. [Google Scholar] [CrossRef]
- Qin, J.; Sun, R.; Zhou, K.; Xu, Y.; Lin, B.; Yang, L.; Chen, Z.; Wen, L.; Wu, C. Lidar-based 3D obstacle detection using focal voxel R-CNN for farmland environment. Agronomy 2023, 13, 650. [Google Scholar] [CrossRef]
- Nan, L.; Wonka, P. PolyFit: Polygonal surface reconstruction from point clouds. In Proceedings of the 2017 IEEE International Conference on Computer Vision (ICCV), Venice, Italy, 22–29 October 2017; IEEE: New York, NY, USA, 2017; pp. 2372–2380. [Google Scholar] [CrossRef]
- Zang, Y.; Mi, W.; Xiao, X.; Guan, H.; Chen, J.; Li, D. Compound 3D building modeling with structure-aware partition and primitive assembly from airborne laser scanning point clouds. Int. J. Digit. Earth 2024, 17, 2375112. [Google Scholar] [CrossRef]
- Pereira, A.M.B.; de Arruda, M.C.; Miranda, A.C.d.O.; Lira, W.W.M.; Martha, L.F. Boolean operations on multi-region solids for mesh generation. Eng. Comput. 2012, 28, 225–239. [Google Scholar] [CrossRef]
- Wysocki, O.; Hoegner, L.; Stilla, U. MLS2LoD3: Refining low LoDs building models with MLS point clouds to reconstruct semantic LoD3 building models. In Recent Advances in 3D Geoinformation Science; Kolbe, T.H., Donaubauer, A., Beil, C., Eds.; Springer Nature: Cham, Switzerland, 2024; pp. 367–380. [Google Scholar] [CrossRef]
- Cai, Y.; Shi, J.L.; Yang, W.C.; Lv, X.Y.; Li, D.J. Research of masonry shear strength under shear-compression action. Adv. Mater. Res. 2015, 1065–1069, 1309–1318. [Google Scholar] [CrossRef]
- Rusu, R.B.; Marton, Z.C.; Blodow, N.; Dolha, M.; Beetz, M. Towards 3D point cloud based object maps for household environments. Robot. Auton. Syst. 2008, 56, 927–941. [Google Scholar] [CrossRef]
- Wu, Q.; Song, Z.; Chen, H.; Lu, Y.; Zhou, L. A Highway pavement crack identification method based on an improved U-Net model. Appl. Sci. 2023, 13, 7227. [Google Scholar] [CrossRef]











| Building | Type | Area (m2) | Height (m) | Vertices Count | Planes Count | Footprint Shape | Roof Type | Opening Layout |
|---|---|---|---|---|---|---|---|---|
| Building 1 | Residential | 516.59 | 21.81 | 68,530 | 7 | Rectangle | Flat | DR 1 |
| Building 2 | Public | 962.31 | 24.64 | 75,821 | 13 | U-shape | Flat | MR 2 |
| Building 3 | Public | 1029.59 | 20.29 | 77,031 | 9 | Rectangle | Flat | MR 2 |
| Building 4 | Public | 1051.90 | 41.15 | 147,648 | 9 | Rectangle | Flat | DR 1 |
| Building 5 | Commercial | 1084.43 | 32.07 | 101,514 | 9 | Rectangle | Flat | DR 1 |
| Building 6 | Residential | 180.09 | 15.23 | 37,554 | 8 | Rectangle | Pitched | MI 3 |
| Building 7 | Commercial | 633.97 | 19.67 | 98,873 | 12 | L-Shape | Pitched | MR 2 |
| Building 8 | Commercial | 542.23 | 20.57 | 115,959 | 15 | Concave | Pitched | DR 1 |
| Building 9 | Commercial | 425.39 | 20.39 | 72,235 | 8 | L-shape | Pitched | MR 2 |
| Building 10 | Residential | 185.19 | 14.62 | 10,920 | 7 | Rectangle | Pitched | SR 4 |
Disclaimer/Publisher’s Note: The statements, opinions and data contained in all publications are solely those of the individual author(s) and contributor(s) and not of MDPI and/or the editor(s). MDPI and/or the editor(s) disclaim responsibility for any injury to people or property resulting from any ideas, methods, instructions or products referred to in the content. |
© 2025 by the authors. Published by MDPI on behalf of the International Society for Photogrammetry and Remote Sensing. Licensee MDPI, Basel, Switzerland. This article is an open access article distributed under the terms and conditions of the Creative Commons Attribution (CC BY) license (https://creativecommons.org/licenses/by/4.0/).
Share and Cite
Zhao, T.; Xiong, T.; Li, M.; Li, Z. Automatic Reconstruction of 3D Building Models from ALS Point Clouds Based on Façade Geometry. ISPRS Int. J. Geo-Inf. 2025, 14, 462. https://doi.org/10.3390/ijgi14120462
Zhao T, Xiong T, Li M, Li Z. Automatic Reconstruction of 3D Building Models from ALS Point Clouds Based on Façade Geometry. ISPRS International Journal of Geo-Information. 2025; 14(12):462. https://doi.org/10.3390/ijgi14120462
Chicago/Turabian StyleZhao, Tingting, Tao Xiong, Muzi Li, and Zhilin Li. 2025. "Automatic Reconstruction of 3D Building Models from ALS Point Clouds Based on Façade Geometry" ISPRS International Journal of Geo-Information 14, no. 12: 462. https://doi.org/10.3390/ijgi14120462
APA StyleZhao, T., Xiong, T., Li, M., & Li, Z. (2025). Automatic Reconstruction of 3D Building Models from ALS Point Clouds Based on Façade Geometry. ISPRS International Journal of Geo-Information, 14(12), 462. https://doi.org/10.3390/ijgi14120462

