Combining Telecom Data with Heterogeneous Data Sources for Traffic and Emission Assessments—An Agent-Based Approach
Abstract
:1. Introduction
2. Methodology (Model Architecture)
2.1. Mobile Phone Data Processing
2.1.1. Data Preprocessing
- We eliminated RBSs that officially did not belong to the municipality region.
- We excluded landline numbers as they are not representative of user mobility.
- Records made by numbers with four digits or less were eliminated, as they probably belong to public services (e.g., parking services).
- Foreign numbers were excluded since they were probably from tourists who attended a festival held during a few days of the time period for which we had the data. We treated those records as anomalies, as these tourists did not contribute to the city’s everyday traffic and emission.
- Finally, we selected users that had records during the day and night period, since we wanted to estimate users’ regular trips that occurred during a whole day. Therefore, we wiped out users with only a few records.
2.1.2. Stay Extraction & Activity Inference
- A data set for estimating origin locations—it contained records obtained on weekdays between 7 p.m. and 8 a.m., and weekends.
- A data set for estimating destination locations—it contained records made during the weekdays between 8 a.m. and 7 p.m.
2.1.3. Rescaling
2.2. Agent-Based Traffic Model
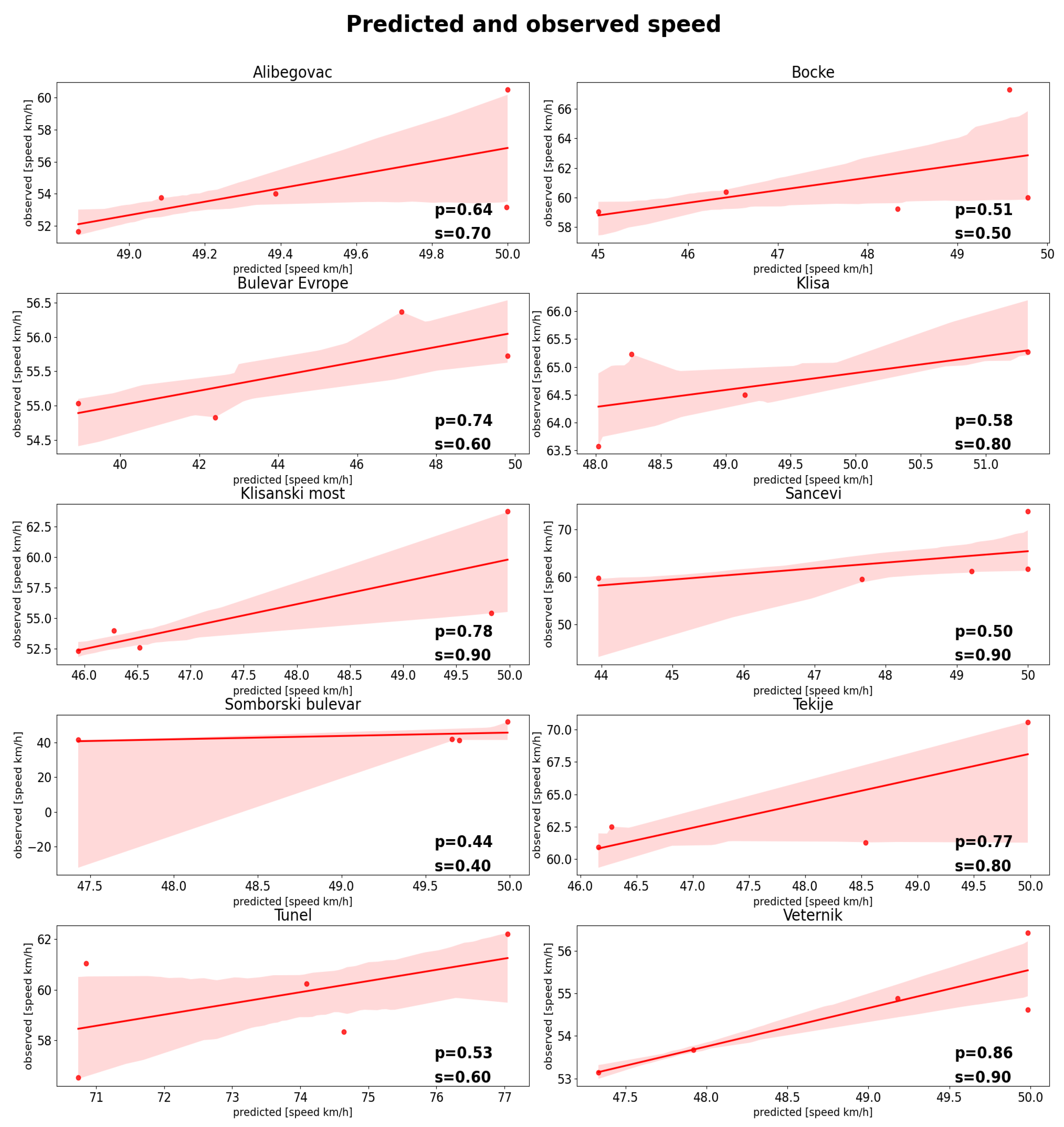
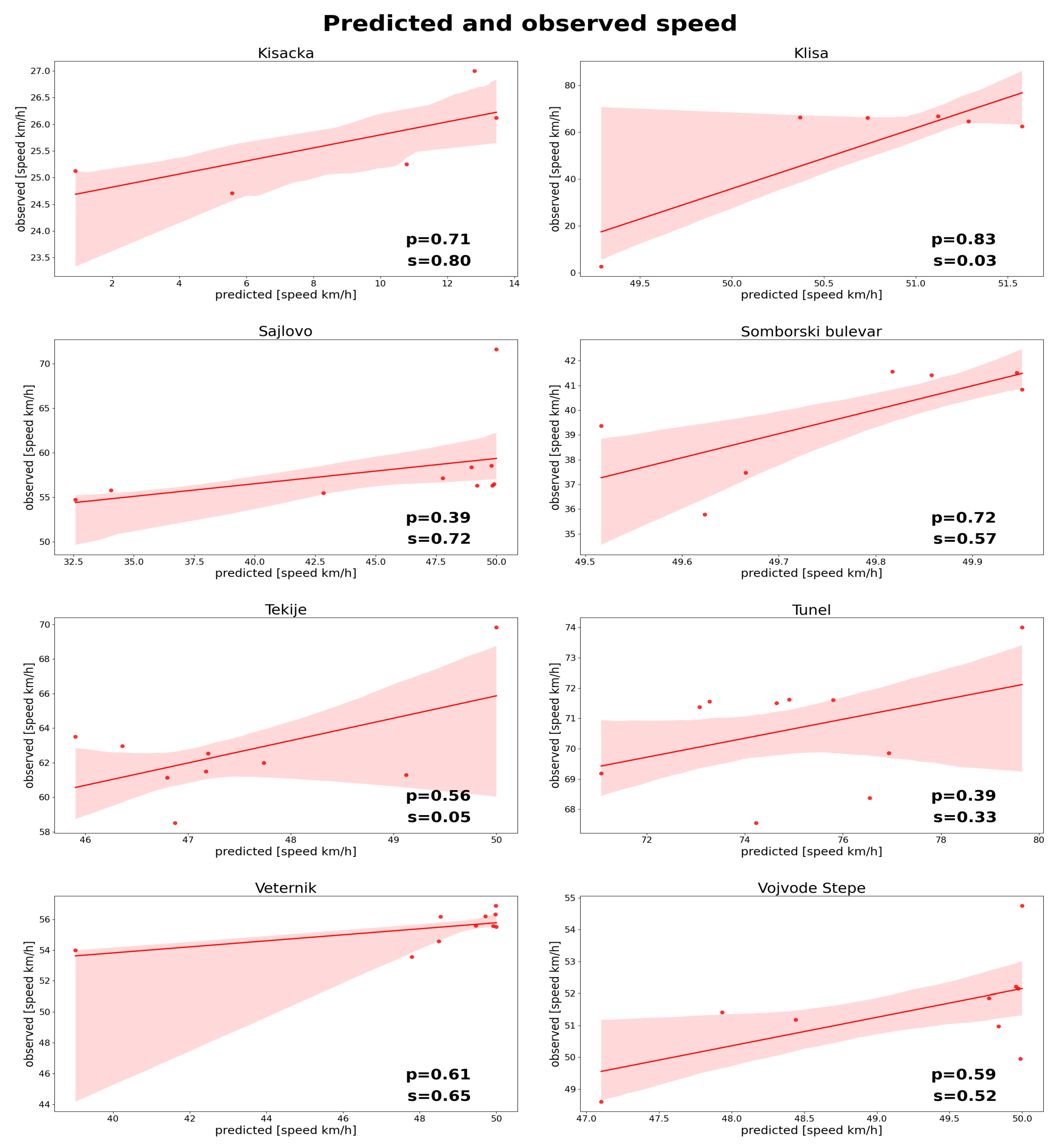
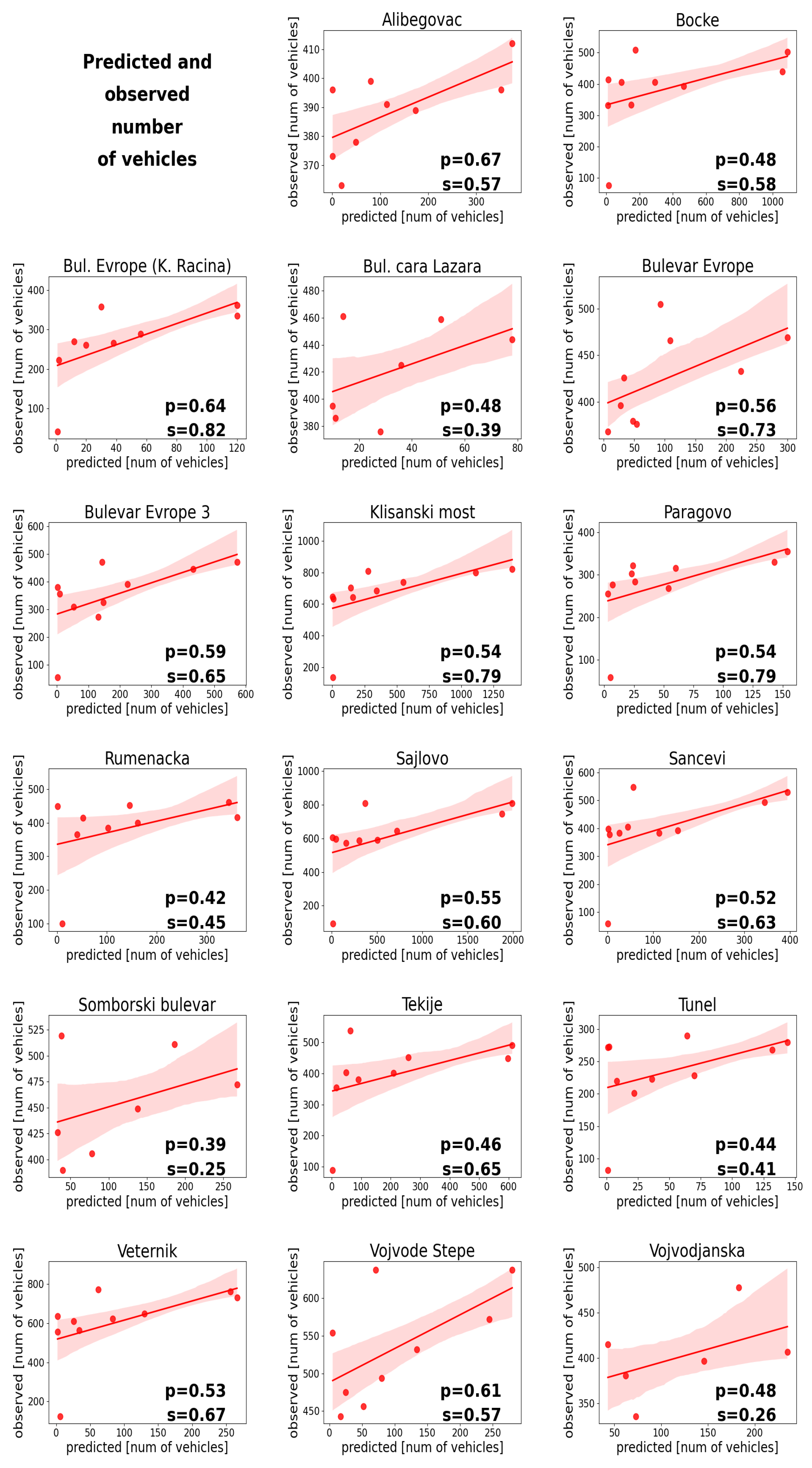
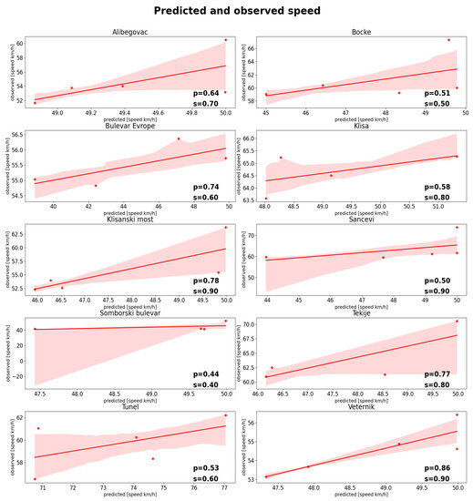
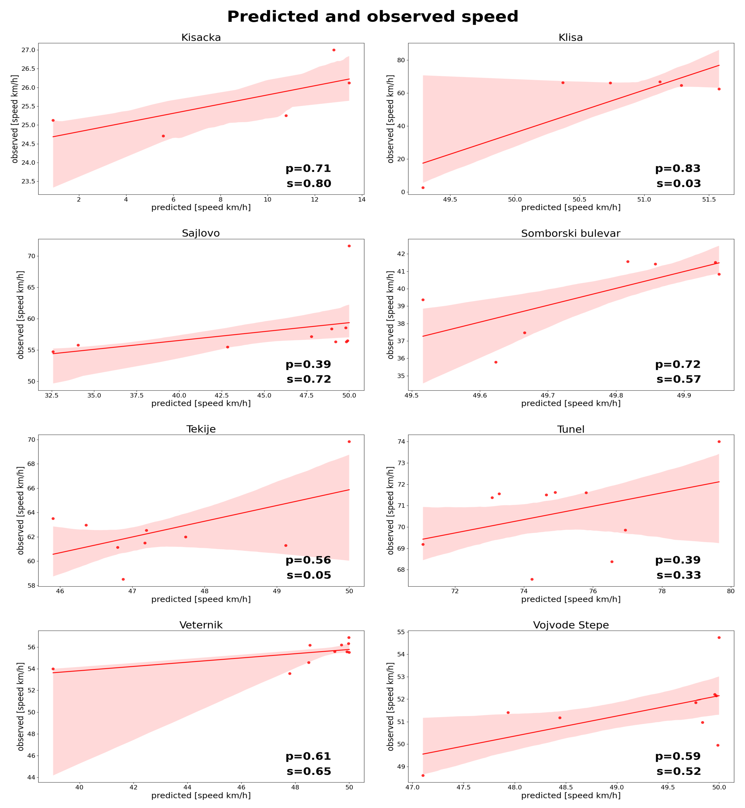
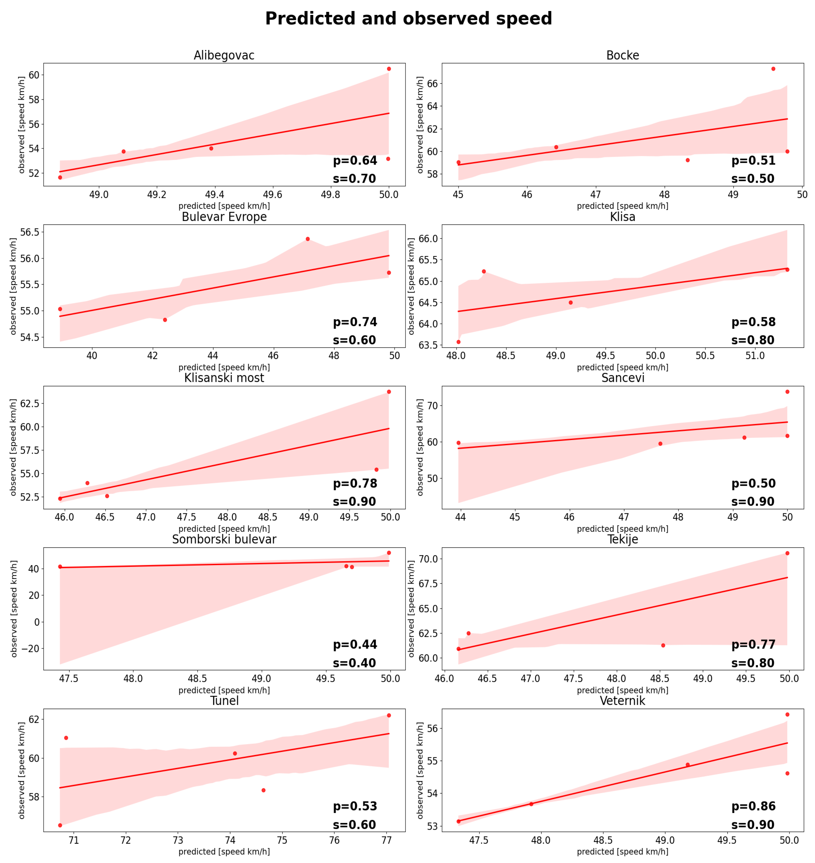
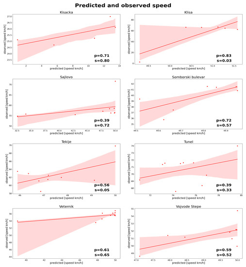
Model Calibration & Validation
2.3. Emission Evaluation
| h | hour |
| l | traffic link |
| p | pollutant, can be , , and |
| calculated emission for pollutant p on traffic link l in hour h | |
| number of vehicles on traffic link l in hour h | |
| length of traffic link l in km | |
| aggregated coefficient from the HBEFA handbook for pollutant p in unit g/Vehkm | |
| congestion coefficient for traffic link l in hour h. It takes value 2 for congested links, and 1 otherwise |
Emission Validation
3. Case Study
3.1. Data Acquisition & Processing
3.1.1. Telecom Data
3.1.2. Automatic Vehicle Counters Data Set
3.2. Traffic Simulation
3.3. Emission Assessment
4. Discussion
5. Conclusions
Author Contributions
Funding
Acknowledgments
Conflicts of Interest
Appendix A. Results






