Next Article in Journal
The Spatial Effect of Accessibility to Public Service Facilities on Housing Prices: Highlighting the Housing Equity
Next Article in Special Issue
Black Carbon Concentration Estimation with Mobile-Based Measurements in a Complex Urban Environment
Previous Article in Journal
A Machine Learning Approach for Classifying Road Accident Hotspots
Previous Article in Special Issue
Intelligent Short-Term Multiscale Prediction of Parking Space Availability Using an Attention-Enhanced Temporal Convolutional Network
 
 
Font Type:
Arial Georgia Verdana
Font Size:
Aa Aa Aa
Line Spacing:
Column Width:
Background:
Article

Controlling Traffic Congestion in Urbanised City: A Framework Using Agent-Based Modelling and Simulation Approach

by
Raihanah Adawiyah Shaharuddin
and
Md Yushalify Misro
*
School of Mathematical Sciences, Universiti Sains Malaysia, Gelugor 11800, Pulau Pinang, Malaysia
*
Author to whom correspondence should be addressed.
ISPRS Int. J. Geo-Inf. 2023, 12(6), 226; https://doi.org/10.3390/ijgi12060226
Submission received: 27 March 2023 / Revised: 11 May 2023 / Accepted: 17 May 2023 / Published: 31 May 2023

Abstract

Urbanised city transportation simulation needs a wide range of factors to reflect the influence of certain real-life events accurately. The vehicle composition and the timing of the traffic light signal scheduling play an important role in controlling the traffic flow and facilitate road users, particularly in densely populated urban cities. Since road capacity in urban cities changes throughout the day, an optimal traffic light signal duration might be different. Hence, in this paper, the effect of vehicle composition and traffic light phases on traffic flow during peak and off-peak hours in Georgetown, Penang, one of the highly populated cities in Malaysia, is investigated. Through Agent-Based Modelling (ABM), this complex system is simulated by integrating the driver’s behaviour into the model using the GIS and Agent-Based Modelling Architecture (GAMA) simulation platform. The result of predicted traffic flow varies significantly depending on the vehicle composition while the duration of the traffic signal timing has little impact on traffic flow during peak hours. However, during off-peak hour, it is suggested that 20 s duration of green light provides the highest flow compared to 30 s and 40 s duration of green light. This concludes that the planning for traffic light phasing should consider multiple factors since the vehicle composition and traffic light timing for an effective traffic flow varies according to the volume of road users.

1. Introduction

Traffic congestion mostly occurs in urban cities, particularly during peak hours when the number of road users is at its maximum. Road users are made up of many modes of transportation rather than just one. As a result, the vehicle flow in urban traffic cannot be regarded homogeneous since there are many different types of vehicles, such as cars, vans, buses, lorries, and motorcycles that has its own set of characteristics [1]. The interactions between these vehicles within their environments, for instance the road network and traffic rules, may cause traffic congestion to happen. Congestion is commonly defined as the blockage of traffic routes by queued vehicles [2]. This situation arises mainly because of three factors: temporary obstructions, persistent capacity bottlenecks in the road network, and stochastic demand fluctuations [3]. The level of congestion can be determined by using a few indicators as proposed by [2]. The congestion level is measurable through the travel time which represents the current state of the traffic flow as well as the value of congestion index (CI) that relates the travel time with the free flow time. Classification of the congestion status based on congestion index value and average speed is proposed to provide a clearer indication to the congestion level [4].
In addition, excessive development in the region, which leads to an increase in the number of cars on the road, and the presence of an obstacle, such as an accident, may disrupt traffic flow and reduce efficiency. This changing pattern of road traffic causes the existing roadways or traffic light schedules to be inadequate to comprehend such issues. Traffic lights at road junctions are the necessary mechanism in maintaining the efficiency of road network operation and the safety of opposing stream road users when traversing the crossroads [5]. The most prevalent control strategies are fixed-timed, traffic responsive, and predictive control. Fixed-timed is common in most urban traffic systems due to its simplicity of deployment and cost-effective maintenance. Traffic responsive control is based on assessed current traffic situations [5] and predictive control is a model-based optimisation control method that can predict future network traffic behaviour using traffic forecasting models [6].
The vehicle flow is a vehicle composition interacting with one another, and their operational attribute can be described mathematically [1]. Thus, analytical approaches are challenging to be used in simulating traffic flow due to the complexity of driver behaviour, vehicular interactions and movements. As a result, simulation techniques are often used to mimic such mixed traffic patterns [7]. Kanagaraj et al. [7], Arkatkar et al. [8], Dang et al. [9] and Portilla et al. [1] have used simulation method to simulate the mixed traffic condition prior to the vehicle composition. The characteristics of traffic on highways evolve throughout time, with a significant level of unpredictability and simultaneous interactions. Calibration of the simulated model to precisely capture or recreate reality is the most difficult and critical process in modelling any traffic flow. Given this, the results generated from a calibrated simulation model would be more realistic than the analytical data. Furthermore, simulation allows us to determine the sensitivity of any traffic flow parameter [8]. Mixed traffic simulation models as control mechanisms systems or urban transportation planning efforts have been presented in recent years, mainly because they can predict accurate traffic attributes at specific road environment areas, especially crossroads [10,11]. Cao et al. [10] justified that a multi-agent pheromone-based traffic management framework is suitable for the realistic situation in vehicle rerouting and traffic light control for traffic congestion alleviation in the downtown area in Singapore. Meanwhile, Qi et al. [11] designs a two-level strategy at the signalised intersection for preventing incident-based urban traffic congestion by adopting additional traffic warning lights, and the effectiveness is evaluated through simulations in the grid network.
The ABM, sometimes known as the Individual-Based Model (IBM), is a computational modelling paradigm for modelling phenomena as dynamical systems of interacting agents [12]. By simulating the individual activities of agents, ABM allows us to determine the resulting system behaviour over time. Naiem et al. [13] discovered that one of the primary reasons for increased congestion apart from the environment and weather is driver behaviour. Since human behaviour is one of the crucial variables influencing the occurrence of traffic congestion, ABM may be considered a viable way to mimic the desired transportation system. ABM is beneficial when compared to other traditional approaches in traffic simulation in terms of simple when handling heterogeneous and variable structures in both the agent population and the road network. Second, it allows the simulation of complex information processing and decision-making under the weight of various factors and dynamic data. Thirdly, ABM allows direct integration of behavioural boundaries at different levels and stages of the decision-making process [14]. Aside from ABM, Equation-Based Modelling (EBM) is another well-known simulation method. When ABM and EBM are compared, it is found that ABM better reflects the unpredictability found in real-world systems [15,16]. The ability of agents in ABM to make their own choices with bounded behavioural rules is the reason behind it which led ABM as an ideal approach in this research paper for modelling a complex system with uncertain decisions and factors.
In recent years, numerous simulation tools have been developed to meet the growing demand for constructing large-scale and complex models. Among the ABM platforms, NetLogo [17], Repast [18], MATsim [19], and SUMO [20] have emerged as notable options. MATsim and SUMO have demonstrated their ability to effectively conduct simulations, with both platforms offering similar and distinct features. They can simulate very large traffic networks and provide various ways to create simulation models, allowing researchers to select the platform that best aligns with their objectives [21]. Additionally, both simulation platforms allow for customisation of driver behaviour. However, despite their usefulness in modelling simulations, these platforms also have certain limitations. In NetLogo, model construction is made easier due to the modelling language used, but it is less appropriate when modelling large-scale traffic that relies on Geographical Information System (GIS) data. Repast, on the other hand, allows the integration of GIS data into the model to create a large-scale and complicated model. Since this tool requires high knowledge of programming, skills of computer scientist is highly reliable to create the agent-based models on this platform. In addition, MATSim was also found to have the disadvantage of being incapable of handling different shape layers (line network, polygonal shapes, raster) [22]. These limitations were able to be overcome through GIS and Agent-Based Modelling Architecture (GAMA).
GAMA, which was released in 2007, provides a full modelling and simulation development environment for building detailed multi-agent simulations for field experts, modellers, and computer scientists [23]. Li et al. [22] used two different simulation tools, SUMO and GAMA, in modelling microscopic levels of urban environments considering the interactions among pedestrians, drivers, and their associated behaviour. Although SUMO is preferred to model multi-modal simulation due to its wide modules accessible within the application, GAMA is more user-friendly with simple multi-agent framework. GAMA was chosen for this purpose because the simulation platform’s agent-oriented language, GAMA Modelling Language (GAML), is a basic language that is adaptable even for modellers without a computer science background. Numerous research through GAMA has been done by simulating multi-modal urban traffic and individual responses to the evacuation of the area, for instance, [22,24,25].
The traffic simulation model is subdivided into three categories: macroscopic, microscopic, and mesoscopic models. They can be distinguished based on their characteristics and the reason for establishing the model. The hybrid between macroscopic and microscopic modelling will form mesoscopic modelling depicting the analysed transportation elements in small groups [26]. Microscopic traffic models describe how a traffic system operates based on individual vehicle attributes and movements in the flow [27]. Car-following, lane-changing, and gap acceptance models were among the microscopic modelling methods applied. The model’s detailing is quite defined and usually includes all streets and components that could affect the pathway. Macroscopic, on the other hand, is a description of a model at a low level of detail in which variables such as speed, density, and flow are aggregated. These are the three most important fundamental parameters in studying traffic flow.
The relation between speed, density, and flow forms a fundamental relationship curve that has been developed as early as in 1935 with the establishment of Greenshields model [28]. Quantitative analysis has been used to compare the performance of several traffic flow models with actual traffic data [29]. It is stated that linear relation in Greenshields model is particularly simple but due to the inconsistencies with real world data, Greenberg and Underwood’s exponential models are proposed to improve Greenshields linear model proposed by past researchers with a higher degree of accuracy [30]. However, both models contain drawbacks where Greenberg’s model is unable to predict the speed at lower densities, and Underwood’s model is incapable of estimating speeds at high densities. The other traffic flow models such as Newel, Pipes-Munjal, Van Aerde, MacNicholas, Wang, and Kucharski and Drabicki models were also discussed in [29]. Even the most current model from Kucharski and Drabicki has a drawback of failing to fulfil the static properties of traffic flow. According to the studies’ findings, no model completely satisfy the criteria of the fundamental relationship models. Therefore, Greenshields linear model is applied in this research since the simplicity of the model. From the research point of view, the speed-density-flow relationship in traffic flow is determined, in which Greenshields model will be used as the basis for the microscopic simulation model and the model will be constructed using the simulation platform GAMA to determine the performance of the traffic flow and the congestion index.
The primary objective of this research is to present a simple mathematical formulation that combines Greenshields model with ABM, allowing for the prediction of traffic flow in the ABM model. By employing this formulation, the effect of mixed vehicle composition and traffic lights phases by changing the timing of traffic lights parameters on traffic smoothness will be investigated. Ultimately, the aim is to investigate how agents’ behavior influences the traffic flow in both models.
The rest of the paper is organised as follows: Section 2 provides an overview of the methodology’s structure and flow in this paper. Section 3 discusses the related mathematical formulation, while Section 4 explains the Greenshields model with the integration of the ABM elements in the GAMA software. Section 5 explores the concept of congestion level also known as the Congestion Index. Section 6 focuses on presenting the study site that acts as the environment for the simulation, followed by Section 7, which explains the background simulation involving two simulation models. Simulation results and discussions for the vehicle composition and traffic phasing are presented respectively in Section 8. Finally, the conclusion is made in Section 9.