References
- Jain, V.; Sharma, A.; Subramanian, L. Road traffic congestion in the developing world. In Proceedings of the 2nd ACM Symposium on Computing for Development, Atlanta, GA, USA, 11–12 March 2012; pp. 1–10. [Google Scholar]
- WHO. World Health Organization—Urban Population Growth, Global Health Observatory. 2014. Available online: https://www.who.int/ (accessed on 18 November 2021).
- Khalfan, A.; Andrews, G.; Li, H. Real World Driving: Emissions in Highly Congested Traffic. In Proceedings of the SAE Powertrain Fuels and Lubricants Meeting 2017, Beijing, China, 16–18 October 2017; SAE International: Warrendale, PA, USA, 2017. [Google Scholar]
- Hofer, C.; Jäger, G.; Füllsack, M. Large scale simulation of CO2 emissions caused by urban car traffic: An agent-based network approach. J. Clean. Prod. 2018, 183, 1–10. [Google Scholar] [CrossRef]
- Martinez, L.M.; Viegas, J.M. Assessing the impacts of deploying a shared self-driving urban mobility system: An agent-based model applied to the city of Lisbon, Portugal. Int. J. Transp. Sci. Technol. 2017, 6, 13–27. [Google Scholar] [CrossRef]
- Hofer, C.; Jäger, G.; Füllsack, M. Including traffic jam avoidance in an agent-based network model. Comput. Soc. Netw. 2018, 5, 1–12. [Google Scholar] [CrossRef] [PubMed]
- Kickhöfer, B.; Nagel, K. Towards high-resolution first-best air pollution tolls. Netw. Spat. Econ. 2016, 16, 175–198. [Google Scholar] [CrossRef]
- Zheng, N.; Waraich, R.A.; Axhausen, K.W.; Geroliminis, N. A dynamic cordon pricing scheme combining the macroscopic fundamental diagram and an agent-based traffic model. Transp. Res. Part A Policy Pract. 2012, 46, 1291–1303. [Google Scholar] [CrossRef]
- Willumsen, L. Use of Big Data in Transport Modelling; OECD/ITF: Paris, France, 2021. [Google Scholar]
- Brdar, S.; Novović, O.; Grujić, N.; González-Vélez, H.; Truică, C.O.; Benkner, S.; Bajrovic, E.; Papadopoulos, A. Big Data Processing, Analysis and Applications in Mobile Cellular Networks. In High-Performance Modelling and Simulation for Big Data Applications; Springer: Cham, Switzerland, 2019; pp. 163–185. [Google Scholar]
- Becker, R.A.; Caceres, R.; Hanson, K.; Loh, J.M.; Urbanek, S.; Varshavsky, A.; Volinsky, C. A tale of one city: Using cellular network data for urban planning. IEEE Pervasive Comput. 2011, 10, 18–26. [Google Scholar] [CrossRef]
- Arai, A.; Witayangkurn, A.; Kanasugi, H.; Fan, Z.; Ohira, W.; Pedro, S. Building a Data Ecosystem for Using Telecom Data to Inform the COVID-19 Response Efforts; Zenodo: Geneva, Switzerland, 2020. [Google Scholar]
- Bosetti, P.; Poletti, P.; Stella, M.; Lepri, B.; Merler, S.; De Domenico, M. Reducing measles risk in Turkey through social integration of Syrian refugees. arXiv 2019, arXiv:1901.04214. [Google Scholar]
- Brdar, S.; Gavrić, K.; Ćulibrk, D.; Crnojević, V. Unveiling spatial epidemiology of HIV with mobile phone data. Sci. Rep. 2016, 6, 19342. [Google Scholar] [CrossRef] [Green Version]
- Lima, A.; De Domenico, M.; Pejovic, V.; Musolesi, M. Disease containment strategies based on mobility and information dissemination. Sci. Rep. 2015, 5, 10650. [Google Scholar] [CrossRef] [Green Version]
- Lu, X.; Tan, J.; Cao, Z.; Xiong, Y.; Qin, S.; Wang, T.; Liu, C.; Huang, S.; Zhang, W.; Marczak, L.B.; et al. Mobile Phone-Based Population Flow Data for the COVID-19 Outbreak in Mainland China. Health Data Sci. 2021, 2021, 9796431. [Google Scholar] [CrossRef]
- Wesolowski, A.; Qureshi, T.; Boni, M.F.; Sundsøy, P.R.; Johansson, M.A.; Rasheed, S.B.; Engø-Monsen, K.; Buckee, C.O. Impact of human mobility on the emergence of dengue epidemics in Pakistan. Proc. Natl. Acad. Sci. USA 2015, 112, 11887–11892. [Google Scholar] [CrossRef] [PubMed] [Green Version]
- Novović, O.; Brdar, S.; Mesaroš, M.; Crnojević, V.; Papadopoulos, A.N. Uncovering the relationship between human connectivity dynamics and land use. ISPRS Int. J. Geo-Inf. 2020, 9, 140. [Google Scholar] [CrossRef] [Green Version]
- De Nadai, M.; Staiano, J.; Larcher, R.; Sebe, N.; Quercia, D.; Lepri, B. The death and life of great Italian cities: A mobile phone data perspective. In Proceedings of the 25th International Conference on World Wide Web, Montreal, QC, Canada, 11–15 May 2016; pp. 413–423. [Google Scholar]
- Grujić, N.; Novović, O.; Brdar, S.; Crnojević, V.; Govedarica, M. Mobile Phone Data visualization using Python QGIS API. In Proceedings of the 2019 18th International Symposium INFOTEH-JAHORINA (INFOTEH), East Sarajevo, Republic of Srpska, 20–21 March 2019; IEEE: Piscataway, NJ, USA, 2019; pp. 1–6. [Google Scholar]
- Doyle, J.; Hung, P.; Farrell, R.; McLoone, S. Population mobility dynamics estimated from mobile telephony data. J. Urban Technol. 2014, 21, 109–132. [Google Scholar] [CrossRef]
- Louail, T.; Lenormand, M.; Ros, O.G.C.; Picornell, M.; Herranz, R.; Frias-Martinez, E.; Ramasco, J.J.; Barthelemy, M. From mobile phone data to the spatial structure of cities. Sci. Rep. 2014, 4, 5276. [Google Scholar] [CrossRef] [Green Version]