2. Structure of the Methodology

In this section, an overview of the sequence and flow of the methodology that was used in this research is explained. The flow of the proposed methodology is as illustrated in Figure 1. The first stage of the methodology involved pre-processing the Geographical Information System (GIS) data using OpenStreetMap (OSM) before it was modified in Quantum Geographic Information System (QGIS). These data are used to create network topology, which is a communication network made up of interconnected elements.
The three elements that will form the foundation of the simulation are point (nodes), connections (road), and shape geometry (building). Then, the next stage is initiated, known as the processing stage, where the simulation is built. The simulation environment comprises buildings and a road network that serves as the path for moving agents (entities). The entities were then created, each with its own specific behaviour and destination. After the GAMA model is completed, multiple simulations are performed according to the scenarios for this research. Finally, all the results obtained from the simulation will be analysed using the proposed Greenshields model with the elements of ABM.

3. Speed-Density-Flow Relationship

In 1935, Bruce D. Greenshields proposed one of the earliest speed-density models, which is often referred to as Greenshields Model [28]. The speed-density relationship is described in Equation (1).
u = u f ( u f k j ) k
where u is the mean speed at density k, u f is the free flow speed, and k j is the jam density. This model assumes that the speed-density model has a linear relationship, as illustrated in Figure 2.
The flow equation can be derived from the speed-density model. It is known that flow, q can be written as
q = k u .
By substituting Equation (2) into Equation (1), the relation between flow and density can be defined as
q = u f k ( u f k j ) k 2
where q is the flow ( v e h / h r ), u f is the free flow speed ( k m / h r ), k is the density of road ( v e h / k m ) and k j is the jam density ( v e h / k m ). Density and flow have a parabolic relationship as shown in Figure 3.
Similarly, the relation between speed and flow is obtained by substituting k = q / u into Equation (1), which yields
q = k j u ( k j u f ) u 2 .
The parabolic relation between speed and flow are depicted in Figure 4.
In Figure 3, the flow-density curve is one of the fundamental diagrams of traffic flow. The fundamental traffic flow relation exists between flow and density. Some of the characteristic’s ideal relation of flow-density can be classified as there are no vehicles on the road at density 0, and the flow is also zero. Also, the flow increases as the number of vehicles increases, reflecting an increase in density. As additional vehicles enter the road, vehicles become immobile, so when vehicles cease moving, this is referred to as jam density. Next, there will be density somewhere between zero and jam density where the flow is at its highest, and the density at maximum flow is referred to as k m a x .

4. Greenshields Model with the Elements of ABM in GAMA

The four basic parameters (flow q, free flow speed u f , jam density k j and density k) are the core content of Greenshields traffic flow model. Hence, to integrate the ABM into Greenshields Model, some important elements are needed, such as the number of vehicles at every cycle and their corresponding recorded speed. Let a i be the vehicle, and i is the type of vehicle (e.g., car, bus, lorry). Thus, the total number of vehicles on road agent p at time t denoted as N ( p , t ) can be written as
N ( p , t ) = i = 1 n a i i = 1 , 2 , . . . , n
The length of road from meter to kilometer, L ( p ) can be obtained using
L ( p ) = l p × 10 3
where l p is the length of road agent p in meter (m). Then, the density ( v e h / k m ) of road agent p at time t denoted as k ( p , t ) can be calculated as follows
k ( p , t ) = N ( p , t ) L ( p ) .
Let v r be the definition of the speed for each vehicle agent in m / s , so the average speed of vehicle on road p at time t denoted as u ( p , t ) can be obtained by
u ( p , t ) = 0 n v r N ( p , t ) .
Next, u ( p , t ) is converted from m / s to km/h using the following conversion
u ( p , t ) = 3.6 × 0 n v r N ( p , t ) .
Therefore, the jam density, k j , and the free flow speed, u f of road agent p, can be obtained as follows
k j = k ( p , t ) w h e n u ( p , t ) = 0
and
u f = u ( p , t ) w h e n k ( p , t ) = 0 .
Then, to make it compatible with the simulated model, Equations (7), (10) and (11) are substituted into Equation (3). This yields the proposed flow equation as shown in Equation (12):
Q ( p , t ) = u f × k ( p , t ) ( u f k j ) k ( p , t ) 2
where Q ( p , t ) is the flow on road agent p at time t ( v e h / h r ), u f is the free flow speed of road agent p as its density approaching zero ( k m / h r ), k ( p , t ) is the density of road agent p at time t ( v e h / k m ) and k j is the jam density of road agent when average speed of vehicle on road p at time t ( v e h / k m ), u ( p , t ) = 0 .