- Brdar, S.; Grujić, N.; Obrenović, N.; Novović, O.; Lugonja, P.; Minić, V.; Bajić, Ž.; Milovanović, M.; Rokvić, N. Project-Depopulation Sensing by Integrative Knowledge Discovery from Big Data; Biosense: Novi Sad, Serbia, 2021. [Google Scholar]
- Grujić, N.; Brdar, S.; Novović, O.; Govedarica, M.; Crnojević, V. Evidence of urban segregation from mobile phone data: A case study of Novi Sad. In Proceedings of the 2019 27th Telecommunications Forum (TELFOR), Belgrade, Serbia, 26–27 November 2019; IEEE: Piscataway, NJ, USA, 2019; pp. 1–4. [Google Scholar]
- Grujić, N.; Brdar, S.; Novović, O.; Obrenović, N.; Govedarica, M.; Crnojević, V. Biclustering for uncovering spatial-temporal patterns in telecom data. In Proceedings of the EGU General Assembly Conference Abstracts, Online, 19–30 April 2021; p. EGU21-14423. [Google Scholar]
- Pappalardo, L.; Pedreschi, D.; Smoreda, Z.; Giannotti, F. Using big data to study the link between human mobility and socio-economic development. In Proceedings of the 2015 IEEE International Conference on Big Data (Big Data), Santa Clara, CA, USA, 29 October–1 November 2015; IEEE: Piscataway, NJ, USA, 2015; pp. 871–878. [Google Scholar]
- Steele, J.E.; Sundsøy, P.R.; Pezzulo, C.; Alegana, V.A.; Bird, T.J.; Blumenstock, J.; Bjelland, J.; Engø-Monsen, K.; De Montjoye, Y.A.; Iqbal, A.M.; et al. Mapping poverty using mobile phone and satellite data. J. R. Soc. Interface 2017, 14, 20160690. [Google Scholar] [CrossRef]
- Galiana, L.; Sakarovitch, B.; Smoreda, Z. Understanding socio-spatial segregation in French cities with mobile phone data. DGINS18, 2018; unpublished manuscript. [Google Scholar]
- Lu, X.; Wrathall, D.J.; Sundsøy, P.R.; Nadiruzzaman, M.; Wetter, E.; Iqbal, A.; Qureshi, T.; Tatem, A.J.; Canright, G.S.; Engø-Monsen, K.; et al. Detecting climate adaptation with mobile network data in Bangladesh: Anomalies in communication, mobility and consumption patterns during cyclone Mahasen. Clim. Chang. 2016, 138, 505–519. [Google Scholar] [CrossRef] [Green Version]
- Pastor-Escuredo, D.; Morales-Guzmán, A.; Torres-Fernández, Y.; Bauer, J.M.; Wadhwa, A.; Castro-Correa, C.; Romanoff, L.; Lee, J.G.; Rutherford, A.; Frias-Martinez, V.; et al. Flooding through the lens of mobile phone activity. In Proceedings of the IEEE Global Humanitarian Technology Conference (GHTC 2014), San Jose, CA, USA, 10–13 October 2014; IEEE: Piscataway, NJ, USA, 2014; pp. 279–286. [Google Scholar]