5. Congestion Index

The congestion index, C I is a dimensionless number that could be applied to measure the congestion level for the traffic simulation [2]. Several parameters are used as the definition of traffic congestion and delay time can be regarded as an essential parameter. However, delay time is clearly not a sufficient parameter, so [2] has presented a list of contributing factors for level of congestion, including delays, the equitable distribution of delays, and the dependability of costs and travel times. From the previously mentioned factors, travel time is used as the basic variable to indicate the level of congestion. The derivative of the travel time known as Delay, d is defined as an access travel time above the minimum travel time needed to traverse a facility. Delay, d is as follows
d = c c 0
where c is the total travel time from the beginning to the end of the journey and c 0 is the free flow travel time. Then, from Equation (13), it may be expressed in terms of a congestion index, C I and the equation is as shown in Equation (14)
C I = d c 0 = c c 0 c 0 .
Equation (14) is a useful parameter for comparison because it is independent of route length, road geometry or intersection control and capacity factors. The C I value may even be larger than or equal to zero. A congestion index of one indicates that the total travelling time is twice as much as the free-flow travel time. The status of road congestion is classified into five different categories by using the fuzzy-based weighting concept [4]. The five categories are as following:
C o n g e s t i o n s t a t u s = H i g h l y c o n g e s t e d C I 2 H i g h m o d e r a t e c o n g e s t e d 1.4 C I < 2 M o d e r a t e l y c o n g e s t e d 1.0 C I < 1.4 L o w c o n g e s t e d 0.5 C I < 1.0 L e a s t c o n g e s t e d C I < 0.5

6. Study Site

The research area is located in an urban road traffic area of Georgetown, Penang, where the entire simulation environment is as illustrated in Figure 5a. The primary focus of this research lies at the location shown in Figure 5b, highlighted in black line that stretches from Jalan Masjid Negeri towards Jalan Scotland, covering the distance of approximately 1.0448 km. This road is one of the major roadways with densely populated and residential areas that are connected to the centre of the town. This study site is also multilane traffic where some of the road segments have three lanes while others have two lanes and has a traffic signal at the end of this roadway as described in the OSM. The road network is designed to have the same speed limit at 60 km/h for every road segment, provided that this is the Malaysia National Speed Limit for town areas on state roads.

7. Simulation

GAMA was employed as the tool for simulation. GAMA is a Geographical Information System (GIS) and data-driven modelling that can represent agents from any data set and carry out large-scale simulations.

7.1. Vehicle Agents

Vehicle agents are made up of various modes of transportation that may be defined based on many characteristics. They are separated into four moving vehicle agents, in this case: people, wanderer, bus, and lorry. Agents for people and wanderers operate as light vehicles, whilst bus and lorry agents are heavier vehicles. In this simulation, people agents may represent residents who desire to travel to their assigned workplaces. In contrast, a wanderer may represent a vehicle that conducts services such as courier, e-hailing and food delivery. These vehicle agents are distinguished by physical characteristics that reflect vehicle type through their distinctive colours and sizes.
The movement of vehicles is greatly influenced by the behaviour and decision of the driver. Through ABM, the drivers’ behaviour is incorporated to navigate the vehicle movement. Vehicle movement is bounded by its maximum vehicle speed ( V m a x ) and road speed limit, allowing the vehicle speed to be lower or higher than the speed limit without exceeding the maximum speed. The vehicle speed varies depending on the driver’s designated behaviour, such as speed coefficient and maximum acceleration. Some of the vehicle attributes are summarised in Table 1. In the simulation for heavy vehicles, there is a greater probability of a low-speed coefficient value than the light vehicles. Thus, heavy vehicles will move at a lower speed. The presence of slower heavy vehicles will make a more complex traffic flow for a good representation of the traffic stream.
The attributes “change to upper lane” and “change to lower lane” provide the agents with the freedom to choose which lane they prefer. The intelligent behaviour of the agents guides them in making these decisions. These attributes play a crucial role in preventing agents from continuously occupying the same lane while enabling them to switch between lanes when necessary. Additionally, the concept of respecting priorities allows agents to yield and give right of way to other vehicles, promoting smooth traffic flow. Moreover, each agent has been programmed to fully comply with stop signs. This means that all vehicles must come to a complete stop when the traffic light turns red and proceed forward only when the light turns green. This strict adherence to road traffic laws ensures that all agents maintain proper and safe conduct on the road.
Bus and lorry agents are created on a random node of the road network and will move around without a specific destination. People and wanderer agents have origins picked randomly in any building agents as highlighted in yellow as shown in Figure 6a distributing the agents uniformly over the entire simulation environment. For the wanderer, the movement will be random and without a destination in the same way as bus and lorry agents. People agents, on the other hand, will be assigned a destination, and they will follow the path to reach the final node before exiting the roadway. The people agent will go in the direction of their allocated destination node, as denoted by the red arrows in Figure 6a.

7.2. Traffic Light Agents

Traffic light agents were used as a stop signal to control the movement of vehicles in particular road intersections on roadways. Figure 7 shows an example of such a crossroad where the traffic light represented by the red sphere shape is regulating the traffic flow by stopping the vehicles as the light turns red. As the traffic light turns green, the vehicles are able to move across the road intersection to their respective destination.
The traffic light’s main feature is its spherical form, which has significant colour state attributes (green and red) as well as a counter (counting the duration spent in a given colour state). Meanwhile, a traffic light agent’s function is controlled by its colour state update. Its counter is incremented with each simulation step. The traffic light will change its colour state to the next state when the number of counters exceeds the time length of its current condition. One complete traffic light cycle follows the pattern of red turning to green and then returning to red. For example, if the counter on a red light reaches the time limit, the light will change colour to the next state, which is green, and the counter will be reset.

7.3. Simulated Scenarios

This section explains the simulation steps and the corresponding parameters involving two different simulation models, vehicle composition and traffic light phasing.

7.3.1. Homogeneous Traffic

The homogeneous interaction between vehicles is simulated in Figure 8 where green curve represents light vehicle or small cars while black curve represents heavy vehicle such as lorry. Small vehicle in green curve shows the density of the vehicles occupying the lane is higher since the vehicle consist of smaller size compared to lorry. For this particular interaction, the small vehicles will always contribute to larger road density due to the ability to occupy more space and higher average speed than heavy vehicle. However, in most cases, the roads are categorised as heterogeneous since the type of vehicle traversing the road is not restricted to a single mode vehicle.
Although certain countries may have a dedicated lane like the bus lane in South Korea, but majority of other countries do not have that infrastructure. It might be said that roads in places like Malaysia are heterogeneous since there is none specific lane for a certain kind of four-wheeled vehicle. Heterogeneity will increase the complexity of the model since the speed and density are unpredictable comparing to homogeneous traffic flow. Therefore, the next section we will discuss the road heterogeneity impact on traffic flow through vehicle composition.

7.3.2. Heterogeneous (Mixed) Traffic

Various vehicle compositions on the mixed traffic flow are simulated. This is performed to explore the impact of changing the vehicle composition on traffic flow to obtain the optimal vehicle composition for road traffic in the specified area. This research will look at four distinct scenarios as shown in Table 2. The total number of vehicles was set at a specific value, but the number of people and wanderer agents was manipulated. Note that increasing the number of people agents will raise the inflow of vehicles into the study site and vice versa.

7.3.3. Traffic Light Phasing

A number of traffic light phasing simulations will be carried out on a mixed traffic flow. A total of 2040 vehicles for peak hours whilst 808 vehicles for off-peak hours have been generated into the GAMA model in the region of interest (Greenlane, Penang). Due to a lack of real-time traffic data, the value is arbitrarily chosen to represent the number of vehicles sufficient to depict a real-life traffic scenario. As stated in Table 3, this research will look at three possible situations with different traffic signal timing. The unit of time for each simulation cycle is one second. The duration of the traffic light signal was chosen arbitrarily. In real-world scenarios, traffic signal control systems vary in their green light timing, as some systems do not have fixed duration. Responsive traffic light control systems, which adjust based on current traffic volume, may occasionally result in longer or shorter timings.

8. Results and Discussion

The following are the results obtained from two different types of the model; where the first subsection will analyse the results for the simulation model of vehicle composition, while the second subsection will be discussing on the simulation model of traffic light phasing.

8.1. Vehicle Composition

After running the simulation for 700 cycles, the resulting behaviour for simulations A and D are as visualised in Figure 9. Both simulations have apparent differences as the vehicle composition was changed. In Figure 9a, simulation A shows no signs of congestion on the study site; meanwhile, Figure 9b can be seen clearly that after 700 cycles, simulation D is experiencing heavy traffic. This situation occurs since simulation D contributes more people than wanderer agents requiring most of the people agents to travel through the study site, thus resulting the congested traffic.
In the GAMA simulation software, the study site’s road segment undergoes counting and storage of the total number of moving agents and their cumulative speeds throughout each simulated cycle. This counting process is repeated for a total of 1000 cycles. Once the 1000 simulation cycles are completed, the simulation stops running. Subsequently, the recorded data, consisting of the total number of vehicles and their speeds for each simulation cycle, is extracted from the GAMA software and imported into Microsoft Excel. In Microsoft Excel, the data is analysed to determine the density and average speed of each simulation cycle. The vehicle density is calculated by dividing the total number of moving agents by the length of the road segment, while the average speed is obtained by dividing the total speed of all vehicle agents on the road segment by the total number of vehicle agents.
All the parameters (cycle, density and average speed) that have been obtained were plotted as shown in Figure 10. Note that every simulation has the same time duration, where each simulation is 1000 cycles. Next, the linear function that best fits the scatter plot to find the approximate boundary values, free flow speed and jam density before constructing the traffic flow model of the traffic stream is determined. All boundary values and other parameters for the four simulations are recorded as tabulated in Table 4. In Figure 10a, it is observed that Simulation A has smallest range for density approximately 0 veh/km up to 100 veh/km. On the other hand, Simulation D has the highest recorded density, which reaches up to 360 veh/km, followed by Simulations C, B and A. The wide density range in simulation D has recorded the highest density since it has the largest vehicle count on the study site.
Figure 11a,b compares the value of density and average speed respectively for all simulations. On the other hand, the graph trend for the value of average speed in Simulation A has the opposite result compared to other simulations. This is due to the fact that the vehicle composition is manipulated, where Simulation A will have the lowest number of vehicles using the study site. Less number of vehicles on the roadway will decrease the proximity between vehicles which lessens the factor that will influence the movement and interaction between agents. This leads to more freely moving vehicles in Simulation A.
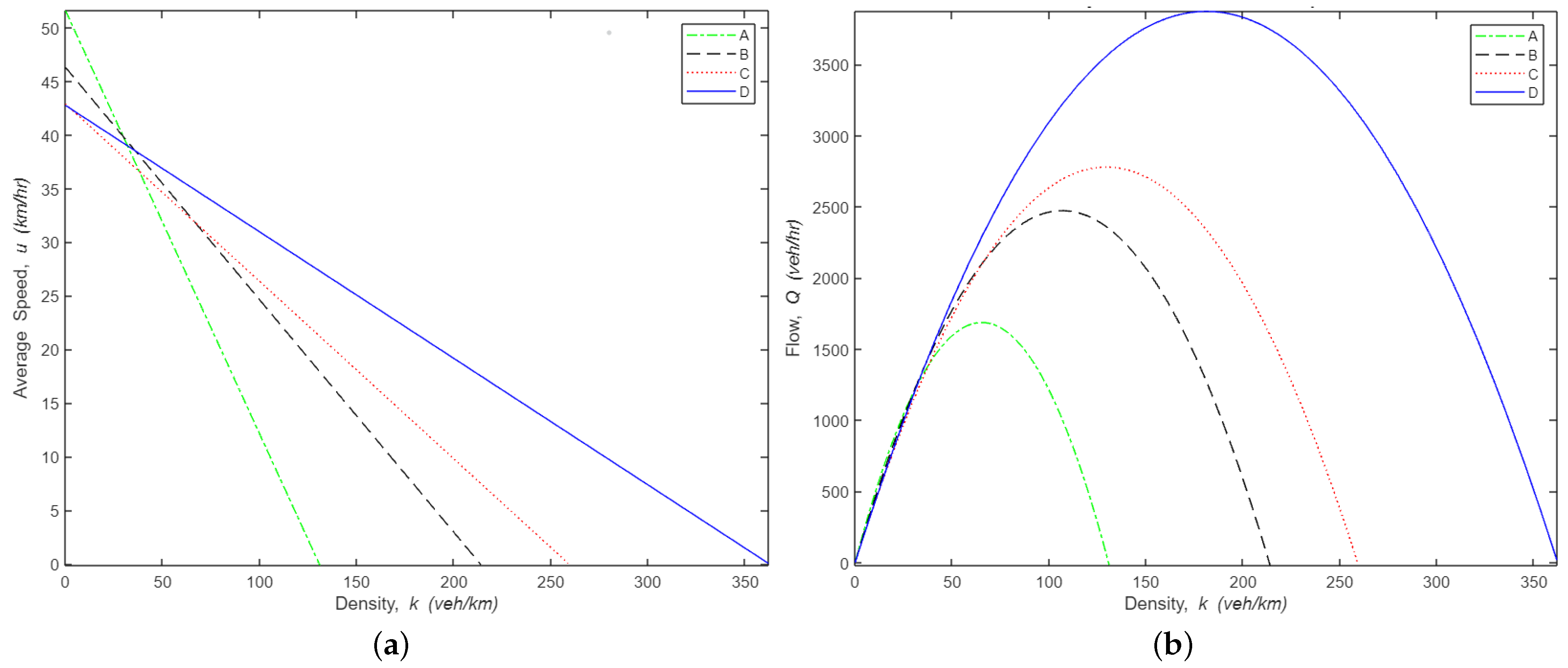
Figure 12a shows the speed-density relation of the four simulation models combined, where each distinctive linear graph represents each model. The graph aids in determining the linear connection between speed and density to track their behavioural changes corresponding to the different vehicle compositions. Speed-density relation shows that Simulation A has the steepest slope, followed by Simulations B, C and D. This is because Simulation A has the highest free flow speed at 51.612 km/h with the lowest jam density at 131 veh/km compared to the other three simulations. The steep speed-density slope in Simulation A indicates that fewer vehicles are using the road. This leads to low vehicle traffic intensity on the road. Thus, the moving agents can move freely with less influence by other factors, such as the speed of other agents.
As the number of people agents increases and the number of wanderer agents reduces with the same total count of vehicles, lower speed-density relation is observed throughout three other simulations. Simulation D has the lowest free flow speed at 42.758 km/h, and the highest jam density at 362 veh/km leads to a more gradual speed-density slope. This is due to the highest demand and number of vehicles moving through the road, leading the agents to move slower as more vehicles move closer to each other, causing the flow to be more congested than other models. From the simulation, as demand for vehicles to use the road increases, the slope for the speed-density relation becomes negatively gradual since the agent intensity on the road will affect the resulting interaction and behaviour between agents.
Figure 12b shows the density-flow relation for different vehicle composition. From Figure 12b, Simulation D shows the highest maximum flow at 3873 veh/h with optimum density 181 veh/km followed by Simulation C at 2779 veh/h with density 130 veh/km. Subsequently, Simulation B at maximum flow 2472 veh/h with density 107 veh/km and Simulation A recorded the lowest maximum flow that is 1686 veh/h at density 65 veh/km. As mentioned before, Simulation D has higher demand compared to other simulation models. Thus, from Greenshields Model, it is estimated that a density of 181 veh/km is the optimum density as this model will reach its maximum flow at 3873 veh/h, but even if density outnumbered the optimum density, the flow would not exceed the maximum flow. Hence, for this model to reach maximum flow, a density of 181 veh/km is preferable. This is to ensure the road traffic flow is at its maximum to prevent or reduce traffic congestion. Likewise, to find desirable traffic flow for different agents or vehicle compositions, the density-flow relation can predict the optimum density for a better traffic flow.
For Simulation A, it is most dense after 100 cycles with a density of 50 veh/km up to 100 veh/km with an average density of 20 km/h to 40 km/h. The density and average speed time series from Figure 11a,b indicate that the study site in Simulation A is not congested and has a decent travel speed. Based on Greenshields relation in Figure 12a,b, Simulation A is estimated to reach its jam density with no vehicle flow at a density of 131 veh/km. In other words, if the number of vehicles rises until it meets the estimated jam density, Simulation A may experience congestion. On the contrary, Simulation D exhibits a different behavioural pattern in which the average speed begins to fall below 10 km/h around 700 cycles when the density is at 350 veh/km. It is clear that the traffic is congested and that movement is restricted, resulting in a low average speed. Greenshields Model also predicted that 362 veh/km would be the jam density for simulation D, where there would be no vehicle flow. Simulations A and D yield different jam density values since they are based on Greenshields Model, where the predicted value may not be entirely accurate but may still be validated using time series data.
The value for vehicle congestion index (CI) is shown in Figure 13. Simulation A has the lowest range of congestion indexes. The CI initially rises and surpasses index 2 and eventually reaches its peak at index 5. Towards the end, the traffic’s congestion index was below 2 after the cycle 727. Hence, this defines that the road of simulation A was highly congested at first, but by the end of the simulation, the volume of traffic had decreased and the road was less congested. The congestion index for simulation B rises gradually, reaching a maximum index of 18 at cycle 826. Later that, the index starts to decline while maintaining a high congestion index. For simulation C, the congestion levels increases and follow a similar trend as in simulation D. Then, it reaches its highest congestion level with an index of nearly 14 at cycle 628. In comparison to previous simulations, simulation D’s congestion index range is the widest. Simulation D exhibits the same trend of rising congestion index as simulations B and C. The index, however, outnumbered the other two simulations at cycle 529 and reached its highest index near to 36. Even after the simulation ended, simulation D continued to show a maximum index close to 36. The outcomes indicates that simulation A experiences less significant congestion up to cycle 727, which it transitions from a moderate to low congested. The crowded level was seen to remain constant during all three of the other simulations B, C, and D. However when compared to other simulations, Simulation D has the greatest congestion level exceeded simulation C and simulation D.
In the vehicle composition simulations, the agent’s parameter was initially set at 1000 people agents for simulation A. It then steadily increased at a constant rate from simulation B through D until reaching 4000 people agents. Among the four scenarios, simulation D exhibited the highest vehicle inflow into the study site, resulting in heavy traffic and a greater density of time series data, as well as a higher congestion index compared to the other simulated scenarios. The increasing number of people agents in these simulation scenarios may reflect the growing use of private vehicles over time in the study site. Fluctuations in the number of private vehicles in an urban city can be attributed to various factors, such as population growth, industrialisation, newly implemented planning policies, or inefficient public transportation systems. This simulation approach proves valuable in predicting the effects of scenarios involving increased vehicle usage in specific cities. As evidenced by the vehicle composition simulation in scenario D, the current road structure may lead to a decrease in the road’s efficiency in maintaining a satisfactory traffic flow if the demand for roads continues to rise in the future. Therefore, it is recommended that policymakers take action by devising appropriate strategies to improve the transportation system and address this issue effectively.