- Wilson, R.; zu Erbach-Schoenberg, E.; Albert, M.; Power, D.; Tudge, S.; Gonzalez, M.; Guthrie, S.; Chamberlain, H.; Brooks, C.; Hughes, C.; et al. Rapid and near real-time assessments of population displacement using mobile phone data following disasters: The 2015 Nepal earthquake. PLoS Curr. 2016, 8. [Google Scholar] [CrossRef]
- Järv, O.; Ahas, R.; Saluveer, E.; Derudder, B.; Witlox, F. Mobile phones in a traffic flow: A geographical perspective to evening rush hour traffic analysis using call detail records. PLoS ONE 2012, 7, e49171. [Google Scholar]
- Bar-Gera, H. Evaluation of a cellular phone-based system for measurements of traffic speeds and travel times: A case study from Israel. Transp. Res. Part C Emerg. Technol. 2007, 15, 380–391. [Google Scholar] [CrossRef]
- Sørensen, A.Ø.; Bjelland, J.; Bull-Berg, H.; Landmark, A.D.; Akhtar, M.M.; Olsson, N.O. Use of mobile phone data for analysis of number of train travellers. J. Rail Transp. Plan. Manag. 2018, 8, 123–144. [Google Scholar]
- Alexander, L.; Jiang, S.; Murga, M.; González, M.C. Origin–destination trips by purpose and time of day inferred from mobile phone data. Transp. Res. Part C Emerg. Technol. 2015, 58, 240–250. [Google Scholar] [CrossRef]
- Zagatti, G.A.; Gonzalez, M.; Avner, P.; Lozano-Gracia, N.; Brooks, C.J.; Albert, M.; Gray, J.; Antos, S.E.; Burci, P.; Zu Erbach-Schoenberg, E.; et al. A trip to work: Estimation of origin and destination of commuting patterns in the main metropolitan regions of Haiti using CDR. Dev. Eng. 2018, 3, 133–165. [Google Scholar] [CrossRef]
- Iqbal, M.S.; Choudhury, C.F.; Wang, P.; González, M.C. Development of origin–destination matrices using mobile phone call data. Transp. Res. Part C Emerg. Technol. 2014, 40, 63–74. [Google Scholar] [CrossRef] [Green Version]
- Tettamanti, T.; Demeter, H.; Varga, I. Route choice estimation based on cellular signaling data. Acta Polytech. Hung. 2012, 9, 207–220. [Google Scholar]
- Sakamanee, P.; Phithakkitnukoon, S.; Smoreda, Z.; Ratti, C. Methods for inferring route choice of commuting trip from mobile phone network data. ISPRS Int. J. Geo-Inf. 2020, 9, 306. [Google Scholar] [CrossRef]
- Wang, H.; Calabrese, F.; Di Lorenzo, G.; Ratti, C. Transportation mode inference from anonymized and aggregated mobile phone call detail records. In Proceedings of the 13th International IEEE Conference on Intelligent Transportation Systems, Beijing, China, 12–15 October 2008; IEEE: Piscataway, NJ, USA, 2010; pp. 318–323. [Google Scholar]