8.2. Traffic Light Phasing

In this subsection, findings are gathered for three different traffic light phasing on the study site by looking for their resulting differences involving peak hours and off-peak hours.

8.2.1. Off-Peak Hour

The parameters of density and average speed obtained from every traffic light phasing during off-peak hours were plotted as shown in Figure 14. Then, the line of best fit is plotted for the traffic light phasing as illustrated in the red line to find the density-speed linear relation. Figure 15 shows the comparison of density-speed relation for three traffic phasing during the off-peak hour. From the Figure 15a, it is notable that the 40 s green light has the steepest slope while 20 s and 30 s green light have a less steep slope, and both have the same slope. Hence, with an increase of vehicle density on the road traffic in 40 s green light, it will experience a bigger reduction of average speed compared to 20 s and 30 s green light.
From Table 5, 30 s duration of green light (Scenarios 30 s) has the lowest free flow speed at 48.607 km/h followed by 20 s green light at 51.68 km/h and 40 s green light has the highest free flow speed at 53.901 km/h. However, for the 40 s green light it has the lowest jam density at 188 veh/km followed by 30 s green light at 292 veh/km and 20 s green light with the highest jam density at 306 veh/km. From the density-flow relation in Figure 15b, 20 s green light have the highest maximum flow at 3949 veh/h at density 153 veh/km. The traffic light phasing for 40 s green light records the lowest maximum flow compared to the other two traffic light phasing. Therefore, during an off-peak hour, the traffic light phasing will record the lowest flow when it is set to 40 s green light.
In Figure 16, the density of vehicles on the road starts to increase gradually as the simulation begins. From the start, 20 s green light and 30 s green light have a quite similar density at peak; meanwhile, 40 s green light shows a higher recorded density. From cycle 106 to 316, it is observed that the density at peak for 20 s green light has a more consistent density if compared with the other two traffic light phasing. Meanwhile, 40 s green light has the broadest range for the density at peak, outnumbering the other two traffic light phasing. After cycle 316, the density for all traffic light phasing starts declining as only a few vehicles using on the road and move faster. Overall, 20 s green light has a lower density while 30 s and 40 s green light have a similar trend of density. Therefore, 20 s green light is the best timing for traffic phasing on this road during off-peak hour since it helps to enhance the traffic flow compared to 30 s green light and 40 s green light. The significant fluctuation observed in the resulting average speed from Figure 16b is believed to be due to the low density. When there is no vehicle on the road, the average speed will drop to 0 km/h, but then the average speed spike up to 70 km/h as vehicles enter the road. Figure 16b shows no obvious trend throughout the simulation due to the random movement of the vehicle in ABM. Hence, the traffic flow becomes a free flow because there are fewer users on this road.
Figure 17 depicts the congestion status on the road during off-peak hour. The overall congestion index was between 0 and 2 with some jumps. The agent’s unpredictability is presumably to cause for the jumps. There are influxes observed in the congestion index during cycles 289 to 321 and 513 to 577, showing that the road is highly congested. However, the congestion only lasted for a short period of time before dispersing. As a result, every traffic signal phases during off-peak hours may be classified as least congested to high-moderately congested for most of the time.

8.2.2. Peak Hour

Figure 18 shows the line of best fit based on the collected results for density and average speed during peak hour for 20 s, 30 s and 40 s duration of green light. The values of parameter obtained from the linear equation in Figure 18 is tabulated in Table 6. From Figure 19a,b, it is observed that the density-speed relation and density-flow for all traffic phasing have similar results. This is probably during peak hours, the traffic light phasing did not significantly influence the traffic flow.
At the beginning in Figure 20a, the density for all three traffic phasing starts increasing over time. This shows vehicles start using the spine road and causes the density on that road to increase over time. Overall, it is observed that 20 s and 30 s green light have a similar trend of density. The density for 40 s green light exceeds other two traffic light phasing and reached its maximum density up to 130 veh/km higher than 30 s green light at 120 veh/km and 20 s green light at 105 veh/km. The highest peak indicates the phase where the simulation is at the highest number of vehicles utilising the road. After the maximum peak has been reached, all recorded density for the three phases of green lights starts declining. Here, 30 s green light can be seen to attain the highest density trend, although they were declining but not as much compared to the other traffic light phases. In this phase, 20 s and 40 s green light show less significant differences when looking at the density value. The fluctuation is obvious following the change to the signal of traffic lights. The agents move when the traffic light is green, which increases the average speed, and agents will stop moving as the traffic light turns red, leading to a drop in average speed. From Figure 20b, at the beginning of the simulation, the average speed is high since only a few agents are present, but the average speed decreases over time as more agents move through this road. Then, the value of average speed begins to drop for all other three traffic phasing which indicates in this phase, the road is highly congested, and most agents only move at a low speed. By the end of the simulation, the average speed began to rise as the vehicle count decreased, which indicates the road became less congested.
During peak hour, the congestion index does not significantly differ for any of the three traffic light phases as illustrated in Figure 21. For cycle 0 to 381 and 685 to 1000, the index is between 0 to 2, indicating that the level of traffic is high–moderately congested at those times. The index exceeds 2 and increases near to index 10 for 30 s and 40 s of traffic light phasing between cycles 382 to 685. Thus, it is deduced that the traffic is extremely heavy traffic and particularly congested during this time. Although the results from all the simulations are generally similar, it can observed that 20 s maximum index only goes as high as index 5 showing that it has less congestion level than other traffic light phases.

9. Conclusions

In this paper, a simple mathematical formulation using the Greenshields model combined with elements of ABM is proposed. The main purpose of this model is to determine the traffic flow on the road network of Greenlane, Georgetown, Penang. The simulation environment was driven from real road network (GIS data) before it was simulated using GAMA. The optimal density for maximum flow in different vehicle compositions based on the mathematical formulation of traffic flow can be predicted. Then, the traffic status is measured by using the Congestion Index to determine the traffic flow performance. This research makes a valuable contribution by exploring two different research scope which are vehicle composition and traffic light timing, topics that have not been extensively studied before.
The comparison of four distinct vehicle compositions reveals different traffic flow trends, highlighting the need for policymakers to address potential efficiency issues in the current road structure if the demand for roads in the study site is expected to increase in the future. The study also examines the impact of traffic light phasing during off-peak and peak hours. It is found that a 20 s duration of green light traffic phasing is preferable during off-peak hours compared to longer durations of 30 s and 40 s, which significantly reduce traffic flow. However, during peak hours, the chosen timing for traffic light phasing has minimal influence on traffic flow.
The approach used in this study is highly recommended as it accurately reflects the unpredictable nature of real-world transportation systems, where vehicle compositions are unknown and traffic light timing is influenced by various control systems. Therefore, urban planning, particularly in transportation, plays a critical role in developing countries, as well-planned road networks and strategies significantly impact the quality of life. A clear and customisable transportation strategy that aligns with citizens’ needs is essential. Policymakers, governments, and urban planners can benefit from decision support systems that can analyse current issues and identify appropriate solutions, providing valuable insights for newly introduced policies at an early stage. If the model’s simulation takes into account different modes of transportation, it will be able to imitate real-life urban traffic.
Note that only four-wheeled vehicles were taken into consideration in this research. The modes of transportation are intently diversified by combining motorised automobiles, such as two-wheeled vehicles, in this research for future work. Another limitation is that all simulations are assumed to have linear speed and density relation. Therefore, for future improvements, if linear relation is modified into curved fitting relation for the scattered data, it will better represent the plotted data. The modelling approach in this paper uses an arbitrary parameter value of road traffic users due to the limitation in obtaining the traffic data. Therefore, for future work, we intend to incorporate real life traffic data to provide a more accurate traffic representation.

Author Contributions

Conceptualization, Md Yushalify Misro; methodology, Md Yushalify Misro and Raihanah Adawiyah Shaharuddin; software, Md Yushalify Misro and Raihanah Adawiyah Shaharuddin; validation, Md Yushalify Misro and Raihanah Adawiyah Shaharuddin; formal analysis, Md Yushalify Misro and Raihanah Adawiyah Shaharuddin; investigation, Md Yushalify Misro and Raihanah Adawiyah Shaharuddin; resources, Md Yushalify Misro; data curation, Md Yushalify Misro and Raihanah Adawiyah Shaharuddin; writing—original draft preparation, Raihanah Adawiyah Shaharuddin; writing—review and editing, Md Yushalify Misro; visualization, Md Yushalify Misro and Raihanah Adawiyah Shaharuddin; supervision, Md Yushalify Misro; project administration, Md Yushalify Misro; funding acquisition, Md Yushalify Misro. All authors have read and agreed to the published version of the manuscript.

Funding

This research was funded by Research University Team (RUTeam) Grant Scheme grant number 1001/PMATHS/8580071.

Acknowledgments

This research was supported by Universiti Sains Malaysia, Research University Team (RUTeam) Grant Scheme (1001/PMATHS/8580071) and the School of Mathematical Sciences, Universiti Sains Malaysia. The authors are very grateful to the anonymous referees for their valuable suggestion.

Conflicts of Interest

The authors declare no conflict of interest.

Abbreviations

The following abbreviations are used in this manuscript:
ABMAgent-Based Modelling
GAMAGIS and Agent-Based Modelling Architecture
IBMIndividual-Based Model
EBMEquation Based Modelling
GISGeographical Information System
GAMLGAMA Modelling Language
OSMOpenStreetMap
QGISQuantum Geographic Information System
USMUniversiti Sains Malaysia