- Doyle, J.; Hung, P.; Kelly, D.; McLoone, S.F.; Farrell, R. Utilising Mobile Phone Billing Records for Travel Mode Discovery; Maynooth University: Kildare, Ireland, 2011. [Google Scholar]
- Wu, H.; Liu, L.; Yu, Y.; Peng, Z.; Jiao, H.; Niu, Q. An agent-based model simulation of human mobility based on mobile phone data: How commuting relates to congestion. ISPRS Int. J. Geo-Inf. 2019, 8, 313. [Google Scholar] [CrossRef] [Green Version]
- Bassolas, A.; Ramasco, J.J.; Herranz, R.; Cantú-Ros, O.G. Mobile phone records to feed activity-based travel demand models: MATSim for studying a cordon toll policy in Barcelona. Transp. Res. Part A Policy Pract. 2019, 121, 56–74. [Google Scholar] [CrossRef] [Green Version]
- A Generative Model of Urban Activities from Cellular Data. IEEE Trans. Intell. Transp. Syst. 2018, 19, 1682–1696. [CrossRef]
- Zhang, L.; Huang, J.; Liu, Z.; Vu, H.L. An agent-based model for real-time bus stop-skipping and holding schemes. Transp. A Transp. Sci. 2021, 17, 615–647. [Google Scholar] [CrossRef]
- Hussain, I.; Knapen, L.; Galland, S.; Bellemans, T.; Janssens, D.; Wets, G. Organizational-based model and agent-based simulation for long-term carpooling. Future Gener. Comput. Syst. 2016, 64, 125–139. [Google Scholar] [CrossRef]
- Motieyan, H.; Mesgari, M.S. An agent-based modeling approach for sustainable urban planning from land use and public transit perspectives. Cities 2018, 81, 91–100. [Google Scholar] [CrossRef]
- Bonabeau, E. Agent-based modeling: Methods and techniques for simulating human systems. Proc. Natl. Acad. Sci. USA 2002, 99, 7280–7287. [Google Scholar] [CrossRef] [Green Version]
- Batty, M. Agents, cells, and cities: New representational models for simulating multiscale urban dynamics. Environ. Plan. A 2005, 37, 1373–1394. [Google Scholar] [CrossRef] [Green Version]
- Crooks, A.; Malleson, N.; Manley, E.; Heppenstall, A. Agent-Based Modelling and Geographical Information Systems: A Practical Primer; Sage: Thousand Oaks, CA, USA, 2018. [Google Scholar]
- Heppenstall, A. Agent-Based Models for Geographical Systems: A Review; University College London: London, UK, 2019. [Google Scholar]