References

  1. Portilla, C.; Espinosa, J.; Schutter, B.D. A multi-class urban traffic model considering heterogeneous vehicle composition: An extension of the s model. Transp. Res. Part Emerg. Technol. 2020, 115, 102613. [Google Scholar] [CrossRef]
  2. Taylor, M. Exploring the Nature of Urban Traffic Congestion: Concepts, Parameters, Theories and Models. In Proceedings of the 16th ARRB Conference, Perth, Australia, 9–13 November 1992; Volume 16. [Google Scholar]
  3. Wright, C.; Roberg, P. The conceptual structure of traffic jams. Transp. Policy 1998, 5, 23–35. Available online: https://ideas.repec.org/a/eee/trapol/v5y1998i1p23-35.html.17 (accessed on 26 March 2023). [CrossRef]
  4. Patel, N.; Mukherjee, A.B. Categorization of urban traffic congestion based on the fuzzification of congestion index value and influencing parameters. Theor. Empir. Res. Urban Manag. 2014, 9, 36–51. [Google Scholar]
  5. Papageorgiou, M.; Diakaki, C.; Dinopoulou, V.; Kotsialos, A.; Wang, Y. Review of road traffic control strategies. Proc. IEEE 2004, 91, 2043–2067. [Google Scholar] [CrossRef]
  6. Cheng, S.F.; Epelman, M.; Smith, R. Cosign: A parallel algorithm for coordinated traffic signal control, Intelligent Transportation Systems. IEEE Trans. 2007, 7, 551–564. [Google Scholar] [CrossRef]
  7. Kanagaraj, V.; Asaithambi, G.; Kumar, C.N.; Srinivasan, K.K.; Sivanandan, R. Evaluation of different vehicle following models under mixed traffic conditions. Procedia-Soc. Behav. Sci. 2013, 104, 390–401. [Google Scholar] [CrossRef]
  8. Bains, M.S.; Ponnu, B.; Arkatkar, S.S. Modeling of traffic flow on indian expressways using simulation technique. Procedia-Soc. Behav. Sci. 2012, 43, 475–493. [Google Scholar] [CrossRef]
  9. Dang-Huu, T.; Gaudou, B.; Nguyen-Ngoc, D.; Lê, N. An agent-based model for mixed traffic in Vietnam based on virtual local lanes. In Proceedings of the 12th International Conference on Knowledge and Systems Engineering (KSE), Can Tho, Vietnam, 12–14 November 2020; pp. 147–152. [Google Scholar] [CrossRef]
  10. Cao, Z.; Jiang, S.; Zhang, J.; Guo, H. A unified framework for vehicle rerouting and traffic light control to reduce traffic congestion. IEEE Trans. Intell. Transp. Syst. 2017, 18, 1958–1973. [Google Scholar] [CrossRef]
  11. Qi, L.; Zhou, M.; Luan, W. A two-level traffic light control strategy for preventing incident-based urban traffic congestion. IEEE Trans. Intell. Transp. Syst. 2016, 19, 1–12. [Google Scholar] [CrossRef]
  12. Anh, N.T.N. Dynamic Multilevel Modeling in the Design of Decision Support Systems for Rescue Simulation: Combining Agent-Based and Mathematical Approaches. Ph.D. Thesis, Universite Pierre et Marie Curie-Paris VI, Paris, France, 2014. [Google Scholar]
  13. Naiem, A.; Reda, M.; El-Beltagy, M.; El-Khodary, I.A. An agent based approach for modeling traffic flow, 2010. In Proceedings of the 7th International Conference on Informatics and Systems (INFOS), Cairo, Egypt, 28–30 March 2010; pp. 1–6. [Google Scholar]
  14. Bazzan, A.; Klügl, F. A review on agent-based technology for traffic and transportation. Knowl. Eng. Rev. 2013, 29, 375–403. [Google Scholar] [CrossRef]
  15. Mao, C.; Zou, M.; Liu, Y.; Xue, W.; Li, M. Comparison of agent-based modeling and equation-based modeling for transportation behavioral studies. In Proceedings of the 15th COTA International Conference of Transportation, Beijing, China, 24–27 July 2015; pp. 3610–3625. [Google Scholar] [CrossRef]
  16. Hunter, E.; Namee, B.M.; Kelleher, J.D. A comparison of agent-based models and equation based models for infectious disease epidemiology. In Proceedings of the AICS, Dublin, Ireland, 6–7 December 2018; Available online: https://ceur-ws.org/Vol-2259/aics5.pdf (accessed on 26 March 2023).
  17. Wilensky, U. NetLogo. 1999. Available online: http://ccl.northwestern.edu/netlogo (accessed on 26 March 2023).
  18. North, M.J.; Collier, N.T.; Ozik, J.; Tatara, E.R.; Macal, C.M.; Bragen, M.; Sydelko, P. Complex Adaptive Systems Modeling with Repast Simphony. Complex Adapt. Syst. Model. 2013, 1, 3. [Google Scholar] [CrossRef]
  19. Horni, A.; Nagel, K.; Axhausen, K. The Multi-Agent Transport Simulation MATSim; Ubiquity Press: London, UK, 2016. [Google Scholar] [CrossRef]
  20. Krajzewicz, D.; Hertkorn, G.; Rössel, C.; Wagner, P. SUMO (Simulation of Urban MObility)—An Open-Source Traffic Simulation. 2002. Available online: https://sumo.dlr.de/pdf/dkrajzew_MESM2002_SUMO.pdf (accessed on 13 February 2023).
  21. Ejercito, P.M.; Nebrija, K.G.E.; Feria, R.P.; Lara-Figueroa, L.L. Traffic simulation software review. In Proceedings of the 2017 8th International Conference on Information, Intelligence, Systems Applications (IISA), Larnaca, Cyprus, 27–30 August 2017; pp. 1–4. [Google Scholar] [CrossRef]
  22. Li, J.; Doniec, A.; Boonaert, J.; Lozenguez, G. Which traffic simulator is suitable for customized behaviors in multi-modal scenarios. In Proceedings of the 21st International Conference on Intelligent Trans-portation Systems (ITSC), Maui, HI, USA, 4–7 November 2018; pp. 3791–3796. [Google Scholar] [CrossRef]
  23. Taillandier, P.; Gaudou, B.; Grignard, A.; Nghi, H.Q.; Marilleau, N.; Caillou, P.; Philippon, D.; Drogoul, A. Building, composing and experimenting complex spatial models with the gama platform. GeoInformatica 2019, 23, 299–322. Available online: https://link.springer.com/article/10.1007/s10707-018-00339-6 (accessed on 26 March 2023). [CrossRef]
  24. Shaharuddin, R.A.; Misro, M.Y. Traffic simulation using agent based modelling. AIP Conf. Proc. 2021, 2423, 020035. [Google Scholar]
  25. Chapuis, K.; Taillandier, P.; Gaudou, B.; Drogoul, A.; Eric, D. A multi-modal urban traffic agent-based framework to study individual response to catastrophic events. In Proceedings of the 21st International Conference, Tokyo, Japan, 29 October–2 November 2018; pp. 440–448. [Google Scholar]
  26. Nasuha, N.; Rohani, M. Overview of application of traffic simulation model. MATEC Web Conf. 2018, 150, 03006. [Google Scholar] [CrossRef]
  27. Adebisi, A. A Review of the Difference Among Macroscopic, Microscopic and Mesoscopic Traffic Models; Department of Civil and Environmental Engineering, Florida Agricultural and Mechanical University: Tallahassee, FL, USA, 2017. [Google Scholar] [CrossRef]
  28. May, A.D. Traffic Flow Fundamentals; Prentice Hall: Englewood Cliffs, NJ, USA, 1990. [Google Scholar]
  29. Romanowska, A.; Jamroz, K. Comparison of Traffic Flow Models with Real Traffic Data Based on a Quantitative Assessment. Appl. Sci. 2021, 11, 9914. [Google Scholar] [CrossRef]
  30. Yu, C.; Zhang, J.; Yao, D.; Zhang, R.; Jin, H. Speed-density model of interrupted traffic flow based on coil data. Mob. Inf. Syst. 2016, 2016, 7968108. [Google Scholar] [CrossRef]
Figure 1. The flow of the proposed methodology.
Figure 1. The flow of the proposed methodology.
Ijgi 12 00226 g001
Figure 2. Relation between speed, u and density, k.
Figure 2. Relation between speed, u and density, k.
Ijgi 12 00226 g002
Figure 3. Relation between flow, q and density, k.
Figure 3. Relation between flow, q and density, k.
Ijgi 12 00226 g003
Figure 4. Relation between flow, q and speed, u.
Figure 4. Relation between flow, q and speed, u.
Ijgi 12 00226 g004
Figure 5. Road network in Greenlane, Georgetown, Penang. (a) Research Area. (b) Selected Greenlane road segment for study site. (c) Google Map Street View of an intersection with traffic light control system near the study site.
Figure 5. Road network in Greenlane, Georgetown, Penang. (a) Research Area. (b) Selected Greenlane road segment for study site. (c) Google Map Street View of an intersection with traffic light control system near the study site.
Ijgi 12 00226 g005
Figure 6. Simulated environment with yellow polygons highlighting the building agents, red arrows pointing towards the destination and green circle showing the position of the traffic lights for traffic phasing in Greenlane, Georgetown, Penang. (a) The simulation environment. (b) Area in a green circle from Figure 6a with traffic lights A and B.
Figure 6. Simulated environment with yellow polygons highlighting the building agents, red arrows pointing towards the destination and green circle showing the position of the traffic lights for traffic phasing in Greenlane, Georgetown, Penang. (a) The simulation environment. (b) Area in a green circle from Figure 6a with traffic lights A and B.
Ijgi 12 00226 g006
Figure 7. The 3D display of moving vehicle agents represented in cuboid shape on the road network in the GAMA simulation platform (blue: people, green: wanderer, red: bus, black: lorry). The yellow triangle indicates the direction of movement, and the red sphere is the stop signal (the traffic lights).
Figure 7. The 3D display of moving vehicle agents represented in cuboid shape on the road network in the GAMA simulation platform (blue: people, green: wanderer, red: bus, black: lorry). The yellow triangle indicates the direction of movement, and the red sphere is the stop signal (the traffic lights).
Ijgi 12 00226 g007
Figure 8. Time series density and average speed for two different types of vehicles on a homogeneous traffic flow. (a) Density of vehicles on the road for 1000 cycle. (b) Average speed of vehicles on the road for 1000 cycle.
Figure 8. Time series density and average speed for two different types of vehicles on a homogeneous traffic flow. (a) Density of vehicles on the road for 1000 cycle. (b) Average speed of vehicles on the road for 1000 cycle.
Ijgi 12 00226 g008
Figure 9. Simulation screenshot for simulation A and simulation D in 2D after 700 cycle at the study site near the road junction with traffic lights. (a) Simulation A with 1000 people, 4000 wanderer, 20 bus and 20 lorry. (b) Simulation D with 4000 people, 1000 wanderer, 20 bus and 20 lorry.
Figure 9. Simulation screenshot for simulation A and simulation D in 2D after 700 cycle at the study site near the road junction with traffic lights. (a) Simulation A with 1000 people, 4000 wanderer, 20 bus and 20 lorry. (b) Simulation D with 4000 people, 1000 wanderer, 20 bus and 20 lorry.
Ijgi 12 00226 g009
Figure 10. Results on the simulated data of density and average speed for simulation A, B, C and D. (a) Simulation A. (b) Simulation B. (c) Simulation C. (d) Simulation D.
Figure 10. Results on the simulated data of density and average speed for simulation A, B, C and D. (a) Simulation A. (b) Simulation B. (c) Simulation C. (d) Simulation D.
Ijgi 12 00226 g010
Figure 11. Comparison on the value of density and average speed for different vehicle composition. (a) Density against cycle. (b) Average speed against cycle.
Figure 11. Comparison on the value of density and average speed for different vehicle composition. (a) Density against cycle. (b) Average speed against cycle.
Ijgi 12 00226 g011
Figure 12. Speed-density and flow-density relation for different vehicle composition. (a) Speed-density relation. (b) Flow-density relation.
Figure 12. Speed-density and flow-density relation for different vehicle composition. (a) Speed-density relation. (b) Flow-density relation.
Ijgi 12 00226 g012
Figure 13. Congestion index for vehicle composition.
Figure 13. Congestion index for vehicle composition.
Ijgi 12 00226 g013
Figure 14. Results on the collected data of density and average speed during the off-peak hour for 20 s, 30 s and 40 s duration of green light. (a) 20 s duration of green light. (b) 30 s duration of green light. (c) 40 s duration of green light.
Figure 14. Results on the collected data of density and average speed during the off-peak hour for 20 s, 30 s and 40 s duration of green light. (a) 20 s duration of green light. (b) 30 s duration of green light. (c) 40 s duration of green light.
Ijgi 12 00226 g014
Figure 15. Speed-density and flow-density relation during the off-peak hour for different traffic light phasing. (a) Speed-density relation. (b) Flow-density relation.
Figure 15. Speed-density and flow-density relation during the off-peak hour for different traffic light phasing. (a) Speed-density relation. (b) Flow-density relation.
Ijgi 12 00226 g015
Figure 16. Comparison of the value of density and average speed over time during the off-peak hour for three different traffic phasing. (a) The value of density over time. (b) The value of average speed over time.
Figure 16. Comparison of the value of density and average speed over time during the off-peak hour for three different traffic phasing. (a) The value of density over time. (b) The value of average speed over time.
Ijgi 12 00226 g016
Figure 17. Congestion index for off-peak hour.
Figure 17. Congestion index for off-peak hour.
Ijgi 12 00226 g017
Figure 18. Theaverage speed of the vehicle against density during peak hour for 20 s, 30 s and 40 s duration of green light. (a) 20 s duration of green light. (b) 30 s duration of green light. (c) 40 s duration of green light.
Figure 18. Theaverage speed of the vehicle against density during peak hour for 20 s, 30 s and 40 s duration of green light. (a) 20 s duration of green light. (b) 30 s duration of green light. (c) 40 s duration of green light.
Ijgi 12 00226 g018
Figure 19. Speed-density and flow-density relation during the peak hour for different traffic light phasing. (a) Speed-density relation. (b) Flow-density relation.
Figure 19. Speed-density and flow-density relation during the peak hour for different traffic light phasing. (a) Speed-density relation. (b) Flow-density relation.
Ijgi 12 00226 g019
Figure 20. Comparison of the value of density and average speed over time during the peak hour for three different traffic phasing. (a) The value of density over time. (b) The value of average speed over time.
Figure 20. Comparison of the value of density and average speed over time during the peak hour for three different traffic phasing. (a) The value of density over time. (b) The value of average speed over time.
Ijgi 12 00226 g020
Figure 21. Congestion index for peak hour.
Figure 21. Congestion index for peak hour.
Ijgi 12 00226 g021
Table 1. The attributes for each type of vehicle agent.
Table 1. The attributes for each type of vehicle agent.
AttributePeopleWandererBusLorry
Length (m)441414
Colourbluegreenredblack
V m a x (km/h)120120100100
Vehicle Origin (Random)BuildingBuildingNodeNode
Vehicle DestinationExistRandomRandomRandom
Security distance coefficient (m)[1.0, 3.0]
Change lane to upper lane X U (0.1,1.1)
Change lane to lower lane X U (0.5,1.5)
Respecting priorities X U (0.8,1.0)
Respecting stop signs1
Blocking a node for no reason0
Using a linked road0
Maximum acceleration (m/s2)[3.0, 7.0][3.0, 7.0][2.0, 5.0][2.0, 5.0]
Speed coefficient (m/s)[0.8, 1.2][0.8, 1.2][0.8, 1.2][0.6, 1.2]
Table 2. The vehicle composition for simulation A, B, C and D.
Table 2. The vehicle composition for simulation A, B, C and D.
SimulationPeopleWandererBusLorry
A100040002020
B200030002020
C300020002020
D400010002020
Table 3. The timing of traffic light phasing for three different scenarios.
Table 3. The timing of traffic light phasing for three different scenarios.
Simulation ScenariosTiming of Traffic Light
Green Light (Second, s)Red Light (Second, s)
20 s2030
30 s3040
40 s4050
Table 4. The values of parameter for simulation A, B, C and D.
Table 4. The values of parameter for simulation A, B, C and D.
Simulation u f (km/h) k j (veh/km) k o (veh/km) Q m a x (veh/h) u o (km/h)
A51.61213165168625.806
B46.302214107247223.151
C42.891259130277921.446
D42.758362181387321.379
Table 5. The values of the parameter during the off-peak hour for different traffic light phasing.
Table 5. The values of the parameter during the off-peak hour for different traffic light phasing.
Simulation Scenarios u f (km/h) k j (veh/km) k o (veh/mile) Q m a x (veh/h) u o (km/h)
20 s51.680306153394925.840
30 s48.607292146354524.303
40 s53.90118894253326.950
Table 6. The values of the parameter during peak hour for different traffic light phasing.
Table 6. The values of the parameter during peak hour for different traffic light phasing.
Simulation Scenarios u f (km/h) k j (veh/km) k o (veh/mile) Q m a x (veh/h) u o (km/h)
20 s48.146367183441424.073
30 s50.217362181453925.109
40 s46.295382191442123.148
Disclaimer/Publisher’s Note: The statements, opinions and data contained in all publications are solely those of the individual author(s) and contributor(s) and not of MDPI and/or the editor(s). MDPI and/or the editor(s) disclaim responsibility for any injury to people or property resulting from any ideas, methods, instructions or products referred to in the content.

Share and Cite

MDPI and ACS Style

Shaharuddin, R.A.; Misro, M.Y. Controlling Traffic Congestion in Urbanised City: A Framework Using Agent-Based Modelling and Simulation Approach. ISPRS Int. J. Geo-Inf. 2023, 12, 226. https://doi.org/10.3390/ijgi12060226

AMA Style

Shaharuddin RA, Misro MY. Controlling Traffic Congestion in Urbanised City: A Framework Using Agent-Based Modelling and Simulation Approach. ISPRS International Journal of Geo-Information. 2023; 12(6):226. https://doi.org/10.3390/ijgi12060226

Chicago/Turabian Style

Shaharuddin, Raihanah Adawiyah, and Md Yushalify Misro. 2023. "Controlling Traffic Congestion in Urbanised City: A Framework Using Agent-Based Modelling and Simulation Approach" ISPRS International Journal of Geo-Information 12, no. 6: 226. https://doi.org/10.3390/ijgi12060226

APA Style

Shaharuddin, R. A., & Misro, M. Y. (2023). Controlling Traffic Congestion in Urbanised City: A Framework Using Agent-Based Modelling and Simulation Approach. ISPRS International Journal of Geo-Information, 12(6), 226. https://doi.org/10.3390/ijgi12060226

Note that from the first issue of 2016, this journal uses article numbers instead of page numbers. See further details here.

Article Metrics

Back to TopTop