- Taillandier, P.; Gaudou, B.; Grignard, A.; Huynh, Q.N.; Marilleau, N.; Caillou, P.; Philippon, D.; Drogoul, A. Building, composing and experimenting complex spatial models with the GAMA platform. GeoInformatica 2019, 23, 299–322. [Google Scholar] [CrossRef] [Green Version]
- Handbook on Emission Factors for Road Transport. Available online: https://www.hbefa.net/e/index.html (accessed on 3 February 2022).
- Levinson, D.M.; Kumar, A. The rational locator: Why travel times have remained stable. J. Am. Plan. Assoc. 1994, 60, 319–332. [Google Scholar] [CrossRef]
- Schafer, A. Regularities in travel demand: An international perspective. J. Transp. Stat. 2000, 3, 1–31. [Google Scholar] [CrossRef]
- Landmark, A.D.; Arnesen, P.; Södersten, C.J.H.; Hjelkrem, O.A. Mobile phone data in transportation research: Methods for benchmarking against other data sources. Transportation 2021, 48, 2883–2905. [Google Scholar] [CrossRef]
- Okabe, A.; Boots, B.; Sugihara, K.; Chiu, S.N. Concepts and Applications of Voronoi Diagrams; John Wiley & Sons Ltd.: Chichester, UK, 2000. [Google Scholar]
- Salgado, M.; Gilbert, N. Agent based modelling. In Handbook of Quantitative Methods for Educational Research; Brill Sense: Paderborn, Germany, 2013; pp. 247–265. [Google Scholar]
- Bazzan, A.L.C.; Klügl, F. A review on agent-based technology for traffic and transportation. Knowl. Eng. Rev. 2014, 29, 375–403. [Google Scholar] [CrossRef]
- Taillandier, P. Traffic simulation with the GAMA platform. In Proceedings of the Eighth International Workshop on Agents in Traffic and Transportation, Paris, France, 5–6 May 2014; p. 8. [Google Scholar]
- Shaharuddin, R.A.; Misro, M.Y. Traffic simulation using agent based modelling. In Proceedings of the AIP Conference Proceedings, Chiangmai, Thailand, 20–22 February 2021; AIP Publishing LLC: Melville, NY, USA, 2021; Volume 2423, p. 020035. [Google Scholar]
- Kickhöfer, B.; Hülsmann, F.; Gerike, R.; Nagel, K. Rising car user costs: Comparing aggregated and geo-spatial impacts on travel demand and air pollutant emissions. In Smart Transport Networks; Edward Elgar Publishing: Cheltenham, UK, 2013. [Google Scholar]
- Novi Sad. Available online: https://en.wikipedia.org/wiki/Novi_Sad (accessed on 21 September 2021).
- New Bridge. Available online: https://www.021.rs/story/Novi-Sad/Vesti/268583/Planiranje-novog-mosta-u-Novom-Sadu-Dokument-na-javnom-uvidu-prigovori-do-11-aprila.html (accessed on 21 September 2021).
- SEPA—Serbia Environmental Protection Agency. Available online: http://www.sepa.gov.rs/ (accessed on 1 February 2022).
- Ni, D. Traffic Flow Theory: Characteristics, Experimental Methods, and Numerical Techniques; Butterworth-Heinemann: Oxford, UK, 2015. [Google Scholar]
- Plakolb, S.; Jäger, G.; Hofer, C.; Füllsack, M. Mesoscopic urban-traffic simulation based on mobility behavior to calculate NOx emissions caused by private motorized transport. Atmosphere 2019, 10, 293. [Google Scholar] [CrossRef] [Green Version]
- Azlan, N.N.N.; Rohani, M.M. Overview of application of traffic simulation model. In Proceedings of the MATEC Web of Conferences, Penang, Malaysia, 23 February 2018; EDP Sciences: Les Ulis, France, 2018; Volume 150, p. 03006. [Google Scholar]
- Zhao, B.; Kumar, K.; Casey, G.; Soga, K. Agent-based model (ABM) for city-scale traffic simulation: A case study on San Francisco. In Proceedings of the International Conference on Smart Infrastructure and Construction 2019 (ICSIC) Driving Data-Informed Decision-Making, Cambridge, UK, 8–10 July 2019; ICE Publishing: London, UK, 2019; pp. 203–212. [Google Scholar]
- Wang, H.; Xu, Z.; Fujita, H.; Liu, S. Towards felicitous decision making: An overview on challenges and trends of Big Data. Inf. Sci. 2016, 367, 747–765. [Google Scholar] [CrossRef]
- Lepri, B.; Oliver, N.; Letouzé, E.; Pentland, A.; Vinck, P. Fair, transparent, and accountable algorithmic decision-making processes. Philos. Technol. 2018, 31, 611–627. [Google Scholar] [CrossRef] [Green Version]
- Aguero-Valverde, J.; Jovanis, P.P. Spatial analysis of fatal and injury crashes in Pennsylvania. Accid. Anal. Prev. 2006, 38, 618–625. [Google Scholar] [CrossRef]
- Quddus, M.A. Modelling area-wide count outcomes with spatial correlation and heterogeneity: An analysis of London crash data. Accid. Anal. Prev. 2008, 40, 1486–1497. [Google Scholar] [CrossRef] [Green Version]









| Data Set | Time Period | Temporal Resolution | Spatial Resolution | Purpose |
|---|---|---|---|---|
| Telecom data | 3–11 July 2017 | 1 s | antenna level | ABM—input |
| Population data | 2019 | - | local communities | ABM—input |
| GIS local communities data | - | - | — | ABM—input |
| Traffic network from Open-Street maps | - | - | — | ABM—input |
| Data on the number of cars and average speed from automatic vehicle counters | 1–17 November 2019 and 3–9 December 2019 | 1 h | at main crossings in the city | ABM—validation and calibration |
| Emission coefficients from HBFA handbook | calculated for 2020 year | - | country level | emission—calculation |
| Air quality data | available for everyday | 1 h | 2 stations | emission—validation |
| Driver’s Attributes | Value |
|---|---|
| Changing upper lane | |
| Changing lower lane | |
| Security distance coefficient | |
| Respecting priorities | |
| Respecting stop signs | 1 |
| Blocking a node for no reason | 0 |
| Maximum acceleration of its vehicle | 1.39 |
| Driver’s speed coefficient | |
| Using a linked road |
Publisher’s Note: MDPI stays neutral with regard to jurisdictional claims in published maps and institutional affiliations. |
© 2022 by the authors. Licensee MDPI, Basel, Switzerland. This article is an open access article distributed under the terms and conditions of the Creative Commons Attribution (CC BY) license (https://creativecommons.org/licenses/by/4.0/).
Share and Cite
Grujić, N.; Brdar, S.; Osinga, S.; Hofstede, G.J.; Athanasiadis, I.N.; Pljakić, M.; Obrenović, N.; Govedarica, M.; Crnojević, V. Combining Telecom Data with Heterogeneous Data Sources for Traffic and Emission Assessments—An Agent-Based Approach. ISPRS Int. J. Geo-Inf. 2022, 11, 366. https://doi.org/10.3390/ijgi11070366
Grujić N, Brdar S, Osinga S, Hofstede GJ, Athanasiadis IN, Pljakić M, Obrenović N, Govedarica M, Crnojević V. Combining Telecom Data with Heterogeneous Data Sources for Traffic and Emission Assessments—An Agent-Based Approach. ISPRS International Journal of Geo-Information. 2022; 11(7):366. https://doi.org/10.3390/ijgi11070366
Chicago/Turabian StyleGrujić, Nastasija, Sanja Brdar, Sjoukje Osinga, Gert Jan Hofstede, Ioannis N. Athanasiadis, Miloš Pljakić, Nikola Obrenović, Miro Govedarica, and Vladimir Crnojević. 2022. "Combining Telecom Data with Heterogeneous Data Sources for Traffic and Emission Assessments—An Agent-Based Approach" ISPRS International Journal of Geo-Information 11, no. 7: 366. https://doi.org/10.3390/ijgi11070366
APA StyleGrujić, N., Brdar, S., Osinga, S., Hofstede, G. J., Athanasiadis, I. N., Pljakić, M., Obrenović, N., Govedarica, M., & Crnojević, V. (2022). Combining Telecom Data with Heterogeneous Data Sources for Traffic and Emission Assessments—An Agent-Based Approach. ISPRS International Journal of Geo-Information, 11(7), 366. https://doi.org/10.3390/ijgi11070366

